Figure 4 ,Table 0
    • Figure 1.  (a) Crystal structure of (C12H24O6)2Na2(H2O)3Cu4I6. (b)–(d) PL spectra of (C12H24O6)2Na2(H2O)3Cu4I6 under high pressure. (e) 2D heat-map of PL spectra of (C12H24O6)2Na2(H2O)3Cu4I6 upon compression. (f) Comparison of (C12H24O6)2Na2(H2O)3Cu4I6 emission intensity at 1 atm and R1 atm.

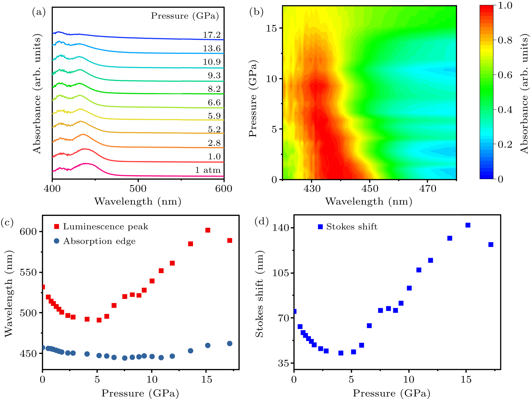
    • Figure 2.  (a) UV/Vis absorption spectra of (C12H24O6)2Na2(H2O)3Cu4I6. (b) 2D heat-map of UV/Vis absorption spectra of (C12H24O6)2Na2(H2O)3Cu4I6 upon compression. (c) Pressure-induced variations in luminescence peak position and absorption edge position. (d) Pressure-dependent changes in the Stokes shift of (C12H24O6)2Na2(H2O)3Cu4I6.

    • Figure 3.  (a) Wavelength changes of different emission states under high-pressure. (b) Emission intensity changes of different emission states under high pressure. (c) High-pressure IR spectroscopy of (C12H24O6)2Na2(H2O)3Cu4I6. (d) High-pressure Raman spectroscopy of (C12H24O6)2Na2(H2O)3Cu4I6. (e) Comparison of infrared absorption spectra at 1 atm and R1 atm. (f) Comparison of Raman spectra at 1 atm and R1 atm.

    • Figure 4.  Schematic diagram of (C12H24O6)2Na2(H2O)3Cu4I6 energy levels (a) at ambient pressure, (b) below 5.9 GPa, (c) between 5.9 GPa and 9.3 GPa, (d) between 9.3 GPa and 17.2 GPa.