内爆炸载荷下双向波纹夹芯管的动力响应及抗爆性能预测

上一篇

下一篇

唐波, 李子豪, 刘志芳, 李世强. 内爆炸载荷下双向波纹夹芯管的动力响应及抗爆性能预测[J]. 高压物理学报, 2024, 38(6): 064203-1. doi: 10.11858/gywlxb.20240782
引用本文: 唐波, 李子豪, 刘志芳, 李世强. 内爆炸载荷下双向波纹夹芯管的动力响应及抗爆性能预测[J]. 高压物理学报, 2024, 38(6): 064203-1. doi: 10.11858/gywlxb.20240782
Bo TANG, Zihao LI, Zhifang LIU, Shiqiang LI. Blast Resistance and Prediction of Bi-Directional Corrugated Sandwich Tubes under Internal Blast Loading[J]. gaoyawli, 2024, 38(6): 064203-1. doi: 10.11858/gywlxb.20240782
Citation: Bo TANG, Zihao LI, Zhifang LIU, Shiqiang LI. Blast Resistance and Prediction of Bi-Directional Corrugated Sandwich Tubes under Internal Blast Loading[J]. gaoyawli, 2024, 38(6): 064203-1. doi: 10.11858/gywlxb.20240782

内爆炸载荷下双向波纹夹芯管的动力响应及抗爆性能预测

    作者简介: 唐 波(1999-),男,硕士研究生,主要从事轻质结构冲击动力学行为研究. E-mail:tb15881862576@163.com .
    通讯作者: 李世强(1986-),男,博士,副教授,主要从事结构冲击动力学研究. E-mail:lishiqiang@tyut.edu.cn
  • 中图分类号: O347.1; O521.9

Blast Resistance and Prediction of Bi-Directional Corrugated Sandwich Tubes under Internal Blast Loading

    Corresponding author: Shiqiang LI, lishiqiang@tyut.edu.cn
  • MSC: O347.1; O521.9

  • 摘要: 受孔雀螳螂虾前鄂抗冲击区结构启发,设计并制备了双向波纹夹芯管结构,采用实验和数值模拟相结合的方法研究了其在内爆炸载荷下的动态响应及能量吸收机制。实验获得了结构的外管中点最大挠度和3种典型变形模式:局部塑性变形、塑性大变形以及撕裂破坏。内外管中点最大挠度和结构最终变形模态的数值模拟结果与实验结果吻合较好。通过数值模拟研究了芯层波纹数、内外管壁厚以及炸药质量对外管中点最大挠度和能量吸收特性的影响,结果表明:随着波纹数增大,结构比吸能先增大后减小;增大内管壁厚和减小外管壁厚能有效地提高结构的抗爆性能,当结构内管壁厚为2.5 mm、外管壁厚为1.5 mm时,相比于内管壁厚为1.5 mm、外管壁厚为2.5 mm时,外管中点最大挠度降低了67.6%,质量降低了6.0%;随着TNT当量的增加,内管吸收的能量占比逐渐下降,而芯层和外管吸收的能量占比增加。建立了BP(back propagation)神经网络模型、PSO-BP(particle swarm optimization-back propagation)神经网络模型以及响应面分析模型,分别对结构的比吸能与外管中点最大挠度进行预测,优化了所提出的结构。
  • 加载中
  • 图 1  (a) 螳螂虾的CT扫描图像[18],(b) 冲击区[18],(c) 冲击区的宏观微观结构[18],(d) 夹芯管示意图

    Figure 1.  (a) CT image of mantis shrimp[18]; (b) impact zone[18]; (c) macroscopic and microscopic structure of shrimp claws[18]; (d) schematic diagram of sandwich tube

    图 2  3种波纹芯层示意图

    Figure 2.  Schematic diagram of three types of corrugated core

    图 3  实验装置示意图

    Figure 3.  Schematic diagram of experimental setup

    图 4  双向波纹管内外管变形图

    Figure 4.  Deformation diagram of inner and outer tubes of bidirectional bellows

    图 5  内部爆炸载荷下双向波纹夹芯管的实验结果

    Figure 5.  Experimental results of bi-directionally corrugated sandwich tubes under inner blast loading

    图 6  应力-应变曲线

    Figure 6.  Stress-strain curves

    图 7  R4A2试件的数值模拟与实验变形模态对比

    Figure 7.  Comparison of the deformation modes between the simulation and experimental results of R4A2

    图 8  不同波纹夹芯管的抗爆性能对比

    Figure 8.  Comparison of the blast resistance for different corrugated sandwich tubes

    图 9  不同波纹数的双向波纹夹芯管的抗爆性能

    Figure 9.  Blast resistance of bi-directional corrugated sandwich tubes with different corrugation numbers

    图 10  不同内外管厚度下R5A5结构的抗爆性能

    Figure 10.  Blast resistance of R5A5 structure with different thicknesses of inner and outer tubes

    图 11  不同TNT当量下R5A5的抗爆性能

    Figure 11.  Blast resistance of R5A5 under different equivalent TNT dosage

    图 12  BP神经网络模型

    Figure 12.  BP neural network structure diagram

    图 13  粒子群优化神经网络算法流程

    Figure 13.  Flow chart of particle swarm optimization neural network algorithm

    图 14  预测结果对比:(a) SEA的BP预测与FE结果比较,(b) MD的BP预测与FE结果比较,(c) SEA的PSO-BP预测与FE结果比较,(d) MD的PSO-BP预测与FE结果比较,(e) SEA的RSM预测与FE结果比较,(f) MD的RSM预测与FE结果比较

    Figure 14.  Comparison of predicted results: (a) comparison of BP prediction with FE results of SEA; (b) comparison of BP prediction with FE results of MD; (c) comparison of PSO-BP prediction with FE results of SEA; (d) comparison of PSO-BP prediction with FE results of MD; (e) comparison of RSM prediction with FE results of SEA; (f) comparison of RSM prediction with FE results of MD

    图 15  RSM生成的样本点与对照组的动态响应

    Figure 15.  Dynamic responses of the sample nodes by RSM and the control group

    表 1  材料参数

    Table 1.  Material parameters

    MaterialDensity/(kg∙m−3)Young’s modulus/GPaPoisson’s ratioYield stress/MPa
    316L steel78301850.30470
    304 steel78301930.25250
    下载: 导出CSV

    表 2  双向波纹夹芯管的变形/失效实验测定值

    Table 2.  Deformation/failure test values of bidirectional bellows sandwich tube

    Sample $ {\varepsilon _h} $/% $ l $/mm cl/mm cw/mm
    Inner tube Outer tube Inner tube Outer tube Inner tube crack Core crack Outer tube crack Inner tube crack Core crack Outer tube crack
    A2 4.1 2.6 85 48
    R4 5.1 2.1 112 30 46 0.3
    R4A2 4.6 2.6 127 40 76 57 14 3
    R5A2 4.6 3.1 145 64 80 72 11 5
    下载: 导出CSV

    表 3  内外管中点挠度的数值模拟与实验结果的对比

    Table 3.  Comparison between numerical simulation and experimental results for mid-point deflection of inner and outer tubes

    Sample R A ti/mm to/mm MD for inner tube MD for outer tube
    Sim./mm Exp./mm Error/% Sim./mm Exp./mm Error/%
    A2 0 2 2 2 10.8 11.2 3.7 4.9 4.6 −6.1
    R4 4 0 2 2 11.8 12.0 1.7 6.0 5.6 −6.7
    R4A2 4 2 2 2 15.2 14.0 −7.9 5.5 5.0 −8.2
    R5A2 5 2 2 2 18.8 18.0 −4.2 9.5 8.5 −10.5
    下载: 导出CSV

    表 4  计算模型数与CPU计算时间

    Table 4.  Calculated model number and CPU calculation time

    Model Number of CPU* Number of meshes Calculation time/min
    k=50 k=100 k=200 k=500 k=1000
    FE 8 55850 475 950 1 900 4750 9500
    BP 2 950 951 952 954 958
    PSO-BP 2 954 959 968 996 1042
    RSM 2 950 950 951 954 957
    Note: * Intel (R) Core (TM) i7-13700 2.10 GHz
    下载: 导出CSV

    表 5  预测模型误差分析

    Table 5.  Error analysis of prediction models

    Model $ {\theta _{{\text{relative}}}} $/% $ {\theta _{{\text{average}}}} $/% $ {R^2} $
    SEA MD SEA MD SEA MD
    BP 2.05 33.2 0.48 6.65 0.999 0.975
    PSO-BP 2.15 28.3 0.35 3.52 0.999 0.994
    RSM 0.97 22.1 0.25 0.24 0.999 0.996
    下载: 导出CSV

    表 6  最大$M_{\mathrm{D}}$约束下最大化$S_{\mathrm{EA}} $的优化设计

    Table 6.  Optimal design of maximized $S_{\mathrm{EA}} $ with maximum $M_{\mathrm{D}} $ constraints

    No. R A ti/mm to/mm MD/mm SEA/(J∙g−1)
    RSM FE RSM FE
    1 3 6 2.40 1.50 2.00 2.12 6.27 6.28
    2 6 4 2.20 1.50 4.00 4.00 6.96 6.97
    3 6 5 2.05 1.50 5.24 5.22 7.57 7.56
    4 6 5 1.94 1.50 6.00 5.97 8.00 8.02
    5 6 6 1.58 1.50 8.00 8.05 9.40 9.44
    6 5 5 1.50 1.50 10.00 8.80 9.89 9.93
    下载: 导出CSV
  • [1] PANDARKAR A, GOEL M D, HORA M S. Axial crushing of hollow and foam filled tubes: an overview [J]. Sādhanā, 2016, 41(8): 909–921.
    [2] YAO R Y, PANG T, ZHANG B, et al. On the crashworthiness of thin-walled multi-cell structures and materials: state of the art and prospects [J]. Thin-Walled Structures, 2023, 189: 110734. doi: 10.1016/j.tws.2023.110734
    [3] XUE Z Y, HUTCHINSON J W. A comparative study of impulse-resistant metal sandwich plates [J]. International Journal of Impact Engineering, 2004, 30(10): 1283–1305. doi: 10.1016/j.ijimpeng.2003.08.007
    [4] ZHANG P, CHENG Y S, LIU J, et al. Experimental and numerical investigations on laser-welded corrugated-core sandwich panels subjected to air blast loading [J]. Marine Structures, 2015, 40: 225–246. doi: 10.1016/j.marstruc.2014.11.007
    [5] WEI Y C, ZHANG C J, YUAN Y, et al. Blast response of additive manufactured Ti-6Al-4V sandwich panels [J]. International Journal of Impact Engineering, 2023, 176: 104553. doi: 10.1016/j.ijimpeng.2023.104553
    [6] SHEN J H, LU G X, ZHAO L M, et al. Short sandwich tubes subjected to internal explosive loading [J]. Engineering Structures, 2013, 55: 56–65. doi: 10.1016/j.engstruct.2011.12.005
    [7] LIU X R, TIAN X G, LU T J, et al. Blast resistance of sandwich-walled hollow cylinders with graded metallic foam cores [J]. Composite Structures, 2012, 94(8): 2485–2493. doi: 10.1016/j.compstruct.2012.02.029
    [8] LIANG M Z, LI X Y, LIN Y L, et al. Multiobjective blast-resistance optimization of gradient foam sandwiched cylindrical container [J]. Thin-Walled Structures, 2020, 157: 107114. doi: 10.1016/j.tws.2020.107114
    [9] LI S Q, LU G X, WANG Z H, et al. Finite element simulation of metallic cylindrical sandwich shells with graded aluminum tubular cores subjected to internal blast loading [J]. International Journal of Mechanical Sciences, 2015, 96/97: 1–12. doi: 10.1016/j.ijmecsci.2015.03.011
    [10] ZHANG T H, LIU Z F, LI S Q, et al. Dynamic response and energy absorption performance of aluminum foam-filled sandwich circular tubes under internal blast loading [J]. International Journal of Impact Engineering, 2023, 173: 104458. doi: 10.1016/j.ijimpeng.2022.104458
    [11] YANG F, XIE W H, MENG S H. Impact and blast performance enhancement in bio-inspired helicoidal structures: a numerical study [J]. Journal of the Mechanics and Physics of Solids, 2020, 142: 104025. doi: 10.1016/j.jmps.2020.104025
    [12] 王海任, 李世强, 刘志芳, 等. 爆炸载荷下双向梯度仿生夹芯圆板的力学行为 [J]. 爆炸与冲击, 2021, 41(4): 043201. doi: 10.11883/bzycj-2020-0132 WANG H R, LI S Q, LIU Z F, et al. Mechanical behaviors of bi-directional gradient bio-inspired circular sandwich plates under blast loading [J]. Explosion and Shock Waves, 2021, 41(4): 043201. doi: 10.11883/bzycj-2020-0132
    [13] GHAZLAN A, NGO T, VAN LE T, et al. Blast performance of a bio-mimetic panel based on the structure of nacre: a numerical study [J]. Composite Structures, 2020, 234: 111691. doi: 10.1016/j.compstruct.2019.111691
    [14] YANG X F, MA J X, SHI Y L, et al. Crashworthiness investigation of the bio-inspired bi-directionally corrugated core sandwich panel under quasi-static crushing load [J]. Materials & Design, 2017, 135: 275–290.
    [15] YANG J K, GU D D, LIN K J, et al. Optimization of bio-inspired bi-directionally corrugated panel impact-resistance structures: numerical simulation and selective laser melting process [J]. Journal of the Mechanical Behavior of Biomedical Materials, 2019, 91: 59–67. doi: 10.1016/j.jmbbm.2018.11.026
    [16] DALIRI V, ZEINEDINI A. Flexural behavoiur of the composite sandwich panels with novel and regular corrugated cores [J]. Applied Composite Materials, 2019, 26(3): 963–982. doi: 10.1007/s10443-019-09761-x
    [17] SHAHBAZI A, ZEINEDINI A. Impact response of E-glass/epoxy composite bi-directional corrugated core sandwich panels [J]. Polymers and Polymer Composites, 2021, 29(9): 1563–1574. doi: 10.1177/0967391120982751
    [18] 黄晗, 许述财, 陈姮. 仿生波纹夹层结构耐撞性分析及优化 [J] 爆炸与冲击, 2021, 41(8): 083102. HUANG H, XU S C, CHEN H. Crashworthiness analysis and optimization of bionic corrugated sandwich structures [J]. Explosion and Shock Waves, 2021, 41(8): 083102.
    [19] LI X, XU R, ZHANG X, et al. Inner blast response of fiber reinforced aluminum tubes [J]. International Journal of Impact Engineering, 2023, 172: 104416. doi: 10.1016/j.ijimpeng.2022.104416
    [20] LI S Q, YU B L, KARAGIOZOVA D, et al. Experimental, numerical, and theoretical studies of the response of short cylindrical stainless steel tubes under lateral air blast loading [J]. International Journal of Impact Engineering, 2019, 124: 48–60. doi: 10.1016/j.ijimpeng.2018.10.004
    [21] CHENG J H, GUSSEV M, ALLEN J, et al. Deformation and failure of PrintCast A356/316L composites: digital image correlation and finite element modeling [J]. Materials & Design, 2020, 195: 109061.
    [22] XIAO D B, DONG Z C, LI Y, et al. Compression behavior of the graded metallic auxetic reentrant honeycomb: experiment and finite element analysis [J]. Materials Science and Engineering: A, 2019, 758: 163–171. doi: 10.1016/j.msea.2019.04.116
    [23] 朱玉富, 赵春风, 周志航. 基于机器学习的钢筋混凝土板在爆炸作用下的最大位移预测模型 [J] 高压物理学报, 2023, 37(2): 024205. ZHU Y F, ZHAO C F, ZHOU Z H. Prediction model of maximum displacement for RC slabs under blast load based on machine learning [J]. Chinese Journal of High Pressure Physics, 2023, 37(2): 024205.
    [24] CHEN D, JING L, YANG F. Optimal design of sandwich panels with layered-gradient aluminum foam cores under air-blast loading [J]. Composites Part B: Engineering, 2019, 166: 169–186. doi: 10.1016/j.compositesb.2018.11.125
  • 加载中
图( 15) 表( 6)
计量
  • 文章访问数:  388
  • HTML全文浏览数:  388
  • PDF下载数:  6
  • 施引文献:  0
出版历程
  • 收稿日期:  2024-04-03
  • 录用日期:  2024-06-04
  • 刊出日期:  2024-12-05

内爆炸载荷下双向波纹夹芯管的动力响应及抗爆性能预测

    通讯作者: 李世强(1986-),男,博士,副教授,主要从事结构冲击动力学研究. E-mail:lishiqiang@tyut.edu.cn
    作者简介: 唐 波(1999-),男,硕士研究生,主要从事轻质结构冲击动力学行为研究. E-mail:tb15881862576@163.com
  • 1. 太原理工大学机械与运载工程学院应用力学研究所, 山西 太原 030024)
  • 2. 材料强度与结构冲击山西省重点实验室, 山西 太原 030024
  • 3. 北京理工大学爆炸科学与安全防护全国重点实验室,北京 100081

摘要: 受孔雀螳螂虾前鄂抗冲击区结构启发,设计并制备了双向波纹夹芯管结构,采用实验和数值模拟相结合的方法研究了其在内爆炸载荷下的动态响应及能量吸收机制。实验获得了结构的外管中点最大挠度和3种典型变形模式:局部塑性变形、塑性大变形以及撕裂破坏。内外管中点最大挠度和结构最终变形模态的数值模拟结果与实验结果吻合较好。通过数值模拟研究了芯层波纹数、内外管壁厚以及炸药质量对外管中点最大挠度和能量吸收特性的影响,结果表明:随着波纹数增大,结构比吸能先增大后减小;增大内管壁厚和减小外管壁厚能有效地提高结构的抗爆性能,当结构内管壁厚为2.5 mm、外管壁厚为1.5 mm时,相比于内管壁厚为1.5 mm、外管壁厚为2.5 mm时,外管中点最大挠度降低了67.6%,质量降低了6.0%;随着TNT当量的增加,内管吸收的能量占比逐渐下降,而芯层和外管吸收的能量占比增加。建立了BP(back propagation)神经网络模型、PSO-BP(particle swarm optimization-back propagation)神经网络模型以及响应面分析模型,分别对结构的比吸能与外管中点最大挠度进行预测,优化了所提出的结构。

English Abstract

  • 由金属面板和多孔材料组成的夹芯结构具有重量轻、比刚度高、比强度高以及抗冲击能力强等优点,随着金属3D打印技术的成熟,传统方法难以制备的具有复杂构型的夹芯结构在交通运输、国防工程等领域的防护结构中得到了广泛应用[12]

    Xue等[3]发现波纹夹芯板具有理想的抗冲击性能,在相同面密度的前提下,波纹夹芯板的抗爆性能优于方形蜂窝夹芯板和桁架芯板。Zhang等[4]发现,起爆距离为150 mm时,波纹夹芯板的背爆面挠度小于等质量实心板;而在50 mm近距起爆时,实心板的抗爆性要高于夹芯板。Wei等[5]研究了波纹夹芯板在近距离爆炸载荷下的响应,发现减小夹芯板迎爆面板厚度、增加背爆面板厚度或增加芯层均可以提高夹芯板抗近距离爆炸载荷的能力。Shen等[6]结合实验和数值模拟发现,在同一内爆载荷下,泡沫铝夹芯管的抗爆性能优于相应的单管。考虑到泡沫铝具有不同的相对密度,Liu等[7]分析了梯度泡沫铝夹芯管在内爆载荷下的抗爆性能,研究结果表明,相同内爆载荷条件下,具有梯度泡沫铝芯的圆柱壳结构表现出比均匀结构更优越的抗爆性能。在实验研究的基础上,Liang等[8]提出对梯度泡沫铝夹芯管的内外管壁厚、泡沫铝的相对密度和排列顺序进行优化设计,提高结构的抗爆性能。Li等[9]通过有限元模拟研究了内爆载荷下不同排列铝管填充的夹芯圆管的动态响应,结果表明,铝管厚度呈负梯度排列(由内到外分别为厚、中、薄)的夹芯管优于其他配置的夹芯管。Zhang等[10]探究了内爆载荷作用下内外管壁厚和芯层轴向堆叠方式对泡沫铝夹芯圆管动态响应和吸能特性的影响,发现内管壁厚的影响更显著,芯层轴向堆叠方式下,负梯度堆叠的夹芯圆管具有较好的抗爆性能。由此可以看出,通过改变夹芯结构的芯层构型和几何参数可以有效地改善结构的能量吸收能力和抗冲击性能。

    自然界中的许多生物结构具有多孔构型,兼具高承载力和多功能特性。受生物结构启发,广大学者设计了多种抗冲击仿生结构,例如:Yang等[11]设计了仿Bouligand结构,通过改变螺旋状结构的俯仰角和层厚,提高了其抗爆性能;王海任等[12]设计了仿王莲结构,通过改变面内和面外梯度,在不增加芯层质量的前提下,提高了结构的抗爆性能;Ghazlan等[13]设计了仿珍珠层结构,采用独特的交错多层级复合构型,显著提高了其抗爆能力。孔雀螳螂虾前鄂可在最大1.5 kN的冲击力下仍不发生断裂[14]。受孔雀螳螂虾前鄂启发设计的波纹芯层夹芯结构[1517]在准静态载荷和冲击载荷下均具有优异的承载和抗冲击性能,通过改变波纹的几何参数,可以有效提高能量吸收能力。

    目前,针对仿生孔雀螳螂虾的研究多半用准静态载荷和冲击载荷,爆炸载荷研究较少。为进一步探索这类仿生夹芯结构在爆炸载荷作用下的动力响应特性和能量吸收机制,本研究模仿孔雀螳螂虾抗冲击区域的微观结构,设计双向波纹夹芯管,对其在内爆炸载荷作用下的动力响应进行实验研究,结合有限元方法探讨夹芯管的变形失效模态及能量分配规律,分析波纹管、波纹数和内外管壁厚对其动态响应的影响,最后基于实验与有限元结果构建回归预测模型,预测夹芯管的动态响应,对比不同回归预测模型的准确性,并进行实际算例分析。

    • 孔雀螳螂虾(见图1(a))的前鄂(图1(b))可以产生巨大的力量和速度,从而击穿软体动物坚硬的外壳。孔雀螳螂虾前鄂的CT(computed tomography)扫描图(图1(c))表明,冲击区域由厚的主体部分和薄的抗冲击层组成,其中,主体部分呈现出正弦波纹图案。如图1(d)所示,本研究通过模仿其前鄂的自然特性,设计一种有效的抗冲击结构。结构由作为抗冲击层的内/外管和作为主体部分的双向波纹芯层构成。波纹轮廓可表示为

      式中:Ri=30 mm、Ro=40 mm分别为内、外管半径;titotc分别为内、外管壁厚和芯层厚度;h为双向波纹管的高度;AR分别为芯层在轴向和环向的波纹数,通过改变AR,可以生成具有不同波纹截面的双向波纹夹芯管;Z为高度上的变量;θ为极坐标系的极角。

      A=2、R=0时,获得如图2(a)所示的波纹芯结构(A2);当A=0、R=4时,获得如图2(b)所示的波纹芯结构(R4);当A=2、R=4时,获得如图2(c)所示的波纹芯结构(R4A2)。将图2中的3种芯层与内、外管装配,形成双向波纹夹芯管。试件的总高度h=196 mm,芯层壁厚tc=0.6 mm,内外管壁厚ti=to=2 mm。

      内、外管的材料为304不锈钢。芯层采用选择性激光熔融技术制备,制备原材料为316L标准级不锈钢粉末(022Cr17Ni12Mo2)。依据ASTM E8金属材料拉伸实验标准,采用Instron 68FM-100万能试验机对芯层和内、外管材质的标准件进行准静态拉伸实验,获得材料参数,如表1所示。

    • 采用图3所示的实验装置进行双向波纹夹芯管的内爆炸实验。将试件置于与水平地面平行的底座上。为了避免冲击波从地面反射,支架底部留有空隙。利用支架将33 g球形乳化炸药置于试件的中心。山东圣世达化工有限责任公司提供的球形乳化炸药的当量测试数据表明,实验用乳化炸药质量W与TNT炸药质量WT之间的关系式为W=0.6WT

    • 为了研究内外管的变形,定义了与双向波纹夹芯管变形相关的几个参数,如图4所示。在爆炸实验中,双向波纹夹芯管中心发生膨胀变形,设$ l $为轴向变形宽度,反映膨胀变形大小,$ {\varepsilon _h} $表示高度变化率[19]

      式中:$ h $=196 mm,$ h' $为变形后的高度。

      波纹夹芯管在内爆炸载荷作用下的变形模式如图5所示。可以看出,结构主要表现出3种典型的变形模式:局部塑性变形(Ⅰ)、塑性大变形(Ⅱ)、撕裂破坏(Ⅲ)。表2给出了各结构的变形和失效数据。可以看出:R4结构内管的高度变化率$ {\varepsilon _h} $最大,A2结构内管的高度变化率$ {\varepsilon _h} $最小。轴向变形区域最大的结构是R5A2,最小的是A2结构;外管高度变化率$ {\varepsilon _h} $最大的是R5A2结构,最小的是R4结构。轴向变形区域最大的是R5A2结构,最小的是R4结构。R4结构的内管、R4A2和R5A2结构的内管和芯层均出现破裂,其中,R5A2结构的内管裂纹最大,裂纹长度cw约为80 mm,裂纹宽度cl约为11 mm。

    • 采用ABAQUS/Explicit有限元程序对内部爆炸载荷下双向波纹夹芯管的动态响应进行数值模拟,采用ConWep算法模拟爆炸载荷。综合考虑网格敏感性和失效时涉及的网格依赖性[5],采用1 mm的4节点壳体单元(S4R)对内外管和芯层进行网格划分。内外管与波纹芯之间的相互作用采用硬接触定义,摩擦系数设置为0.2[20]。内、外管采用弹性-线性等向强化本构模型描述;芯层采用弹性-非线性强化模型描述,芯层的标准件和应力-应变曲线如图6所示。内、外管和芯层的材料参数见表1。应变率效应采用Cowper-Symonds模型描述

      式中:$ \sigma $为屈服应力;$ \varepsilon $为应变;$ C $为应变率常量,$ C = 100\;{{\rm{s}}^{ - 1}} $$ q $为应变率指数,$ q = 10 $[20]

      采用Ductile Damage模型模拟单元的失效断裂[2122]。在柔性损伤模型中,当基材应力三轴性为0.33时,输入断裂应变为0.045。输入的其他断裂应变根据经验估计得到,数值在0.008~0.018区间。为了模拟损伤演化过程,选用线性软化位移,破坏位移设为0.001。

    • 数值模拟所得的双向波纹夹芯管的最终变形模态与实验结果见图7。可以看出,实验获得的双向波纹夹芯管的变形模态与有限元结果吻合较好。内外管中点最大挠度(MD)结果列于表3中。由于实验中R5A2的装药位置不在试件中心,导致外管中点挠度的实验结果与仿真结果的相对误差最大,为10.5%,R4内管中点挠度的实验结果与仿真结果的相对误差最小,为1.7%,数值模拟与实验结果吻合较好。

    • TNT当量为20 g,内、外管厚度为2 mm,芯层厚度为0.6 mm时,分析R4、A2、R4A2结构在内部爆炸载荷下的抗爆性能,探索不同类型芯层对结构响应的影响。取结构外管中点最大挠度MD、结构总比吸能SEA、各部分能量吸收Ei和各部分能量吸收占比ni作为抗爆性能的指标。SEAni的表达式如下

      式中:EA为结构在变形结束后吸收的总能量,$ {m_{\text{t}}} $为结构总质量,Ei为试件各组成部分吸收的能量。

      图8给出了不同双向波纹夹芯管的抗爆性能。结果表明,双向波纹夹芯管(R4A2)的外管中点的最大挠度比轴向波纹管(A2)提高了10%,比环向波纹管(R4)降低了10%。从结构比吸能上看,双向波纹夹芯管(R4A2)的比吸能比A2和R4分别提高了7%和40%。从能量耗散情况上看,双向波纹夹芯管(R4A2)的内管和芯层吸收的能量高于A2和R4的内管和芯层吸收的能量,外管吸收能量最多的是A2。

    • 在TNT当量为20g、内外管壁厚ti=to=2 mm、芯层壁厚tc=0.6 mm的条件下,分析了$ 3 \leqslant R \leqslant 8$$1 \leqslant A \leqslant 6 $区间时双向波纹夹芯管的波纹数对结构吸能特性的影响。图9(a)给出了不同波纹数的双波纹夹芯管的SEA对比。可以看出,随着轴向波纹数和环向波纹数的增加,结构比吸能大体呈现出先增大后减小的规律,当环向波纹数R=5,轴向波纹数A=5时,结构具有高比吸能,相较于R=8、A=6结构的最低SEA(6.61 J/g),比吸能提升了10%。

      图9(b)给出了不同波纹数的双波纹夹芯管外管的中点最大挠度。可以看出,随着轴向波纹数的增加,外管中点最大挠度基本呈现出逐渐减小的规律。随着环向波纹数的增加,外管中点最大挠度先增大后减小。此外,当环向波纹数R=6,轴向波纹数A=1的双向波纹夹芯管外管的中点最大挠度为6.45 mm,相比于R8A5结构的最小外管中点最大挠度(4.65 mm)提升了38.7%。

      图9(c)分析了不同波纹数的双向波纹夹芯管各个组成部分的能量吸收情况,可以发现,随着轴向波纹数的增大,结构吸收的总能量和芯层吸收的能量大体呈现出先增加后减少的规律,外管吸收的能量逐渐降低,内管吸收的能量逐渐增加。当环向波纹数增加时,结构吸收的总能量和外管吸收的能量表现出先增加后减少的规律,芯层吸收的能量逐渐减少,内管吸收的能量逐渐增加。其中,R5A5结构的总能量吸收最高(5270 J),而R3A1结构的总能量吸收最低(5070 J),R5A5结构的总能量吸收较R3A1结构的总能量吸收提高了4%。R6A5结构的内管能量吸收最高(3 491 J),R3A2结构的内管能量吸收最低(3 288 J),R6A5结构的内管能量吸收较R3A2结构的内管能量吸收提高了6%。芯层能量吸收最高值(1474 J)出现在R3A5结构中,最低值(1178 J)出现在R8A1结构中,R3A5结构的芯层能量吸收较R8A1结构的芯层能量吸收提高了25%。外管能量吸收最高(538 J)和最低(367 J)的结构分别是R5A1结构和R3A5结构,R5A1结构的外管能量吸收较R3A5结构的外管能量吸收提高了47%。

      图9(c)还显示,随着轴向波纹数的增大,芯层能量吸收占比基本表现出先增大后减小的规律,内管和外管表现出先减小后增大的规律。环向波纹数与各部分能量吸收占比没有明显规律。内管能量吸收占比最高值(68.1%)出现在R8A1结构中,芯层能量吸收占比最高值(28.1%)出现在R5A1结构中,外管能量吸收占比最高值(10.6%)出现在R5A1结构中。综合考虑,R5A5结构的比吸能最高,总能量吸收最大,外管中点挠度较小,因此,认为R5A5具有较好的抗爆性能。

    • 取R5A5为基本模型,通过改变其内、外管壁厚探究壁厚对其抗爆性能的影响。设置内、外管壁厚的约束条件为:1.5 mm≤ti≤2.5 mm,1.5 mm≤to≤2.5 mm,芯层壁厚tc=0.6 mm,TNT当量为20 g。图10(a)给出了具有不同内管和外管壁厚的R5A5结构的比吸能及其结构总质量。当内、外管壁厚均为1.5 mm时,结构的比吸能最大,为9.89 J/g;当内、外管壁厚均为2.5 mm时,结构的比吸能最小,为4.72 J/g。内、外管壁厚为2.5 mm的结构的比吸能相对于内、外管壁厚为1.5 mm的结构的比吸能降低了52%,但内、外管壁厚为2.5 mm的结构的质量增加了54%。当内管壁厚不变时,结构的比吸能随着外管壁厚的增加而降低。当外管壁厚不变时,结构的比吸能随着内管壁厚的增加而降低。

      图10(b)给出了具有不同内、外管壁厚的R5A5结构的各个组成部分的能量吸收情况。内管的能量吸收率最高,其次是波纹芯层,最低是外管。当内管壁厚不变时,随着外管壁厚的增大,结构能量吸收逐渐减小。当内管壁厚为1.5 mm,外管壁厚从1.5 mm增大到2.5 mm时,内管的能量吸收降低了5%,芯层的能量吸收提升了5%,外管能量吸收基本保持不变,总能量吸收降低了2%。因此,较薄的外管可以提高结构的吸能能力。当外管壁厚不变时,随着内管壁厚的增大,结构总能量吸收逐渐降低。当外管壁厚为1.5 mm,内管壁厚从1.5 mm增大到2.5 mm时,内管的能量吸收提升了13%,芯层的能量吸收降低了52%,外管的能量吸收降低了91%,结构总能量吸收降低了25%。

      图10(c)给出具有不同内管和外管壁厚的R5A5结构的外管中点最大挠度及结构总质量。可以发现,当外管壁厚为1.5 mm时,内管壁厚为2.0和2.5 mm的结构的外管中点最大挠度相较于内管壁厚为1.5 mm的结构分别降低32.8%和77.0%,结构总质量分别增加了11.4%和22.8%;当结构内管壁厚为1.5 mm时,外管壁厚为2.0和2.5 mm的结构的外管中点最大挠度相较于内管壁厚为1.5 mm的结构分别降低17.1%和28.9%,结构总质量分别增加了15.0%和30.0%。相比于内管壁厚为1.5 mm、外管壁厚为2.5 mm时的结构,内管壁厚为2.5 mm、外管壁厚为1.5 mm的结构的外管中点最大挠度降低了67.6%,质量也降低了6.0%。值得注意的是,尽管增大内、外管壁厚都可以提高夹芯管的抗爆性能,但增大内管厚度会使外管中点最大挠度更小。

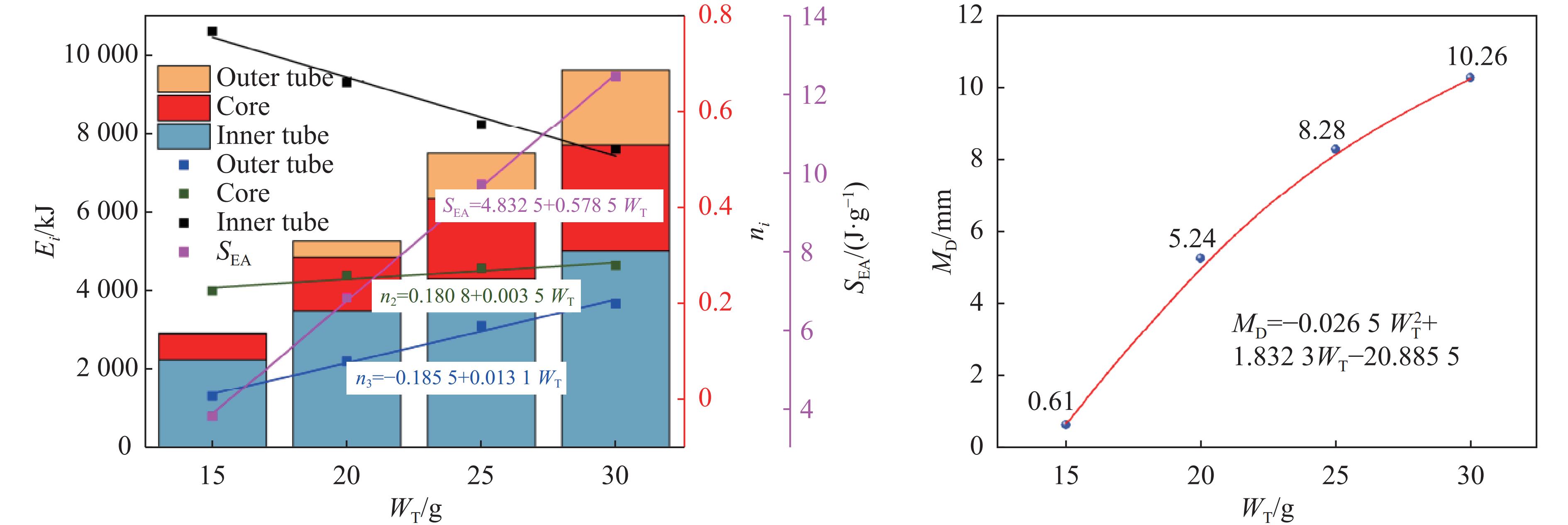
    • 取波纹数量R=5,A=5,内外管壁厚ti=to=2 mm,芯层壁厚tc=0.6 mm的双向波纹夹芯管,研究其在不同TNT当量下的抗爆性能。图11给出了不同TNT当量下R5A5结构的各个组成部分能量吸收和外管中点最大挠度。从图11(a)中可以发现,当TNT当量为15、20、25和30 g时,夹芯管各部的比吸能分别为3.78、6.82、9.69和12.46 J/g,近似满足线性关系。随着TNT当量的增加,内管吸收的能量占比逐渐下降,而芯层和外管吸收的能量占比增加,能量吸收占比与TNT当量近似满足线性关系

      式中:n1n2n3分别为内管、芯层和外管的吸收能量占比,WT的单位为g,SEA的单位为J/g。

      图11(b)所示,当TNT当量为15、20、25和30 g时,外管中点最大挠度分别为0.61、5.24、8.28和10.26 mm,即外管中点最大挠度随着TNT当量的增大而增大。在目前的工况下,TNT当量与外管中点挠度近似成二次函数关系

      式中:MDWT的单位分别为mm和g。

    • 爆炸载荷下结构的动态响应表现出复杂的非线性特性,而神经网络已为一些非线性问题提供了新思路和方法。朱玉富等[23]通过引入支持向量机(support vector regression, SVR)和高斯过程回归(Gaussian process regression, GPR)2种神经网络预测了爆炸载荷下钢筋混凝土板背爆面的挠度,发现GPR的预测效果优于SVR,且研究结果表明了机器学习在爆炸领域的应用潜力。Chen等[24]采用径向基函数神经网络预测了爆炸载荷下多层泡沫铝梯度夹芯板的动态响应,还验证了回归预测模型的有效性。本研究将构建BP(back propagation)和PSO-BP(particle swarm optimization-back propagation)两个神经网络回归预测模型和一种响应面分析(response surface methodology, RSM)多元非线性回归预测模型,对比其预测性能,并采用预测模型进行实际案例分析。

    • 本研究构建的BP神经网络模型结构如图12所示, I1In表示n个输入变量;O1Om表示BP神经网络的输出变量;E1Em表示m个期望的输出; ɑij为输入层与隐含层的连接权重系数;ɑjk为隐含层与输出层的连接权重系数。隐含层神经元个数l=2x+1,其中,x为输入变量的个数。本研究中输入变量(RAtito)的个数x=4,因此,构建的BP神经网络结构中隐含层的神经元个数为9。

    • BP神经网络模型的主要缺点是训练速度慢,且容易陷入局部最优解。为了找到全局最优解,采用粒子群优化(particle swarm optimization,PSO)算法对BP神经网络模型进行优化并加快其收敛速度。粒子群对神经网络算法的优化流程如图13所示。优化的基本思想是将BP神经网络的权值和偏差作为粒子的位置,将BP神经网络的误差训练作为PSO算法的适应度函数,记录当前局部最优和全局最优,然后不断更新粒子的速度和位置,直到找出满足条件的粒子。

    • RSM被认为适用于涉及复杂非线性力学的设计优化问题。在这种方法中,结构响应的近似$ f\left( x \right) $以基函数表示,其形式为

      式中:n为基函数$ {{{\varphi }}_{{i}}}\left( x \right) $的个数。基函数是多项式,多项式的一次项个数对应自变量的个数,各个一次项表示为

      多项式四次方的完全展开项[24]

      本研究通过对不同预测问题的适用性进行定量论证,选择四次多项式。通过最小二乘法最小化有限元结果与近似值之间的误差计算未知系数$ {\alpha _i} $的近似值。

    • 回归预测模型是一种统计工具,通过分析一个或多个自变量与因变量之间的关系来预测或估计结果。有限元(finite element,FE)计算一组网格数量为55850的模型,耗时约9.5 min,因此,建立k=100组有限元样本点模型的时间成本为950 min。当计算的模型数小于100时,直接进行有限元计算花费的时间小于预测模型计算的时间(包含样本点建立和计算所需的时间)。当模型数继续增大,预测模型的优势愈发明显,如表4所示。从表4中还可以看出,RSM模型的预测速度最快。

      选取100组样本点(sample nodes),基于传统BP神经网络、PSO-BP 神经网络以及RSM 3种预测模型预测结构的比吸能和外管中点最大挠度,并与有限元结果进行对比,结果如图14所示。不难看出,对于结构的比吸能,3种模型预测的结果与有限元结果均吻合良好。但PSO-BP和RSM神经网络模型的预测曲线与实验曲线更接近,BP神经网络模型预测曲线与有限元结果之间存在一定的偏差。在外管中点最大挠度预测方面,RSM的预测结果优于其他2个预测模型,而PSO-BP神经网络模型优于BP神经网络模型。

      预测模型的精度一般采用决定系数$ {R^2} $、最大相对误差$ {\theta _{{\text{relative}}}} $、平均相对误差$ {\theta _{{\text{average}}}} $来定量评价[23]。这些值可以表示为

      式中:$ {f_{{\text{FE}}}} $为有限元结果,$ {f_{{\text{average}}}} $为有限元结果的平均值,$ {f_{{\text{pre}}}} $为预测模型的预测值。通常,$ {\theta _{{\text{relative}}}} $表示代理模型的局部精度,$ {R^2} $$ {\theta _{{\text{average}}}} $表示代理模型的整体精度,$ {R^2} $越接近1,表明代理模型越精确。较小的误差表明预测模型可靠。3种预测模型的$ {R^2} $$ {\theta _{{\text{relative}}}} $$ {\theta _{{\text{average}}}} $汇总于表5。可以看出,RSM预测模型的最大相对误差最小,其平均误差也低于其他2个预测模型。BP神经网络预测模型的最大相对误差和平均误差最大。因此,RSM模型的预测精度最高,PSO-BP神经网络模型次之,BP神经网络模型的预测精度最低。

    • 基于4.2节中建立的RSM模型进行双向波纹夹芯管抗爆性能的进一步优化。TNT当量为20 g 。设计变量分别为轴向波纹数R、环向波纹数A、内管厚度ti以及外管厚度to,变化范围为

      优化问题可以描述为:约束外管中点最大挠度值,优化双向波纹夹芯管的设计变量,优化目标为结构总比吸能最大。其数学问题表述如下

      式中:常数取2.00、4.00、5.24、6.00、8.00、10.00 mm。

      利用RSM生成10 000组样本点,在约束外管中点最大挠度下,存在一组比吸能最大的样本点,如图15所示。提取各样本点参数,如表6所示,对各样本点进行有限元模拟,得到其在内爆炸载荷下的外管中点最大挠度和比吸能,对比发现模拟结果与RSM法预测值吻合良好。其中,点3为基于最优结构(R5A5)的优化后结构,对应的参数为R=6,A=5,ti=2.05 mm,to=1.50 mm,其目标响应指标MD=5.22 mm,SEA=7.56 J/g,与RSM法预测的响应(MD=5.24 mm,SEA=7.57 J/g)基本一致,说明了RSM模型的有效性。将优化结构的有限元模拟结果与对照组对比,MD基本保持不变,SEA提高了10.9%。

    • 受孔雀螳螂虾前鄂抗冲击区结构的启发,设计并制备了双向波纹夹芯管结构,采用实验与数值模拟相结合的方法研究了内部爆炸载荷作用下结构的动态响应,讨论了环向波纹数、轴向波纹数、爆炸载荷和内外管壁厚对抗爆性能的影响,最后,采用预测模型对双向波纹夹芯管的抗爆性能进行了预测及优化,得到如下主要结论。

      (1) 实验观察到双向波纹夹芯管在内部爆炸载荷下呈现出3种典型变形模式:局部塑性变形、塑性大变形及撕裂破坏。R4A2结构表现出较大的轴向塑性大变形,A2结构的塑性变形较小,R4A2结构的内管裂纹最大。

      (2) 双向波纹夹芯管结构的SEA相较于单波纹夹芯管的SEA最高可提升40%。双向波纹夹芯管的SEA随着轴向和环向波纹数的增大先增大后减小,R5A5具有较好的抗爆性能。在不同内外管壁厚的双向波纹夹芯管中,内管的壁厚对能量吸收的影响比外管的影响更明显。当内管壁较厚且外管壁较薄时,相比于内管壁较薄且外管壁较厚的结构,其比吸能降低了21%,外管中点最大挠度降低了67.6%,质量降低了6.0%。

      (3) 建立了3种回归预测模型,对比了3种模型的预测精度,结果表明,BP神经网络模型的精度最低,经过粒子群算法优化后的BP神经网络模型的预测精度比传统BP神经网络模型高,RSM模型的精度最高。将建立的预测模型引入单目标优化中,在外管中点最大挠度不变大的约束下,优化后结构的比吸能提升了10.9%。

    参考文献 (24)

目录

/

返回文章
返回