AgBiSCl2光电与热电性能的第一性原理研究

上一篇

下一篇

王思航, 陈梦菡, 张丽萍. AgBiSCl2光电与热电性能的第一性原理研究[J]. 物理学报, 2025, 74(18): 186303-1. doi: 10.7498/aps.74.20250650
引用本文: 王思航, 陈梦菡, 张丽萍. AgBiSCl2光电与热电性能的第一性原理研究[J]. 物理学报, 2025, 74(18): 186303-1. doi: 10.7498/aps.74.20250650
Sihang WANG, Menghan CHEN, Liping ZHANG. First-principles study of photovoltaic and thermoelectric properties of AgBiSCl2[J]. Acta Physica Sinica, 2025, 74(18): 186303-1. doi: 10.7498/aps.74.20250650
Citation: Sihang WANG, Menghan CHEN, Liping ZHANG. First-principles study of photovoltaic and thermoelectric properties of AgBiSCl2[J]. Acta Physica Sinica, 2025, 74(18): 186303-1. doi: 10.7498/aps.74.20250650

AgBiSCl2光电与热电性能的第一性原理研究

    作者简介: 王思航: TS23180075 P31@cumt.edu.cn .
    通讯作者: E-mail:3391@cumt.edu.cn.
  • 中图分类号: 63.20.Ry, 72.15.Jf, 78.20.-e

First-principles study of photovoltaic and thermoelectric properties of AgBiSCl2

    Corresponding author: E-mail: 3391@cumt.edu.cn.
  • MSC: 63.20.Ry, 72.15.Jf, 78.20.-e

  • 摘要: 混合阴离子硫卤化物凭借其独特的晶格动力学和可调电子结构, 在热电与光电材料领域备受关注. 本文基于密度泛函理论的第一性原理计算, 结合玻尔兹曼输运方程、声子重整化模型, 研究了AgBiSCl2的光电、热电性能. 结果表明, AgBiSCl2为直接带隙半导体且带隙为1.72 eV, 紫外区光吸收系数达到1 × 106 cm–1, 3 μm厚度下光谱极限最大效率为28.06%. AgBiSCl2中Ag原子离域引起的rattling振动引发强非谐声子散射, 导致极低的晶格热导率, 在300 K时平均热导率中κpκc分别为0.246 W/mK 和0.132 W/mK. 700 K 时p型和 n 型最大ZT分别为0.77和0.69. 由此表明AgBiSCl2在高效热电能量转换与紫外光电探测器领域具有重要应用潜力, 为设计多功能材料提供了理论参考.
  • 加载中
  • 图 1  (a) AgBiSCl2的晶体结构; (b)电子局域函数; (c)最近邻原子对的COHP分析; (d)能带结构(考虑HSE06); (e)能带结构(考虑HSE06+SOC); (f)态密度

    Figure 1.  (a) Crystal structure of AgBiSCl2; (b) electron localization function; (c) COHP analysis of nearest-neighbor atom pairs; (d) band structure (HSE06); (e) band structure (HSE06 + SOC); (f) density of states.

    图 2  (a) 介电函数实部; (b) 介电函数虚部; (c) 光吸收系数; (d) 反射率; (e) 折射率; (f) SLME

    Figure 2.  (a) Real part of the dielectric function; (b) imaginary part of the dielectric function; (c) optical absorption coefficient; (d) reflectivity; (e) refractive index; (f) SLME.

    图 3  (a) AgBiSCl2不同温度下的声子谱; (b) 温度为0 K时的声学支和低频光学支; (c) 温度300 K, 500 K和700 K时的声子态密度; (d) 不同温度下均方位移

    Figure 3.  (a) Phonon dispersion of AgBiSCl2 at different temperatures; (b) acoustic branches and low-frequency optical branches at 0 K; (c) density of states at 300 K, 500 K, and 700 K; (d) root-mean-square displacement at different temperatures.

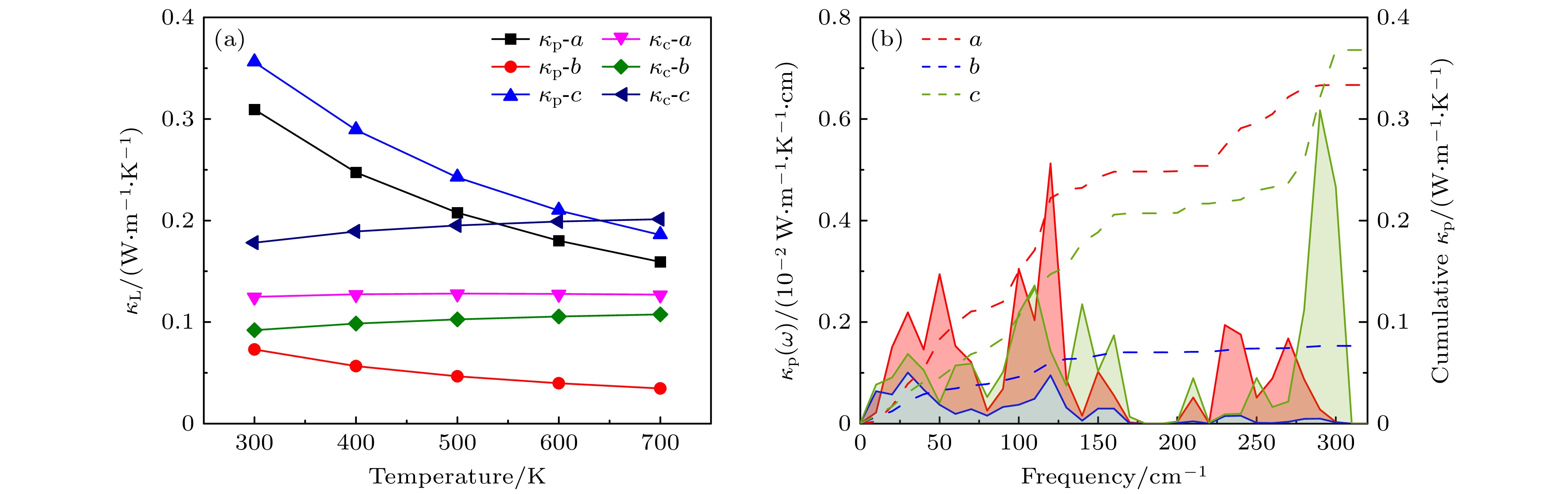
    图 4  (a) AgBiSCl2温度依赖的晶格热导率; (b) 温度为300 K时热导率和累积热导率随频率的变化

    Figure 4.  (a) Temperature-dependent lattice thermal conductivity of AgBiSCl2; (b) variation of thermal conductivity and cumulative thermal conductivity with frequency at 300 K.

    图 5  (a) 群速度; (b) Grüneisen常数; (c) 声子寿命(黑色表示Wigner极限, 紫色表示Ioffe-Regel极限); (d) 三声子散射相空间

    Figure 5.  (a) Group velocity; (b) Grüneisen parameter; (c) phonon lifetime (black denotes the Wigner limit, purple denotes the Ioffe–Regel limit); (d) three-phonon scattering phase space.

    图 6  在300 K时(a)—(c) a, bc方向相干热导率模式特定贡献的三维可视化

    Figure 6.  Three-dimensional visualization of mode-specific contributions to coherent thermal conductivity along (a)−(c) the a, b, and c directions at 300 K.

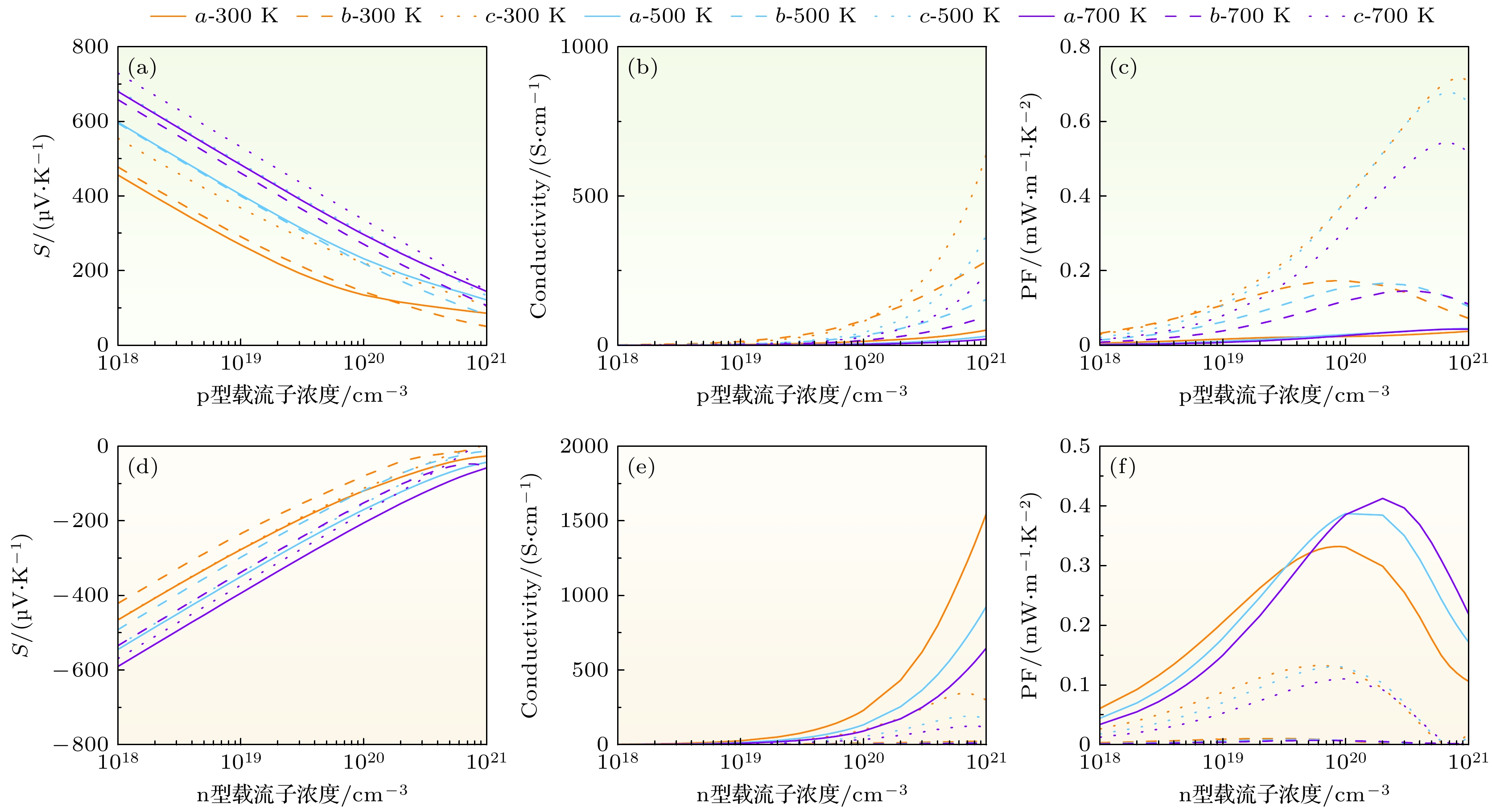
    图 7  AgBiSCl2的电输运参数与载流子浓度关系 (a), (d) 塞贝克系数; (b), (e) 电导率; (c), (f) 功率因子

    Figure 7.  Electrical transport parameters of AgBiSCl2 as a function of carrier concentration: (a), (d) Seebeck coefficient; (b), (e) electrical conductivity; (c), (f) power factor.

    图 8  AgBiSCl2在(a) p型掺杂和(b) n型掺杂下的ZT

    Figure 8.  ZT of AgBiSCl2 at different temperatures: (a) p-type doping; (b) n-type doping.

    表 1  AgBiSCl2空穴和电子的有效质量(m0 = 9.1 × 10–31 kg)

    Table 1.  Effective masses of holes and electrons of AgBiSCl2 (m0 = 9.1 × 10–31 kg).

    Carrier typemx/m0my/m0mz/m0
    h0.8730.8730.666
    e0.2740.2740.537
    下载: 导出CSV

    表 2  零频率下 AgBiSCl2 的介电常数、反射率与折射率

    Table 2.  Calculated zero-frequency dielectric constant, reflectivity, and refractive index of AgBiSCl2.

    ParametersabcAverage
    ε1(0)5.845.085.275.40
    R(0)0.170.150.150.16
    n(0)2.422.252.32.32
    下载: 导出CSV
  • [1] Kato D, Hongo K, Maezono R, Higashi M, Kunioku H, Yabuuchi M, Suzuki H, Okajima H, Zhong C, Nakano K, Abe R, Kageyama H 2017 J. Am. Chem. Soc. 139 18725 doi: 10.1021/jacs.7b11497
    [2] Luu S D N, Vaqueiro P 2016 J. Materiomics 2 131 doi: 10.1016/j.jmat.2016.04.002
    [3] Ghorpade U V, Suryawanshi M P, Green M A, Wu T, Hao X, Ryan K M 2023 Chem. Rev. 123 327 doi: 10.1021/acs.chemrev.2c00422
    [4] Kageyama H, Hayashi K, Maeda K, Attfield J P, Hiroi Z, Rondinelli J M, Poeppelmeier K R 2018 Nat. Commun. 9 772 doi: 10.1038/s41467-018-02838-4
    [5] Gibson Q D, Zhao T, Daniels L M, Walker H C, Daou R, Hébert S, Zanella M, Dyer M S, Claridge J B, Slater B, Gaultois M W, Corà F, Alaria J, Rosseinsky M J 2021 Science 373 1017 doi: 10.1126/science.abh1619
    [6] Majhi K, Pal K, Lohani H, Banerjee A, Mishra P, Yadav A K, Ganesan R, Sekhar B R, Waghmare U V, Anil Kumar P S 2017 Appl. Phys. Lett. 110 162102 doi: 10.1063/1.4981875
    [7] Qiu W J, Xi L L, Wei P, Ke X Z, Yang J H, Zhang W Q 2014 PNAS 111 15031 doi: 10.1073/pnas.1410349111
    [8] Xie L, Feng J H, Li R, He J Q 2020 Phys. Rev. Lett. 125 245901 doi: 10.1103/PhysRevLett.125.245901
    [9] Ruck M, Poudeu Poudeu P F, Söhnel T 2004 Z. Anorg. Allg. Chem. 630 63 doi: 10.1002/zaac.200300248
    [10] Quarta D, Toso S, Fieramosca A, Dominici L, Caliandro R, Moliterni A, Tobaldi D M, Saleh G, Gushchina I, Brescia R, Prato M, Infante I, Cola A, Giannini C, Manna L, Gigli G, Giansante C 2023 Chem. Mater. 35 9900 doi: 10.1021/acs.chemmater.3c01403
    [11] Kresse G, Furthmüller J 1996 Phys. Rev. B 54 11169 doi: 10.1103/PhysRevB.54.11169
    [12] Perdew J P, Burke K, Ernzerhof M 1996 Phys. Rev. Lett. 77 3865 doi: 10.1103/PhysRevLett.77.3865
    [13] Blöchl P E 1994 Phys. Rev. B 50 17953 doi: 10.1103/PhysRevB.50.17953
    [14] Heyd J, Peralta J E, Scuseria G E, Martin R L 2005 J. Chem. Phys. 123 174101 doi: 10.1063/1.2085170
    [15] Saha S, Sinha T P, Mookerjee A 2000 J. Phys. Condens. Matter 12 3325 doi: 10.1088/0953-8984/12/14/309
    [16] Gajdoš M, Hummer K, Kresse G, Furthmüller J, Bechstedt F 2006 Phys. Rev. B 73 045112 doi: 10.1103/PhysRevB.73.045112
    [17] Ganose A M, Park J, Faghaninia A, Woods-Robinson R, Persson K A, Jain A 2021 Nat. Commun. 12 2222 doi: 10.1038/s41467-021-22440-5
    [18] Ramawat S, Kukreti S, Dixit A 2023 Phys. Rev. Materials 7 085403 doi: 10.1103/PhysRevMaterials.7.085403
    [19] Natarajan A R, Gupta M K, Mittal R, Kanchana V 2023 Mater. Today Commun. 34 105309 doi: 10.1016/j.mtcomm.2022.105309
    [20] Rode D L 1975 Semiconductors and Semimetals (Elsevier) pp1–89
    [21] Tadano T, Tsuneyuki S 2015 Phys. Rev. B 92 054301 doi: 10.1103/PhysRevB.92.054301
    [22] Tadano T, Gohda Y, Tsuneyuki S 2014 J. Phys.: Condens. Matter. 26 225402 doi: 10.1088/0953-8984/26/22/225402
    [23] Zhou F, Sadigh B, Åberg D, Xia Y, Ozoliņš V 2019 Phys. Rev. B 100 184309 doi: 10.1103/PhysRevB.100.184309
    [24] Ju Z, Ma D K, Chang Z 2025 Phys. Rev. B 111 134302 doi: 10.1103/PhysRevB.111.134302
    [25] Zheng J Z, Lin C P, Lin C J, Hautier G, Guo R Q, Huang B L 2024 npj Comput. Mater. 10 30 doi: 10.1038/s41524-024-01211-y
    [26] Xie Q Y, Xiao F, Zhang K W, Wang B T 2024 Phys. Rev. B 110 045203 doi: 10.1103/PhysRevB.110.045203
    [27] Xiao F, Xie Q Y, Ming X, Li H, Zhang J R, Wang B T 2024 Phys. Rev. B 109 245202 doi: 10.1103/PhysRevB.109.245202
    [28] Xie Q Y, Ma J J, Liu Q Y, Liu P F, Zhang P, Zhang K W, Wang B T 2022 Phys. Chem. Chem. Phys. 24 7303 doi: 10.1039/D1CP05708A
    [29] Simoncelli M, Marzari N, Mauri F 2019 Nat. Phys. 15 809 doi: 10.1038/s41567-019-0520-x
    [30] Simoncelli M, Marzari N, Mauri F 2022 Phys. Rev. X 12 041011 doi: 10.1103/PhysRevX.12.041011
    [31] Slack G A 1973 J. Phys. Chem. Solids 34 321 doi: 10.1016/0022-3697(73)90092-9
    [32] Hao Y Z, Che J W, Wang X Y, Li X J, Lookman T, Sun J, Ding X D, Gao Z B 2025 Phys. Rev. B 111 195207 doi: 10.1103/PhysRevB.111.195207
    [33] Cutler M, Leavy J F, Fitzpatrick R L 1964 Phys. Rev. 133 A1143 doi: 10.1103/PhysRev.133.A1143
    [34] Yu L, Zunger A 2012 Phys. Rev. Lett. 108 068701 doi: 10.1103/PhysRevLett.108.068701
    [35] Zhu C, Liu Y, Wang D, Zhu Z, Zhou P, Tu Y, Yang G, Chen H, Zang Y, Du J, Yan W 2024 Cell Rep. Phys. Sci. 5 102321 doi: 10.1016/j.xcrp.2024.102321
    [36] Basera P, Bhattacharya S 2022 J. Phys. Chem. Lett. 13 6439 doi: 10.1021/acs.jpclett.2c01337
    [37] Xia Y, Ozoliņš V, Wolverton C 2020 Phys. Rev. Lett. 125 085901 doi: 10.1103/PhysRevLett.125.085901
    [38] Tadano T, Saidi W A 2022 Phys. Rev. Lett. 129 185901 doi: 10.1103/PhysRevLett.129.185901
    [39] Li W, Mingo N 2014 Phys. Rev. B 89 184304 doi: 10.1103/PhysRevB.89.184304
    [40] Christensen M, Abrahamsen A B, Christensen N B, Juranyi F, Andersen N H, Lefmann K, Andreasson J, Bahl C R H, Iversen B B 2008 Nature Mater 7 811 doi: 10.1038/nmat2273
    [41] Allen P B, Feldman J L 1989 Phys. Rev. Lett. 62 645 doi: 10.1103/PhysRevLett.62.645
    [42] Zheng J Z, Shi D L, Yang Y W, Lin C J, Huang H, Guo R Q, Huang B L 2022 Phys. Rev. B 105 224303 doi: 10.1103/PhysRevB.105.224303
    [43] 郑建军, 张丽萍 2023 物理学报 72 086301 doi: 10.7498/aps.72.20222015 Zheng J J, Zhang L P 2023 Acta Phys. Sin. 72 086301 doi: 10.7498/aps.72.20222015
    [44] Chen X K, Zhu J, Qi M, Jia P Z, Xie Z X 2025 Phys. Rev. Appl. 23 034085 doi: 10.1103/PhysRevApplied.23.034085
  • 加载中
图( 8) 表( 2)
计量
  • 文章访问数:  29
  • HTML全文浏览数:  29
  • PDF下载数:  1
  • 施引文献:  0
出版历程
  • 收稿日期:  2025-05-18
  • 刊出日期:  2025-09-20

AgBiSCl2光电与热电性能的第一性原理研究

    通讯作者: E-mail:3391@cumt.edu.cn.
    作者简介: 王思航: TS23180075 P31@cumt.edu.cn
  • 1. 中国矿业大学材料与物理学院, 徐州 221116
  • 2. 中国矿业大学力学与土木工程学院, 徐州 221116

摘要: 混合阴离子硫卤化物凭借其独特的晶格动力学和可调电子结构, 在热电与光电材料领域备受关注. 本文基于密度泛函理论的第一性原理计算, 结合玻尔兹曼输运方程、声子重整化模型, 研究了AgBiSCl2的光电、热电性能. 结果表明, AgBiSCl2为直接带隙半导体且带隙为1.72 eV, 紫外区光吸收系数达到1 × 106 cm–1, 3 μm厚度下光谱极限最大效率为28.06%. AgBiSCl2中Ag原子离域引起的rattling振动引发强非谐声子散射, 导致极低的晶格热导率, 在300 K时平均热导率中κpκc分别为0.246 W/mK 和0.132 W/mK. 700 K 时p型和 n 型最大ZT分别为0.77和0.69. 由此表明AgBiSCl2在高效热电能量转换与紫外光电探测器领域具有重要应用潜力, 为设计多功能材料提供了理论参考.

English Abstract

    • 混合阴离子化合物是指在同一晶体框架中同时引入两种或多种阴离子(例如卤氧化物[1]、氧硫化物[2]和硫卤化物[3])的新型材料体系. 与传统单一阴离子化合物相比, 阴离子种类和比例的多样化赋予了其极为丰富的结构与性能调控潜力. 可通过设计不同阴离子的电荷、离子半径、电负性和极化率等特性, 实现对带隙宽度、电子传输、光学吸收及磁性行为的全方位调节[4]. 除了在光学应用中具有吸引力的物理性质外, 混合阴离子化合物还有望成为低热导率材料[5], 这种材料具有低热导率, 可以在热电领域发挥重要作用. 热电材料的效率通常用无量纲品质因数(thermoelectric figure of merit, ZT)表示:

      其中, S, σT分别为塞贝克系数、电导率和绝对温度; 热导率κ = κL + κe, κL为晶格热导率, κe为电子热导率. 要获得较高的 ZT 值, 热电材料需要具备较高的功率因数($ {\text{PF }} = {S^2}\sigma $)和较低的热导率. 铜基(Cu)或银基(Ag)化合物则作为典型代表, 利用金属-阴离子弱配位键合引发强烈非谐声子动力学与原子“rattling”振动[6], 一定程度抑制了横向声子的传播, 因而具有极低的晶格热导率, 例如Cu3SbSe3[7], AgCrSe2[8]等体系. 近年Ruck等[9] 通过等摩尔量的 AgCl 与 BiSCl 的热反应, 合成了AgBiSCl2的黑色片状晶体. Quarta等[10]通过胶体合成方法获得混合阴离子化合物AgBiSCl2纳米晶体, 并研究了其晶体结构、光学性能及电子结构. 发现该材料因具有直接带隙和光致发光特性, 为其光电子领域的应用提供了新方向. 然而, 关于这类化合物的晶体结构、化学键、光吸收、电输运与热输运性质相关性的详细研究却较为匮乏, 这在一定程度上限制了其在相关光电和热电中的应用. 本文对AgBiSCl2材料潜在应用价值进行深入探索, 通过第一性原理结合玻尔兹曼输运理论研究其在热电和光电性能方面的表现, 深入分析电输运、热输运规律, 为AgBiSCl2在光电探测、太阳能电池及热电发电器件中的应用提供坚实的理论依据与指导.

    • 采用密度泛函理论(density functional theory, DFT), 使用VASP(Vienna ab initio simulation package)代码实现[11]. 计算中采用 Perdew-Burke-Ernzerhof (PBE)广义梯度近似(GGA)形式的交换-关联势[12], 波函数则使用缀加平面波(PAW)[13]. 在结构优化过程中, 为平面波基组选择了500 eV的截断能. 使用了12 × 4 × 6的 Gamma 中心K点网格. 能量和力的收敛标准分别设定为1 × 10–8 eV和1 × 10–6 eV/Å. 采用了杂化泛函(Heyd-Scuseria-Ernzerhof, HSE06)来获得可靠的带隙和光学性质[14]. 此外, 能带、光学和电输运性质由于重元素的存在考虑了自旋-轨道耦合(spin-orbit coupling, SOC)效应.

      材料的光学性质用复介电函数的实部ε1(ω)和虚部ε2(ω)来描述, 该复介电函数ε(ω) = ε1(ω) + iε2(ω). ε2(ω)与材料的能量吸收有关, 可以使用下式计算[15]:

      式中, e表示电荷, m0为电子质量, V表示单胞体积, ħ表示约化普朗克常数, p表示动量跃迁矩阵元, knkn' 分别是价带和导带的波函数, $ f\left( {kn} \right) $$ f\left( {kn'} \right) $分别表示波矢k在能带nn' 中的费米-狄拉克占据数, $ {E_{kn}} $$ {E_{kn'}} $为相应的能量本征值, $\hbar \omega $是入射光子的能量. 实部ε1(ω)表示材料存储电场能量的能力, 代表形成电偶极时的能量消耗, 其与带间跃迁密切相关, 能够反映材料中电子跃迁的程度, 可以由下式计算[16]:

      其中M表示积分主值. 有了介电函数后, 可以计算光学吸收系数、反射率、折射率等光学参数.

      电输运性质是通过 AMSET 软件包进行计算[17], 该方法采用弛豫时间近似, 计算考虑了声子形变势(ADP)散射、电离杂质(IMP)散射和极性光学声子(POP)散射. 弛豫时间由Matthiessen规则确定[18]:

      式中τADP, τIMPτPOP 分别是ADP, IMP和POP 散射的弛豫时间. 差分散射率则使用费米黄金法则进行计算[19]:

      其中nm分别表示初态与末态的能带编号; k表示初始电子的波矢, q表示散射过程中的动量转移; nk表示电子处于能带n、波矢k的初态, 而mk + q则表示电子经过散射后, 处于能带m、波矢k + q的末态; εg分别是载流子能量和耦合矩阵元; δ是Dirac delta函数, 可确保在散射过程能量守恒. ADP, IMP 和 POP 散射过程的势基元由下式给出[20]:

      其中kB, αv, B0, nii, β, Z, ε, ε0ωpo 分别是玻尔兹曼常数、形变势、体积模量、电离杂质浓度、屏蔽半径的倒数、掺杂电荷数、高频介电常数、静态介电常数和极化光学支频率.

      对于声子热输运性质, 采用ALAMODE软件包计算了原子间力常数(interatomic force constants, IFCs)[21,22], 采用了3 × 1 × 1超胞来计算IFCs. 二阶力常数通过有限位移法提取, 即在每种构型中, 将单个原子从平衡位置沿某一方向位移 0.01 Å, 然后通过最小二乘拟合获得二阶力常数. 高阶IFCs则采用压缩感知晶格动力学(compressive sensing lattice dynamics, CSLD)生成[23]. 在300 K 下进行2000步第一性原理分子动力学(ab initio molecular dynamics, AIMD)模拟, 对轨迹中所有原子以等间隔选10个结构施加 0.1 Å 的随机位移, 获得多个随机结构, 并对这些构型进行单点能量计算获取力-位移数据集. 利用弹性网格 (elastic net)拟合包含至六阶非谐项的泰勒展开势. 高阶力常数考虑了所有原子之间的相互作用, 三阶到六阶设置12(以玻尔为单位)的截断半径, 拟合相对误差为5%. 晶格热导率的收敛情况如图S1 (online)所示, 最后使用11 × 11 × 11的q点密度网格计算晶格热导率.

      对特定声子模式而言, 其对热导率的贡献可分为声子(粒子)输运和相干(波)输运两部分. 近来研究发现相干热导率相干输运(波动式扩散)不仅在非晶体中主导热传导, 也可在复杂晶体中激发, 如AgTlI2[24], Cs2AgBiBr6[25], BaAg2SnSe4[26], A2PdPS4I (A = K, Rb, Cs)[27]等. 双通道晶格热导率为两部分热导率之和, 即κL = κp + κc. 其中κp考虑声子群速度算符的对角项($ j=j' $)对于热传输的贡献. κp可以写作[28]:

      其中上标 μ$ \nu $表示空间分量(例如x, yz), V是基本单元体积, Nq是波矢数, q是声子波矢, j是声子支数, ${c}_{{\boldsymbol{q}}j} $表示声子模式(q, j)对比热的贡献, v是群速度, τ是声子寿命. κc称为相干性的热导率, 反映了波状热输运特点, 源于振动本征态jj' 之间的干涉, 称为相干性的热导率. 基于Wigner 输运方程, κc表达式为[29]

      其中, $ {c}_{{\boldsymbol{q}}{j}'} $表示声子模式(q, j')对比热的贡献; $ {\omega }_{\boldsymbol{q}j} $$ {\omega }_{\boldsymbol{q}{j}'} $表示对应声子频率; $ {\varGamma }_{\boldsymbol{q}j} $$ {\varGamma }_{\boldsymbol{q}{j}'} $表示相应的声子线宽, 反映了声子的寿命和散射强度. 对特定声子, 其对热导率的贡献可分为声子输运和相干输运两部分, 二者比例由声子寿命与Wigner极限对比决定. Wigner极限为3Nat/ωmax, 其中Nat是原胞中原子数, ωmax是最大声子频率; Ioffe-Regel极限τIoffe-Regel 为1/ω, 其中ω是声子频率. 通过Wigner极限以及Ioffe-Regel极限分析不同频率声子对κpκc的贡献. 当声子寿命τ > τWigner的声子为类粒子声子决定κp大小, 而声子寿命处于τIoffe-Regel < τ < τWigner的声子对κc有贡献为类波声子. 当声子寿命τ接近τWigner时, 两种机制贡献相当[29,30].

    • 图1(a)所示, AgBiSCl2晶体包括4个Bi原子, 4个Ag原子, 8个Cl原子, 4个S原子. 晶胞的晶格参数a = 4.07 Å, b = 14.17 Å和c = 8.69 Å, 与实验数据接近(见补充材料表S1 (online)), 属于正交晶系Cmcm空间群. Ag1+ 与2个等价的S2–原子和4个等价的Cl1–原子配位, 形成扭曲角和共享边缘AgS2Cl4八面体结构. 角共享八面体倾斜角为58°. 两条 Ag—S 键长均为2.46 Å, 所有Ag—Cl 键长均为 3.09 Å. Bi3+以8配位几何构型与两个等价的S2–原子和6个等价的Cl1–原子配位. 2条Bi—S键长均为2.71 Å, Bi—Cl 键长中有2条较短(2.81 Å)和4条较长(3.21 Å). S2–与2个等价的Ag1+原子和2个等价的Bi3+原子配位, 形成扭曲的角共享SAg2Bi2 四面体. Cl1–以5配位几何构型与两个等价的Ag1+原子和3个等价的 Bi3+原子配位. 计算材料力学性质如表S1 (online)所列, 材料的体积模量与剪切模量之比为 2.19、泊松比为0.30, 表明该材料具有好的延展性和柔韧性. 此外, AgBiSCl2有着很低的德拜温度为219 K, 根据Slack公式[31], 低的德拜温度暗示着材料可能具有低的晶格热导率.

      图1(b)a方向投影的电荷局域函数(electron localization function, ELF). 填色越接近蓝色的区域, 其 ELF 越接近于0, 说明电子在此处趋向于离域化分布; 填色越接近红色的区域, 其 ELF 越接近于1, 说明电子在此处趋向于局域化分布. Ag周围的局域电子密度极低, 明显低于其他原子, 这表明S和Cl元素表现出比Ag元素强得多的电子吸引力, 说明Ag原子的离域程度更大, 且不与八面体成键, 有研究发现在CuBiSeCl2中的Cu原子也有类似的离域现象[32], 此外Bi和S原子之间存在极性共价键(ELF为0.5). 使用LOBSTER软件进行晶体轨道哈密顿布居(crystal orbital Hamilton populations, COHP)分析. 图1(c)所示为计算得到的不同最近邻原子对的负COHP, 成键态的负COHP为正, 反键态的负COHP为负. 在费米能级以下的价带附近, Ag—S/Cl 具有明显的反键态. 低于费米能级的反键态会削弱化学键, 增大晶格非谐性. 图中的负ICHOP (对COHP在费米能级以下的能量区间进行积分)数值显示Ag—S/Cl的负ICOHP都小于Bi—S/Cl, 表明Bi—S/Cl键的键合更强, 而Ag—S/Cl键的键合更弱.

      热电性质在很大程度上取决于带隙的精度和带边附近的电子态. 图1(d), (e)是AgBiSCl2的能带结构. 图中价带顶(VBM)和导带底(CBM)都位于Γ点, 表明该材料是直接带隙半导体. 使用HSE06杂化泛函, 不考虑自旋-轨道耦合带隙为2.02 eV, 考虑自旋-轨道耦合带隙为1.72 eV. 图1(f)是态密度图, 可以看出, 导带底主要由Bi 6p和S 3p轨道构成, 价带顶主要由Ag 4d, Cl 3p和S 3p轨道贡献. 价带相比导带更加平缓, 说明空穴会有更大的有效质量, 如表1所列. 由文献[33]可知, p型AgBiSCl2的塞贝克系数大于n型的, 但是电导率会小一些.

    • AgBiSCl2光学性质如图2所示, 图2(a)为介电函数实部, 实部与能量偏振有关. 这种分析对于理解太阳能电池设备中材料与光的相互作用至关重要. 当频率为零时, 介电函数的实部称为静态介电常数ε1(0), 各方向的值列在表2中. 随着光子能量的增大, 在a, bc方向达到最大值, 分别为9.83, 7.26和8.72. 随着能量增大这些值会逐渐减小并变为负值. 介电函数虚部揭示了材料对光的吸收, 如图2(b)所示, 在能量小于1.72 eV几乎没有吸收, 表明其光学带隙值与基本带隙值相等, 这与价带顶和导带底之间电子的直接带间跃迁相关. 介电函数虚部在3—8 eV有多个极值, 该值越大代表良好的吸收性能. 第一个极值称为第一吸收峰, 是费米能级附近的占据态和非占据态之间的电子跃迁的结果, a, bc方向的第一吸收峰分别在3.45, 5.09和4.78 V处取得. 图2(c)是光吸收系数, 变化如预期所示, 在1.72 eV之前没有光吸收, 在可见光范围内为1×105 cm–1的量级; 随后在紫外区域达到最大值, 对于每个方向其吸收系数都高于1×106 cm–1, 该区域的高吸收峰表明AgBiSCl2可适用于紫外光探测器. 反射率R和折射率n是太阳能应用所必需的两个重要参数. 反射率给出了反射光或辐射的量度. 折射率反映了材质的透明度. 反射率如图2(d)所示. 可以清楚地看到, Rn在频率为零处有一个确定的值, 称为静态值R(0)和n(0), 同样列在表2中. R在可见光范围内较低, 结合红光波段附近的低吸收系数, 可用于红光激光器的窗口或保护层材料, 低吸收降低热效应, 低反射减小功率损失. 图2(e)是折射率, 在可见光和近紫外光范围内都保持大于2的高值, 最大值为3.22, 在a方向能量为3.06 eV时取得. 高折射率使其可用于光波导器件, 有助于实现良好的光波导效应.

      光伏器件的转换效率是评估其性能的关键指标之一, 且会受到热力学性质、材料缺陷、光学特性和制备工艺等多种因素的制约. 为了对不同材料的光电转换潜力进行比较, 研究者引入了光谱极限最大效率(spectroscopic limited maximum efficiency, SLME)模型. 该模型由Yu等[34]提出, 通过带隙和吸收系数这两个基本参数来估算材料对太阳光的吸收能力, 从而预测其理论效率. 在实际应用中, SLME常被用于筛选和评估吸收层材料的有效性. 例如Zhu等[35]计算了多种无铅双钙钛矿材料的SLME值, 预测了4种SLME超过23%的钙钛矿电池. 图2(f)展示了SLME随吸收层厚度变化的趋势, 以μm为单位测量. AgBiSCl2在3 μm时, 3个方向SLME的最大值都为28.06%, 该值高于很多著名的硫系钙钛矿, 比如β-CaZrSe3(23.08%), SrZrSe3(22.11%), CaHfSe3(20.09%), SrHfSe3(20.61%)[36]. 综上所述, 高折射率、高光吸收系数以及优异的 SLME 特性共同表明, AgBiSCl2 是一种具有潜力的光电吸收层材料, 可为下一代高效光伏器件的设计与开发提供参考.

    • 强非谐性会导致声子频移和声子展宽[37,38], 而导致材料具有极低热导率. 图3(a)为不同温度下高阶非谐性对声子色散的影响. 这里采用自洽声子(SCPH)理论来处理AgBiSCl2的热输运过程, 当温度从100 K升高到700 K时, AgBiSCl2中出现声子硬化. 此外, 在从30—70 cm–1的声子频率范围存在许多平坦的光学支, 它们可以产生大量的散射通道来有效地散射声子[39]. 图3(b)是零温下3支声学支和3支低频光学支的色散曲线. 结果表明, 在TO1和LA之间有多个代表性的避免交叉点, 如黑色圆圈所示. 图S2(online)显示了LA分支在R点的振动可视化, 可以看出Ag原子振幅远大于其他原子. 避免的交叉点被认为与声子rattling振动和低晶格热导率相关[40]. rattling振动是“声子液体、电子晶体”的一个特定物理特征, 可以增强声子散射并降低晶格热导率[41]. 如图3(c)中投影的声子态密度所示, 低于30 cm–1的低频声子主要由Ag原子贡献, 200 cm–1左右的高频声子模式主要由Cl原子贡献, 大于200 cm–1的声子模式则由S原子主导. 图3(d)为AgBiSCl2 随温度变化的均方位移(mean square displacement, MSD), MSD是原子位置相对于参考位置随时间偏差的度量. 图中Ag原子位移明显大于其他原子 Bi, S 和 Cl 的原子位移, 在xy方向更为明显, 表明Ag原子是严重离域和柔软的[42]. 为深入理解晶体中原子振动情况, 计算了AgBiSCl2的各原子的势能曲线, 如图S3(online)所示. 可以看出Bi原子被限制在陡峭的势阱中, 这表明其具有相对较强的键特性. 而Ag原子位于非常平坦的势阱中, 尤其是沿x方向. 当遇到微小的扰动或热激发时, Ag原子会从其平衡位置rattling 振动, 这会散射声子, 降低热导率. 综上所述, 可认为在AgBiSCl2中, Ag原子的rattling振动增加晶格的非谐性, 并导致低的κL.

      图4(a)所示为采用双通道热输运模型分别计算的κpκc, 在300 K时平均κpκc为0.246 W/(m·K) 和0.132 W/(m·K). 从图4(b)所示的累积κp可以看出, 对于ac方向, 低频和高频声子均对AgBiSCl2 中的κp有重要贡献; 而b方向的κp则主要由0—170 cm–1的低频声子贡献, 且各个方向热导率都很低. 由于避免交叉, 低频区的声子色散变得非常平坦, 导致声子群速度急剧降低, 对晶格热导率的贡献显著减弱. 与此同时, 避免交叉使得原本声学的振动模式与光学模式发生混合, 增加了散射通道, 使这些低频声子的寿命变得更短. 群速度降低和寿命缩短双重作用下, 这些低频区声子模式对热导率的贡献进一步受限.

      研究了影响AgBiSCl2热输运性质的相关参数, 以探究其低热导原因, 结果如图5所示. 图5(a)为群速度, 可以看到群速度主要集中在 2 km/s 以下. 低群速度可以归因于大多数的平坦声子色散关系. 接着研究温度对Grüneisen常数(γ)的影响, 如图5(b), 在低频区γ高达20, 表明该材料极强的非谐性. 并且声学支γ比光学支更大, 对声子热传输有很好的抑制作用[43]. 有限温度下声子寿命与频率的关系如图5(c)所示, 声子寿命集中在0.1—10 ps, 且随着温度升高, 声子寿命会减小. 图5(c)中大量声子存在于Wigner极限以下, 说明波状声子隧穿在热输运中起到重要作用.

      为了获得由于声子非谐重整化引起的声子寿命降低的原因, 进一步分析三声子散射相空间. 在三声子散射过程中所有声子可用的散射通道数(即相空间)可以通过加权相空间W来测量. W+为吸收过程和W为发射过程. 如图5(d)所示, 吸收过程在低频区占主导地位, 而发射过程在高频区占主导地位. 考虑到声子非谐重整化, W+和W在升温时显著的增加. 多声子相互作用在低频区诱导声子偏移, 降低了低频区声学和光学模式之间的耦合强度, 从而降低了声子寿命.

      图6所示为相干热导率 κc(ωqj, ωqj')三维可视化图. 准简并本征态(ω1ω2)对κc的贡献最大, 因为本征态之间的能量差越小, 产生的波状隧穿效应越强. 并且低频区贡献占比大, 这是因为该区域声子带隙相对更小, 模式分布密集, 因此更容易激发相干输运. 特别是对于低频区涉及Ag原子rattling振动的声子, 强的非谐性导致增强声子展宽, 因此计算AgBiSCl2热导率不能忽略κc的影响.

      图7为在300, 500和700 K温度下AgBiSCl2各个方向的n型和p型掺杂的电输运参数. 图7(a), (d)所示为塞贝克系数随载流子浓度的变化, 在掺杂浓度, p型AgBiSCl2的塞贝克系数均大于n型的, 这是由于价带附近能级简并导致其态密度大于导带附近. 从图7(b), (e) 可以看到, n型和p型AgBiSCl2的电导率均随着载流子浓度的升高而不断增大, 并且n型的增长率要比p型大得多. 这说明n型AgBiSCl2的电导率对载流子浓度升高更加敏感.

      图7(c), (f)为不同温度下功率因子(PF)随载流子浓度的曲线. 对于p型AgBiSCl2, 其c轴有着比其他方向更大的PF, 最大值可达0.72 mW/mK2; 对于n型AgBiSCl2, 其PF 随载流子浓度的增大而增大, 达到峰值后逐渐下降, 最大值在a方向取得为0.41 mW/mK2, 对应浓度2 × 1020 cm–1.

    • AgBiSCl2ZT值如图8所示. n型和p型AgBiSCl2ZT值随着载流子浓度的增大呈现先增大再减小趋势, 不同方向最大ZT值不同, 且对应的载流子浓度也不同, 具有各向异性的热电性质. 如图8(a), (b), 在700 K下, 载流子浓度分别为5 × 1020 和8 × 1019 cm–3, 获得p型 (c方向)和n型 (a方向)掺杂的最大 ZT值为 0.77和 0.69. p型AgBiSCl2ZT值大于n型, 因此AgBiSCl2可以作为一种p型热电材料. 值得注意的是, Chen等[44]研究p型LiCu3TiS4 和LiCu3TiSe4, 计算ZT在700 K时达到0.8, 与本文接近, 但是通过施加3%的应变降低热导率, 最后将ZT值进一步提高到1.6, 为后续优化AgBiSCl2的热电性能指明方向.

    • 本文基于第一性原理系统研究了混合阴离子硫卤化物 AgBiSCl2光电与热电性能. 采用HSE06-SOC方法得到AgBiSCl2是直接带隙半导体, 且带隙为 1.72 eV. AgBiSCl2在紫外区有着1 × 106 cm–1的吸收系数. 在3 μm厚度下光谱极限最大效率为28.06 %, 展现出良好的光电应用潜力. AgBiSCl2中Ag原子与周围S和Cl原子之间的成键较弱, 局部结构柔软, 导致可能存在强非谐性. 进一步研究发现以Ag为主导的低频局域“rattling”振动导致声子的非谐散射效应, 显著提升Grüneisen常数并降低声子寿命与群速度, 并激发出明显的波状热输运行为. 在双通道热输运模型中κp随温度上升而减小, κc随温度上升而增大. 无论是κc还是κp表现出极低的晶格热导率, 在300 K下κpκc分别为0.246 W/(m·K)和0.132 W/(m·K). 极低热导率意味着可能具有很好的热电性能, 进一步结合电输运结果在700 K下获得最大ZT为0.77(p型)和0.69 (n型). 综上所述, AgBiSCl2 同时具备优异的光电转换能力与低热导特性, 是一种兼具热电与光电应用潜力的多功能材料, 值得进一步深入探索与工程优化. 目前通过理论计算得到优异的光电性能, 但其热电性能还需要进一步优化, 优值ZT还没有突破1, 这大大限制了其实际应用. 后续将通过应变工程、能带工程、掺杂等调控方法改善该材料的热电性能, 实现更高的热电优值, 为该材料的光电、热电应用结合开启新的思路, 促进该材料在能源领域的发展和应用.

    参考文献 (44)

目录

/

返回文章
返回