-
细颗粒物(PM2.5)引起的雾霾污染作为大气污染的一种重要形式,与臭氧引发的光化学污染相互作用,共同导致了当前复杂的复合型大气污染现状[1],给人体健康以及生态环境系统带来了严峻威胁。颗粒物中未解析组分多为半/中等挥发性有机物(沸点通常高于200 ℃),因此,对颗粒物中的难挥发组分进行精确的定量分析尤为重要,有助于推动颗粒物生成与演化机理的深入解析[2-3]。多环芳烃(PAHs)是有机化合物的不完全燃烧或热解过程中形成的有机产物[4-6],生产生活中的燃烧源(如发动机燃油、燃煤发电、居民楼燃气等)在使用过程中普遍存在PAHs随颗粒物释放到环境中的现象[7-11]。PAHs具有致癌性、致突变和生物蓄积性[12-13]。据统计,我国肺癌约1.6%的发病诱因与大气环境中PAHs的吸入相关[14]。因此,高效解析颗粒物中PAHs具有重要的科研价值以及现实意义。
目前,科研工作者研发了单粒子气溶胶质谱仪(SPAMS)、气溶胶质谱仪(AMS)以及多种颗粒物前处理装置,其中,气相与颗粒相进样接口(FIGAERO)得到了广泛应用[15-16]。该技术由Thornton课题组[17]于2014年率先提出,其采用Teflon纤维膜对颗粒物样品进行高效富集,随后通过加热后的N2流实现热解吸进样。FIGAERO中的三接口平台可以实现气相与颗粒相间的快速切换,同时对气体和颗粒物样品进行分析。Wang课题组[18]基于FIGAERO耦合的化学电离质谱(CIMS)对二次有机气溶胶(SOA)中的含氧低挥发性有机物进行系统且深入的探索,通过开创性地引入氧碳比作为关键参数,有效筛选并参数化了识别出的330种含氧有机物,这一成果对于理解SOA形成机制、优化现有模型及预测未来空气质量变化趋势具有重要价值。然而,FIGAERO的缺陷也极为明显:1)采用N2流进行热解吸进样时,对于半挥发/低挥发性有机物的热解吸效率相对较低,无法实现包括PAHs在内的难挥发性有机物的定量分析;2)FIGAERO中的三接口平台在气密性方面存在显著不足,限制了其用于颗粒物组分定量分析的能力[19-20]。
针对上述问题,本工作研制了一种新型热解吸装置耦合电离/聚焦一体化光化学电离质谱系统。新型热解吸装置采用高功率云母片加热,能够稳定维持300 ℃的加热温度,保证能够彻底解吸颗粒物中的PAHs。腔体经精密的密封处理,确保样品气体无泄漏,随后在零气吹扫条件下进入质谱进行高效解析。本系统采用高效热传导加热技术,旨在实现常见PAHs无需前处理的快速定量分析并应用于实际样品解析,从而弥补传统FIGAERO系统在加热功率控制及气密性等方面存在的问题,提高环境污染物监测的准确性和实用性。
-
光化学电离/聚焦一体化飞行时间质谱(CIFI-TOF MS):自主设计;TH-150C中流量大气颗粒物采样器:武汉天虹环保产业有限公司产品;FX08电伴热带:盐城正龙电热科技有限公司产品;手动调压智能温控箱:亳州迈悦电器设备有限公司产品,内置K型温度传感器;D0-726流量控制器:北京七星华创流量计有限公司产品;石英纤维采样膜(孔径0.2 μm):上海碧霄环境科技有限公司产品;Model 111&1150零气发生器:赛默飞世尔科技中国有限公司产品;气相与颗粒相进样口:美国Aerodyne公司产品。
-
萘(分析纯)、苊烯(纯度99%)、芴(纯度99%):上海麦克林生化科技股份有限公司产品;甲醇、乙醇:均为分析纯,上海沪试实验室器材有限公司产品。
-
热解吸装置整体高5 cm,内部中空腔体高1.6 cm、内径9.6 cm,底部内置有云母加热元件(直径10 cm),可在1 min内将样品托盘加热至400 ℃。样品托盘内置热电偶温度探头,用于实时监测并精准控制托盘温度。压力表用于监测腔体内部压强,保证实验过程的安全性。腔体外壁为具有水冷夹层的双层结构,可通过循环水冷却系统有效降低外壁温度,防止O圈等不耐热组件结构损坏。进出气口采用气动接头(直径4 mm)。
-
向热解吸装置中滴加5 μL待测样品,打开零气发生器以及流量控制器,将300 mL/min零气经由气动进气口通入热解吸装置。启动智能温控箱并设定所需温度,待温度稳定后,接通质谱开始分析。加热后的样品气在进样毛细管自吸作用下进入质谱。由三通阀连接的废气阀用于平衡电离区气压。在质谱的连续监测模式下对特征峰峰强度数据连续采集3 min。每次检测前,采集腔体背景质谱信号,确认背景洁净后执行后续检测。单次检测完成后,关闭智能温控箱,将零气流速调高至1 000 mL/min,吹扫5 min。待采样托盘恢复至室温且背景信号无明显干扰杂峰后,执行下一次检测。
-
地下停车场空气样品检测:选定测试地点为山东大学青岛校区地下停车场。在工作日的9:00、14:00、18:00、22:00,用大气采样器连续采集0.5 h颗粒物样品,采集后的样品膜保存于−18 ℃冷冻室。检测时,取直径25 mm采样膜圆片,放入热解吸装置中,在300 ℃加热以及300 mL/min零气吹扫条件下,对特征峰峰强度数据持续采集3 min,得到质谱图以及连续监测数据。
吸烟室空气样品检测:选定测试地点为山东大学某独立房间。在该房间内,连续点燃1支香烟0.5 h,同时用大气采样器收集样品。之后,每间隔1 h采集1次样品(每次采集时间0.5 h),采集后的样品膜保存于−18 ℃冷冻室。检测时的操作流程与地下停车场空气样品一致。
基于FIGAERO的重复实验:将上述样品膜取直径25 mm采样膜圆片,放入FIGAERO进样平台。进样时,选择手动模式,设定加热器输出温度300 ℃、零气吹扫气流速300 mL/min、样品数据采集时间3 min,得到质谱图以及连续监测数据。
-
本工作自主设计了一种新型热解吸装置,通过与本课题组自主研发的电离/聚焦一体化质谱耦合,实现了对颗粒物中萘、苊烯、芴3种典型PAHs的定量检测。加热腔体中的样品经加热挥发后,在零气吹扫下进入质谱电离区实现离子化。热解吸装置耦合电离/聚焦一体化质谱系统结构示意图示于图1。
本工作采用真空紫外(VUV)灯光电离技术,在检测富含共轭电子体系的PAHs时展现出卓越性能。PAHs因独特的二维不饱和特性而具有较大的光吸收截面,其电离能低于8.2 eV阈值。萘、苊烯、芴标准样品质谱图示于图2。
在VUV灯提供的高达10.6 eV光子能量照射下,PAHs能够直接吸收光子并发生电离,示于式(1)~(4)[21]。本工作以萘标准样品为研究对象,对系统检测条件进行优化,结果表明,当使用零气作为试剂气,电离区气压350 Pa,片段四极杆射频电压500 V,信号累积时间5 s,单次检测时间在5 min内,MS特征峰信号强度最佳。
-
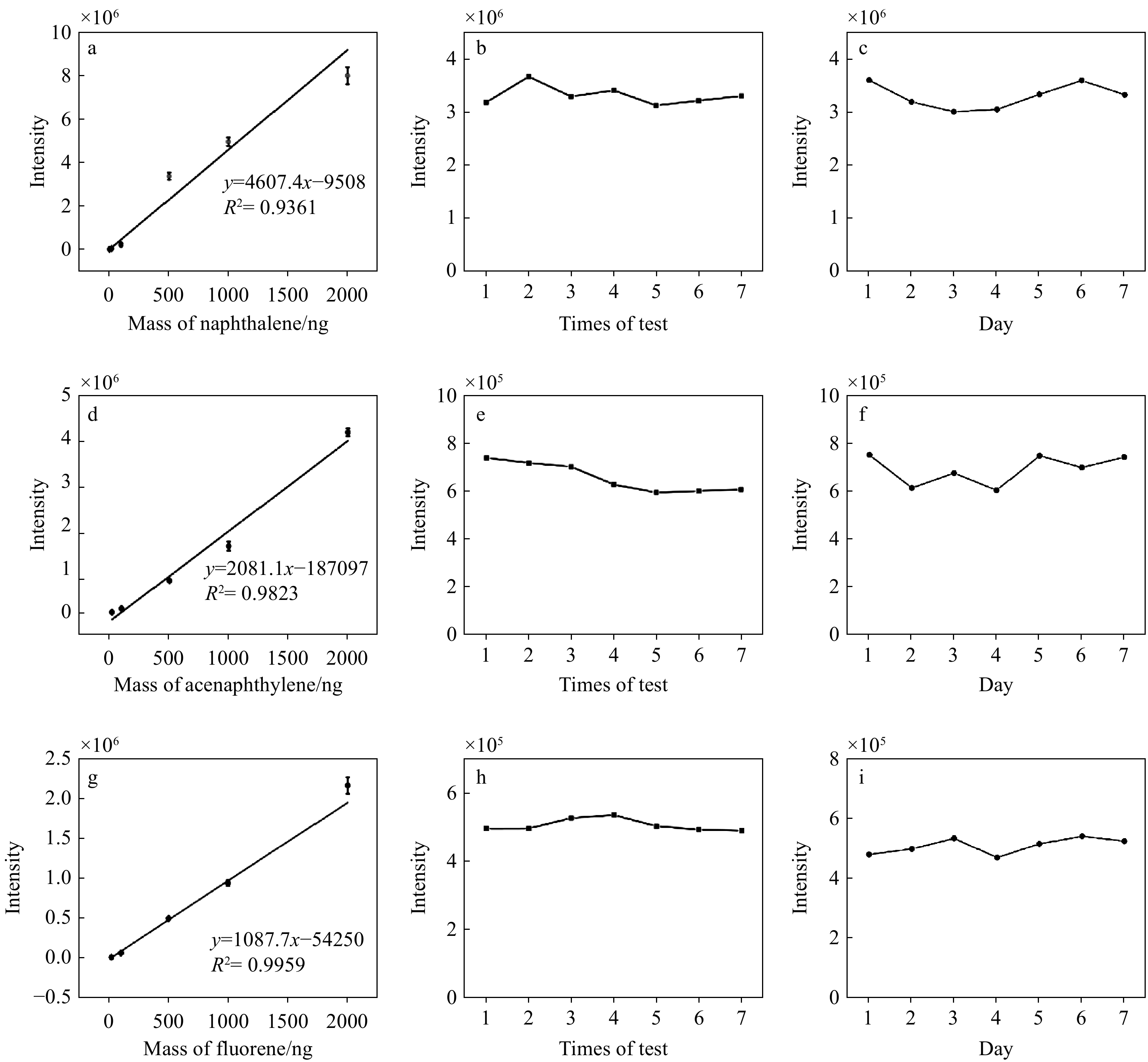
在2.1.1节优化的条件下,基于自主设计的热解吸装置耦合电离/聚焦一体化质谱系统对2~2 000 ng萘、苊烯、芴标准样品进行定量分析,线性相关系数分别为0.936 1、0.982 3、0.995 9,示于图3a、3d、3g。单日内对500 ng萘、苊烯、芴标准样品进行7次稳定性实验,信号强度分别在3.1×106~3.7×106、6.0×105~7.4×105、4.9×105~5.4×105之间波动,相对标准偏差分别为5.47%、9.44%、3.56%,示于图3b、3e、3h。连续7天对500 ng萘、苊烯、芴标准样品进行日间稳定性实验,相对标准偏差分别为7.22%、9.07%、5.39%,示于图3c、3f、3i。按照3倍信噪比计算得到萘、苊烯、芴标准样品的检测限分别为0.021、0.36、0.68 ng。
-
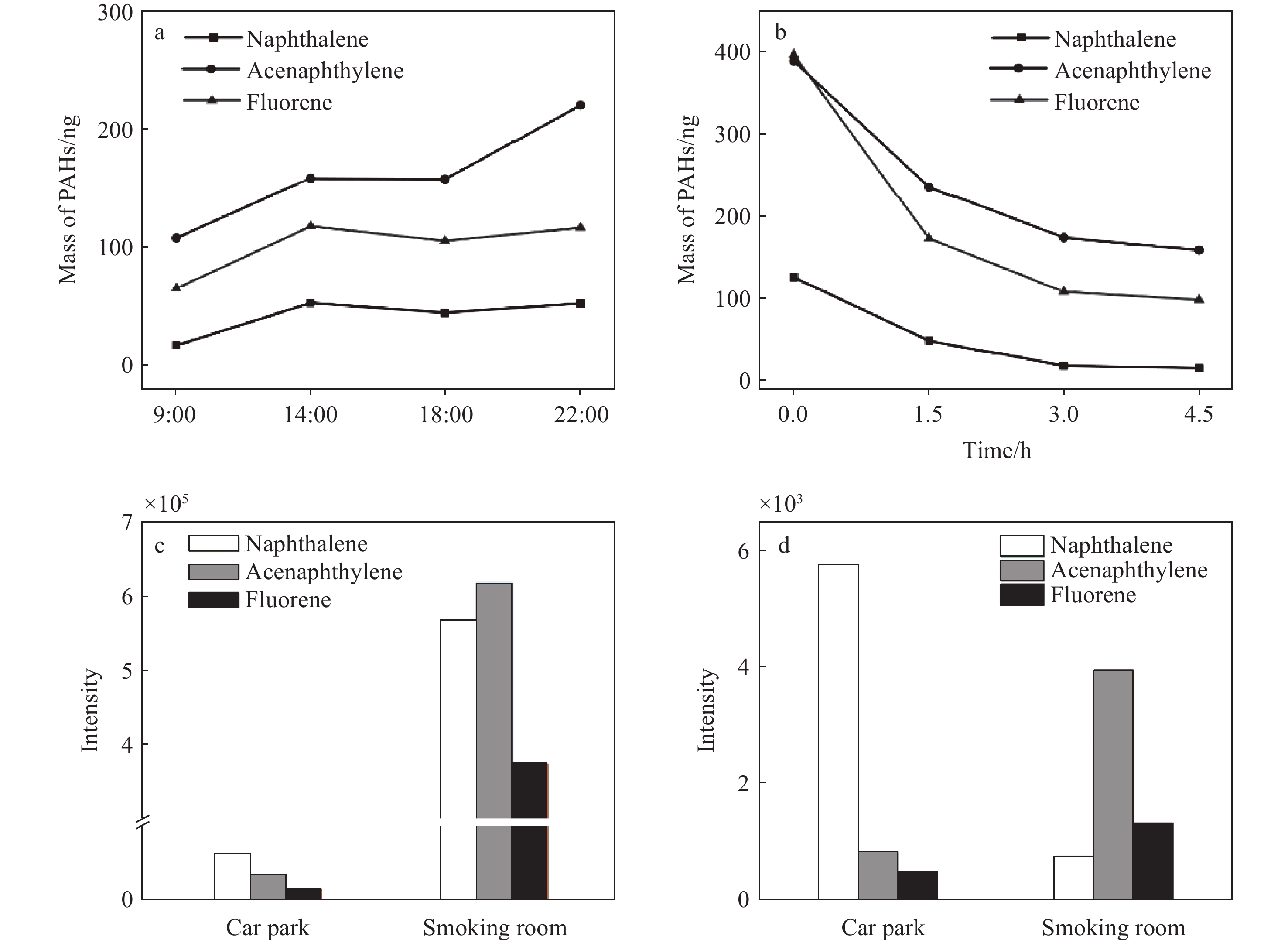
基于热解吸装置耦合电离/聚焦一体化质谱系统,对停车场实际样品进行检测,结果示于图4a。可见,经过一天的通勤活动,地下停车场内累积的PAHs浓度整体呈显著增长趋势。
美国环境保护署(USEPA)提出了全生命周期癌症风险增量(ILCR),计算公式如下:
式中,Cair为检测到的PAHs的苯并芘(BaP)等效致癌当量浓度(ng/m3),CSFinhalation为致癌斜率因子((mg/kg/day)−1),IRinhalation为空气吸入速率(m3/day),EF为暴露频率(days/year),ED为人体在场景中的暴露时间(years),cf为转化因子,BW为个体体重(kg),AT为平均寿命(days)。
按照式(5)计算停车场PAHs的ILCR远低于10−6,表明其导致癌症的风险可以接受或忽略。
-
基于热解吸装置耦合电离/聚焦一体化质谱系统对模拟吸烟室二手烟实际样品进行检测,结果示于图4b。可见,PAHs含量随时间延长呈下降趋势;3 h后,萘、苊烯、芴含量分别降至初始值的0.11、0.41、0.25倍。其中,苊烯的消散速率最慢,对人体健康构成的潜在危害相对更大。
-
将采自停车场和吸烟室的实际样品置于FIGAERO进样区。在相同的检测条件下,对比自主设计的富苊烯集加热装置与FIGAERO,结果示于图4c、4d。与富集加热装置相比,FIGAERO的检测出峰数量及信号强度明显较低。基于FIGAERO的停苊烯车场样品中萘、苊烯、芴的信号强度分别为苊烯5 779、852、501,吸烟室样品中信号强度分别为777、3 978、1 349;而基于自主设计的热解吸装置的停车场样品中萘、苊烯以及芴信号强度分别为62 256、34 480、15 149(分别增加了9.77、39.47、29.23倍),吸烟室样品中信号强度分别为苊烯565 981、617 814、374 705(分别增加了727.42、154.30、276.76倍)。在m/z 0~300范围内,以空白膜背景信号作为噪声,按照高于3倍信噪比的标准统计出峰数。基于加热富集装置的停车场和吸烟室样本特征峰数分别为182、202;而基于FIGAERO的特征峰数分别为23、0。因此,相较于FIGAERO,苊烯自主设计的热解吸装置耦合电离/苊烯聚焦一体化质谱系统具有显著优势,可有效实现颗粒物中痕量PAHs的定量检测。
-
本工作研发了一种新型热解吸装置,并将其集成至本课题组自主研发的电离/聚焦一体化光化学电离质谱系统中。针对商品化FIGAERO热解吸系统存在的加热功率不足及气密性不佳的问题,本装置进行了优化与改进。基于优化后的装置,成功实现了对萘、苊烯、芴等3种典型PAHs的精确定量分析。在优化的电离区气压、射频电压等条件下,在2~2 000 ng线性范围内,萘、苊烯、芴标准样品的检测限分别为0.021、0.36、0.68 ng。利用该装置分析停车场及吸烟室实际环境中的样品。结果表明,相较于FIGAERO的检测结果(停车场样本的特征峰数仅为23,吸烟室样本的特征峰数为0),新型热解吸装置不仅在出峰数量上大幅增加(停车场和吸烟室颗粒样本的特征峰数分别为182、202),峰强度有9.77~727.42倍的提升,能够实现实际颗粒物样品的定量分析。综上,该新型热解吸装置在颗粒物分析领域展现出巨大的潜力和广阔的应用前景,不仅解决了现有商品化FIGAERO的诸多不足,更为大气环境监测、室内空气质量评估等领域提供了强有力的技术支持。
新型热解吸装置耦合光化学电离质谱检测颗粒物中多环芳烃
Detection of PAHs in Particulate Matter Using a Novel Thermal Desorption Device Coupled with Photochemical Ionization Mass Spectrometry
-
摘要: PM2.5作为当前我国最普遍的一种污染物,严重威胁人体呼吸、循环及神经系统的健康,尤其PM2.5中沸点高于200 ℃的高毒性化合物难以检测,潜在的毒性风险更高。针对上述问题,本工作研制了一种快速热解吸装置,通过与本课题组自主研发的光化学电离质谱耦合,实现了PM2.5中萘、苊烯以及芴等3种常见多环芳烃(PAHs)的快速分析,单次检测时间少于5 min。以PAHs的分子离子峰作为特征峰,线性范围可达2~2 000 ng,检测限分别低至0.021、0.36、0.68 ng。将该装置用于停车场以及吸烟室中实际颗粒物样本成分分析,对比商品化气相与颗粒相接口(FIGAERO)检测的实际样品谱图,本装置输出谱图的出峰数增加了202个,最高峰强度提升了727.42倍,保证了实际颗粒物样品中痕量PAHs成分的准确识别与定量评估,在颗粒物成分分析领域展现出巨大潜力,拥有广阔的发展与应用前景。Abstract: PM2.5 is a significant pollutant that seriously threatens human respiratory, circulatory, and nervous systems. Despite the deepening research, the PM2.5 analysis still faces challenges, with a number of the components not having been detected and identified. These hard-to-detect components are primarily semi- or medium-volatile organic compounds with boiling points above 200 ℃. The commercial filter inlet for gases and AEROsols (FIGAERO) applied to PM2.5 detection has key bottleneck problems, such as insufficient heating power and poor airtightness. In this work, a rapid thermal desorption device was developed, coupled to a home-made photochemical ionization mass spectrometer (CIMS), with a detection time within 5 min. The self-designed thermal desorption device applies high-power mica sheets for heating, which can stably maintain a heating temperature of 300 ℃ to ensure the complete desorption of polycyclic aromatic hydrocarbons (PAHs) in particulate matter. Using this device, three common PAHs, naphthalene, acenaphthylene, and fluorene in PM2.5 were rapidly analyzed. The molecular ion peak of PAHs was used as the characteristic peak, with the linear range of 2-2 000 ng and the detection limit of 0.021, 0.36 and 0.68 ng, respectively. Most importantly, the device was used to analyze the components of actual particulate samples collected from car park and smoking room. Within m/z 0-300, the number of peaks was determined using a threshold of a signal-to-noise ratio of >3, with the background signal of the blank film considered as noise. Using the self-designed device, the characteristic peak counts for particulate samples of car park and smoking gas samples were 182, 202, respectively. In contrast, the characteristic peak count for particulate samples of car park using FIGAERO was only 23, and no characteristic peak was observed for smoking gas particle samples. Therefore, compared with FIGAERO, the self-designed thermal desorption device coupled with photochemical ionization mass spectrometry has a highly significant advantage and can achieve quantitative detection of trace PAHs in particulate matter. This device demonstrates significant potential and broad development prospects in the field of particulate matter analysis.
-
-
图 4 停车场(a)和吸烟室(b)颗粒样本萘、苊烯、芴的质量变化曲线;自主设计的热解吸装置(c)和FIGAERO(d)检测实际颗粒物样品的峰强度图
Figure 4. Mass change curves of naphthalene, acenaphthylene and fluorene in car park (a) and smoking room (b) particulate samples, and peak intensity diagrams of actual particulate samples detected by the self-designed thermal desorption device (c) and FIGAERO (d)
-
[1] MORAWSKA L, ZHU T, LIU N, TORKMAHALLEH M A, de FATIMA ANDRADE M, BARRATT B, BROOMANDI P, BUONANNO G, CERON L C B, CHEN J, CHENG Y, EVANS G, GAVIDIA M, GUO H, HANIGAN I, HU M, JEONG C H, KELLY F, GALLARDO L, KUMAR P, LYU X, MULLINS B J, NORDSTRØM C, PEREIRA G, QUEROL X, ROA N Y R, RUSSELL A, THOMPSON H, WANG H, WANG L, WANG T, WIERZBICKA A, XUE T, YE C. The state of science on severe air pollution episodes: quantitative and qualitative analysis[J]. Environment International, 2021, 156: 106 732. [2] TANG R, WANG H, LIU Y, GUO S. Constituents of atmospheric semi-volatile and intermediate volatility organic compounds and their contribution to organic aerosol[J]. Progress in Chemistry, 2019, 31(1): 180 .[3] DONAHUE N M, EPSTEIN S A, PANDIS S N, ROBINSON A L. A two-dimensional volatility basis set: 1. organic-aerosol mixing thermodynamics[J]. Atmospheric Chemistry and Physics, 2011, 11(7): 3 303-3 318. [4] HO K F, HO S S H, LEE S C, CHENG Y, CHOW J C, WATSON J G, LOUIE P K K, TIAN L. Emissions of gas- and particle-phase polycyclic aromatic hydrocarbons (PAHs) in the Shing Mun Tunnel, Hong Kong[J]. Atmospheric Environment, 2009, 43(40): 6 343-6 351. [5] QI A, WANG P, LV J, ZHAO T, HUANG Q, WANG Y, ZHANG X, WANG M, XIAO Y, YANG L, JI Y, WANG W. Distributions of PAHs, NPAHs, OPAHs, BrPAHs, and ClPAHs in air, bulk deposition, soil, and water in the Shandong Peninsula, China: urban-rural gradient, interface exchange, and long-range transport[J]. Ecotoxicology and Environmental Safety, 2023, 265: 115 494. [6] PAIM J N, SANTOS A G, ARAUJO R G O, NASCIMENTO M M, de ANDRADE J B, GUARIEIRO L L N. Emissions of PAHs, nitro-PAHs and quinones (oxy-PAHs) associated to PM1.0 and PM2.5 emitted by a diesel engine fueled with diesel-biodiesel-ethanol blends[J]. Atmosphere, 2023, 14(4): 656 . doi: 10.3390/atmos14040656[7] LIN T C, CHANG F H, HSIEH J H, CHAO H R, CHAO M R. Characteristics of polycyclic aromatic hydrocarbons and total suspended particulate in indoor and outdoor atmosphere of a Taiwanese temple[J]. Journal of Hazardous Materials, 2002, 95(1/2): 1 -12 .[8] LIANG M, LIANG H, GAO P, RAO Z, LIANG Y. Characterization and risk assessment of polycyclic aromatic hydrocarbon emissions by coal fire in northern China[J]. Environmental Geochemistry and Health, 2022, 44(3): 933 -942 . doi: 10.1007/s10653-021-01009-7[9] MARR L C, KIRCHSTETTER T W, HARLEY R A, MIGUEL A H, HERING S V, HAMMOND S K. Characterization of polycyclic aromatic hydrocarbons in motor vehicle fuels and exhaust emissions[J]. Environmental Science & Technology, 1999, 33(18): 3 091-3 099. [10] HUANG Q, ZHAO T, QI A, GAO H, ZHANG W, DUAN S, WANG P, WANG Y, ZHANG X, WANG W, YANG L. Comparison of indoor and outdoor polycyclic aromatic hydrocarbons from multiple urban residences in Northern China: coastal versus inland area[J]. Building and Environment, 2022, 212: 108 800. [11] JIANG Y, WANG X, LI M, LIANG Y, LIU Z, CHEN J, GUAN T, MU J, ZHU Y, MENG H, ZHOU Y, YAO L, XUE L, WANG W. Comprehensive understanding on sources of high levels of fine particulate nitro-aromatic compounds at a coastal rural area in northern China[J]. Journal of Environmental Sciences, 2024, 135: 483 -494 . doi: 10.1016/j.jes.2022.09.033[12] WU D, LIU H, WANG Z, ZHANG J, ZHAN C, LIU S, LIU T, ZHENG J, YAO R, CAO J. Atmospheric concentrations and air-soil exchange of polycyclic aromatic hydrocarbons (PAHs) in typical urban-rural fringe of Wuhan-Ezhou Region, Central China[J]. Bulletin of Environmental Contamination and Toxicology, 2020, 104(1): 96 -106 . doi: 10.1007/s00128-019-02743-6[13] CHANG K F, FANG G C, CHEN J C, WU Y S. Atmospheric polycyclic aromatic hydrocarbons (PAHs) in Asia: a review from 1999 to 2004[J]. Environmental Pollution, 2006, 142(3): 388 -396 . doi: 10.1016/j.envpol.2005.09.025[14] WANG W, SIMONICH S, GIRI B, CHANG Y, ZHANG Y, JIA Y, TAO S, WANG R, WANG B, LI W, CAO J, LU X. Atmospheric concentrations and air-soil gas exchange of polycyclic aromatic hydrocarbons (PAHs) in remote, rural village and urban areas of Beijing-Tianjin region, North China[J]. Science of the Total Environment, 2011, 409(15): 2 942-2 950. [15] WNAG L. Chemical analysis and precursor identification of secondary organic aerosols using FIGAERO-CI-ToFMS[J]. Huanjing Huaxue-Environmental Chemistry, 2016, 35(11): 2 227-2 233. [16] ZHANG W, XU L, ZHANG H. Recent advances in mass spectrometry techniques for atmospheric chemistry research on molecular-level[J]. Mass Spectrometry Reviews, 2024, 43(5): 1 091-1 134. [17] LOPEZ-HILFIKER F D, MOHR C, EHN M, RUBACH F, KLEIST E, WILDT J, MENTEL T F, LUTZ A, HALLQUIST M, WORSNOP D, THORNTON J A. A novel method for online analysis of gas and particle composition: description and evaluation of a Filter Inlet for Gases and AEROsols (FIGAERO)[J]. Atmospheric Measurement Techniques, 2014, 7(4): 983-1 001. [18] YANG X, REN S, WANG Y, YANG G, LI Y, LI C, WANG L, YAO L, WANG L. Volatility parametrization of low-volatile components of ambient organic aerosols based on molecular formulas[J]. Environmental Science & Technology, 2023, 57(31): 11 595-11 604. [19] HAMMES J, LUTZ A, MENTEL T, FAXON C, HALLQUIST M. Carboxylic acids from limonene oxidation by ozone and hydroxyl radicals: insights into mechanisms derived using a FIGAERO-CIMS[J]. Atmospheric Chemistry and Physics, 2019, 19(20): 13 037-13 052. [20] YANG L H, TAKEUCHI M, CHEN Y, NG N L. Characterization of thermal decomposition of oxygenated organic compounds in FIGAERO-CIMS[J]. Aerosol Science and Technology, 2021, 55(12): 1 321-1 342. [21] LIU R, GUO Y, LI M, LI J, YANG D, HOU K. Development and application of a chemical ionization focusing integrated ionization source TOFMS for online detection of OVOCs in the atmosphere[J]. Molecules, 2023, 28(18): 6 600. -
首页
登录
注册


下载: