低能区N3+离子与He原子碰撞电荷转移截面研究

上一篇

下一篇

林晓贺, 林敏娟, 王堃, 吴勇, 任元, 王瑜, 李婕维. 低能区N3+离子与He原子碰撞电荷转移截面研究[J]. 物理学报, 2025, 74(15): 152501-1. doi: 10.7498/aps.74.20250581
引用本文: 林晓贺, 林敏娟, 王堃, 吴勇, 任元, 王瑜, 李婕维. 低能区N3+离子与He原子碰撞电荷转移截面研究[J]. 物理学报, 2025, 74(15): 152501-1. doi: 10.7498/aps.74.20250581
Xiaohe LIN, Minjuan LIN, Kun WANG, Yong WU, Yuan REN, Yu WANG, Jiewei LI. Charge transfer cross sections of collisions of N3+ ions with He atoms in low energy region[J]. Acta Physica Sinica, 2025, 74(15): 152501-1. doi: 10.7498/aps.74.20250581
Citation: Xiaohe LIN, Minjuan LIN, Kun WANG, Yong WU, Yuan REN, Yu WANG, Jiewei LI. Charge transfer cross sections of collisions of N3+ ions with He atoms in low energy region[J]. Acta Physica Sinica, 2025, 74(15): 152501-1. doi: 10.7498/aps.74.20250581

低能区N3+离子与He原子碰撞电荷转移截面研究

    通讯作者: E-mail: wangy@tyust.edu.cn.; 
  • 中图分类号: 25.40.Kv, 25.45.Kk, 25.55.Kr, 13.85.Lg

Charge transfer cross sections of collisions of N3+ ions with He atoms in low energy region

    Corresponding author: E-mail: wangy@tyust.edu.cn.; 
  • MSC: 25.40.Kv, 25.45.Kk, 25.55.Kr, 13.85.Lg

  • 摘要: N3+离子与基态He原子碰撞过程在天体物理、星际空间和实验室等离子体环境中具有重要研究意义. 本文采用从头算的多参考单双激发组态相互作用方法精确计算了[NHe]3+碰撞体系的分子结构参数, 包括势能曲线和耦合矩阵元等. 基于计算得到的结构参数, 采用全量子分子轨道强耦合方法开展了低能N3+离子与He原子碰撞电荷转移过程研究, 获得了能量在3.16 × 10–3 eV—24 keV(即2.25 × 10–4 eV/u—1.73 keV/u)范围内的总单电荷、双电荷转移截面和态选择截面. 在计算中考虑了电荷平动因子、高角动量态对碰撞过程的影响, 发现高角动量态对电荷转移截面具有显著影响. 与现有实验和理论结果相比, 当前计算的单电荷和双电荷转移截面与实验测量值更为接近. 相较于Liu等(2011 Phys. Rev. A 84 042706)未考虑高角动量态的研究, 当碰撞能量大于10 eV/u时, 其总单电荷转移截面约高出当前计算值2—3倍, 表明高角动量态对电荷转移过程具有显著影响. 同时研究表明单电荷转移截面远大于双电荷转移截面, 在碰撞电荷转移过程中占据主导地位. 本文数据集可在https://doi.org/10.57760/sciencedb.j00213.00165中访问获取.
  • 加载中
  • 图 1  NHe3+碰撞体系单重态的绝热势能曲线

    Figure 1.  Adiabatic potential curves of the singlet of NHe3+ collision system.

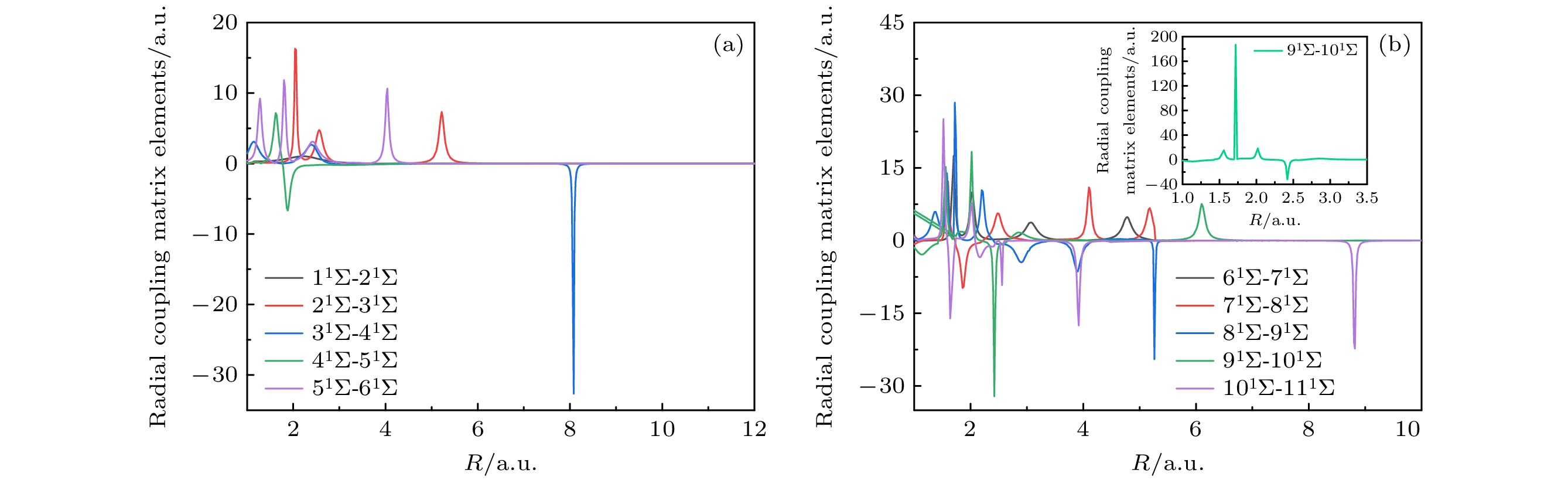
    图 2  NHe3+碰撞体系单重态相邻两1Σ态间的径向耦合矩阵元

    Figure 2.  Radial coupling matrix elements between the adjacent 1Σ states for NHe3+ collision system.

    图 3  NHe3+碰撞体系单重态相邻两1Π态间的径向耦合矩阵元

    Figure 3.  Radial coupling matrix elements between the adjacent 1Π states for NHe3+ collision system.

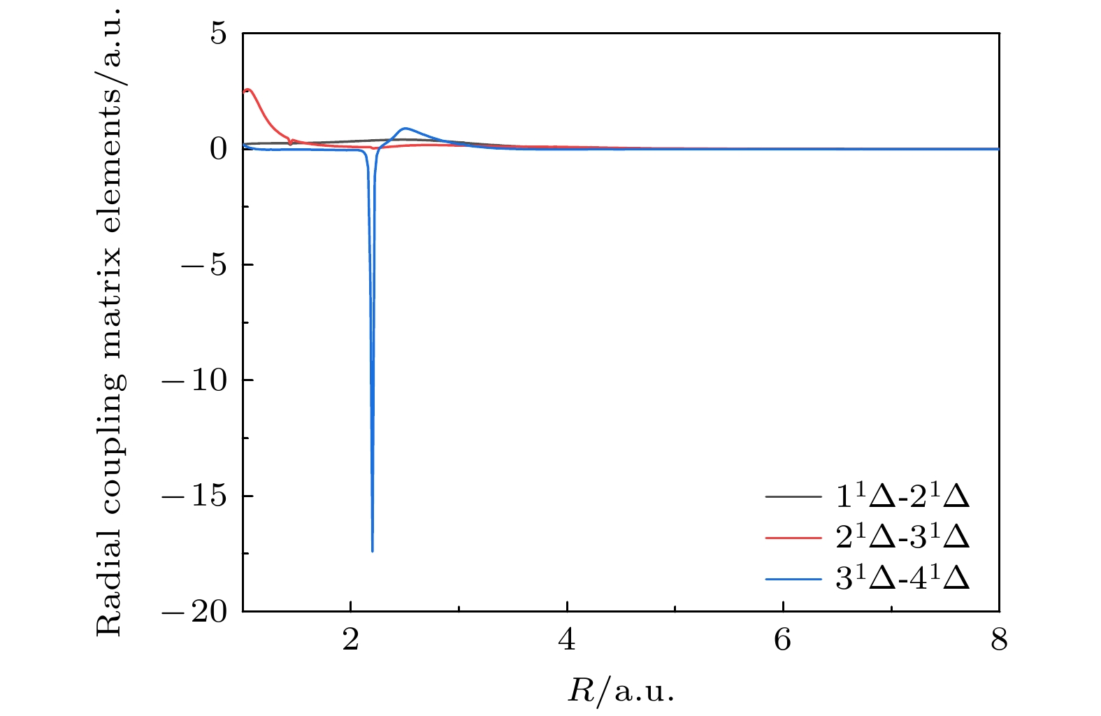
    图 4  NHe3+碰撞体系单重态相邻两1Δ态间的径向耦合矩阵元

    Figure 4.  Radial coupling matrix elements between the adjacent 1Δ states for NHe3+ collision system.

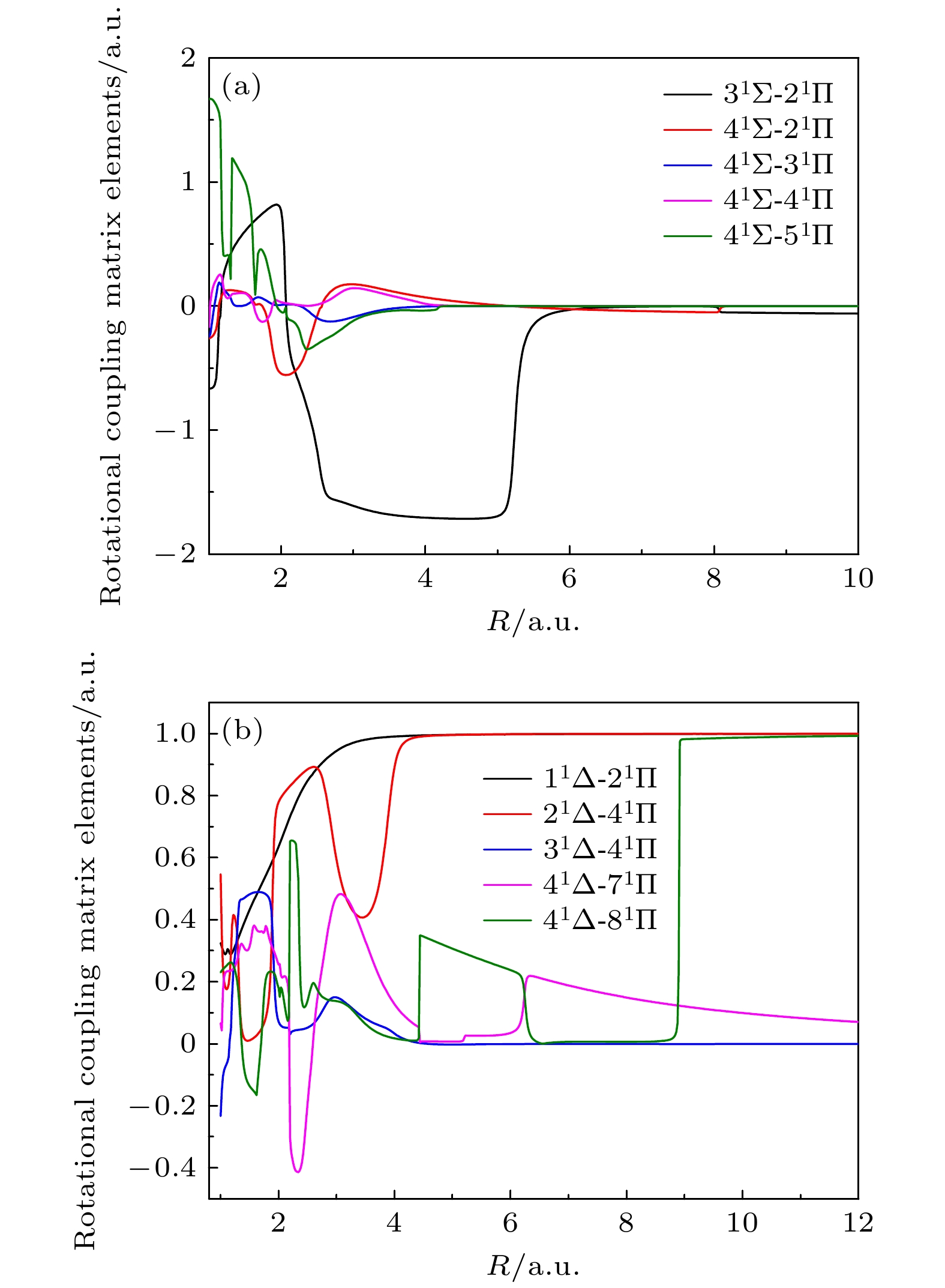
    图 5  NHe3+碰撞体系单重态部分重要的转动耦合矩阵元

    Figure 5.  Some important singlet rotational coupling matrix elements for NHe3+ collision system.

    图 6  N3+离子与基态He原子碰撞总的单、双电荷转移截面

    Figure 6.  Total single and double charge transfer cross sections in N3+-He collisions.

    图 7  N3+离子与基态He原子碰撞电荷转移形成N+离子的态选择截面

    Figure 7.  State selective cross sections for charge transfer to N+ ion in N3+-He collisions.

    图 8  N3+离子与基态He原子碰撞电荷转移形成N2+离子的态选择截面

    Figure 8.  State selective cross sections for charge transfer to N2+ ion in N3+-He collisions.

    表 1  NHe3+单重态渐近区各能级与NIST表[21]中结果的对比

    Table 1.  Compared the energy levels in the asymptotic region of the singlet state of NHe3+ with the results in NIST[21]

    渐进原子态 分子态 Energy/eV
    MRD-CI NIST[21] Errors
    N2+(2s22p 2Po)+He+(1s) 11Σ, 11Π 0.0000 0.0000 0.0000
    N2+(2s 2p2 2D)+He+(1s) 21Σ, 11Δ, 21Π 12.5087 12.5254 0.0167
    N2+(2s2p2 2P)+He+(1s) 31Π 18.0958 18.0863 0.0095
    N2+(2s2p2 2S)+He+(1s) 31Σ 16.2564 16.2425 0.0139
    N3+(2s2 1S)+He(1s2) 41Σ 22.8803 22.8579 0.0224
    N2+((2p3 2Do)+He+(1s) 41Π, 21Δ 25.1239 25.1780 0.0541
    N+(2s22p2 1D)+He2+ 51Σ, 51Π, 31Δ 26.7503 26.7150 0.0353
    N2+(2s23s 2S)+He+(1s) 61Σ 27.4341 37.4380 0.0039
    N2+(2p3 2Po)+He+(1s) 71Σ, 61Π 28.5454 28.5665 0.0211
    N+(2s22p2 1S)+He2+ 81Σ 28.9204 28.8690 0.0514
    N2+(2s23p 2Po)+He+(1s) 91Σ, 71Π 30.4405 30.4586 0.0181
    N2+(2s23d 2D)+He+(1s) 101Σ, 81Π, 41Δ 33.1233 33.1333 0.0100
    N2+(2s2p3s 2Po)+He+(1s) 111Σ, 91Π 36.8428 36.8421 0.0007
    N2+(2s2p3p 2P)+He+(1s) 101Π 38.2795 38.3274 0.0479
    下载: 导出CSV
  • [1] 朱宇豪, 袁翔, 吴勇, 王建国 2023 物理学报 72 163401 doi: 10.7498/aps.72.20230470 Zhu Y H, Yuan X, Wu Y, Wang J G 2023 Acta Phys. Sin. 72 163401 doi: 10.7498/aps.72.20230470
    [2] 刘春华 2009 博士学位论文 (北京: 中国科学院大学) Liu C H 2009 Ph. D. Dissertation (Beijing: University of the Chinese Academy of Sciences
    [3] 高志民, 陈熙萌, 刘兆远, 丁宝卫, 鲁彦霞, 付宏斌, 刘玉文, 杜娟, 崔莹, 邵剑雄, 张红强, 孙光智 2007 物理学报 56 2079 doi: 10.7498/aps.56.2079 Gao Z M, Chen X M, Liu Z Y, Ding B W, Lu Y X, Fu H B, Liu Y W, Du J, Cui Y, Shao J X, Zhang H Q, Sun G Z 2007 Acta Phys. Sin. 56 2079 doi: 10.7498/aps.56.2079
    [4] 林晓贺 2019 博士学位论文 (北京: 北京理工大学) Lin X H 2019 Ph. D. Dissertation (Beijing: Beijing Institute of Technology
    [5] Rice J E, Marmar E S, Terry J L, Källne E, Källne J 1986 Phys. Rev. Lett. 56 50 doi: 10.1103/PhysRevLett.56.50
    [6] Steigman G 1975 Astrophys J. 199 642 doi: 10.1086/153732
    [7] Liu X J, Wang J G, Qu Y Z, Buenker R J 2011 Phys. Rev. A 84 042706 doi: 10.1103/PhysRevA.84.042706
    [8] Mondal M, Mandal B, Mistry T, Jana D, Purkait M 2024 Chin. Phys. B 33 113401 doi: 10.1088/1674-1056/ad74e6
    [9] Kamber E Y, Akgüngör K, Leather C, Brenton A G 1996 Phys. Rev. A 54 1452 doi: 10.1103/PhysRevA.54.1452
    [10] Ishii K, Itoh A, Okuno K 2004 Phys. Rev. A 70 042716 doi: 10.1103/PhysRevA.70.042716
    [11] Gardner L D, Bayfield J E, Koch P M, et al. 1979 Phys. Rev. A 20 766 doi: 10.1103/PhysRevA.20.766
    [12] Xu J W, Zhu X L, Feng W T, et al. 2019 X-Ray Spectrometry 49 85 doi: 10.1002/xrs.3059
    [13] Lin M J, Li R, Lin X H, Ren X H 2024 IEEE Academic International Symposium on Optoelectronics and Micro electronics Technology (AISOMT) Harbin, China, November 21–22, 2024 p139
    [14] Buenker R J, Liebermann H P, Izgorodina E I 2003 Chem. Phys. 291 115 doi: 10.1016/S0301-0104(03)00188-5
    [15] Buenker R J, Peyerimhoff S D 1974 Theoret. Chim. Acta 35 33 doi: 10.1007/PL00020553
    [16] Krebs S, Buenker R J 1995 J. Chem. Phys. 103 5613 doi: 10.1063/1.470544
    [17] 吴勇, 刘玲, 王建国 2008 物理学报 57 947 doi: 10.7498/aps.57.947 Wu Y, Liu L, Wang J G 2008 Acta Phys. Sin. 57 947 doi: 10.7498/aps.57.947
    [18] Nolte J L, Stancil P C, Liebermann H P, Buenker R J, Hui Y, Schultz D R 2012 J. Phys. B: At. Mol. Opt. Phys. 45 245202 doi: 10.1088/0953-4075/45/24/245202
    [19] Zygelman B, Cooper D L, Ford M J, Dalgarno A, Gerratt J, Raimondi M 1992 Phys. Rev. A 46 3846 doi: 10.1103/PhysRevA.46.3846
    [20] Wu Y, Stancil P C, Liebermann H P, et al. 2011 Phys. Rev. A 84 022711 doi: 10.1103/PhysRevA.84.022711
    [21] Kramida, A, Ralchenko Y, Reader J, NIST ASD Team 2024 NIST Atomic Spectra Database (Ver. 5.12) [2025-4-29]
    [22] Errea L F, Mendez L, Riera A 1982 J. Phys. B 15 101 doi: 10.1088/0022-3700/15/1/018
    [23] Bacchus M C, Ceyzeriat P 1998 Phys. Rev. A 58 1162 doi: 10.1103/PhysRevA.58.1162
    [24] Errea L F, Harel C, Jouini H, et al 1994 J. Phys. B 27 3603 doi: 10.1088/0953-4075/27/16/010
    [25] Wang K, Dong C, Qu Y Z, et al. 2023 Chin. Phys. B 32 083103 doi: 10.1088/1674-1056/acd624
    [26] Wang K, Wang X X, Qu Y Z, Liu C H, Liu L, Wu Y, Buenker R J 2020 Chin. Phys. Lett. 37 023401 doi: 10.1088/0256-307X/37/2/023401
  • 加载中
图( 8) 表( 1)
计量
  • 文章访问数:  93
  • HTML全文浏览数:  93
  • PDF下载数:  2
  • 施引文献:  0
出版历程
  • 收稿日期:  2025-04-30
  • 刊出日期:  2025-08-05

低能区N3+离子与He原子碰撞电荷转移截面研究

    通讯作者: E-mail: wangy@tyust.edu.cn.; 
  • 1. 航天工程大学, 北京 101416
  • 2. 齐齐哈尔大学理学院, 齐齐哈尔 161006
  • 3. 北京应用物理与计算数学研究所, 计算物理全国重点实验室, 北京 100088
  • 4. 太原科技大学应用科学学院, 太原 030024
  • 5. 山西大学环境科学研究所, 太原 030006
  • 6. 重庆理工职业学院, 重庆 410320

摘要: N3+离子与基态He原子碰撞过程在天体物理、星际空间和实验室等离子体环境中具有重要研究意义. 本文采用从头算的多参考单双激发组态相互作用方法精确计算了[NHe]3+碰撞体系的分子结构参数, 包括势能曲线和耦合矩阵元等. 基于计算得到的结构参数, 采用全量子分子轨道强耦合方法开展了低能N3+离子与He原子碰撞电荷转移过程研究, 获得了能量在3.16 × 10–3 eV—24 keV(即2.25 × 10–4 eV/u—1.73 keV/u)范围内的总单电荷、双电荷转移截面和态选择截面. 在计算中考虑了电荷平动因子、高角动量态对碰撞过程的影响, 发现高角动量态对电荷转移截面具有显著影响. 与现有实验和理论结果相比, 当前计算的单电荷和双电荷转移截面与实验测量值更为接近. 相较于Liu等(2011 Phys. Rev. A 84 042706)未考虑高角动量态的研究, 当碰撞能量大于10 eV/u时, 其总单电荷转移截面约高出当前计算值2—3倍, 表明高角动量态对电荷转移过程具有显著影响. 同时研究表明单电荷转移截面远大于双电荷转移截面, 在碰撞电荷转移过程中占据主导地位. 本文数据集可在https://doi.org/10.57760/sciencedb.j00213.00165中访问获取.

English Abstract

    • 高电荷态离子与原子碰撞过程广泛存在于天体物理和实验室等离子体环境中[15], 碰撞过程中会产生大量的激发态, 涉及复杂的多体关联问题. 碰撞反应的散射截面和速率系数等信息是揭示星际空间的物质分布和演化特性的重要参数. 在天文环境中, 电荷转移过程对低温低密度星际介质中各种离子电离度分布具有重要影响. H, He是星际空间中最丰富的中性粒子[6]. 在实验室等离子体环境中, N是磁约束聚变反应器中的主要轻杂质之一, He是聚变反应的主要产物, 两者在等离子体的不同电离阶段以不同的相对能量出现[7]. He也是自然界中最简单的多电子原子[8]. 因此, N3+离子与He原子的碰撞过程研究, 不仅对星际空间化学网络的建模、星际介质演化分布分析具有重要意义, 还可以为托卡马克等离子体的模拟与诊断提供关键的理论支持.

      目前对于N3+离子与He原子碰撞过程, Kamber等[9]在实验方面使用高分辨率平移能量增益谱测量了碰撞能量为 6, 9, 12和15 keV 时的H2, He, Ne, Ar与N3+离子碰撞的单电子捕获截面, 在理论方面基于LZ(Landau-Zener)方法、AS(absorbing sphere)模型、MS(Müller-Salzborn)标度定律和经典过垒模型(COB)计算了在这4种能量下的单电子捕获截面. 但是, 他们的实验结果和理论结果之间存在很大差异, 理论结果将总截面高估了至少3倍. 2004年, Ishii等[10]在实验方面采用微型电子束离子源装置和八极离子束导向器, 测量了入射能量为 (1.0—1800)q eV时, Cq+, Nq+和Oq+(q = 2—6)离子与He碰撞的单电子和双电子捕获(DEC)截面. 在理论方面, 他们利用COB和多通道LZ模型对该碰撞过程进行模拟, 但是理论结果与实验结果依然存在很大的差异. 1979年, Gardner等[11]利用标准束气靶法测量了能量为242 keV时, N3+离子与He碰撞电荷转移截面. 2011年, Liu等[7]采用全量子分子轨道强耦合(QMOCC)方法, 考虑18个反应通道(包含10个1Σ态和8个1Π态, 忽略了高角动量1Δ态和三重态的影响), 对低能区的N3+离子与He原子碰撞单-双电荷转移截面进行了研究. 在能量重叠区域, 双电子捕获截面与实验符合得很好, 但是单电子捕获截面依然存在较大差距, 约是实验值的2—3倍. 2019年Xu等[12]采用冷靶反冲离子动量谱开展了N3+离子与He原子碰撞的单电荷转移过程的研究. 研究表明当碰撞能量为30 keV时, 基态N3+(1s2)离子与He原子碰撞时, 电荷转移形成N2+(2s22p 2P)态占据主导地位. 2024年, Lin等[13]采用光学势和半经典方法进一步研究了N3+与He碰撞的低能区特性, 计算了辐射衰变截面, 发现其值较小(小于4 × 10–22 cm2), 为理解该碰撞体系的次要过程提供了补充.

      本文采用从头算的多参考单双激发组态相互作用(MRD-CI)方法[1417]精确计算[NHe]3+碰撞体系的分子结构参数, 包括势能曲线、径向耦合矩阵元以及转动耦合矩阵元等. 基于计算得到的高精度结构参数, 采用QMOCC方法[1720]开展了低 能区N3+离子与He原子碰撞单、双电荷转移过 程的理论研究. 在计算过程中考虑了高角动量1Δ态的影响, 获得了能量范围在2.25 × 10–4 eV/u—1.73 keV/u的总的单、双电荷转移截面和态选择截面.

    • QMOCC方法[1720]可以有效地处理重粒子碰撞过程中的电子-电子关联及电子-核关联效应, 是目前处理低能区重粒子碰撞过程最准确的方法. 该方法在质心坐标系下, 基于玻恩-奥本海默近似, 将体系的总波函数展开为核绝热波函数$ {F_i}({\boldsymbol{R}}) $与电子绝热波函数$ {\psi _i}\left( {{\boldsymbol{R}}, {\boldsymbol{r}}} \right) $的乘积:

      式中, Rr分别表示为分子核间距和电子的坐标, $ {\psi _i} $对应通道态. 则薛定谔方程可写为

      式中, $ {{\mu }} $表示约化质量; u为对角的绝热势矩阵, uij = εj δij, εj是绝热态的本征能量; E为碰撞能量; I, M, P分别表示单位矩阵和耦合矩阵. 对$ F({\boldsymbol{R}}) $进行分波展开, 再将(1)式代入(2)中, 可得

      式中, $\lambda $是对角矩阵, J 为总角动量; $ {V^{\text{R}}} $$ {V^{\text{C}}} $分别表示为径向耦合矩阵和转动耦合矩阵, 具体形式如下:

      其中, i, j为波函数$ {\psi _i} $$ {\psi _j} $的简写, 且$ \left\langle {{\psi _i}\left| {L_z^2} \right|{\psi _j}} \right\rangle = \lambda _j^2{\delta _{ij}}; $ Lx , Ly, Lz 分别表示角动量在 x, y, z 方向的分量; $ {\lambda _i} $是对角矩阵元. 为了计算方便, 将势矩阵和耦合矩阵元变换到非绝热表象上. 令$ {f^J} = {\boldsymbol{C}}{g^J} $, fg分别为耦合方程的解, C为正交变换矩阵.

      $ \lim R \to \infty , {\boldsymbol{C}}(R) \to {\boldsymbol{I}} $$ \dfrac{{{\text{d}}C}}{{{\text{d}}R}} + AC = 0 $. 则非绝热表象下径向耦合方程(3)式可表示为

      式中, uU分别表示对角的绝热势与非绝热势矩阵, P为转动耦合矩阵元. (6)式满足如下边界条件:

      其中jJηJ 分别为规则和非规则的Bessel-Ricatti 函数解, 与平面波的边界条件匹配, 或者对于库仑通道, 指规则和非规则Coulomb函数解. 采用 Johnson的对数求导方法求解(6)式即可得到K矩阵, 进而获得碰撞散射S矩阵:

      则从一个通道 i 到另一个通道 j 的非弹性散射截面为

      其中 ki 是质心运动的初始动量.

    • 本文采用MRD-CI方法[1416]计算了[NHe]3+体系的势能曲线、偶极跃迁矩阵元、径向耦合矩阵元和转动耦合矩阵元. 在计算过程中, 采用aug-cc-pVQZ型基组以及弥散基来描述He原子与N原子. 对于N原子, 基组由(28s, 10p, 4d, 3f, 2g)收缩到(22s, 7p, 4d, 3f, 2g). 对于He原子, 基组由(11s, 3p, 3d, 2f)收缩到(7s, 3p, 3d). 在组态相互作用计算中, 组态阈值选取为10–8 hatree, 作为判断计算收敛的依据. 在参考组态选择中, 对1A1对称类取368个主组态, 对1B1对称类取266个主组态. 对主组态考虑电子的单-双激发, 共计算了NHe3+分子离子1A1对称类的11个1Σ态和4个1Δ分子态, 1B1对称类的10个1Π态. 计算的分子核间距为1.00—100.00 a.u. 表1列出了所有分子态在渐近区对应的原子态(其中N3+(1s22s2 1S) + He(1s2)为入射通道, 其他为出射通道)以及各能级大小, 并与NIST[21]实验原子能级进行比较, 可以发现理论计算误差均在0.06 eV之内, 满足散射计算对分子结构精确度的要求. 基于计算得到的电子波函数, 即可得到散射计算所需要的径向以及转动耦合矩阵元. 当碰撞能量大于1 keV/u时, 电荷平动因子(ETF)对碰撞过程有着非常最重要的影响, 需要对径向耦合矩阵元和转动耦合矩阵元进行修正[2226]:

      式中, $ {\varepsilon _i} $$ {\varepsilon _j} $表示两个态的电子能级, z2zx表示电四极矩.

    • 基于MRD-CI方法精确计算了NHe3+分子离子的势能曲线、径向耦合矩阵元和转动耦合矩阵元等. 图1所示为NHe3+碰撞体系分子核间距R = 1.00—50.00 a.u.之间的单重态绝热势能曲线, 图中实线表示1Σ态, 长虚线表示1Π态, 虚线表示1Δ态. 其中41Σ态为初始通道, 其他通道为出射通道. 可以看出当R = 5.22 a.u.和8.08 a.u.时, 41Σ态与31Σ态、31Σ态与21Σ态之间存在明显的可避免交叉点. 在这些抗交叉区域, 发生电荷转移的概率非常大. 利用有限差分方法计算得到了具有相同对称性的所有态之间的径向耦合矩阵元. 图2图4分别给出了Σ态、Π态、Δ态相邻两通道之间的径向耦合矩阵元, 这决定了具有相同自旋和相同角动量λ的态之间的转移概率. 从图2图4可以清楚地观察到, 各径向耦合矩阵元的极值位置都与图1中相应的绝热势能曲线之间的抗交叉点的位置一一对应. 在渐近区径向耦合矩阵元的大小趋近于零. 图5所示为Σ态与Π态、Δ态与Π态之间部分重要转动耦合矩阵元. 这些矩阵元都已经将ETF效应考虑在内, 决定了具有相同自旋但角动量λ相差1的态之间的转移概率. 从图5可以发现, 当R < 10.00 a.u.时, 转动耦合矩阵元存在一些比较明显的结构. 在QMOCC计算中, 转动耦合矩阵元需要除以R2, 因此在渐进区转动耦合矩阵元也会逐渐趋近于零.

    • 基于QMOCC方法, 开展了碰撞能量范围在3.16 × 10–3 eV—24 keV(即2.25 × 10–4 eV/u—1.73 keV/u)之间的N3+离子与基态He原子碰撞非辐射电荷转移过程的研究. 在计算过程中考虑了10个1Σ态、8个1Π态, 特别包含了4个高角动量1Δ态, 得到了总的单电荷转移截面、总的双电荷转移截面和态选择截面. 图6所示为基于QMOCC方法计算得到的碰撞能量在2.25 × 10–4 eV/u—1.73 keV/u之间的总的单电荷转移截面和总的双电荷转移截面与其他理论(Liu等[7]采用QMOCC方法计算得到的结果, Ishii等[10]采用LZ, COB方法计算得到的结果, Kamber等[9]采用LZ, AS, MS, COB方法计算得到的理论结果)和实验测量值(Ishii等[10]、Kamber等[9]以及Gardner等[11]的实验测量值)之间的对比. 图中σ1表示总的单电荷转移截面, σ2表示总的双电荷转移截面. 从图6可以看出, 总的单电荷转移截面要比总的双电荷转移截面大得多, 所以在碰撞电荷转移过程中, 单电荷转移过程占据主导地位. 随着能量的增大, 总的单电荷转移截面逐渐降低, 总的双电荷转移截面逐渐增大. 在能量重叠区域, 对于总的双电荷转移截面, 本文计算结果与Ishii等[10]的实验值符合得很好. 对于总的单电荷转移截面, 当碰撞能量小于0.2 eV/u时, 本文计算结果与Liu等[7]采用QMOCC方法计算得到的结果符合得很好. 当碰撞能量在0.2—22 eV/u时, 本文计算结果与其他理论结果相比更接近实验值, 比Ishii等[10]的实验结果略高但趋势保持一致. 当碰撞能量在22 eV/u—1.73 keV/u时, 本文计算结果与Ishii等[10]、Kamber等[9]以及Gardner等[11]的实验测量结果在误差范围内符合得很好. 需要说明的是, 本工作和Liu等[7]虽然都采用QMOCC方法来计算电荷转移截面, 但是Liu等[7]在计算过程中只考虑了10个1Σ态和8个1Π态, 忽略了1Δ态的作用, 其计算结果高于Ishii等[10]、Kamber等[9]的实验测量值, 约是实验值的2—3倍. 而我们在计算过程中考虑这些态的同时还考虑了高角动量态1Δ态的作用, 并且对于基组进行优化, 因此计算结果更接近实验值. 尤其在能量大于22 eV/u时, 本文计算结果与现有实验值符合得很好. 可以发现高角动量态对电荷转移截面的影响显著.

      图7所示为N3+离子与基态He原子碰撞电荷转移形成N+离子的双电荷转移态选择截面. 对于双电荷转移过程来说, 随着能量的增大, 电荷转移形成N+(2s22p2 1D)占据主导地位. 图7还显示了本文QMOCC理论计算结果与Liu等[7]的QMOCC的理论计算结果. 可以发现, 本文计算结果与Liu等[7]的计算结果存在明显差异, 这种差异在低能区(E < 57 eV/u), 没有反映到总的双电荷转移截面上, 但是当碰撞能量高于57 eV/u时, 对总的双电荷转移截面有明显的影响. 这种差异存在的原因主要来源于计算过程中对组态优化的不同和考虑高角动量态的影响.

      图8为N3+离子与基态He原子碰撞电荷转移形成N2+离子的单电荷转移态选择截面. 当碰撞能量低于677 eV/u时, 电荷转移形成N2+(2s2p2 2D)占据主导地位. 当碰撞能量为677 eV/u—1.73 keV/u时, 电荷转移形成N2+(2s22p 2P°)占据主导地位. 还可以发现, 对于电荷转移形成N2+(2s2p2 2D)的散射截面, 当能量低于7 eV/u时, 本文计算结果与Liu等[7]的计算结果符合得很好, 当能量高于7 eV/u时, 本文计算结果小于Liu等[7]的计算结果. 对于电荷转移形成N2+(2s2p2 2S)的散射截面, 本文计算结果明显小于Liu等[7]的计算结果. 对于电荷转移形成其他态的单电荷转移截面, 本文计算结果与Liu等[7]的计算结果也存在一定的差异, 所以高角动量态对碰撞电荷转移过程具有重要的影响.

    • 本文基于QMOCC方法开展了低能区N3+离子与基态He原子碰撞单、双电荷转移过程研究. 采用MRD-CI量化程序包计算得到了[NHe]3+碰撞体系的势能曲线、径向耦合矩阵元和转动耦合矩阵元. MRD-CI方法集合了HF-SCF计算和MRCI计算的功能, 可以有效地处理电子关联问题, 获得高精度的分子离子激发态. 对于径向和转动耦合矩阵元, 对其进行ETF因子修正. 在当前的QMOCC计算中, 考虑10个1Σ态、8个1Π态和4个1Δ态, 得到了能量范围在2.25 × 10–4 eV/u —1.73 keV/u的总的单、双电荷转移截面和态选择截面. 计算结果与现有理论和实验结果进行比较, 可以发现对于总的双电荷转移截面, 我们计算值与实验值符合得很好. 对于总的单电荷转移截面, 当碰撞能量为0.2—11 eV/u时, 当前的QMOCC结果略高于实验结果. 当碰撞能量高于11 eV/u时, 当前的QMOCC结果与实验结果符合得很好. 总的单电荷转移截面明显大于总的双电荷转移截面, 并占据主导地位. 对于单电荷转移过程, 可以发现电荷转移形成N2+(2s2p2 2D)和N2+(2s22p 2P°)至关重要. 当前的QMOCC计算结果与Liu等[7]的计算结果相比较, 可以发现存在明显的差异, 所以高角动量态对电荷转移过程有着非常重要的影响. 后续将进一步开展ETF因子、多通道耦合效应、高角动量态对高离化度离子与原子碰撞过程的影响.

    • 支撑本研究成果的数据集可在科学数据银行https://doi.org/10.57760/sciencedb.j00213.00165中访问获取.

    参考文献 (26)

目录

/

返回文章
返回