碳酸钾改性干水-六氟丙烷抑制甲烷爆炸特性

上一篇

下一篇

王涛, 孟帆, 弋伟斋, 田晓月, 李睿康, 苏彬, 刘利涛, 罗振敏. 碳酸钾改性干水-六氟丙烷抑制甲烷爆炸特性[J]. 高压物理学报, 2025, 39(4): 045301-1. doi: 10.11858/gywlxb.20240927
引用本文: 王涛, 孟帆, 弋伟斋, 田晓月, 李睿康, 苏彬, 刘利涛, 罗振敏. 碳酸钾改性干水-六氟丙烷抑制甲烷爆炸特性[J]. 高压物理学报, 2025, 39(4): 045301-1. doi: 10.11858/gywlxb.20240927
Tao WANG, Fan MENG, Weizhai YI, Xiaoyue TIAN, Ruikang LI, Bin SU, Litao LIU, Zhenmin LUO. Coupling Inhibition Effects of Dry Water Modified by Potassium Carbonate and Hexafluoropropane on Methane Explosion[J]. gaoyawli, 2025, 39(4): 045301-1. doi: 10.11858/gywlxb.20240927
Citation: Tao WANG, Fan MENG, Weizhai YI, Xiaoyue TIAN, Ruikang LI, Bin SU, Litao LIU, Zhenmin LUO. Coupling Inhibition Effects of Dry Water Modified by Potassium Carbonate and Hexafluoropropane on Methane Explosion[J]. gaoyawli, 2025, 39(4): 045301-1. doi: 10.11858/gywlxb.20240927

碳酸钾改性干水-六氟丙烷抑制甲烷爆炸特性

    作者简介: 王 涛(1988-),男,博士,教授,主要从事工业燃爆灾害防控研究. E-mail:christfer@xust.edu.cn .
  • 中图分类号: O389; O521.9; X932

Coupling Inhibition Effects of Dry Water Modified by Potassium Carbonate and Hexafluoropropane on Methane Explosion

  • MSC: O389; O521.9; X932

  • 摘要: 爆炸抑制技术是减轻瓦斯爆炸事故灾后影响的重要手段。为探究两相复合抑爆剂的抑制效果,选取碳酸钾改性干水粉体和六氟丙烷(C3H2F6)气体为抑爆介质,通过试验研究了二者复配影响下甲烷爆炸压力和时间参数的变化规律,并对其协同抑爆机理开展了理论分析。试验结果表明,在富燃工况下,甲烷爆炸的快速燃爆时间和持续燃烧时间随着碳酸钾改性干水和C3H2F6配比的增加而增加,碳酸钾改性干水大幅提升了C3H2F6的抑制效果。贫燃、化学当量比和富燃工况下,气-固两相抑制剂的临界抑爆配比分别为5%-6 g、3%-6 g、1%-4 g。理论分析结果显示:复配抑爆剂对甲烷爆炸的物理抑制作用表现为稀释可燃物浓度、降低反应体系温度和稀释氧浓度;化学抑制作用方面,碳酸钾和C3H2F6热解产生的KCO3、KOH、OH和含氟基团降低了甲烷爆炸链式反应产生的关键自由基浓度。研究结果可为清洁抑爆材料及相应抑爆技术的研发提供理论依据。
  • 加载中
  • 图 1  20 L球形爆炸试验系统示意图

    Figure 1.  Schematic diagram of the 20 L spherical explosion test system

    图 2  碳酸钾改性干水材料

    Figure 2.  Dry water modified by potassium carbonate

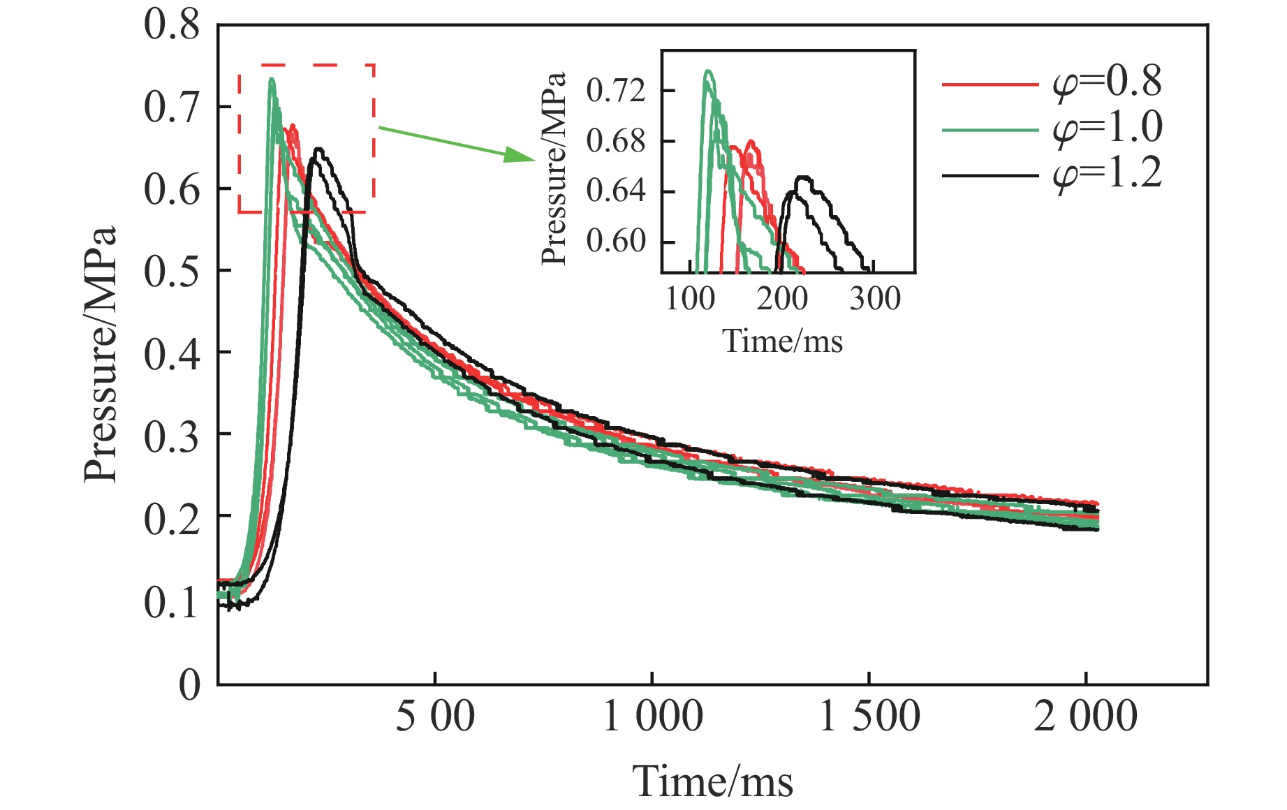
    图 3  甲烷/空气预混气体在3种化学计量比下爆燃的压力-时间演化曲线

    Figure 3.  Pressure-time evolution curves of methane/air premixed gas deflagration at three equivalence ratios

    图 4  复配抑爆剂抑制甲烷的最大爆炸压力

    Figure 4.  Maximum pressure of methane inhibited by composite suppressants

    图 5  复配抑爆剂抑制甲烷的最大爆炸压力上升速率

    Figure 5.  Maximum pressure rising rate of methane inhibited by composite suppressants

    图 6  复配抑爆剂对甲烷爆炸压力峰值时间的抑制规律

    Figure 6.  Peak pressure time of methane inhibited by composite suppressants

    图 7  复配抑爆剂对甲烷爆炸升压速率峰值时间的抑制规律

    Figure 7.  Peak pressure rising rate time of methane inhibited by composite suppressants

    图 8  碳酸钾改性干水-C3H2F6对甲烷爆炸的作用示意图

    Figure 8.  Explosion inhibition mechanism of the dry water modified by potassium carbonate-C3H2F6 mixtures

    表 1  试验工况

    Table 1.  Test conditions

    Compounding ratios $\varphi_{{\rm{C}_3} {{\rm{H}_2}}{{\rm{F}_6}}} $/% m/g Compounding ratios $\varphi_{{\rm{C}_3} {{\rm{H}_2}}{{\rm{F}_6}}} $/% m/g
    1%-2 g 1 2 5%-2 g 5 2
    1%-4 g 1 4 5%-4 g 5 4
    1%-6 g 1 6 5%-6 g 5 6
    3%-2 g 3 2 7%-2 g 7 2
    3%-4 g 3 4 7%-4 g 7 4
    3%-6 g 3 6 7%-6 g 7 6
    下载: 导出CSV

    表 2  复配抑爆工况及抑爆结果

    Table 2.  Coupling inhibition conditions and the corresponding test results

    Compounding ratio Test results
    ϕ=0.8 ϕ=1.0 ϕ=1.2
    1%-2 g Exploded Exploded Exploded
    1%-4 g Exploded Exploded Exploded
    1%-6 g Exploded Exploded Unexploded
    3%-2 g Exploded Exploded Unexploded
    3%-4 g Exploded Exploded Unexploded
    3%-6 g Exploded Exploded Unexploded
    5%-2 g Exploded Unexploded Unexploded
    5%-4 g Exploded Unexploded Unexploded
    5%-6 g Exploded Unexploded Unexploded
    7%-2 g Unexploded Unexploded Unexploded
    下载: 导出CSV

    表 3  抑制甲烷爆炸的临界配比

    Table 3.  Critical compounding ratios for methane explosion suppression

    ϕ $\varphi_{{\rm{C}_3} {{\rm{H}_2}}{{\rm{F}_6}}} $/% Critical compounding ratio
    0.8 10 5%-6 g
    1.0 7 3%-6 g
    1.2 4 1%-4 g
    下载: 导出CSV

    表 4  碳酸钾热解的关键基元反应[37]

    Table 4.  Key elementary reactions for the pyrolysis of potassium carbonate[37]

    ReactionsIndexing factorEa/(J·mol−1)
    KCO3+H=KOH+CO23×101270 040.2
    KCO3+O=KO2+CO25×101252 509.2
    KHCO3+KO=K2CO3+OH6×1012122 549.4
    KHCO3+KOH=K2CO3+H2O3×1012157 569.4
    KCO3+KO=K2CO3+O7×101287 529.3
    KCO3+KO2=K2CO3+O21×101352 509.2
    K2CO3+M=K2O+CO2+M5×10161 417 957.6
    K2CO3+OH=KCO3+KOH3×1014192 547.7
    K2CO3+O=K2O2+CO23×1014192 547.7
    下载: 导出CSV
  • [1] 邓军, 周佳敏, 白祖锦, 等. 瓦斯对煤低温氧化过程微观结构及热反应性的影响研究 [J]. 煤炭科学技术, 2023, 51(1): 304–312. DENG J, ZHOU J M, BAI Z J, et al. Effect of gas on microstructure and thermal reactivity of coal during low temperature oxidation [J]. Coal Science and Technology, 2023, 51(1): 304–312.
    [2] FAN W P, GAO Y, ZHANG Y M, et al. Experimental studies and modeling on flame velocity in turbulent deflagration in an open tube [J]. Process Safety and Environmental Protection, 2019, 129: 291–307. doi: 10.1016/j.psep.2019.07.013
    [3] HUANG L J, WANG Y, PEI S F, et al. Effect of elevated pressure on the explosion and flammability limits of methane-air mixtures [J]. Energy, 2019, 186: 115840. doi: 10.1016/j.energy.2019.07.170
    [4] SUN X X, LU S X. On the mechanisms of flame propagation in methane-air mixtures with concentration gradient [J]. Energy, 2020, 202: 117782. doi: 10.1016/j.energy.2020.117782
    [5] YI W, WEN X P, GUO Z D, et al. Experimental study on the propagation characteristics of hydrogen/methane/air premixed flames in a narrow channel [J]. International Journal of Hydrogen Energy, 2022, 47(9): 6377–6387. doi: 10.1016/j.ijhydene.2021.12.019
    [6] SKŘÍNSKÝ J, OCHODEK T, VEREŠ J, et al. The effect of low temperature on the explosion characteristics of a methane/air mixtures [J]. Energy Reports, 2022, 8(Suppl 15): 303–308.
    [7] 程方明, 南凡, 罗振敏, 等. 瓦斯抑爆材料及机理研究进展与发展趋势 [J]. 煤炭科学技术, 2021, 49(8): 114–124. CHENG F M, NAN F, LUO Z M, et al. Research progress and development trend of gas explosion suppression materials and mechanism [J]. Coal Science and Technology, 2021, 49(8): 114–124.
    [8] JI H, LU R J, YANG K, et al. Experimental study on methane explosion suppression by heptafluoropropane drived modified ABC powder [J]. Process Safety and Environmental Protection, 2023, 170: 623–635. doi: 10.1016/j.psep.2022.12.031
    [9] WANG T, YANG P, YI W Z, et al. Effect of obstacle shape on the deflagration characteristics of premixed LPG-air mixtures in a closed tube [J]. Process Safety and Environmental Protection, 2022, 168: 248–256. doi: 10.1016/j.psep.2022.09.079
    [10] 裴蓓, 李世梁, 韦双明, 等. N2/超细水雾抑制甲烷爆炸点火和火焰传播特性 [J]. 中国矿业大学学报, 2023, 52(2): 329–341. PEI B, LI S L, WEI S M, et al. Inhibition effect on the ignition and flame propagation characteristic of methane explosion by N2/ultrafine water mist [J]. Journal of China University of Mining & Technology, 2023, 52(2): 329–341.
    [11] 杨克, 张平, 邢志祥, 等. 含NaCl超细水雾抑制甲烷爆炸实验研究 [J]. 中国安全生产科学技术, 2019, 15(3): 86–91. doi: 10.11731/j.issn.1673-193x.2019.03.014 YANG K, ZHANG P, XING Z X, et al. Experimental study on methane explosion suppression by ultrafine water mist containing NaCl additive [J]. Journal of Safety Science and Technology, 2019, 15(3): 86–91. doi: 10.11731/j.issn.1673-193x.2019.03.014
    [12] LIU R Z, ZHANG M C, JIA B S. Application of gas explosion nanometer powder suppression material in coal mine safety [J]. Integrated Ferroelectrics, 2021, 217(1): 240–254. doi: 10.1080/10584587.2021.1911317
    [13] 覃欣欣, 司荣军, 李润之. 抑爆剂面密度对瓦斯爆炸传播抑制效果的影响 [J]. 煤矿安全, 2016, 47(12): 168–171. QIN X X, SI R J, LI R Z. Influence of surface density of explosion suppression agent on inhibiting effect of gas explosion propagation [J]. Safety in Coal Mines, 2016, 47(12): 168–171.
    [14] LUO Z M, SUN Y L, WANG T, et al. Synergistic inhibition of H2/CH4 explosions by CO2/modified KHCO3 powder [J]. Journal of Loss Prevention in the Process Industries, 2023, 86: 105197. doi: 10.1016/j.jlp.2023.105197
    [15] ZHENG L G, WANG Y L, YU S J, et al. The premixed methane/air explosion inhibited by sodium bicarbonate with different particle size distributions [J]. Powder Technology, 2019, 354: 630–640. doi: 10.1016/j.powtec.2019.06.034
    [16] 纪文涛, 张国涛, 杨帅帅, 等. 惰性粉体抑制瓦斯/煤尘复合爆炸特性及机理研究 [J]. 煤炭科学技术, 2024, 52(11): 337–345. doi: 10.12438/cst.2023-1411 JI W T, ZHANG G T, YANG S S, et al. Study on the characteristics and mechanism of inert powder inhibition of gas/coal dust compound explosion [J]. Coal Science and Technology, 2024, 52(11): 337–345. doi: 10.12438/cst.2023-1411
    [17] YANG K, LI L K, JI H, et al. Experimental study of NaHCO3/modified vermiculite composite powder for methane explosion suppression [J]. Fuel, 2024, 378: 132808. doi: 10.1016/j.fuel.2024.132808
    [18] CHEN J S, CHEN K, SHI W X, et al. The preparation of novel core-shell suppressor and its suppression mechanism on coal dust explosion flame [J]. Fuel, 2022, 313: 122997. doi: 10.1016/j.fuel.2021.122997
    [19] CHEN X F, FAN A, YUAN B H, et al. Renewable biomass gel reinforced core-shell dry water material as novel fire extinguishing agent [J]. Journal of Loss Prevention in the Process Industries, 2019, 59: 14–22. doi: 10.1016/j.jlp.2019.02.008
    [20] TIAN S Y, QIN B T, MA D, et al. Suppressive effects of alkali metal salt modified dry water material on methane-air explosion [J]. Energy, 2023, 285: 129547. doi: 10.1016/j.energy.2023.129547
    [21] LEE E, SON H, CHOI Y. Elucidating the effects of particle sizes on the fire extinguishing performance of core-shell dry water [J]. Korean Journal of Chemical Engineering, 2020, 37(10): 1642–1648. doi: 10.1007/s11814-020-0632-0
    [22] 吴佩利. 改性干水粉体制备及灭火性能研究 [D]. 西安: 西安科技大学, 2022. WU P L. Study on preparation and fire extinguishing performance of modified dry water powder [D]. Xi’an: Xi’an University of Science and Technology, 2022.
    [23] WANG Q H, MA C, DENG J, et al. Gas explosion suppression by ammonium dihydrogen phosphate-modified dry water powder [J]. Powder Technology, 2023, 416: 118228. doi: 10.1016/j.powtec.2023.118228
    [24] ZHENG X Z, KOU Z Z, LIU S K, et al. Preparation and properties of a new core-shell-modified gel dry-water powder [J]. Powder Technology, 2023, 422: 118493. doi: 10.1016/j.powtec.2023.118493
    [25] WANG T, YANG Z, YANG P, et al. The deflagration suppression effect of ammonium salt-modified dry water on methane-air mixtures: an experimental investigation [J]. Powder Technology, 2024, 434: 119313. doi: 10.1016/j.powtec.2023.119313
    [26] 程方明, 南凡, 肖旸, 等. CF3I和CO2抑制甲烷-空气爆炸实验研究 [J]. 爆炸与冲击, 2022, 42(6): 065402. doi: 10.11883/bzycj-2021-0386 CHENG F M, NAN F, XIAO Y, et al. Experimental study on the suppression of methane-air explosion by CF3I and CO2 [J]. Explosion and Shock Waves, 2022, 42(6): 065402. doi: 10.11883/bzycj-2021-0386
    [27] LIANG H, YAN X Q, SHI E H, et al. Flame evolution and pressure dynamics of premixed stoichiometric ammonia/hydrogen/air in a closed duct [J]. Fuel, 2024, 363: 130983. doi: 10.1016/j.fuel.2024.130983
    [28] 王保. 20 L球内惰气抑制甲烷-乙烯与空气预混爆炸特性研究 [D]. 淮南: 安徽理工大学, 2022. WANG B. Study on the performance of 20 L inert gas in a sphere to suppress the premixed explosion of methane-ethylene with air [D]. Huainan: Anhui University of Science and Technology, 2022.
    [29] 王燕, 林森, 李忠, 等. 惰性气体对KHCO3冷气溶胶甲烷抑爆性能的影响研究 [J]. 煤炭科学技术, 2021, 49(2): 145–152. WANG Y, LIN S, LI Z, et al. Research on synergistic effect of inert gas on methane explosion suppression performance of KHCO3 cold aerosol [J]. Coal Science and Technology, 2021, 49(2): 145–152.
    [30] DONG Z Q, LIU L J, CHU Y Y, et al. Explosion suppression range and the minimum amount for complete suppression on methane-air explosion by heptafluoropropane [J]. Fuel, 2022, 328: 125331. doi: 10.1016/j.fuel.2022.125331
    [31] 杨克, 陈舒佳, 邢志祥, 等. 七氟丙烷与障碍物对甲烷爆炸耦合影响的试验研究 [J]. 中国矿业大学学报, 2023, 52(4): 750–760. YANG K, CHEN S J, XING Z X, et al. Experimental study of the coupling effect of heptafluoropropane and obstacle on the methane explosion [J]. Journal of China University of Mining and Technology, 2023, 52(4): 750–760.
    [32] 王涛, 董哲, 盛禹淮, 等. 卤代烷气体灭火剂促进-抑制瓦斯燃爆特性试验 [J]. 煤炭科学技术, 2024, 52(4): 265–274. doi: 10.12438/cst.2023-1793 WANG T, DONG Z, SHENG Y H, et al. Experiment on the promoting-inhibiting effects on methane explosion by using haloalkanes [J]. Coal Science and Technology, 2024, 52(4): 265–274. doi: 10.12438/cst.2023-1793
    [33] 孟祥卿. 气/固两相抑制剂的甲烷抑爆特性研究 [D]. 焦作: 河南理工大学, 2019. MENG X Q. Suppression characteristics of gas/solid two-phase inhibitors on methane explosion [D]. Jiaozuo: Henan Polytechnic University, 2019.
    [34] ZHAO T L, CHEN X K, LUO Z M, et al. Effect of N2 inerting on the inhibition of methane explosions by a multicomponent powder [J]. Fuel, 2023, 337: 127203. doi: 10.1016/j.fuel.2022.127203
    [35] 田志辉. 气-固混合抑制剂对矿井瓦斯的抑爆实验研究 [D]. 西安: 西安科技大学, 2013. TIAN Z H. Suppressing experimental study on mine methane explosion by the gas-solid mixied inhibitors [D]. Xi’an: Xi’an University of Science and Technology, 2013.
    [36] LUO Z M, WANG T, TIAN Z H, et al. Experimental study on the suppression of gas explosion using the gas-solid suppressant of CO2/ABC powder [J]. Journal of Loss Prevention in the Process Industries, 2014, 30: 17–23. doi: 10.1016/j.jlp.2014.04.006
    [37] BABUSHOK V I, LINTERIS G T, HOORELBEKE P, et al. Flame inhibition by potassium-containing compounds [J]. Combustion Science and Technology, 2017, 189(12): 2039–2055. doi: 10.1080/00102202.2017.1347162
    [38] FERGUSON J D, JOHNSON N L, KEKENES-HUSKEY P M, et al. Unimolecular rate constants for HX or DX elimination (X=F, Cl) from chemically activated CF3CH2CH2Cl, C2H5CH2Cl, and C2D5CH2Cl: threshold energies for HF and HCl elimination [J]. The Journal of Physical Chemistry A, 2005, 109(20): 4540–4551. doi: 10.1021/jp040735g
    [39] 谈玲华, 李勤华, 冒爱琴, 等. 六氟丙烷热分解性能及机理研究 [J]. 南京理工大学学报(自然科学版), 2010, 34(5): 691–695. TAN L H, LI Q H, MAO A Q, et al. Thermal decomposition properties and mechanism of hexafluoropropane [J]. Journal of Nanjing University of Science and Technology (Natural Science), 2010, 34(5): 691–695.
    [40] BARRY J, LOCKE G, SCOLLARD D, et al. 1,1,1,3,3,-pentafluorobutane (HFC-365mfc): atmospheric degradation and contribution to radiative forcing [J]. International Journal of Chemical Kinetics, 1997, 29(8): 607–617. doi: 10.1002/(SICI)1097-4601(1997)29:8<607::AID-KIN6>3.0.CO;2-Y
  • 加载中
图( 8) 表( 4)
计量
  • 文章访问数:  310
  • HTML全文浏览数:  310
  • PDF下载数:  4
  • 施引文献:  0
出版历程
  • 收稿日期:  2024-11-03
  • 录用日期:  2025-01-14
  • 刊出日期:  2025-04-05

碳酸钾改性干水-六氟丙烷抑制甲烷爆炸特性

    作者简介: 王 涛(1988-),男,博士,教授,主要从事工业燃爆灾害防控研究. E-mail:christfer@xust.edu.cn
  • 西安科技大学安全科学与工程学院, 陕西 西安 710054

摘要: 爆炸抑制技术是减轻瓦斯爆炸事故灾后影响的重要手段。为探究两相复合抑爆剂的抑制效果,选取碳酸钾改性干水粉体和六氟丙烷(C3H2F6)气体为抑爆介质,通过试验研究了二者复配影响下甲烷爆炸压力和时间参数的变化规律,并对其协同抑爆机理开展了理论分析。试验结果表明,在富燃工况下,甲烷爆炸的快速燃爆时间和持续燃烧时间随着碳酸钾改性干水和C3H2F6配比的增加而增加,碳酸钾改性干水大幅提升了C3H2F6的抑制效果。贫燃、化学当量比和富燃工况下,气-固两相抑制剂的临界抑爆配比分别为5%-6 g、3%-6 g、1%-4 g。理论分析结果显示:复配抑爆剂对甲烷爆炸的物理抑制作用表现为稀释可燃物浓度、降低反应体系温度和稀释氧浓度;化学抑制作用方面,碳酸钾和C3H2F6热解产生的KCO3、KOH、OH和含氟基团降低了甲烷爆炸链式反应产生的关键自由基浓度。研究结果可为清洁抑爆材料及相应抑爆技术的研发提供理论依据。

English Abstract

  • 瓦斯爆炸具有突发性和灾难性等特点,是煤矿安全生产过程中亟须解决的一大难题[1]。针对这一难题,国内外学者研究了各类抑爆材料的作用效果[26],常见的抑爆介质有细水雾、粉体、惰性气体及卤代烃等[79]。细水雾主要通过汽化稀释、冷却降温等效应降低化学反应速率[1011],达到抑制爆炸的目的。粉体抑爆材料的种类、粒度和热物性对甲烷抑爆效果具有较大的影响[1213]。钾盐、钠盐卤化物等化学试剂被广泛应用于爆炸抑制[1417]。干水材料作为新型灭火剂,具有比传统粉末抑制剂更显著的抑制效果[18],诸多学者从干水粉体的粒径、改性剂、改性材料质量比等方面研究了其抑爆/灭火性能[1924]。改性干水材料除了通过吸收热量和稀释氧气进行物理抑制外,其热解产物还可以通过在整个链式反应中消耗OH·、H·和O·自由基实现化学抑制[25]。惰性气体通过稀释氧气和减弱自由基的有效碰撞次数,减缓爆炸反应速率[2629]。卤代烷同样在抑制火焰传播和降低易燃气体爆炸压力方面具有较好的效果[3031],研究结果表明,六氟丙烷(C3H2F6)比C3HF7和CHF3表现出更好的抑制效果[32]

    近年来,为解决单组分抑爆剂性能受限的问题,学者们开展了双组分复配惰化抑爆研究,探索了复配种类和添加量等因素对可燃气体燃爆的抑制效果,结果表明,双组分抑制剂在抑制可燃气体爆炸过程中起着协同作用。孟祥卿[33]的实验结果显示,气-固两相抑制剂对甲烷具有优良的抑爆效果。Zhao等[34]研究了不同N2/多组分粉末浓度和比例抑制甲烷爆炸的机制。田志辉[35]研究发现,CO2与Mg(OH)2协同抑制瓦斯爆炸时存在一定的耦合作用。Luo等[36]揭示了ABC粉与CO2之间的协同增效效应,发现复配后的抑制效果优于单组分抑制效果的叠加。

    整体而言,国内外学者针对甲烷爆炸抑制材料和技术已经开展了大量研究,揭示了其抑制甲烷爆炸的作用规律,取得了丰硕的成果,但关于双组分抑制剂的协同抑爆机理研究还有待完善。目前对于钾盐改性干水和C3H2F6复配抑爆剂抑制甲烷爆炸的影响还未开展系统的研究。为进一步提升抑爆材料作用效能,在前期研究的基础上,本工作选取单组分抑爆性能良好的碳酸钾改性干水和C3H2F6 2种典型抑制剂[32],通过试验测试研究其复配工况在贫燃、化学当量比和富燃条件下抑制甲烷爆炸压力和时间参数的作用规律,得到不同复配工况下的临界抑爆配比,结合理论分析揭示碳酸钾改性干水与C3H2F6的协同抑制机理,以期为研发高效抑爆剂和工程防护应用提供理论依据。

    • 通过20 L球形爆炸试验系统测试了碳酸钾改性干水和C3H2F6组成的双组分复配抑制剂对甲烷爆炸压力参数、时间参数及临界抑爆添加量等参数的影响。该设备主要由密封式爆炸罐、点火系统、配气系统和数据采集系统(控制单元和采集单元)组成,试验装置如图1所示。

      试验过程中:首先,称取一定质量的干水材料装入粉尘仓;然后,将试验系统抽真空至25 kPa,依据道尔顿分压定律,将预设的混合气体依次充入爆炸罐内,静置300 s使其均匀混合;接下来,喷入干水材料并点火,喷粉压力设置为1 MPa,点火方式采用高压电火花点火,点火能量设定为3.6 J,点火延迟时间和电弧维持时间均为60 ms;最后,数据采集系统自动采集爆炸压力参数。每次试验后抽真空清理残余气体,然后利用工业吸尘器和毛巾清理罐体内壁和点火电极。每组试验进行3次重复测试,以保证试验结果的可靠性。

    • 本研究所用气体有高纯甲烷(CH4)、C3H2F6和高压空气,粉体为采用高速剪切搅拌法制备的碳酸钾改性干水材料。在疏水型气相二氧化硅与去离子水的质量比为12∶100、高速搅拌转速为5 500 r/min、搅拌时间为300 s、碳酸钾改性剂质量分数为10%的条件下,制备出的干水粒径分布均匀、形态良好、流动性佳,且未出现破裂的情况[25]图2(a)为碳酸钾改性干水实物照片,图2(b)为其显微图像。试验工况如表1所示,其中:$\varphi_{{\rm{C}_3} {{\rm{H}_2}}{{\rm{F}_6}}}$为C3H2F6的体积分数,m为碳酸钾改性干水的添加质量。3种化学计量比(ϕ=0.8, 1.0, 1.2)条件下,气-固两相抑制剂的添加量控制至完全抑制甲烷爆炸为止。

      对3种化学计量比的甲烷/空气预混气体各进行3次重复试验,得到其压力-时间演化曲线,如图3所示。可以看出,压力峰值误差的算术平均值仅为3.182 kPa,表明20 L球形爆炸试验系统的重复性良好,试验结果可靠。

    • 图4图5分别给出了3种化学计量比下不同比例碳酸钾改性干水-C3H2F6复配抑爆剂抑制甲烷爆炸的最大爆炸压力(pmax)和最大爆炸压力上升速率((dp/dt)max)演化曲线。当C3H2F6的添加量一定时,随着碳酸钾改性干水抑制剂添加量的增加,最大爆炸压力和最大爆炸压力上升速率呈现明显的下降趋势,说明与甲烷的化学计量比无关。当处于贫燃状态、碳酸钾改性干水添加量一定时,1%和3%体积分数的C3H2F6增大了甲烷爆炸的最大爆炸压力,呈现促爆效应。这是由于卤代烷提升热释放量的作用大于其在甲烷爆炸链式反应进程中的阻尼作用[32]。当气-固两相抑制剂中C3H2F6的体积分数为5%时,抑制效果最好,碳酸钾改性干水添加量达到6 g时,甲烷爆炸的最大爆炸压力降低了58.3%。随着碳酸钾改性干水添加量的增加,甲烷爆炸的最大爆炸压力和最大爆炸压力上升速率抑制作用并未大幅提升,说明该条件下的气-固两相抑制剂中,C3H2F6起主要抑制作用。

      在化学当量比条件下,随着C3H2F6体积分数的增加,甲烷爆炸的最大爆炸压力随之减小,与固相抑制剂的添加量无关。随着气-固两相抑制剂添加量的增加,甲烷爆炸的最大爆炸压力上升速率逐渐降低。当C3H2F6的体积分数为3%、碳酸钾改性干水添加量为6 g时,甲烷爆炸的最大爆炸压力达到最小值0.44 MPa,降低了38.8%,最大爆炸压力上升速率与未添加抑爆剂相比降低了78.7%。

      当处于富燃状态时,气-固两相抑制剂表现出突出的抑制效果。在C3H2F6的体积分数为1%、碳酸钾改性干水添加量为4 g时,甲烷爆炸的最大爆炸压力与未添加抑爆剂时相比降低了48.6%,最大爆炸压力上升速率降低了51.7%。这是由于,在富燃状态下甲烷不完全燃烧,使得气-固两相抑制剂对甲烷爆炸的抑制效果较好,所需抑制剂较少。

    • 图6图7分别给出了3种化学计量比条件下复配抑爆剂抑制甲烷爆炸的爆炸压力峰值时间(tc)和升压速率峰值时间(tb)的分布规律。在贫燃和化学计量比条件下,甲烷爆炸的爆炸压力峰值时间和升压速率峰值时间具有相同的变化规律。当C3H2F6的体积分数一定时,随着碳酸钾改性干水抑制剂添加量的增加,爆炸压力峰值时间和升压速率峰值时间先增大后减小。在贫燃状态下,当碳酸钾改性干水添加量一定时,体积分数为1%和3%的C3H2F6增强了甲烷的燃烧反应;随着C3H2F6的增加,氟化自由基参与了反应,产生了抑制作用,延长了爆炸反应时间。气-固两相抑制剂中C3H2F6的体积分数为5%时,复配抑爆剂对甲烷爆炸的爆炸压力峰值时间和升压速率峰值时间的抑制效果最佳。当碳酸钾改性干水添加量由0 g增加到6 g时,甲烷爆炸的爆炸压力峰值时间和升压速率峰值时间分别延长到1 976.8和1 577 ms,极大地延长了甲烷爆炸的时间参数。

      在化学计量比条件下,当C3H2F6的体积分数一定时,甲烷爆炸的爆炸压力峰值时间随着碳酸钾改性干水添加量的增加先增长后缩短。当C3H2F6的体积分数为1%和3%时,甲烷爆炸压力峰值时间均在碳酸钾改性干水添加量为4 g时达到最大值,分别为962.1和1 497.0 ms,增长了669.0%和1 096.7%。当气-固两相抑制剂的配比为0%-4 g、1%-4 g、3%-4 g时,甲烷爆炸的升压速率峰值时间达到最大值,分别为1 195.1、855.2、1 333.0 ms,与未添加抑爆剂时相比分别增长了713.0%、481.8%、806.8%。气-固两相抑制剂的配比为3%-4 g时表现出良好的抑制效果。

      在富燃状态下,贫瘠的氧含量导致爆炸过程中甲烷不完全燃烧,少量抑爆剂就极大地延长了甲烷爆炸时间。气-固两相抑制剂的配比为1%-4g时,甲烷爆炸压力峰值时间达到最大值1 519.0 ms,与未添加抑爆剂时相比增长了605.2%。而当配比为0%-4g时,甲烷爆炸的升压速率峰值时间达到最大值,增长了742.9%。

    • 表2给出了碳酸钾改性干水和C3H2F6复配抑制剂的配比及抑爆结果,最终数据是在3次平行重复试验未爆炸和3次平行重复试验中至少一次爆炸而取最小配比获得。贫燃状态下,气-固两相抑制剂的抑爆配比为5%-6 g;化学计量比条件下,气-固两相抑制剂的抑爆配比为3%-6 g;富燃状态下,气-固两相抑制剂的抑爆配比为1%-4 g。

      表3为不同配比条件下C3H2F6-碳酸钾改性干水复配抑爆剂对3种化学计量比条件下的临界抑爆量。从表3可以看出,随着甲烷体积分数的增加,其完全惰化所需的气-固两相抑制剂配比逐渐减小。与C3H2F6单独作用时相比,气-固两相抑制剂中碳酸钾改性干水的添加极大程度地提升了C3H2F6的抑制效果。

    • 甲烷-空气燃烧过程中涉及H、OH及O等活性基团的产生和消耗的基元反应。本研究中,碳酸钾改性干水的组分为SiO2、H2O和K2CO3,在碳酸钾改性干水抑制甲烷爆炸过程中,SiO2和去离子水并不参与化学反应。碳酸钾热解产生大量活性基团,有效降低甲烷爆炸的链式反应进程,同时,分解产物CO2和H2O在一定程度上也起到了窒息作用。碳酸钾的关键热解基元反应如表4所示。

      Ferguson等[38]、谈玲华等[39]、Barry等[40]系统分析了C3H2F6的热解过程,发现在一定温度下,C3H2F6会吸收能量发生化学键断裂的化学反应。

      C3H2F6在抑制甲烷-空气预混体系爆炸进程中,会产生大量的CF3、CF2和F等含氟基团,含氟基团与甲烷爆炸过程中产生的关键自由基结合,生成HF和CO2等稳定性物质。根据上述反应化学方程式,总结C3H2F6抑制甲烷爆炸夺取关键自由基的反应步骤为

    • 图8为碳酸钾改性干水-C3H2F6协同抑制甲烷爆炸的综合作用示意图。其中,物理抑制作用主要通过降低可燃物浓度、反应体系温度和氧的浓度来实现。C3H2F6通过降低反应体系中氧气和甲烷的浓度实现其物理抑制作用。碳酸钾改性干水材料的物理抑制作用如下:在抑爆过程中,碳酸钾改性干水材料中的去离子水快速蒸发吸热,使反应体系降温冷却。去离子水蒸发产生的水蒸气和二氧化硅粉体有效稀释了反应区周围的氧气,阻尼爆炸火焰的燃烧,使得自由基产生量下降,从而达到抑爆的目的。同时,碳酸钾在甲烷爆炸的高温条件下开始分解并吸收热量,爆炸区域内热量积累速率减慢,致使火焰传播速率和冲击波速率下降。分解产物中的CO2为惰性气体,在一定程度上降低了局部氧浓度,对爆炸火焰起到窒息作用,致使爆炸反应速率降低;分解产物中的H2O吸收周围爆炸反应区的热量,降低火焰温度,并在吸热后形成水蒸气,再次降低爆炸反应区的氧浓度,以窒息的方式削弱火焰的发展。

    • 对于钾盐粉体甲烷爆炸,钾盐粉体受热分解产生KCO3、KOH、OH、KO、KO2和K2O2等活性基团,这些活性基团与甲烷爆炸链式反应中产生的H和OH等自由基结合,生成CO2、K2O和H2O等稳定物质,有效降低了链式反应中关键自由基的浓度,减缓反应进程。另一方面,碳酸钾改性干水粉体与自由基发生碰撞和吸附,降低了自由基的浓度,减缓了甲烷爆炸链式反应,对爆炸起到了化学抑制的作用。

      添加C3H2F6后,含氟自由基对H、OH、O等活性基团的清除作用是抑制燃烧的主要因素。C3H2F6在热解过程中会产生大量的CF3、CF2、CFO、CF2O、CHF和F等含氟基团,含氟基团与H、OH、O等关键自由基生成相对稳定的HF和CO2等产物,中断链式反应,抑制了燃烧反应。当H、OH、O等爆炸关键自由基的减少速率大于生成速率时,爆炸链式反应将被终止,此时甲烷爆炸抑制成功。

    • (1) 碳酸钾改性干水-C3H2F6复配抑爆剂中C3H2F6的体积分数一定时,甲烷爆炸的最大爆炸压力和最大爆炸压力上升速率随着碳酸钾改性干水抑制剂添加量的增加呈现明显下降趋势。在富燃状态下,甲烷爆炸的快速燃爆时间和持续燃烧时间随着碳酸钾改性干水和C3H2F6的增加而增大。与C3H2F6单独作用相比,碳酸钾改性干水的添加极大程度地提升了C3H2F6的抑制效果,为高效抑爆剂的研发提供了参考。

      (2) 碳酸钾改性干水-C3H2F6复配抑爆剂因其中气、固抑爆剂在甲烷燃爆进程中的耦合作用,极大地提升了抑爆效能,对于工程防护有较高的应用价值。贫燃状态下气-固两相抑制剂的临界抑爆配比为5%-6 g,化学计量比条件下的临界抑爆配比为3%-6 g,富燃状态下的临界抑爆配比为1%-4 g。

      (3) 碳酸钾改性干水和C3H2F6主要通过降低可燃物浓度、降低反应体系温度和氧浓度来实现对甲烷爆炸的物理抑制。碳酸钾改性干水通过对反应体系冷却降温和降低反应区的氧浓度来阻尼甲烷爆炸链-热反应的进程。C3H2F6通过降低反应体系中氧气和甲烷的浓度,产生物理抑制的效果。碳酸钾和C3H2F6热解产生大量的KCO3、KOH、OH和含氟基团,与甲烷爆炸链式反应中产生的H和OH等自由基结合,生成CO2、K2O、HF和H2O等较稳定的产物,降低了关键自由基的浓度,从而产生化学抑制的效果。

    参考文献 (40)

目录

/

返回文章
返回