基于快速蒸发电离质谱法快速鉴别纺织品纤维成分

上一篇

下一篇

高海燕, 尚宇瀚, 赵钢, 葛运程, 王松莹, 吕悦广, 马强. 基于快速蒸发电离质谱法快速鉴别纺织品纤维成分[J]. 质谱学报, 2025, 46(5): 591-601. doi: 10.7538/zpxb.2024.0205
引用本文: 高海燕, 尚宇瀚, 赵钢, 葛运程, 王松莹, 吕悦广, 马强. 基于快速蒸发电离质谱法快速鉴别纺织品纤维成分[J]. 质谱学报, 2025, 46(5): 591-601. doi: 10.7538/zpxb.2024.0205
Hai-yan GAO, Yu-han SHANG, Gang ZHAO, Yun-cheng GE, Song-ying WANG, Yue-guang LYU, Qiang MA. Fast Identification of Textile Fiber Composition Using Rapid Evaporative Ionization Mass Spectrometry[J]. Journal of Chinese Mass Spectrometry Society, 2025, 46(5): 591-601. doi: 10.7538/zpxb.2024.0205
Citation: Hai-yan GAO, Yu-han SHANG, Gang ZHAO, Yun-cheng GE, Song-ying WANG, Yue-guang LYU, Qiang MA. Fast Identification of Textile Fiber Composition Using Rapid Evaporative Ionization Mass Spectrometry[J]. Journal of Chinese Mass Spectrometry Society, 2025, 46(5): 591-601. doi: 10.7538/zpxb.2024.0205

基于快速蒸发电离质谱法快速鉴别纺织品纤维成分

    作者简介: 高海燕 .
    通讯作者: 马强
  • 中图分类号: O657.63

Fast Identification of Textile Fiber Composition Using Rapid Evaporative Ionization Mass Spectrometry

    Corresponding author: Qiang MA, maqiang@caiq.org.cn
  • MSC: O657.63

  • 摘要: 本研究建立了电烙铁灼烧-快速蒸发电离质谱法,以实现对纺织品质谱数据的快速采集。通过电烙铁直接灼烧样品表面产生烟气,供快速蒸发电离质谱系统分析,无需样品前处理,操作简便,单次数据采集用时仅4~5 s。经优化,该方法可产生稳定的质谱信号,能够满足质谱分析的重复性要求。使用本方法采集7类39种经鉴定的纺织品标准样品质谱数据共359组,组成了包含4 500个变量(m/z值)的纤维成分质谱数据集。将数据集导入LiveID软件,建立主成分分析-线性判别分析相结合(PCA-LDA)预测模型,用于对7类纺织品纤维成分进行分类。所得模型经五折交叉验证,误判率为2.23%;其对棉、蚕丝、聚酯纤维和锦纶的分类准确率、精确度、召回率和F1分数均大于99%,对羊毛不低于90%,对氨纶、腈纶不低于75%,基本满足快速鉴别要求。结合模型变量重要性分析与Progenesis QI软件筛选结果,识别出分别属于7类纤维的29个特征碎片离子。将训练的PCA-LDA模型应用于20种纺织品实际样品的纤维种类鉴别,得到的结果与样品宣称及人工鉴定的纤维成分一致。该方法可为服装、家用纺织品等产品或面料的真实属性鉴别与品质评价提供技术参考。
  • 加载中
  • 图 1  采样锥孔电压(a)、加热偏置电压(b)、辅助溶剂流速(c)与电烙铁温度(d)的优化

    Figure 1.  Optimization of sampling cone voltage (a), heating bias voltage (b), auxiliary solvent flow rate (c) and soldering iron temperature (d)

    图 2  不同纤维成分纺织品标准样品的代表性质谱图

    Figure 2.  Representative mass spectra of textile standard samples with different fiber compositions

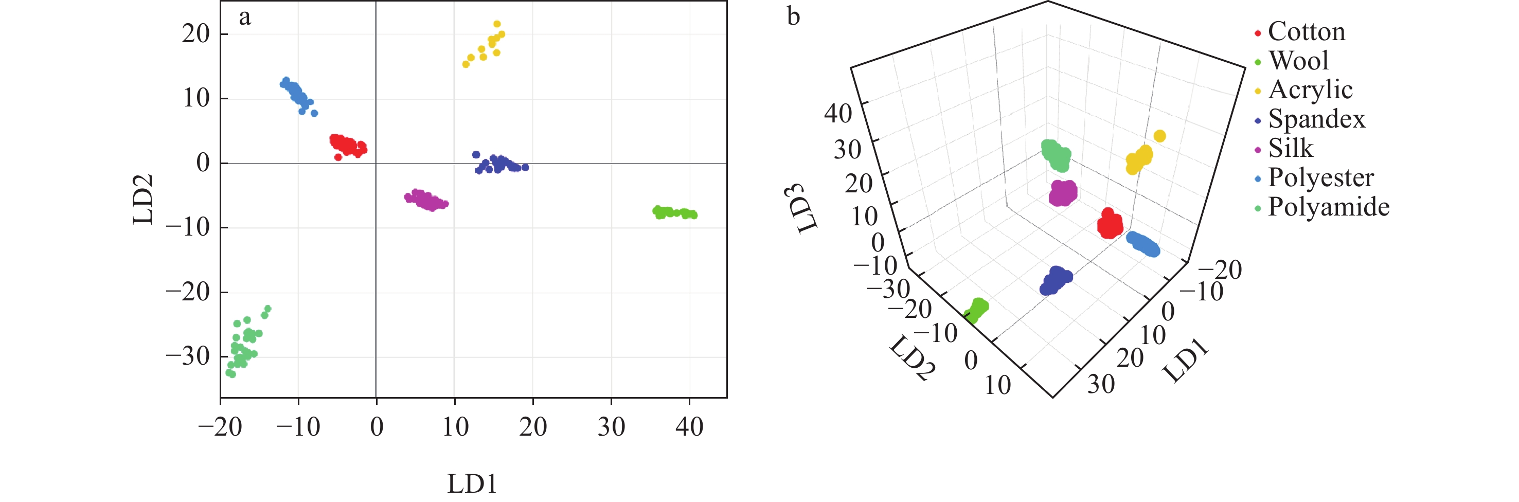
    图 3  对训练的PCA-LDA模型分类7种纤维成分纺织品样品的二维(a)与三维(b)可视化结果

    Figure 3.  2D (a) and 3D (b) visualization of the trained PCA-LDA model for classifying textile samples with 7 fiber compositions

    图 4  训练的PCA-LDA模型的混淆矩阵

    Figure 4.  Confusion matrix of the trained PCA-LDA model

    图 5  训练的PCA-LDA模型的碎石图和累计贡献率图

    Figure 5.  Scree plot and cumulative contribution rate plot of the trained PCA-LDA model

    表 1  用于建立质谱数据集的纺织品标准样品

    Table 1.  Textile standard samples used to build the mass spectral dataset

    序号
    No.
    样品种类
    Type
    颜色
    Color
    宣称纤维成分
    Claimed fiber composition
    经鉴定纤维成分
    Identified fiber composition
    1 棉花 白色 棉花
    2 棉花 白色 棉花
    3 棉花 白色 棉花
    4 籽棉 白色 籽棉
    5 籽棉 白色 籽棉
    6 纯棉布料 乳白色 棉100%
    7 布料-纯棉 彩棉 棉100%
    8 布料-纯棉 白色 棉100%
    9 布料-纯棉 浅粉色 棉100%
    10 布料-纯棉 乳白色 棉100%
    11 四件套 绿底白花 棉100%
    12 被套 蓝底白花 棉100%
    13 床单 紫色 棉100%
    14 T恤 浅灰色 棉100%
    15 真丝重缎布料 白色 桑蚕丝100% 桑蚕丝
    16 真丝双绉布料 白色 桑蚕丝100% 桑蚕丝
    17 素绉缎面丝巾 白色 桑蚕丝100% 桑蚕丝
    18 素绉缎面丝巾 橘色 桑蚕丝100% 桑蚕丝
    19 真丝背心 土黄色 柞蚕丝100% 柞蚕丝
    20 蚕丝被 白色 桑蚕丝100% 柞蚕丝
    21 围巾 米色、咖啡色 羊毛100% 羊毛
    22 12064羊毛 白色 未标明 羊毛
    23 羊剪绒毛皮 白色 羊皮、羊毛 羊毛
    24 2021羊毛 白色 羊毛 羊毛
    25 #1羊毛 白色 羊毛 羊毛
    26 #2羊毛 白色 羊毛 羊毛
    27 布料 白色 聚酯纤维100% 聚酯纤维
    28 T恤 浅灰色、绿色 聚酯纤维100% 聚酯纤维
    29 衬衫 白底红花 聚酯纤维100% 聚酯纤维
    30 家居服 杏黄色 聚酯纤维100% 聚酯纤维
    31 布料 白色 聚酯纤维100% 聚酯纤维
    32 线团 绿色、白色、宝蓝色 未标明 聚酯纤维
    33 尼龙线卷 无色 未标明 锦纶
    34 防晒衣 灰色 锦纶100% 锦纶
    35 布料 白色 锦纶100% 锦纶
    36 布料 白色 锦纶100% 锦纶
    37 线团 咖啡色 腈纶100% 腈纶
    38 线轴 无色 氨纶 氨纶
    39 线轴 白色 D40蔓越 氨纶
    下载: 导出CSV

    表 2  结合变量重要性分析与Progenesis QI筛选结果识别出的特征碎片离子

    Table 2.  Characteristic fragment ions identified by combining feature importance analysis and Progenesis QI screening results

    序号
    No.
    变量名称
    Variable name
    质荷比
    m/z
    最高平均丰度
    Highest mean abundance
    最低平均丰度
    Lowest mean abundance
    PCA重要性权重
    PCA importance weight
    1 123.05 123.0084 聚酯纤维 锦纶 0.02493
    2 125.05 125.0243 锦纶 0.04080
    3 137.05 137.0253 锦纶 0.06809
    4 143.05 143.0252 腈纶 聚酯纤维 0.04979
    5 153.05 153.0572 羊毛 锦纶 0.02280
    6 167.05 167.0344 锦纶 0.04715
    7 169.05 169.0612 蚕丝 锦纶 0.08248
    8 177.05 177.0212 氨纶 0.05197
    9 178.05 178.0603 蚕丝 锦纶 0.05720
    10 179.05 179.0762 蚕丝 聚酯纤维 0.04038
    11 181.05 181.0471 锦纶 0.02592
    12 189.05 189.0548 氨纶 0.02125
    13 191.05 191.0374 聚酯纤维 锦纶 0.02562
    14 193.05 193.0346 羊毛 氨纶 0.05427
    15 202.05 202.0521 蚕丝 锦纶 0.02464
    16 212.15 212.1274 锦纶 0.02150
    17 214.15 214.1435 锦纶 腈纶 0.04383
    18 223.05 223.0746 羊毛 锦纶 0.09024
    19 247.05 247.0298 锦纶 0.02272
    20 249.05 249.0631 氨纶 锦纶 0.04888
    21 281.25 281.2482 锦纶 氨纶 0.02074
    22 285.15 285.1808 锦纶 0.02678
    23 313.05 313.0707 聚酯纤维 锦纶 0.56488
    24 325.15 325.1834 锦纶 蚕丝 0.04033
    25 341.05 341.0693 聚酯纤维 羊毛 0.02305
    26 357.05 357.0633 聚酯纤维 锦纶 0.32329
    27 383.05 383.0773 聚酯纤维 羊毛 0.23114
    28 505.15 505.1134 聚酯纤维 锦纶 0.22792
    29 549.15 549.1131 聚酯纤维 锦纶 0.03275
    下载: 导出CSV

    表 3  使用训练的PCA-LDA模型鉴别20种纺织品实际样品的纤维成分

    Table 3.  Recognition of 20 textile real samples using the trained PCA-LDA model

    序号
    No.
    样品种类
    Type
    颜色
    Color
    宣称纤维成分
    Claimed fiber composition
    鉴定纤维成分
    Identified fiber composition
    PCA-LDA鉴别结果
    PCA-LDA identification result
    纤维种类
    Fiber composition
    置信度
    Confidence/%
    1 T恤 白色、灰色 棉100% 100
    2 儿童背心 白色、粉色 棉100% 100
    3 T恤 白色 棉100% 100
    4 床单 蓝白格子 69.91
    5 床单 灰绿格子 全棉 95.58
    6 T恤 白色 棉100% 99.88
    7 丝巾 粉色 桑蚕丝100% 桑蚕丝 蚕丝 99.99
    8 真丝乔其纱布料 白色 桑蚕丝100% 桑蚕丝 蚕丝 100
    9 丝巾 米兰色 桑蚕丝100% 桑蚕丝 蚕丝 97.81
    10 丝巾 紫红色 桑蚕丝100% 桑蚕丝 蚕丝 99.66
    11 丝巾 绿底白花 桑蚕丝100% 桑蚕丝 蚕丝 98.24
    12 围巾 仓粉色 初剪小羊羔毛100% 羊毛 羊毛 100
    13 毛衣 紫色 羊毛100% 羊毛 羊毛 100
    14 #3羊毛 白色 羊毛 羊毛 羊毛 100
    15 围巾 水佩风裳 聚酯纤维100% 聚酯纤维 聚酯纤维 100
    16 裙原料5号 翠绿色 聚酯纤维100% 聚酯纤维 聚酯纤维 100
    17 裙原料2号 蓝黑色 聚酯纤维100% 聚酯纤维 聚酯纤维 100
    18 布料 白色 锦纶 锦纶 锦纶 99.82
    19 线团 绿色 腈纶100% 未检测 腈纶 100
    20 线轴 白色 D40申枫 氨纶 氨纶 97.13
    下载: 导出CSV
  • [1] FZ/T 01057.2−2007 纺织纤维鉴别试验方法[S]. 北京: 中国标准出版社, 2007.
    [2] CABRALES L, ABIDI N. On the thermal degradation of cellulose in cotton fibers[J]. Journal of Thermal Analysis and Calorimetry, 2010, 102(2): 485 - 491 .
    [3] XIA Z, YAO C E, ZHOU J, YE W, XU W. Comparative study of cotton, ramie and wool fiber bundles’ thermal and dynamic mechanical thermal properties[J]. Textile Research Journal, 2016, 86(8): 856 - 867 .
    [4] BASAK S, LAHA A. Thermal analysis of polymeric materials[M]. Weinheim, Gernany: WILEY-VCH GmbH, 2022: 623-636.
    [5] PEETS P, LEITO I, PELT J, VAHUR S. Identification and classification of textile fibres using ATR-FT-IR spectroscopy with chemometric methods[J]. Spectrochimica Acta Part A: Molecular and Biomolecular Spectroscopy, 2017, 173: 175 - 181 .
    [6] SHARMA V, MAHARA M, SHARMA A. On the textile fibre’s analysis for forensics, utilizing FTIR spectroscopy and machine learning methods[J]. Forensic Chemistry, 2024, 39: 100 576.
    [7] ZAPATA F, ORTEGA-OJEDA F E, GARCÍA-RUIZ C. Forensic examination of textile fibres using Raman imaging and multivariate analysis[J]. Spectrochimica Acta Part A: Molecular and Biomolecular Spectroscopy, 2022, 268: 120 695.
    [8] RYDZAK P M, ELWICK K E, DAMASO N, ROBERTSON J M. Assessment of detection limits for dyed and mounted textile fibers using Raman spectroscopy[J]. Journal of Forensic Sciences, 2022, 67(6): 2 278-2 290.
    [9] RUAN Y, MENG X, WANG J, WANG H, YE Q, SHOU Q, MA Q. Applications of mass spectrometry in textile analysis: an overview[J]. Journal of Analysis and Testing, 2024, 8(4): 518 - 537 .
    [10] NACCI T, SABATINI F, CIRRINCIONE C, DEGANO I, COLOMBINI M P. Characterization of textile fibers by means of EGA-MS and py-GC/MS[J]. Journal of Analytical and Applied Pyrolysis, 2022, 165: 105 570.
    [11] COCHRAN K H, BARRY J A, MUDDIMAN D C, HINKS D. Direct analysis of textile fabrics and dyes using infrared matrix-assisted laser desorption electrospray ionization mass spectrometry[J]. Analytical Chemistry, 2013, 85(2): 831 - 836 .
    [12] GB/T 42699.2−2023 纺织品 某些动物毛纤维蛋白质组定性和定量分析[S]. 北京: 中国标准出版社, 2023.
    [13] ZHANG N, ZHOU Y, ZHEN C, LI Y, XIONG C, WANG J, LI H, NIE Z. Structural characterization of synthetic polymers using thermal-assisted atmospheric pressure glow discharge mass spectrometry[J]. Analyst, 2012, 137(21): 5 051-5 056.
    [14] SCHÄFER K C, DÉNES J, ALBRECHT K, SZANISZLÓ T, BALOG J, SKOUMAL R, KATONA M, TÓTH M, BALOGH L, TAKÁTS Z. In vivo, in situ tissue analysis using rapid evaporative ionization mass spectrometry[J]. Angewandte Chemie International Edition, 2009, 48(44): 8 240-8 242.
    [15] 高海燕, 孟宪双, 付珺珺, 王松莹, 马强. 快速蒸发电离质谱技术及其应用研究进展[J]. 分析测试学报, 2021, 40(2): 159 - 170 . doi: 10.3969/j.issn.1004-4957.2021.02.001 GAO Haiyan, MENG Xianshuang, FU Junjun, WANG Songying, MA Qiang. Research progress on rapid evaporative ionization mass spectrometry and its applications[J]. Journal of Instrumental Analysis, 2021, 40(2): 159 - 170 (in Chinese). doi: 10.3969/j.issn.1004-4957.2021.02.001
    [16] MASON S, MANOLI E, POYNTER L, ALEXANDER J, PAIZS P, ADEBESIN A, GOLDIN R, DARZI A, TAKATS Z, KINROSS J. Mass spectrometry transanal minimally invasive surgery (MS-TAMIS) to promote organ preservation in rectal cancer[J]. Surgical Endoscopy, 2020, 34(8): 3 618-3 625.
    [17] BARDIN E E, CAMERON S J S, PERDONES-MONTERO A, HARDIMAN K, BOLT F, ALTON E W F W, BUSH A, DAVIES J C, TAKÁTS Z. Metabolic phenotyping and strain characterisation of pseudomonas aeruginosa isolates from cystic fibrosis patients using rapid evaporative ionisation mass spectrometry[J]. Scientific Reports, 2018, 8(1): 10 952.
    [18] SONG G, LI L, WANG H, ZHANG M, YU X, WANG J, SHEN Q. Electric soldering iron ionization mass spectrometry based lipidomics for in situ monitoring fish oil oxidation characteristics during storage[J]. Journal of Agricultural and Food Chemistry, 2020, 68(7): 2 240-2 248.
    [19] 刘鸣畅, 林继红, 刘哲硕, 杨艳歌, 王洪越, 张峰, 吴亚君. 快速蒸发电离质谱技术(REIMS)鉴别肉品[J]. 质谱学报, 2020, 41(5): 470 - 479 . doi: 10.7538/zpxb.2019.0079 LIU Mingchang, LIN Jihong, LIU Zheshuo, YANG Yange, WANG Hongyue, ZHANG Feng, WU Yajun. Identification of meat by rapid evaporation ionization mass spectrometry (REIMS)[J]. Journal of Chinese Mass Spectrometry Society, 2020, 41(5): 470 - 479 (in Chinese). doi: 10.7538/zpxb.2019.0079
    [20] GAO H, LIN J, JIA X, ZHAO Y, WANG S, BAI H, MA Q. Real-time authentication of animal species origin of leather products using rapid evaporative ionization mass spectrometry and chemometric analysis[J]. Talanta, 2021, 225: 122 069.
    [21] 吴喜之. 多元统计分析: R与Python的实现[M]. 北京: 中国人民大学出版社, 2019: 129-130.
    [22] MALONEK D, DEKEL B Z, HARAN G, REENS-CARMEL R, GROISMAN G M, HALLAK M, BRUCHIM I. Rapid intraoperative diagnosis of gynecological cancer by ATR-FTIR spectroscopy of fresh tissue biopsy[J]. Journal of Biophotonics, 2020, 13(9): e202000114.
    [23] ALI S, NASEER K, QAZI J. Diagnosis of HCV infection using attenuated total Reflection-FTIR spectra of Freeze-Dried sera[J]. Infrared Physics & Technology, 2022, 121: 104 019.
    [24] FALAMAS A, FAUR C I, CIUPE S, CHIRILA M, ROTARU H, HEDESIU M, CINTA PINZARU S. Rapid and noninvasive diagnosis of oral and oropharyngeal cancer based on micro-Raman and FT-IR spectra of saliva[J]. Spectrochimica Acta Part A: Molecular and Biomolecular Spectroscopy, 2021, 252: 119 477.
    [25] ITURRIOZ-RODRÍGUEZ N, DE PASQUALE D, FIASCHI P, CIOFANI G. Discrimination of glioma patient-derived cells from healthy astrocytes by exploiting Raman spectroscopy[J]. Spectrochimica Acta Part A: Molecular and Biomolecular Spectroscopy, 2022, 269: 120 773.
  • 加载中
图( 6) 表( 3)
计量
  • 文章访问数:  20
  • HTML全文浏览数:  20
  • PDF下载数:  2
  • 施引文献:  0
出版历程
  • 收稿日期:  2024-12-05
  • 录用日期:  2025-03-28
  • 刊出日期:  2025-09-30

基于快速蒸发电离质谱法快速鉴别纺织品纤维成分

    通讯作者: 马强
    作者简介: 高海燕
  • 1. 中国检验检疫科学研究院,北京 100176
  • 2. 内蒙古自治区市场监督管理审评查验中心,内蒙古 呼和浩特 010070
  • 3. 大连理工大学化工海洋与生命学院,辽宁 盘锦 124221

摘要: 本研究建立了电烙铁灼烧-快速蒸发电离质谱法,以实现对纺织品质谱数据的快速采集。通过电烙铁直接灼烧样品表面产生烟气,供快速蒸发电离质谱系统分析,无需样品前处理,操作简便,单次数据采集用时仅4~5 s。经优化,该方法可产生稳定的质谱信号,能够满足质谱分析的重复性要求。使用本方法采集7类39种经鉴定的纺织品标准样品质谱数据共359组,组成了包含4 500个变量(m/z值)的纤维成分质谱数据集。将数据集导入LiveID软件,建立主成分分析-线性判别分析相结合(PCA-LDA)预测模型,用于对7类纺织品纤维成分进行分类。所得模型经五折交叉验证,误判率为2.23%;其对棉、蚕丝、聚酯纤维和锦纶的分类准确率、精确度、召回率和F1分数均大于99%,对羊毛不低于90%,对氨纶、腈纶不低于75%,基本满足快速鉴别要求。结合模型变量重要性分析与Progenesis QI软件筛选结果,识别出分别属于7类纤维的29个特征碎片离子。将训练的PCA-LDA模型应用于20种纺织品实际样品的纤维种类鉴别,得到的结果与样品宣称及人工鉴定的纤维成分一致。该方法可为服装、家用纺织品等产品或面料的真实属性鉴别与品质评价提供技术参考。

English Abstract

  • 随着纺织行业的创新发展,对服装、家用纺织品等产品和面料的质量安全监管日趋严格,相关质量安全问题的持续减少,使消费者选择纺织服装产品的关注点逐渐转向产品品牌、款式设计、使用舒适度等方面。纺织品的纤维种类和组成直接影响面料弹性、透气性、抗撕强度等性能,是决定纺织品质量、舒适度等的重要因素。通常,不同品牌的纺织品会采用特定的纤维组成,以满足消费者的特殊需求。在这种情况下,开发适用于鉴别纺织品纤维材质的方法,不仅可以回应消费者关切,对进一步加强纺织品质量安全监管也具有重要意义。

    传统的纺织品纤维定性鉴别方法主要包括感官检测、显微镜法、燃烧法、溶解法等,这些方法操作简单,但因检测过程中存在各种问题,通常需要配合使用[1]。其中,感官检测和燃烧法的结果受检测者主观意识与环境因素的共同影响,可靠性较差;显微镜法和溶解法的准确率相对较高,但必须与标准样品或标准图谱比对。近几年,一系列基于现代仪器分析技术的纺织品鉴别方法被开发并投入应用,如,热分析法[2-4]是通过监测纤维在温度变化过程中伴随的质量或吸热/放热变化,对具有不同热变化特征的纤维进行区分,具有样品用量少、操作简便、准确度高等优点,但准确的热量分析往往依赖专用的精密仪器与稳定的实验室环境,且单次分析用时较长;红外光谱法[5-6]和拉曼光谱法[7-8]是通过分析不同种类纤维特征分子结构产生的吸收峰,鉴别不同红外/拉曼吸收特征的纤维,有着分析速度快、样品制备简单、支持无损检测等优点,但对具有相似化学结构纤维的鉴别效果不够理想,且易受环境干扰;质谱法[9-12]是通过电离不同纤维中的特征化合物,比较质谱数据的区别,实现对纤维种类的鉴别,具有定性准确、灵敏度高、分析通量大等特点,同时能够兼顾纤维样品中其他关注化学物质的检测。原位电离质谱法是在传统质谱法的基础上进一步简化样品的前处理过程,克服操作繁琐、耗时冗长、污染环境等弊端,体现了化学测量学向着快速高效、实时原位、灵敏特异、环境友好等方向发展的重要趋势,在纺织品快速鉴别中展现出巨大潜力。例如,Zhang等[13]采用加热辅助-大气压辉光放电质谱(TA-APGD-MS)法直接对聚苯乙烯(PS)、聚甲醛(POM)和聚丁二醇琥珀酸酯(PBS)等典型聚合物样品进行分子水平表征,成功实现了对均聚物和共聚物的结构解析。快速蒸发电离质谱(rapid evaporative ionization mass spectrometry,REIMS)是由Takáts等[14]于2009年开发的一种原位电离方法。Waters公司于2014年收购REIMS技术,并于2015年推出商品化的REIMS研究系统,通过医用手术电刀或电烙铁灼烧待测物表面产生含有正负离子及中性粒子的气溶胶,并使用特制的文丘里泵装置与1根长2 m的PTFE导管将气相粒子输送到质谱仪入口。其中,将文丘里泵的气流方向设计为与质谱仪加热毛细管入口垂直,以减少气溶胶对质谱仪大气压界面的污染。进入大气压界面的气溶胶与1个恒定电流的高温发热体碰撞后进入四极杆-飞行时间质谱仪,整个分析过程仅需几秒钟[15]。目前,该方法已广泛应用于医学组织鉴定[16]、微生物鉴定[17]、食品品质分析与真伪鉴别[18-19]、皮革鉴别[20]等场景,但在纤维分析中的应用还鲜有报道。

    值得注意的是,使用红外/拉曼光谱法、质谱法等采集的纤维谱学数据通常包含数百甚至上千个波长/波数或质荷比及其对应的强度信息,具有极高的数据维度。当基于此类数据进行纤维种类鉴别时,通常需要提前进行降维处理。主成分分析(principal component analysis,PCA)是一种常用的无监督的数据降维方法,通过线性变换将原始数据映射到新的坐标系中,使数据在新坐标系下的方差最大化[21]。线性判别分析(linear discriminant analysis,LDA)是一种有监督的数据降维与分类方法,通过线性变换将原始数据映射到新的坐标系,使同类数据在新坐标系下的投影尽可能接近[21]。而主成分分析-线性判别分析(PCA-LDA)模型将PCA降维后的主成分用于LDA分析,能够在保留数据主要特征信息的同时有效去除噪声干扰,并显著降低计算成本。该方法提高了模型的泛化能力,比单独使用PCA或LDA具有明显优势,已应用于多种场景[22-25]。在Waters公司开发的LiveID软件中,主要采用PCA-LDA方法进行分类模型的构建和样品的实时鉴定。

    本工作采用电烙铁灼烧-快速蒸发电离质谱(SIC-REIMS)法,在负离子模式下采集纺织品标准样品和实际样品的质谱数据,并通过比对分析,识别不同种类纤维的质谱特征差异。在此基础上,利用Waters LiveID软件建立PCA-LDA预测模型,对7类不同纤维成分(棉、蚕丝、羊毛、聚酯纤维、锦纶、氨纶、腈纶)的纺织品样品进行快速鉴别,并筛选不同种类纤维对应的特征化学成分,旨为服装、家用纺织品等产品的纤维材质鉴别工作提供参考。

    • 快速蒸发电离系统、Xevo G2-XS QTof四极杆飞行时间质谱仪(配有MassLynx 4.2质谱仪控制软件):美国Waters公司产品;WSD 71手持式电烙铁:德国Weller公司产品。

      Waters LiveID 1.2软件、Waters Progenesis QI软件(配有ezinfo 3.0数据处理插件):美国Waters公司产品。

    • 39个纺织品标准样品:由内蒙古自治区市场监督管理审评查验中心提供,纤维种类、含量经内蒙古自治区市场监督管理审评查验中心鉴定,具体信息列于表1;20个纺织品实际样品:网络购买,纤维种类、含量经内蒙古自治区市场监督管理审评查验中心鉴定;亮氨酸脑啡肽标准溶液(浓度200 μg/L,溶剂为乙腈-0.1%甲酸水溶液(1:1,V/V)):美国Waters公司产品;甲醇(色谱纯):美国Fisher公司产品;无尘纸:美国Kimberly-Clark公司产品;铝箔:网络购买。

    • 采用SIC-REIMS法直接分析纺织品,通常无需样品前处理。对于纺织品标准样品,裁取2 cm×4 cm布条用于数据采集;对于纺织品实际样品,从其内侧或边角处裁取不小于0.3 cm×0.6 cm布条用于数据采集。采集数据前,使用无尘纸蘸取甲醇擦拭布条表面,去除灰尘及潜在干扰物。

    • 加热偏置电压60 V,亮氨酸脑啡肽标准溶液流速200 μL/min。Xevo G2-XS QTof四极杆飞行时间质谱仪的工作条件:负离子模式,灵敏度模式,毛细管电压2.5 kV,采样锥孔电压50 V,离子源偏移电压80 V,离子源温度100 ℃,脱溶剂气温度250 ℃,锥孔气流速0 L/h,脱溶剂气流速600 L/h,数据采集模式MS1,质量扫描范围m/z 50~1 200,分辨率22 000。

    • 将加热至450 ℃的电烙铁与纺织品样品接触4~6 s,产生烟雾气溶胶,生成的气溶胶通过聚四氟乙烯导管被质谱仪真空系统吸入REIMS研究系统并形成气相离子,最终进入飞行时间质谱仪进行分析。每个样品需平行采集至少3次。为了使产生的烟气流速稳定,对于厚度较小或不均匀的样品,可以在折叠2~3次并压紧后用于电烙铁灼烧解吸。当观察到PTFE导管中有明显烟气沉积,或质谱背景信号中出现来自样品烟气的离子残留时,需在使用甲醇清洗导管后再进行实验。

    • 使用Waters LiveID 1.2软件,基于上述纤维样品的REIMS数据,建立PCA-LDA判别模型。训练模型使用的质谱数据质量轴范围为m/z 100~550,质量数分选窗口大小为m/z 0.1。模型的主成分数量设为25,线性判别因子数量设为6,离群值判断条件设为标准偏差大于10%。所得模型经五折交叉验证后,用于快速鉴别纺织品实际样品的种类。

    • 使用Waters Progenesis QI软件筛选通过REIMS负离子模式采集的质谱信息,筛选条件设为ANOVA p值≤0.05、最大差异倍数≥2、VIP值≥1、m/z 100~550。由于采集的质谱数据中未包括MS/MS碎片离子与保留时间信息,不能满足Progenesis QI软件中化合物匹配功能对数据的要求,因此未对碎片离子进行化合物匹配。

    • 以特定纺织品样品(表1,序号6)在REIMS负离子模式下的总离子流(total ion current, TIC)信号强度作为评价指标,采用控制变量法分别对采样锥孔电压、REIMS系统加热偏置电压、辅助溶剂流速与电烙铁温度进行优化,以期在减少单次检测样品用量的同时,获得较丰富的全扫描质谱信息和较高的信噪比。实验过程中,上述4项参数的缺省值分别为50 V、80 V、150 μL/min和450 ℃,相关优化结果示于图1。可以看出,随着锥孔电压增加,样品TIC强度呈先增大后减小的趋势,其最大值为锥孔电压50 V,示于图1a;样品TIC强度随加热偏置电压增大的变化趋势与锥孔电压类似,其最大值出现在电压60 V时,示于图1b;样品TIC强度随辅助溶剂流速的升高而持续增大,当流速达到200 μL/min时,继续提高流速对TIC的影响不显著,示于图1c;随着电烙铁温度升高,烟气产生量不断增加,样品TIC信号强度也随之增大,当温度由350 ℃升至450 ℃时,TIC出现跃升,继续升高温度至电烙铁工作温度上限,样品TIC增量不大,示于图1d。综上,选择锥孔电压50 V、加热偏置电压60 V、辅助溶剂流速200 μL/min、电烙铁温度450 ℃作为后续实验条件。

    • 与负离子模式相比,正离子模式下采集的碎片离子种类更多、信号更强,但会导致总离子流图中峰拖尾严重、背景信号偏高、分析准确性降低。因此,基于优化后的实验条件,采用REIMS负离子模式采集39种纺织品标准样品的质谱数据。在使用电烙铁灼烧纺织品样品时,样品表面与电烙铁接触部分发生剧烈氧化,产生的大量小分子以烟气形式进入气相,供REIMS系统电离。通过这种方法得到的质谱数据,碎片离子主要集中在m/z 100~550范围内。经归一化的不同纤维成分纺织品标准样品的代表性质谱图示于图2。可以看出,在碎片离子种类与数量、基峰质荷比等方面,7类纤维的特征质谱图均存在显著差异,表明通过基于标准样品质谱数据集训练预测模型鉴别未知样品纤维种类具有可行性。

    • 将采集的纺织品质谱数据导入LiveID软件进行预处理,噪声阈值设为最大信号强度的10%,最终得到359组有效数据,分别为152组棉、52组蚕丝、24组羊毛、63组聚酯纤维、31组锦纶、24组氨纶和12组腈纶。从上述有效数据中提取质谱信息,形成纤维成分质谱数据集。在此基础上,采用PCA-LDA算法训练预测模型,并通过五折交叉验证评估其可靠性。结果表明,该模型的平均预测正确率为97.77%,每一折的预测正确率分别为100%、97.22%、97.22%、97.22%、97.22%,预测性能可靠,且在不同折的验证中表现出较高的稳定性。训练的PCA-LDA模型对7类纤维成分纺织品样品的分类情况示于图3。可以看出,不同纤维成分的样品数据点各自成簇分布,且簇间间隔清晰,未出现交叠现象,表明该模型在纤维成分质谱数据集上具有良好的分类效果。

    • 将2.2.1节中的纤维成分质谱数据集作为测试集,评估训练的PCA-LDA模型的预测性能,从LiveID软件输出结果中提取的混淆矩阵示于图4。可以看出,该模型对359组质谱数据的总体分类准确率为97.77%,对棉、蚕丝、羊毛、聚酯纤维、锦纶、氨纶和腈纶7类纤维成分的分类准确率分别为100%、100%、91.7%、100%、100%、87.5%、75%,过程中未出现分类错误情况,但有8组数据因标准偏差大于10%被判定为离群值。基于混淆矩阵可分别计算该模型预测7类纤维成分的精确度(precision)、召回率(recall)和F1分数(F1 score)。其中,该模型预测7类纤维成分的精确度均为100%,几乎未出现误报情况;模型召回率分别为100%、100%、91.7%、100%、100%、87.5%、75%,表明其对棉、蚕丝、聚酯纤维和锦纶的漏报率较低,而对羊毛、氨纶、腈纶的漏报率偏高;模型F1分数分别为100%、100%、95.7%、100%、100%、93.3%、85.7%,除腈纶外,所有纤维种类均表现出较好的整体性能。由于收集的羊毛、氨纶、腈纶样品数量偏少,导致用于训练的PCA-LDA模型的有效质谱数据数量不足,无法提取足够的分类特征,最终对这3种纤维的模型分类性能产生影响。

    • 为了量化评估纤维成分质谱数据集中各变量(m/z值)在PCA-LDA分类过程中的重要性,将PCA载荷矩阵与LDA权重矩阵相乘,得到原始变量对LDA判别轴的贡献矩阵,再基于贡献矩阵计算各变量的总体贡献值。然而,在PCA-LDA模型训练完成后,LiveID软件会分别输出25个主成分的一维载荷图与对应的贡献率,但不会输出LDA权重矩阵。因此,后续将基于PCA载荷矩阵进行变量重要性分析。当以各主成分贡献率和累积贡献率分别对主成分序号作图时,即可得到碎石图和累计贡献率图,示于图5。可以看出,第一主成分对PCA分析的贡献率最大,为56.61%,后续主成分的贡献率不断下降,从主成分12起贡献率低于1%;前5个主成分的累积贡献率为80.575%,前8个主成分的累积贡献率为90.238%。因此,对于该PCA-LDA模型,选取前8个主成分即可解释90%以上的方差。

      基于以上结论,从LiveID软件输出的前8个主成分的一维载荷图中提取载荷矩阵用于计算变量重要性。综合考虑主成分贡献率与变量对主成分的绝对影响,采用绝对值加权载荷求和进行计算,即对每个变量,首先取其对应主成分载荷值的绝对值,乘以该主成分的贡献率,然后对所有主成分的加权结果求和,最终将得到的值作为该变量在PCA模型中的重要性权重。通过筛选,得到66个权重≥0.02的变量。另一方面,使用Progenesis QI软件筛选纤维成分质谱数据集中的各变量,得到64个ANOVA p≤0.05、最大差异倍数≥2、VIP值≥1、m/z 100~550之间的变量。对比这两部分结果,最终得到29个特征碎片离子,具体信息列于表2。其中,属于棉、蚕丝、羊毛、聚酯纤维、锦纶、氨纶、腈纶的特征碎片离子分别有7个(m/z 125.024 3、137.025 3、167.034 4、177.021 2、181.047 1、189.054 8、247.029 8)、4个(m/z 169.061 2、178.060 3、179.076 2、202.052 1)、3个(m/z 153.057 2、193.034 6、223.074 6)、8个(m/z 123.008 4、191.037 4、313.070 7、341.069 3、357.063 3、383.077 3、505.113 4、549.113 1)、5个(m/z 212.127 4、214.143 5、281.248 2、285.180 8、325.183 4)、1个(m/z 249.063 1)、1个(m/z 143.025 2)。

    • 使用SIC-REIMS法采集20种纺织品实际样品的质谱信息,通过LiveID的离线识别功能,并基于训练的PCA-LDA模型对纤维组成进行鉴定,结果列于表3。可以看出,对20种样品进行PCA-LDA模型鉴别的结果与人工鉴别结果一致,且2种鉴别结果与样品宣称的纤维成分一致,表明所建立的方法适用于纺织品样品纤维种类的快速、准确鉴别。

    • 本工作建立了适用于快速采集纺织品质谱数据的电烙铁灼烧-快速蒸发电离质谱法,无需样品前处理,操作简便,单次数据采集仅需4~5 s,经优化后可产生稳定的质谱信号。在此基础上,采集39种经鉴定的纺织品标准样品的359组质谱数据,构建纤维成分质谱数据集,供LiveID软件建立PCA-LDA模型。所得模型经五折交叉验证显示,误判率为2.23%,除氨纶、腈纶外,其他5类纤维成分的分类准确率、精确度、召回率和F1分数均大于90%,能够满足快速鉴别的要求。将该模型应用于20种纺织品实际样品的纤维种类鉴别,得到的结果与人工鉴别结果具有一致性,且与样品宣称的纤维成分一致。

    参考文献 (25)

目录

/

返回文章
返回