声致液滴失稳动力学研究

上一篇

下一篇

刘贺, 杨亚晶, 唐玉凝, 魏衍举. 声致液滴失稳动力学研究[J]. 物理学报, 2024, 73(20): 204204-1. doi: 10.7498/aps.73.20240965
引用本文: 刘贺, 杨亚晶, 唐玉凝, 魏衍举. 声致液滴失稳动力学研究[J]. 物理学报, 2024, 73(20): 204204-1. doi: 10.7498/aps.73.20240965
He Liu, Ya-Jing Yang, Yu-Ning Tang, Yan-Ju Wei. Dynamics of acoustically-induced droplet instability[J]. Acta Physica Sinica, 2024, 73(20): 204204-1. doi: 10.7498/aps.73.20240965
Citation: He Liu, Ya-Jing Yang, Yu-Ning Tang, Yan-Ju Wei. Dynamics of acoustically-induced droplet instability[J]. Acta Physica Sinica, 2024, 73(20): 204204-1. doi: 10.7498/aps.73.20240965

声致液滴失稳动力学研究

    作者简介: 刘贺.E-mail: 308446919@stu.xjtu.edu.cn .
    通讯作者: E-mail: weiyanju@xjtu.edu.cn.
  • 中图分类号: 43.35.-c, 61.30.Pq, 47.20.Dr, 47.35.Rs

Dynamics of acoustically-induced droplet instability

    Corresponding author: E-mail: weiyanju@xjtu.edu.cn.
  • MSC: 43.35.-c, 61.30.Pq, 47.20.Dr, 47.35.Rs

  • 摘要: 声场中液滴稳定性理论的完善对超声雾化技术和超声悬浮技术的发展具有重要价值. 本文通过实验、理论、数值模拟相结合的方式, 研究了驻波声场(19.8 kHz)中的液滴失稳现象及其动力学机制. 结果表明, 随着声场强度的增大, 液滴失稳模式由圆盘失稳转变为边缘锐化失稳, 更重要的是, 液滴在失稳过程中其赤道面扩张加速度存在自发增大的现象. 经分析, 本文揭示了液滴变形过程中其赤道处声辐射负压与长径比之间的正反馈机制, 前者与后者的二次方成正比, 阐明了液滴自加速失稳的形成原因. 之后, 建立了包含表面张力和考虑正反馈机制的声辐射压力的液滴界面平衡方程, 最终得到了声致液滴失稳的无量纲判据, 即当声韦伯数Wea ≤ 1时, 液滴界面保持平衡; Wea > 1时, 赤道声吸力大于表面张力, 液滴发生失稳, 该理论判据与实验结果吻合良好.
  • 加载中
  • 图 1  实验装置

    Figure 1.  Experimental setup.

    图 2  仿真相关设置 (a)二维轴对称几何模型及边界设置; (b)网格划分示意图; (c)实验装置纹影图与数值计算结果对比

    Figure 2.  Simulation-related settings: (a) Two-dimensional axisymmetric geometric model and boundary settings; (b) schematic diagram of mesh division; (c) comparison of experimental setup ripple shadow map and numerical calculation results.

    图 3  不同强度驻波声场中的声致液滴失稳现象 (a) paa = 7.5 kPa; (b) paa = 8.2 kPa

    Figure 3.  The phenomenon of acoustic induced droplet instability in standing wave sound fields of different intensities: (a) paa = 7.5 kPa; (b) paa = 8.2 kPa.

    图 4  声致液滴失稳过程中液滴形态参数的变化, D0 = 0.7 mm (a)液滴极半径b; (b)液滴赤道半径a

    Figure 4.  Changes in droplet morphology parameters during acoustic droplet instability process, D0 = 0.7 mm: (a) Polar radius of the droplet b; (b) equatorial radius of the droplet a.

    图 5  液滴加速失稳现象 (a)液滴赤道面扩张速度; (b)液滴赤道面扩张加速度

    Figure 5.  Droplet acceleration instability phenomenon: (a) Expansion velocity of the droplet's equatorial plane; (b) expansion acceleration of the droplet's equatorial plane.

    图 6  液滴位于波节处时表面声压及声辐射压分布曲线

    Figure 6.  Surface sound pressure and sound radiation pressure distribution curve of liquid droplets at wave nodes.

    图 7  驻波声场轴线上的声压及声辐射负压分布

    Figure 7.  Distribution of sound pressure and negative pressure of sound radiation on the axis of standing wave sound field.

    图 8  液滴赤道毛细管压力

    Figure 8.  Equatorial capillary pressure of liquid droplets.

    图 9  液滴初始时刻表面声辐射压力分布随长径比的变化

    Figure 9.  The variation of surface acoustic radiation pressure distribution with aspect ratio at the initial moment of liquid droplets.

    图 10  驻波声场中初始时刻最高声压幅值随液滴长径比的变化

    Figure 10.  The variation of the maximum sound pressure amplitude at the initial moment in a standing wave sound field with respect to the droplet aspect ratio.

    图 11  液滴表面声辐射压力随驻波场最高声压幅值的变化

    Figure 11.  The variation of surface acoustic radiation pressure of liquid droplets with the highest amplitude of standing wave field sound pressure.

    图 12  液滴表面声辐射压力以及驻波场最高声压幅值随液滴赤道半径和长径比的变化

    Figure 12.  The variation of surface acoustic radiation pressure of droplets and the highest amplitude of standing wave field acoustic pressure with the equatorial radius and aspect ratio of droplets.

    图 13  不同液滴长径比对应的液滴赤道处声辐射压力的理论与数值计算结果对比

    Figure 13.  Theoretical and numerical comparison of acoustic radiation pressure at the equator of droplets corresponding to different aspect ratios.

    图 14  声致液滴失稳声压阈值随液滴物性的变化趋势 (a)不同表面张力系数; (b)不同黏度

    Figure 14.  The trend of sound pressure threshold for acoustic droplet instability with respect to droplet properties:(a) Different surface tension coefficients; (b) different viscosities.

    图 15  声韦伯数在液滴失稳过程中的变化及其触发失稳的临界值 (a)失稳过程中的声韦伯数变化; (b)触发失稳的初始临界声韦伯数

    Figure 15.  The variation of acoustic Weber number in the process of droplet instability and the critical value for triggering instability: (a) Variation of the acoustic Weber number during the instability process; (b) initial critical acoustic Weber number that triggers instability.

  • [1] Shi T, Apfel R E 1995 Phys. Fluids 7 1545 doi: 10.1063/1.868541
    [2] Anilkumar A V, Lee C P, Wang T G 1993 Phys. Fluids A Fluid Dynam. 5 2763 doi: 10.1063/1.858738
    [3] Shi W T, Apfel R E 1996 J. Acoust. Soc. Am. 99 1977 doi: 10.1121/1.415384
    [4] Tian Y, Holt R G, Apfel R E 1993 T J. Acoust. Soc. Am. 93 3096 doi: 10.1121/1.405721
    [5] Xie W J, Wei B 2004 Phys. Rev. E 70 046611 doi: 10.1103/PhysRevE.70.046611
    [6] Lee C P, Anilkumar A V, Wang T G 1991 Phys. Fluids A Fluid Dynam. 3 2497 doi: 10.1063/1.858192
    [7] Marston P L 1980 J. Acoust. Soc. Am. 67 15 doi: 10.1121/1.383798
    [8] Marston P L 1981 J. Acoust. Soc. Am. 69 1499 doi: 10.1121/1.385785
    [9] Trinh E H, Hsu C J 1986 J. Acoust. Soc. Am. 79 1335 doi: 10.1121/1.393660
    [10] Di W L, Zhang Z H, Li L, Lin K, Li J, Li X, Binks B P, Chen X, Zang D Y 2018 Phys. Rev. Fluids 3 103606 doi: 10.1103/PhysRevFluids.3.103606
    [11] Zang D Y, Li L, Di W L, Zhang Z H, Ding C L, Chen Z, Shen W, Binks B P, Geng X G 2018 Nat. Commun. 9 3546 doi: 10.1038/s41467-018-05949-0
    [12] 鄢振麟, 解文军, 沈昌乐, 魏炳波 2011 物理学报 60 064302 doi: 10.7498/aps.60.064302 Yan Z L, Xie W J, Shen C L, Wei B B 2011 Acta Phys. Sin. 60 064302 doi: 10.7498/aps.60.064302
    [13] 邵学鹏, 解文军 2012 物理学报 61 134302 doi: 10.7498/aps.61.134302 Shao X P, Xie W J 2012 Acta Phys. Sin. 61 134302 doi: 10.7498/aps.61.134302
    [14] Zhang Y J, Liu H, Wei Y J, Baig A, Yang Y J 2023 Aip Adv. 13 065316 doi: 10.1063/5.0159498
    [15] Wu Y C, Wu X C, Yang J, Wang Z H, Gao X, Zhou B W, Chen L H, Qiu K Z, Gréhan G, Cen K F 2014 Appl. Opt. 53 556 doi: 10.1364/AO.53.000556
    [16] Danilov S D 1992 J. Acoust. Soc. Am. 92 2747 doi: 10.1121/1.404392
    [17] Lierke E G 2002 Acta Acust. United Ac. 88 206
    [18] Andrade M, Marzo A 2019 Phys. Fluids 31 117101 doi: 10.1063/1.5121728
    [19] Chen H Y, Li A N, Zhang Y J, Zhang X Q, Zang D Y 2022 Phys. Fluids 34 092108 doi: 10.1063/5.0109520
    [20] Saha A, Basu S, Kumar R 2012 Phys. Lett. A 376 3185 doi: 10.1016/j.physleta.2012.08.013
    [21] Flammer C 1957 Spheroidal Wave Functions (Stanford, CA: Stanford University Press
  • 加载中
图( 15)
计量
  • 文章访问数:  621
  • HTML全文浏览数:  621
  • PDF下载数:  5
  • 施引文献:  0
出版历程
  • 收稿日期:  2024-07-12
  • 刊出日期:  2024-10-20

声致液滴失稳动力学研究

    通讯作者: E-mail: weiyanju@xjtu.edu.cn.
    作者简介: 刘贺.E-mail: 308446919@stu.xjtu.edu.cn
  • 1. 西安交通大学能源与动力工程学院, 西安 710049
  • 2. 西安交通大学航天学院, 机械结构强度与振动国家重点实验室, 西安 710049

摘要: 声场中液滴稳定性理论的完善对超声雾化技术和超声悬浮技术的发展具有重要价值. 本文通过实验、理论、数值模拟相结合的方式, 研究了驻波声场(19.8 kHz)中的液滴失稳现象及其动力学机制. 结果表明, 随着声场强度的增大, 液滴失稳模式由圆盘失稳转变为边缘锐化失稳, 更重要的是, 液滴在失稳过程中其赤道面扩张加速度存在自发增大的现象. 经分析, 本文揭示了液滴变形过程中其赤道处声辐射负压与长径比之间的正反馈机制, 前者与后者的二次方成正比, 阐明了液滴自加速失稳的形成原因. 之后, 建立了包含表面张力和考虑正反馈机制的声辐射压力的液滴界面平衡方程, 最终得到了声致液滴失稳的无量纲判据, 即当声韦伯数Wea ≤ 1时, 液滴界面保持平衡; Wea > 1时, 赤道声吸力大于表面张力, 液滴发生失稳, 该理论判据与实验结果吻合良好.

English Abstract

    • 驻波场中液滴形态稳定性研究对于超声悬浮和超声雾化应用技术的发展具有重要价值. 对于声场中的液滴而言, 其平衡形状由声辐射力、表面张力和重力共同作用[14]. Xie和Wei[5]通过数值模拟发现重力对液滴形状的影响十分微弱, 尤其是在高声强条件下, 液滴形状几乎不受重力影响. 此外, 液滴表面的声辐射压分布并不均匀, Lee等[6]指出在液滴南北极, 声辐射压力以正压的形式存在, 而在液滴赤道, 声辐射压则以负压形式存在, 因此, 声悬浮液滴的平衡形状呈现为扁球形. Marston[7,8] 发现当忽略对声波的黏滞效应时, 液滴表面的切向应力消失. 之后, Trinh和Hsu[9]从该理论出发, 进一步推导出声学特征尺度$kR_0 \ll 1 $ (R0为液滴等效半径)的无变形液滴的形状预测公式. 另外, Trinh和Hsu[9]给出的实验结果表明, 随着液滴的减小, 表面张力对液滴的作用逐渐超过声辐射压力, 液滴纵横比趋近于1.

      当声场强度提高后, 较大的声辐射力会迫使液滴偏离类球体[6]. 当声场强度进一步提高时, 液滴由扁球状会逐步又变形为圆盘状、飞盘状液滴, 或者中心薄边缘厚的血细胞状液滴, 在极限声压下, 甚至进一步延展为薄膜状[2,3,6]. 除了上述变形模式外, 液滴还存在屈曲变形模式. Lee等[6]认为这是由于液膜边缘受到伯努利效应的影响产生不稳定振荡而导致. Di等[10,11]的研究则揭示了屈曲后的液滴形成气泡的机制, 即液体膜的屈曲几何形状可以极大地增强其边缘声辐射压力的吸力作用, 导致区域突然膨胀并形成气泡. 除上述相对稳定的变形模式以外, 液滴还会出现振荡变形[12], 当声波频率接近液体本征频率的2倍时, 液滴形状发生扇谐振荡. 邵学鹏和解文军[13]揭示了上述液滴扇谐振荡阶数与液滴黏度的负相关关系.

      当声场强度进一步提高至液滴失稳临界值后, 液滴不再保持稳定地平衡形状, 而是会发生失稳破碎[6]. 破碎模式具体分为圆盘破碎[2]、拉伸破碎或边缘锐化破碎[14]、袋状破碎[15]等. Danilov和Mironov[16]对声致液滴破碎临界声压值进行了理论研究, 他们认为液滴破碎是表面波不稳定性扰动放大后的结果, 并给出了液滴(kR0$\ll $1)在高强度超声驻波场中失稳破碎的理论临界声压值为$\rho_0c_0(3.4\sigma \rho_0^{-1} R_0^{-1})^{0.5}$, 式中ρl为液滴的密度, σ为液滴的表面张力系数. 然而, 虽然Anilkumar等[2]通过实验研究证实了声致扁平化液滴表面的确会激发表面波, 但是这并不能证明Danilov和Mironov[16]理论在判断液滴失稳阈值方面是有效的. 因为在声致液滴失稳过程中, 液滴表面波只是液滴失稳过程中的中间结果或者说现象, 而不是触发失稳的原因. Shi和Apfel [1]认为声致液滴失稳的原因是声振荡带来的惯性力与液滴表面张力之间的竞争结果, 他们定义了声韦伯数$We_{\rm a} =\rho_0 R_0k^2\varPhi_{\rm A}^2/(2\sigma) $来研究声致液滴失稳临界阈值, 并给出了液滴失稳临界声韦伯数的数值模拟值, 发现随着液滴声学特征尺寸从0.1增至0.4时, 对应的临界声韦伯数从1.5减小到1.4. 但由于液滴表面入射声波速度势幅值ΦA无法测量, 因此上述声韦伯数只能通过数值计算得到, 这对根据实验参数判断液滴稳定性造成困难. Lierke[17]认为声悬浮液滴失稳的原因是其赤道面发生开尔文-亥姆霍兹不稳定性导致的, 并给出了另一种声韦伯数的表达式, 即Wea = 2p0γ1(ua/c0)2R/σ, 式中p0为环境压力, γ1为液滴比热比, 但该声韦伯数的建立并没有考虑声辐射力的作用, 而是从线性声学振荡速度直接进行构建. 此外, 该声韦伯数的具体计算需要得知液滴附近的蒸汽浓度, 以及声振荡速度, 因此仍停留在理论定性分析阶段, 难以用于实际中的液滴失稳预测.

      综上所述, 尽管声场中液滴界面稳定性的研究取得了显著的成果, 但现有的失稳理论并没有考虑到液滴失稳过程中其形状与声场之间的双向反馈, 更没有给出考虑双向反馈条件下的、有效的、便于预测的声致失稳判据. 因此, 有必要对声致液滴失稳过程进行详细研究以揭示声致液滴失稳的详细机制, 并建立数理模型以给出便于应用的失稳判据.

    • 图1所示, 声致液滴形态失稳实验装置主要包含一台工作频率为19.8 kHz的超声驻波生成系统、液滴生成系统、光路系统、声压测量系统. 超声波经由曲率半径和轮廓半径分别为34.65 mm和17.5 mm的发射面发射到空气中, 并由同轴布置的曲率半径和轮廓半径分别为44.31 mm和40 mm的反射面反射, 最终形成稳定的驻波场, 在实验过程中, 发射面与反射面距离始终保持为27.76 mm, 声波强度由功率调节器 (SAST, SA-9019)控制, 由声压传感器(PCB112 A21, 测量误差不超过$ \pm $1%)测量.

      液滴由微量注射泵推动液体在平头针管口处生成并释放, 初始释放位置位于波腹与波节之间, 实验过程中, LED灯珠产生的光线经由凹面反射镜反射形成平行光, 该平行光为拍摄提供背景光, 液滴形位变化由高速相机(Phantom Miro eX4)以每秒5000帧速率实时记录. 之后使用自行编写的OpenCV图像处理代码提取液滴形位参数以供分析.

      为获取详细的液滴受力信息, 基于Comsol有限元仿真软件建立了超声驻波二维轴对称数值模型. 液滴在驻波场中受到的声辐射压力为[11,18]:

      式中, $ \left\langle {{p_{\text{a}}}} \right\rangle $$ \left\langle {{u_{\text{a}}}} \right\rangle $分别是声压和介质振荡速度的时均值. 在声辐射压力基础上, 由(2)式进一步得到液滴表面的声辐射力${F_{\text{r}}}$:

      式中, $n$表示指向液滴外表面的单位法向向量, S表示液滴表面. 最终, 可得到(3)式所示的液滴运动控制方程以及(4)式所示的液滴界面平衡方程[1]:

      式中, u表示流体速度, $\mu $$\sigma $分别表示流体黏度和表面张力系数, P表示液滴界面压差.

      图2(a)所示, 该模型仅保留了声波发射面和反射面, 其几何特征与实际尺寸一致, 其中声波发射面设置为加速度边界, 反射面设置为硬壁面边界, 其余边界均为平面波辐射边界, 模拟实际的开放空间. 在声场计算中, 网格大小最大不应该超过$ \lambda /6 $, 其中$ \lambda $表示声波的波长. 在本文的模拟中, 因存在声场与流场的耦合, 所以采用动网格方法来模拟, 并对液滴区域进行网格细分. 为保证计算精度与计算速度, 液滴以外区域网格最大尺寸设置为$ \lambda /20 $, 气液两相界面以及液滴内部网格最大尺寸设置为$ {R}_{0}/40 $, $ {R}_{0} $为液滴初始半径. 此外将网格重新划分阈值设置为0.5, 如图2(b)所示. 图2(c)给出了实验装置纹影图与数值计算结果对比结果, 表明仿真结果与实际声场相匹配.

    • 液滴初始释放位置位于波节上方且紧邻波节的位置, 当液滴释放后, 在重力以及垂直向下的声辐射力的共同作用下, 液滴竖直下落. 在下落不超过1 mm的高度后, 在空气阻力及向上的声辐射力的作用下, 液滴停止下落. 在整个过程中, 液滴经历了包含扁平化变形和解体破碎两个阶段的声致失稳, 等效半径D0 = 0.7 mm的水滴在最高声压幅值paa分别为7.5 kPa和8.2 kPa驻波场中的声致失稳过程如图3所示. 以图3(a)所示7.5 kPa最高声压幅值下的结果为例, 变形过程又可分为两个连续的阶段. 首先, 在0—7.4 ms期间, 椭球状液滴演化为均匀的扁平液滴, 同时极半径减小, 赤道半径增大. 之后, 在7.4—11.4 ms期间, 液滴在赤道面快速延展, 扁平的液滴进一步被拉伸成更薄的液体膜, 在这个阶段, 液滴赤道半径a继续增大, 而其极半径则较为稳定. 最终, 液滴解体破碎, 在上下表面产生微米大小的垂直喷射碎片, 同时, 在径向则产生相对较大的径向分解碎片.

      在不同强度的声场作用下, 液滴在第1阶段的变形是相似的. 不同之处在于, 在更高强度的声场作用下, 液滴会较早完成第1阶段. 当最高声压幅值由7.5 kPa增至8.2 kPa时, 液滴变形第1阶段与第2阶段的过渡时刻由第7.4 ms提前到5.0 ms. 此外, 在第2阶段, 不同强度的声场会使得液滴演变成两种不同的形状. 在较低声强条件下(最高声压幅值为7.5 kPa), 液滴在赤道面延展的同时仍保持均匀的平板形状, 因此将这种失稳过程定义为圆盘失稳模式. 在较高声强下(最高声压幅值为8.2 kPa), 液滴形态逐渐演变为赤道边缘尖锐、中部较厚的“飞碟”状, 因此将这种失稳过程定义为边缘锐化失稳模式.

      液滴在失稳过程中的形状特征以赤道半径a与极半径b进行量化, 其时域结果如图4所示. 从图4(a)可以看出, 液滴在最高声压幅值为7.5 kPa到8.2 kPa的驻波场中发生失稳时, 其极半径的变化规律类似, 呈现出两个不同的阶段特征. 在第1阶段, 极半径减小速度逐渐降低; 在第2阶段, 极半径减小速度突然加快后保持稳定. 失稳变形末期的极半径增大为视觉误差, 该误差来源于液滴在厚度方向的屈曲变形. 图4(b)给出了液滴赤道半径的变化, 与极半径不同的是, 赤道半径的变化趋势不发生质变, 在4种声场强度下均呈现持续增大的趋势, 直至液滴破碎. 相比之下, 在低强度声场中赤道半径的增长趋势较慢.

      进一步将液滴赤道半径的增大速度定义为液滴赤道面扩张速度, 图5分别给出了不同声压幅值条件下赤道扩张速度和加速度随时间的变化趋势. 从图5(a)可知, 发生边缘锐化失稳的液滴在整个变形过程中其赤道扩张速度一直在增大, 而发生圆盘失稳的液滴在变形过程中其赤道扩张速度在达到最大值后开始减小, 这是由于此时液滴发生了屈曲变形. 图5(b)中的液滴赤道扩张加速度结果表明, 在4种不同声场强度条件下的液滴失稳过程中, 液滴赤道扩张加速度同样均存在持续增大的阶段.

    • 在实验过程中, 驻波场声源强度均保持恒定. 因此, 液滴赤道面扩张加速度的增大属于自发行为, 简称自加速行为.

      有研究表明, 液滴内部流场沿液滴内表面沿切向方向形成旋流[19,20]. 有一种假说认为, 在液滴的扁平化过程中, 其极半径减小, 赤道半径增大, 这导致了沿液滴上、下表面向赤道方向汇聚的切向流动, 从而增大了变形程度[20]. 然而, 这一假设与在图3(b)中的边缘锐化现象相矛盾, 若自加速行为由液体加速向边缘积聚导致, 液滴不会演变为中间较厚, 边缘锋利的形态, 而是始终保持为均匀圆盘的形态.

      根据(1)式可知, 声辐射压力pr由两部分组成, 分别是声压pa贡献的正压项prp和介质振荡速度ua贡献的负压项prn, 前者对液滴表面产生挤压力, 后者对液滴表面产生吸力. 前文已述, 液滴的整个失稳过程发生在声压波节附近. 图6展示了数值计算得到的液滴表面声辐射压力分布结果, 从图6可以看出, 当液滴位于声压波节附近时, 其两极分布声辐射正压, 约10 Pa, 赤道分布声辐射负压, 约70 Pa, 为两极声辐射正压幅值的7倍. 尽管声辐射正压与声辐射负压在液滴变形中均发挥作用, 但前者幅值要远远小于后者, 因此, 赤道处声辐射负压对液滴产生的吸力是驱动液滴变形的主导因素, 这与文献[1, 2, 6]给出的结论一致. 液滴在失稳过程中, 其位置同时也在变化. 若液滴在整个失稳过程中持续向波节靠近, 根据图7可知, 液滴赤道面受到的声辐射负压将逐渐增大, 由此液滴受到的声吸力将逐渐增大, 就可能导致液滴赤道面的自加速扩张. 然而, 图7同时表明, 作为主导液滴变形的赤道处声辐射负压幅值在液滴整个失稳过程中上下波动不超过4%, 更重要的是并非持续增大, 因此上述假设机制并不成立.

      在液滴发生解体前的变形阶段, 其界面失稳由表面张力与声辐射力之间的竞争主导. 此处, 将液滴形状始终近似为椭球, 单位面积的表面张力称为毛细管压力, 其在液滴赤道处的大小通过(5)式所示的Laplace-Young方程进行估算:

      式中, pσ表示毛细管压力. 将图4中的液滴形状参数代入(5)式后, 得到液滴赤道处毛细管压力的变化, 计算结果如图8所示.

      图8所示, 在液滴赤道面自加速扩张阶段, 由表面张力产生的毛细管压力持续增大, 这导致液滴赤道变形受到的阻力也在持续增大. 因此, 在变形阻力增大的情况下, 液滴赤道加速扩张必然需要变形驱动力的持续增大. 因此推测液滴扁平化变形会造成声场的某种正向反馈, 导致其受到的声辐射压力幅值增大, 最终导致液滴失稳加速度自发增大. 为详细揭示该机制, 本文通过数值模型对声致液滴失稳过程进行了模拟, 其中, 驻波场初始最高声压幅值为6.8 kPa, 液滴初始位置设置在声压波节处.

      在初始时刻, 液滴赤道处的声辐射压力表现为负压, 幅值为118 Pa (如图9所示), 在液滴两极点, 声辐射压力全部体现为声辐射正压, 在南、北极点, 声辐射正压分别为18 Pa和16 Pa. 随着液滴长径比的增大, 液滴两极点的声辐射压力并没有单调递增, 而是先减小后增大, 且当长径比增至初始的4倍时, 两极声辐射压力仅增大为原来的1.3倍. 而赤道处的声辐射压力幅值则随着长径比的增大出现非线性的迅速增大, 在长径比从1增至4时, 其值从118 Pa增至3.1 kPa, 约增大为初始值的30倍. 显然, 赤道处声辐射负压幅值的非线性增大在液滴赤道面加速扩张过程中占据主导因素.

      以上结果表明, 液滴变形与其表面声辐射力幅值之间存在正向反馈, 根据声辐射压力幅值的非线性增长趋势可知, 该正反馈效应正是导致液滴自加速变形的原因.

      在液滴变形过程中, 有两种原因可能会导致液滴赤道区域的声辐射负压幅值增大. 第1种是由于液滴的长径比增大, 导致整个驻波场的声强增强, 进而使液滴赤道区域的负压幅值增大. 第2种则是驻波场强度增加起次要作用, 而液滴形状的变化本身是主要原因, 这种变化直接导致了液滴赤道区域的负压幅值增大.

      图10给出了驻波场最高声压幅值随液滴长径比的变化, 如图所示, 最高声压幅值随着液滴长径比的增大, 从最初的6.8 kPa增至7.9 kPa, 增幅仅为17.6%, 这与前述中液滴赤道处声辐射负压幅值增加为原来的30倍的趋势并不匹配.

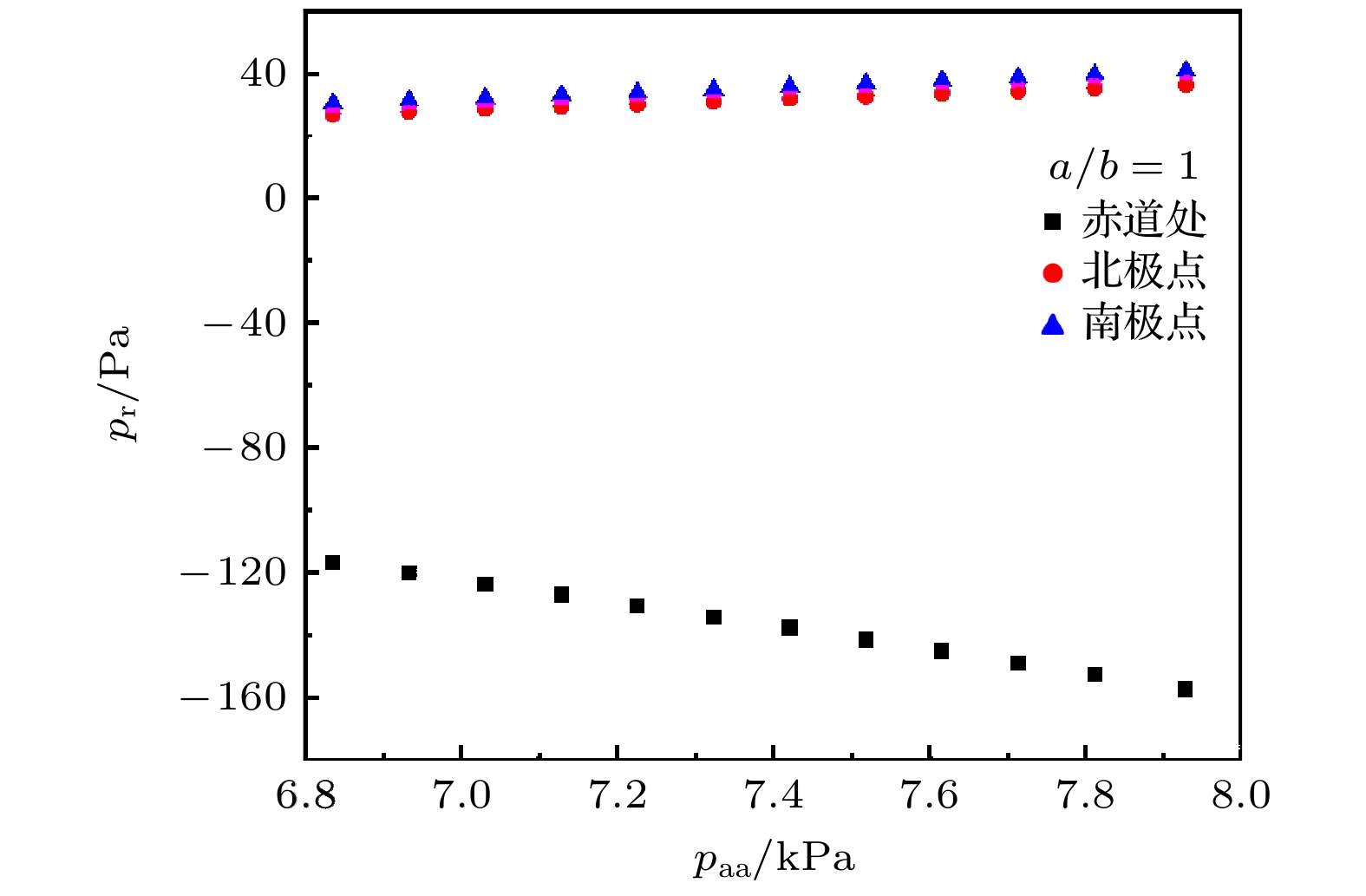
      为避免液滴形状特征变化对研究结果造成干扰, 此处将液滴初始长径比设为1, 且仅提取初始时刻的液滴赤道处声辐射负压. 图11中给出了最高声压幅值为6.8—7.9 kPa的驻波场条件下液滴两极与赤道处声辐射压力数值计算结果. 图中结果表明, 液滴两极点和赤道处的声辐射压力幅值随驻波场最高声压的增大几乎呈现为线性增大的趋势, 最重要的是, 赤道处声辐射压力幅值的增大速度远远小于液滴变形过程中声辐射负压幅值的增大速度, 前者仅为后者的0.013. 因此, 尽管液滴形变与驻波场强度之间存在正反馈过程, 但其并不是导致液滴加速失稳的主要原因.

      液滴形变与赤道处的声辐射负压幅值之间也存在直接的正反馈, 在该正反馈过程中, 液滴赤道半径的增大和长径比的增大均可能导致赤道声辐射压力的增大, 对此, 在赤道半径增大的同时增大极半径来减小长径比, 并分别计算初始时刻的液滴表面声辐射压力分布. 图12中给出了驻波场最高声压幅值, 液滴两极和赤道处的声辐射压力随液滴赤道半径和长径比的变化. 如图12所示, 随着液滴赤道半径的增大, 声场最高声压幅值呈线性增大, 液滴两极点的声辐射压力也轻微增大, 而主导液滴变形的赤道处声辐射负压幅值却逐渐降低. 而随着液滴长径比的增大, 尽管声场最高声压降低, 但赤道处的声辐射压力却呈指数级增大. 因此, 液滴长径比增大引起的赤道曲率增大是导致赤道处声辐射负压幅值压力增大的原因.

    • 由于液滴在失稳过程中依次经历了球形、椭球形、圆盘形, 因此难以建立一个单一的数学分析模型. 就变形后期阶段而言, 本文将变形过程中的液滴近似为一个圆盘. 坐标系原点选择在圆盘的中心, 且表面近似为刚性. 文献[21]中给出了基于上述假设的液滴表面声压与声振速分布计算公式. 当液滴声学特征尺寸kR0 < 1时, 声压和声振速可分别由(6)式和(7)式计算, 在本文实验中, 液滴声学特征尺寸位于0.2—0.6之间, 满足下述条件:

      式中, d为液滴悬浮位置中心到压力节点的距离; 虚数i无实际含义; r表示液滴表面与液滴中心位置距离; $ \pm $分别表示上下表面; rc为曲率半径. 将(6)式和(7)式代入(1)式所示的声辐射压力表达式中, 得到(8)式所示的另一种形式的声辐射压力表达式, 该声辐射压力由plpd两项组成, 二者的表达式分别如(9)式和(10)式所示:

      (9)式表明, pl在液滴上下表面的分布并不对称, 主要作用为提供液滴在驻波场中的悬浮力. (10)式表明, pd在上下表面的对称分布, 在竖直方向的积分为零, 因此只在水平方向(赤道面)主导液滴的变形. 从之前的讨论中可知, 液滴发生失稳时位于波节附近, 因此此处将液滴中心与波节之间的距离d近似为0, 最终得到(11)式所示的主导液滴形状变化的声辐射压力项pd:

      对于椭圆近似, rc = b2/a, 因此可以得到液滴赤道处的声辐射压, 由于赤道处声辐射压力表现为负压, 因此该声辐射压力为声辐射负压prn, 如下式所示:

      由(12)式可知, 在驻波场声压幅值恒定的条件下, 液滴赤道处的声辐射压力幅值与液滴长径比的平方呈正比. 为验证上述理论, 进一步通过数值计算获得了液滴长径比从1逐渐增至7时对应的赤道处声辐射压力的具体结果, 并与由(12)式计算的理论值进行比较, 如图13所示, 由(12)式得到的液滴赤道处声辐射负压理论结果与模拟结果具有良好的一致性. 在小长径比情况下, 由于液滴初始变形阶段的实际球体形状与理论圆盘模型存在差异, 理论值与模拟值之间存在一定偏差, 随着液滴在扁平化过程中逐渐接近于圆盘状, 二者之间的偏差逐渐降低, 当液滴长径比增大为6.4时, 理论值与模拟值仅相差1%. 因此, 本文建立的该理论模型充分阐明了液滴形变与赤道处声辐射负压幅值之间的正反馈机制.

    • 液滴运动控制方程表明, 声致液滴失稳是液滴内部黏性力、液滴表面张力、声辐射力、液滴内外压差力等多种作用力的竞争结果, 其中声辐射力是主导液滴失稳变形的外力. 本节通过数值模拟方式, 对表面张力系数和黏度等液滴物性在声致液滴失稳行为中的具体影响进行分析.

      液滴黏度设为3 mPa·s, 初始半径设为0.7 mm, 表面张力系数σ从10 mN/m增至80 mN/m. 在液滴黏度的影响研究中, 表面张力系数σ设为80 mN/m, 初始半径仍设为0.7 mm, 液滴黏度从1 mPa·s增至8 mPa·s. 图14(a)给出了临界声压随液滴表面张力系数的变化, 其中失稳临界声压随表面张力系数的增大而增大, 当液滴表面张力系数增大为初始值的4倍后(从10 mN/m增至80 mN/m), 临界声压提高为初始值的2.36倍(由3 kPa增至7.1 kPa). 图14(b)给出了临界声压随液滴黏度的变化, 当液滴黏度增大为初始值的8倍后(从1 mPa·s增至8 mPa·s), 对应的临界声压提高为初始值的1.02倍(声压增幅仅为114 Pa). 液滴黏度对临界声压的影响相较于表面张力系数较小, 从声压增幅来看, 液滴黏度对失稳临界声压的影响可忽略不计. 因此, 在液滴失稳过程中, 其表面张力为阻碍液滴失稳变形的主导因素.

      综上, 驻波场波节附近的声致液滴失稳可视为液滴赤道声辐射负压产生的指向气液界面外的声吸力与液滴赤道处表面张力产生的回缩力之间的竞争结果, 由此得到简化的液滴赤道界面平衡控制方程, 具体形式如(13)式所示:

      将(5)式和(12)式代入(13)式后, 可得到(14)式:

      对(14)式进一步推导后, 可以得到(15)式所示的液滴失稳理论判据, 即声韦伯数Wea:

      (15)式等号左侧的比值形式与此前文献[17]中给出的声韦伯数形式不同, 其反映了液滴赤道处声辐射负压产生的声吸力与液滴表面张力之间的竞争. 由(15)式可知, 当Wea ≤ 1时, 液滴界面保持平衡, Wea > 1时, 赤道声吸力大于表面张力, 液滴发生失稳.

      将实验得到的液滴失稳相关参数(图4结果)代入声韦伯数的计算公式中, 得到液滴在失稳过程中的Wea值. 如图15(a)所示, 在4种不同强度(最高声压幅值为7.5—8.4 kPa)驻波场中, 声韦伯数在整个失稳过程中均大于1, 4种声强下对应的声韦伯数分别为1.16, 1.19, 1.06和1.1, 上述结果表明, 初始时刻声韦伯数大于1是液滴发生失稳变形的原因. 随着变形加剧, 声韦伯数均快速增大, 液滴解体时, 4组液滴的最大声韦伯数平均为29. 图15(b)进一步给出了声致液滴失稳发生时临界初始声韦伯数Wea, cri的实验统计结果, 其中, 对应的液滴尺寸以声学特征尺寸kR0表示. 图中结果表明, 失稳临界初始声韦伯数与液滴声学特征尺寸存在微弱的负相关关系, 该趋势定性上与Shi和Apfel [1]得到结果相符. 如图所示, 随着液滴声学特征尺寸从0.19增至0.51时, 失稳临界初始声韦伯数从1.105降至1.08, 平均值为1.09. 上述实验统计结果与本小节推导出的理论阈值十分接近, 平均误差仅为9%, 证明了本节推导出的声韦伯数在判断失稳发生时的有效性.

    • 本文通过实验、理论推导和数值计算相结合的方式, 开展了驻波声场(19.8 kHz)中的液滴失稳动力学研究. 发现了声致液滴失稳变形阶段的液滴赤道面自加速行为, 采用数值模拟方式揭示了主导液滴赤道面自加速变形的正反馈机制, 并通过理论推导得到了液滴赤道声辐射力与液滴赤道曲率的正反馈公式. 最后, 建立了简化的液滴界面平衡方程, 进一步得到了声致液滴失稳的理论判据.

      1)液滴在波节附近发生的声致失稳现象主要表现为圆盘失稳和边缘锐化失稳两种典型模式. 这两种失稳模式的出现取决于驻波场声强的相对大小. 具体而言, 随着驻波场强度的逐渐增强, 液滴的失稳模式会由圆盘失稳逐渐向边缘锐化失稳转变.

      2)液滴在失稳过程中展现出明显的赤道面自加速扩张特性. 液滴长径比与液滴赤道处的声辐射负压之间的正反馈即第二类正反馈过程是导致上述自加速行为的原因. 经推导得到的理论结果表明, 液滴赤道处的声辐射负压幅值与液滴长径比的二次方呈正比关系. 由于液滴赤道处声辐射压力无法通过实验手段直接测量, 因此采用数值模拟结果对上述公式进行验证, 结果表明理论计算结果与模拟值之间吻合较好.

      3)液滴表面张力是阻碍液滴变形的主要因素, 赤道处的声辐射吸力是驱动液滴变形的主要因素. 基于此建立了液滴界面受力平衡方程, 并推导出声致液滴失稳的无量纲判据, 即声韦伯数Wea. 当Wea≤1时, 液滴界面保持平衡, Wea > 1时, 赤道声吸力大于表面张力, 液滴发生失稳, 实验结果与理论结果平均误差仅为9%, 二者显示出良好的吻合性.

    参考文献 (21)

目录

/

返回文章
返回