Figure 15 ,Table 1
    • Figure 1.  Schematic illustration of the synthesis of Fe1−xCoxOCl.

    • Figure 2.  Structure of a primitive bulk unit (a), supercell of FeOCl crystal (b) and supercell of Co doped FeOCl crystal (c).

    • Figure 3.  (a) and (b) XRD patterns and diffraction peaks of Fe1−xCoxOCl.

    • Figure 4.  SEM images of (a) FeOCl and (b) Fe0.94Co0.06OCl.

    • Figure 5.  TEM and HRTEM images of [(a) and (b)] FeOCl and [(c) and (d)] Fe0.94Co0.06OCl.

    • Figure 6.  (a) EDS pattern and (c)–(f) the corresponding element mappings for Fe0.94Co0.06OCl.

    • Figure 7.  High resolution XPS: (a) survey spectra, (b) Fe 2p, (c) O 1s, (d) Co 2p and (e) Cl 2p of FeOCl and Fe0.94Co0.06OCl.

    • Figure 8.  FT-IR spectra of Fe1−xCoxOCl.

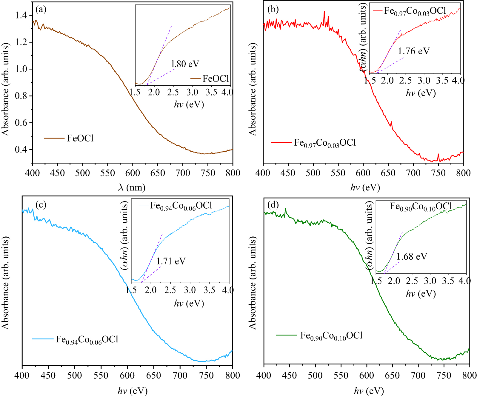
    • Figure 9.  (a)–(d) UV–visible absorption spectra. The insets show the (αhv)1/2hv curve of Fe1−xCoxOCl.

    • Figure 10.  PL spectrum of Fe1−xCoxOCl.

    • Figure 11.  Calculated band structure and density of states of [(a) and (b)] FeOCl and [(c) and (d)] Fe0.94Co0.06OCl.

    • Figure 12.  (a) Photocatalytic degradation, (c) photo-Fenton degradation and [(b) and (d)] the corresponding kinetic plots over Fe1−xCoxOCl.

    • Figure 13.  (a) Effects of different capture agents and (b) recyclability of five runs in the presence of Fe0.94Co0.06OCl.

    • Figure 14.  (a) XRD patterns and (b) SEM images of Fe0.94Co0.06OCl photocatalyst before and after the photo-Fenton degradation experiment.

    • Figure 15.  Catalytic mechanism in the Fe0.94Co0.06OCl system (vs NHE: versus normal hydrogen electrode).