2025 Volume 34 Issue 6
Article Contents

Wei Wu, Yuhui Cui, Yuxin Zheng, Fei Huang, Hong Li, Liang Yin. Al–Zr dual-doping enhancing the electrochemical performance of spinel LiMn2O4 cathodes[J]. Chinese Physics B, 2025, 34(6): 068201. doi: 10.1088/1674-1056/adc085
Citation: Wei Wu, Yuhui Cui, Yuxin Zheng, Fei Huang, Hong Li, Liang Yin. Al–Zr dual-doping enhancing the electrochemical performance of spinel LiMn2O4 cathodes[J]. Chinese Physics B, 2025, 34(6): 068201. doi: 10.1088/1674-1056/adc085

Al–Zr dual-doping enhancing the electrochemical performance of spinel LiMn2O4 cathodes

  • Received Date: 14/10/2024
    Accepted Date: 03/01/2025
    Available Online: 01/06/2025
通讯作者: 陈斌, bchen63@163.com
  • 1. 

    沈阳化工大学材料科学与工程学院 沈阳 110142

  1. 本站搜索
  2. 百度学术搜索
  3. 万方数据库搜索
  4. CNKI搜索

Figures(7)

Article Metrics

Article views(303) PDF downloads(1) Cited by(0)

Access History

Al–Zr dual-doping enhancing the electrochemical performance of spinel LiMn2O4 cathodes

Abstract: LiMn2O4 (LMO) represents one of the most prevalent cathode materials utilized in lithium-ion batteries (LIBs), yet its broader application is often hampered by its limited achievable capacity and significant capacity degradation during cycling. In this work, a novel dual-doping strategy involving Al3+ and Zr4+ ions has been employed to refine the atomic structure of LMO’s spinel framework. The resultant dual-doped material, Li1.06Mn1.97Zr0.01Al0.02O4, exhibits enhanced electrochemical properties, boasting a discharge capacity of 124.9 mAh/g at a rate of 0.1 C. Furthermore, the formation of stronger Al–O and Zr–O bonds contributes to the stabilization of the delithiated LMO structure. Impressively, 97.7% of its initial capacity is retained after 100 cycles at a 5 C rate. Additionally, enhancements in rate performance and high-temperature cycling stability have also been observed. This study underscores the potential of Al3+ and Zr4+ dual-doping as a promising approach to enhance LMO cathodes, providing a scalable and efficient means of improving the performance of lithium manganese oxide cathode materials through the incorporation of multiple ions.

1.   Introduction
  • Spinel oxide LiMn2O4 (LMO) is one of the most widely utilized cathodes for rechargeable lithium-ion batteries (LIBs) in electric bicycles and low-speed electric vehicles markets, due to its low cost, environmental friendliness, high safety, and high-voltage plateau.[1,2] However, several shortcomings, such as limited energy density and poor cycling performance at elevated temperatures, strongly hinder the competitiveness of LMO cathodes in the future battery market.[24] Considerable efforts have been expended to uncover the failure mechanisms responsible for these issues. Firstly, the dissolution of Mn, resulting from the disproportionation of Mn3+ on the particle surface followed by the deposition of soluble Mn2+ onto the electrode in the electrolyte, may lead to a decrease in the active Mn3+ content and an increase in cell impedance.[3] Secondly, due to the Jahn–Teller effect, an irreversible phase transition occurs in spinel LMO, converting it from a cubic to a tetragonal phase. This transition causes structural damage, obstructing the transport channels for Li+.[5] Thirdly, the high charge–voltage plateau and a large amount of Mn4+ present after charging is completed could accelerate the decomposition of the electrolyte.[6] In light of the aforementioned concerns, doping foreign elements into the bulk material is currently a widely adopted and effective strategy among various studies to mitigate capacity fading in LMO. This is achieved by substituting a portion of Mn3+ with other cations to raise the average valence of Mn, thereby curbing the structural deformation induced by the Jahn–Teller effect and enhancing the material’s cycling performance.[24] Numerous transition-metal elements have been proved to be effective, such as Co3+, Zn2+, Cu2+, Fe3+, Ni2+, Cr3+, Ga3+, Ti4+, Al3+, Zr4+, and so on.[718] Among these dopants, Al3+ has been reported to be one of the most favorable elements as it is nontoxic, abundant, less expensive, and lighter than other transition-metal elements. Furthermore, the Al–O bond (521 kJ/mol) exhibits greater strength compared to the Mn–O bond (402 kJ/mol). Consequently, substitution with Al3+ results in a reduction of lattice parameters and significantly enhances the stability of octahedral sites by suppressing Jahn–Teller distortion.[7] Hence, doping with Al3+ is considered advantageous for enhancing both the cycling stability and rate performance of the LMO cathodes. Besides, Zr4+, an ideal and effective doping element due to its greatly higher dissociation energy of the Zr–O bond (760 kJ/mol) than that of the Mn–O (402 kJ/mol) bonds, has been employed in the modification of many electrode materials. Zirconium incorporation improves the thermal stability of the material, reducing structural deformation and capacity loss when operated at high temperatures. To date, numerous studies have focused on enhancing LMO material by applying a Zr surface coating.[19] Yet, there has been a notable lack of research exploring the bulk doping of Zr4+ ions within LMO material. To better understand the impact of bulk doping with Zr4+ and to improve the cycling performance of LMO at both room and high temperatures without compromising its achievable capacity, this study delves into the exploration of dual-doping with Al3+ and Zr4+. This dual-doping approach is emphasized for its significant potential in enhancing LMO’s cycling performance, highlighting its importance in advancing the material’s capabilities. In this work, the successfully synthesized dual-doped Li1.06(Mn1.97Zr0.01Al0.02)0.97O4 (LMO-Z1A2) cathode demonstrates excellent electrochemical performance with a discharge capacity of 124.9 mAh/g at 0.1 C and a capacity retention of 97.7% after 100 cycles at 5 C. Al3+ and Zr4+ dopants play a key role in mitigating the adverse impacts caused by the Jahn–Teller effect and the Mn dissolution. Moreover, such enhancements from dual-doping significantly improve the ionic conductivity and the structural stability at high temperatures.

2.   Experimental details
  • The synthesis of the LMO-Z1A2 compound was initiated by weighing stoichiometric amounts of high-purity lithium carbonate (Li2CO3, 99.5%, Nanshi, Jiangxi), manganese oxide (Mn3O4, 98.6%, Sinosteel, Maanshan, Anhui), zirconium dioxide (ZrO2, 99.0%, Xuancheng Jingrui New Materials Co., Ltd., Anhui), and aluminum oxide (Al2O3, 99.6%, Evonik Industries AG) according to their theoretical molar ratios. The respective amounts were 7.871 g of Li2CO3, 30.47 g of Mn3O4, 0.2464 g of ZrO2, and 0.204 g of Al2O3. The weighed precursors were thoroughly mixed using a planetary ball mill. The ball milling was conducted with ceramic balls (total mass around 151 g) in a dry milling environment for 1 hour. The mixture was subjected to both forward and reverse milling for 30 min. The mixed precursor was then subjected to a calcination process. The material was gradually heated at a rate of 5 °C/min up to 770 °C in a high temperature furnace, where it was held for 20 hours under an air atmosphere. After calcination, the furnace was cooled naturally to room temperature. The final product was then collected for further analysis and characterization.

  • The LMO cathode materials were characterized by powder x-ray diffraction (XRD, Bruker D8 Advanced) to identify their phase and analyze crystal structure evolution. Morphology and microstructure were examined using scanning electron microscopy (SEM, Hitachi Regulus8100) and transmission electron microscopy (TEM, JEM-F200). Energy dispersive spectroscopy (EDS) equipped on SEM was employed to analyze the element mapping of the cathode samples. Raman spectra were obtained on a Renishaw Invia reflex Raman Microscope.

  • The working electrodes were prepared by casting the mixture of LMO material (80.0 wt%), super P (10.0 wt%), and polytetrafluoroethylene (PVDF, 10.0 wt%) onto Al foil. The galvanostatic charge/discharge cycling between 3–4.3 V was performed using a Land BT2000 battery tester. For the cycle and rate performance investigation, the cells were activated at 0.1 C for one cycle before subsequent cycle (1 C and 5 C) and rate (0.1 C, 0.2 C, 0.5 C, 1 C, 2 C, 5 C, 10 C, and 0.1 C) evaluation. Electrochemical impedance spectroscopy (EIS) was conducted using a Zahner Ennium Pro electrochemical workstation in the frequency range of 0.01–106 Hz, with a 5 mV alternating current (AC) voltage perturbation.

3.   Results and discussion
  • Firstly, a comparison between single-doping and dual-doping was conducted. As shown in Fig. S1, the cycle stability of the dual-doped LMOs was superior to that of the single-doped LMO, demonstrating the effectiveness of the Al3+ and Zr4+ dual-doping strategy. Next, the doping concentration was optimized. LMO samples doped with different amounts of Al3+ and Zr4+ were synthesized successfully by high-temperature solid-state annealing, denoted as Li1.06(Mn1.98Zr0.01Al0.01)0.97O4 (LMO-Z1A1), Li1.06(Mn1.97Zr0.02Al0.01)0.97O4 (LMO-Z2A1), LMO-Z1A2, and Li1.06(Mn1.96Zr0.02Al0.02)0.97O4 (LMO-Z2A2). As shown in Fig. 1(a), the XRD patterns indicate that all four dual-doped samples share the same cubic structure. Moreover, the similar charge and discharge curves of all five LMOs during the first cycle suggest that Al3+ and Zr4+ dual-doping does not alter the fundamental redox mechanism of these spinel oxides. However, varying the doping concentration results in differing degrees of enhancement in both the achievable capacity and its retention. LMO-Z1A1 exhibited a superior discharge capacity of 128.0 mAh/g among the five LMOs, as shown in Fig. 1(b). LMO-Z1A2 demonstrated superior cycling stability, with an impressive capacity retention rate of 96.8% after enduring 167 cycles at a 1 C rate. Furthermore, its discharge capacity remained exceptionally high, reaching 124.9 mAh/g when tested at a 0.1 C rate. Therefore, we conducted a detailed analysis of the LMO-Z1A2 and pristine Li1.06Mn1.94O4 (LMO-P) samples.

  • According to the elemental content data provided in Table S2, compositional differences between LMO-P and LMO-Z1A2 samples were observed. The Mn content in LMO-Z1A2 was measured at 640.0 g/kg, which is slightly lower than that in LMO-P (645.5 g/kg for Mn). Additionally, the successful introduction of Al3+ and Zr4+ into the LMO-Z1A2 sample was confirmed by their respective contents of 2.6 g/kg and 2.9 g/kg. It was also found that the proportion of Zr was slightly lower than the theoretical ratio, possibly due to incomplete doping of Zr4+ into the bulk phase. This was indeed evident from the SEM (Fig. 2(f)) and XRD (Fig. 2(a)) results, which clearly showed residual ZrO2 on the surface.

    The crystal structures of LMO-P and LMO-Z1A2 samples were examined using powder XRD, as shown in Fig. 2(a). The diffraction peaks in the XRD patterns of both samples were indexed to cubic spinel LMO (JCPDS No. 35-0782) with Fd-3m symmetry. The narrow, sharp, and symmetrical diffraction peaks indicate good crystallinity and homogeneity of the spinel phase in both LMO samples. However, very weak peaks appeared at 28.5° and 31.8° (marked with ♦ in Fig. 2(a)), which were assigned to the monoclinic ZrO2 (JCPDS Card No. 78-0047) residue formed by excess Zr4+ ions remaining on the surface. According to Figs. 2(b), 2(c), S2, and Table S1, the lattice parameter a of LMO-Z1A2 (8.23005 Å) is smaller than that of LMO-P (8.23775 Å), due to the shorter Zr–O bonds resulting from the replacement of Mn3+ and Mn4+ with smaller sized Zr4+. Ohzuku et al.[20] have reported that the intensity ratio of (311)/(400) peaks corresponds to the extent of lithium substitution on 8a sites by other cations. The integrated intensity ratios of (311)/(400) were found to be 0.93 for LMO-P and 0.84 for LMO-Z1A2, suggesting that the cation mixing on 8a and 16d sites could be suppressed through Al–Zr dual-doping, which is beneficial to the electrochemical performance of spinel LMO cathodes.[5]

    It is widely recognized that the size and morphological characteristics of cathode particles play crucial roles in determining the electrochemical performance.[9,10] As shown in Figs. 2(e) and 2(f), both LMO-P and LMO-Z1A2 samples consist of secondary spherical particles composed of nanoscale primary particles. The primary particles in LMO-Z1A2 are smaller than those in LMO-P, which helps to reduce the diffusion distance for Li+ ion in crystals. This enhanced ionic diffusion would be expected to significantly affect the discharge capacity and rate performance of the LMO-Z1A2 sample. The decrease in primary particle size may result from the fact that breaking strong Al–O and Zr–O bonds is more difficult than breaking Mn–O bonds, thereby slowing down particle growth during the high-temperature sintering process.[21,22] Additionally, some extra particles were noticed on the surface of LMO-Z1A2. These small particles could be attributed to residual ZrO2, as corresponding diffraction peaks are visible in the XRD pattern. Furthermore, from the EDS mapping in Figs. 3(c)3(j), in addition to the Mn and O signals detected in the LMO-P sample, the presence of Al and Zr is clearly observed in the LMO-Z1A2 sample (Figs. 3(f) and 3(j)). This provides clear evidence for the successful incorporation of Al and Zr into the LMO-Z1A2 composition, which is expected to significantly alter the structural and electrochemical properties of the material.

    To further investigate the impact of doping on the lattice structure, TEM measurements were conducted. The TEM images of LMO-P (Fig. 3(a)) and LMO-Z1A2 (Fig. 3(b)) revealed a decrease in the lattice spacing of the (111) plane from 0.47 nm to 0.45 nm, in good agreement with the fitting results obtained from XRD.

    Raman spectroscopy measurements were used to investigate the surface chemical structures of LMO-P and LMO-Z1A2 samples. As shown in Fig. 2(d), the strong bands at approximately 626 cm−1 for LMO-P and 636 cm−1 for LMO-Z1A2 are assigned to the A1g mode associated with the Mn–O stretching vibration of MnO6 octahedral units. The observed shift of strong vibrational bands to higher wavenumbers in the LMO-Z1A2 sample can be attributed to the stronger band energies of Al–O (512 kJ⋅mol−1) and Zr–O (760 kJ⋅mol−1) compared to Mn–O (402 kJ⋅mol−1). The stronger Al–O and Zr–O bonding can strengthen the MnO6 octahedral unit and suppress Jahn–Teller distortion in the spinel lattice. Additionally, two weak bands were identified: one at 387 cm−1 corresponding to F1u symmetry and another at 300 cm−1 linked to F2g3 symmetry. The F2g3 mode arose from Li–O vibrational motion within the LiO4 tetrahedral environment. Significantly, it has been reported that the Raman bands corresponding to Mn–O vibrations are highly responsive to changes in the Mn valence state.[9] Therefore, the enhanced intensity of F2g bands (appearing as a weak shoulder at 570 cm−1) in Fig. 2(d) serves as an indication of the elevated average Mn valence state in the LMO-Z1A2 sample.

    The element valence states in the surface region of LMO-P and LMO-Z1A2 samples were detected by x-ray photoelectron spectroscopy (XPS). Based on the survey spectrum shown in Fig. 4, the presence of O and Mn elements in the LMO-P and LMO-Z1A samples has been confirmed. The appearance of the Al 2p and Zr 3d peaks (Figs. S3(a) and S3(b)) confirms the existence of Al and Zr elements within the LMO-Z1A2 sample. Utilizing Avantage software, the results obtained from peak separation and fitting reveal the proportions of Mn3+ and Mn4+ in two samples, as shown in Fig. 4(a). An increase in Mn4+ content on the surface of the LMO-Z1A2 sample was observed, which could contribute to suppressing the Jahn–Teller effect and benefit structural stability. The Mn 2p3/2 peaks of the LMO-Z1A2 sample shifted slightly towards the low binding energy compared with the LMO, indicating that dual-doping of Zr4+ and Al3+ modified the electronic states of Mn to a certain extent. Figure 4(b) displays the XPS results before and after O 1s doping. The strong peak at ∼ 530.0 eV corresponds to M–O bonds, while the peak located near 531.2 eV corresponds to surface impurities, such as Li2CO3.

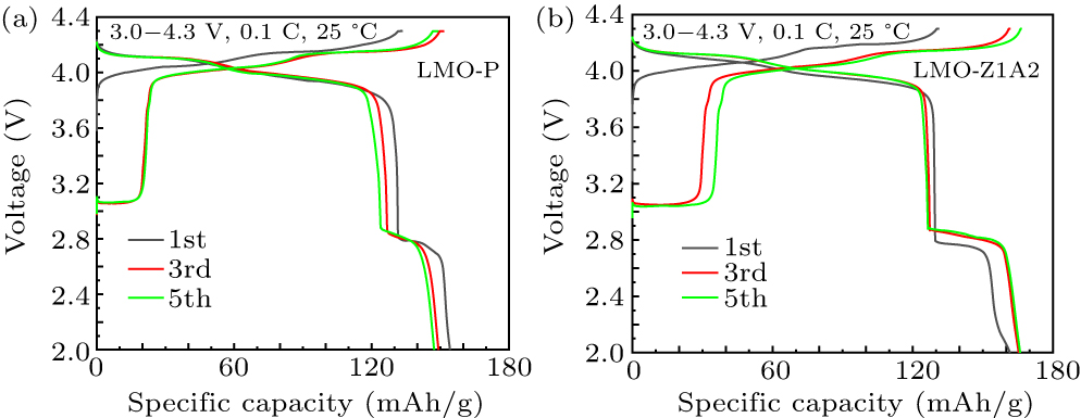
  • The effects of Al–Zr dual-doping on the electrochemical performance of LMO were evaluated by coin-type cells using lithium metal as the reference electrode. The first charge–discharge curves of LMO-P and LMO-Z1A2 samples operated at 0.1 C within the voltage range of 3.0–4.3 V are displayed in Fig. 5(a). The initial discharge capacities of LMO-P and LMO-Z1A2 samples were 126.2 mAh/g and 124.9 mAh/g, respectively. Though the dual-doping approach slightly decreases the discharge specific capacity, it increases the average discharge voltage to 4.0 V. This increase in voltage can be beneficial for enhancing the overall energy density of LMO. Significantly, the LMO-Z1A2 cathode exhibits enhanced capacity retention. As shown in Fig. 5(b), the capacity retention of LMO improved markedly from 72.1% to 96.3% after 100 cycles at 1 C, thanks to the dual-doping treatment. In terms of rate capability, the deliverable capacity at a 10 C rate also rose from 91.5 mAh/g to 105.6 mAh/g (Fig. 5(c)). Thus, dual-doping with Al3+ and Zr4+ into the LMO lattice stabilizes the atomic structure and optimizes ionic conductivity, resulting in LMO-Z1A2’s high energy density and exceptional performance at high current densities (Fig. 5(d)). After 100 cycles at 5 C, LMO-Z1A2 retains 97.7% of its initial capacity, demonstrating the superiority of Al3+ and Zr4+ dual-doping in stabilizing the crystal structure of LMO-Z1A2 (Fig. 5(e)). Furthermore, the dissolution of Mn into electrolytes is one of the main concerns limiting the widespread application of LMO, especially when operated at high temperature.[2,4] Surprisingly, the capacity of LMO-P decreased to 107.6 mAh/g only after 70 cycles at 45 °C, while LMO-Z1A2 still maintains 93.1% of its initial capacity even after 100 cycles, as shown in Fig. 5(f). Therefore, dual-doping stabilizes the surface atomic structure of LMO, providing an effective solution to tackle its poor cycling stability at high temperatures. Al3+ primarily enhances structural stability by reducing Jahn–Teller distortion, while Zr4+ improves thermal stability and reduces manganese dissolution at high temperatures.[7,12,1719] The combination of these dopants synergistically improves the overall electrochemical performance of LMO, particularly under harsh conditions. In summary, compared to previously reported LMO cathodes with various modification strategies, the comprehensive electrochemical performance of LMO-Z1A2 is more appealing.[17,2325]

    LMO cathodes can reach exceptionally high capacity when discharged to voltages below 3.0 V, forming Li1+xMn2O4 in the process. However, the cost of achieving high capacity is the sacrifice of structural stability due to the Jahn–Teller effect activated by Mn3+.[2630] Therefore, to delve deeper into the impact of dual-doping modification on the stability and redox reversibility of the LMO structure across a wider voltage window, electrochemical tests within an expanded voltage range spanning from 2.0 V to 4.3 V were carried out. As illustrated in Figs. 6(a) and 6(b), even after 5 charge-discharge cycles, LMO-Z1A2 maintains a robust discharge capacity of 162.0 mAh/g, notably surpassing the 150.0 mAh/g of LMO-P. The improved structural stability of LMO in over-lithiated states may be attributed to the co-doping strategy involving Al3+ and Zr4+, which effectively alleviates the Jahn–Teller effect caused by Mn3+.

    In the cyclic voltammetry (CV) curves depicted in Fig. 7(a), both LMO-P and LMO-Z1A2 samples exhibit two distinct pairs of redox peaks, which correspond well to the two-phase reaction involving λ-MnO2/Li0.5Mn2O4 and Li0.5Mn2O4/LMO, respectively.[11] At a scan rate of 0.1 mV⋅s−1, notable differences between LMO and LMO-Z1A2 within the voltage range of 3.0–4.5 V are observed in Fig. 7(a). The potential interval (ΔV) between the reduction and oxidation peaks is widely recognized as an indicator of polarization and irreversible behaviors in electrochemical reaction, including the formation of CEI.[12] The ΔV of LMO-P is 0.23 V, notably higher than the 0.11 V observed in the LMO-Z1A2 sample. This difference aligns with the increased discharge capacity and prolonged cycling life exhibited by the LMO-Z1A2 sample in initial charge/discharge curves.

    Electrochemical impedance spectroscopy (EIS) experiments were used to further investigate the kinetic behavior of LMO and LMO-Z1A2 samples. EIS measurements were conducted before cycling over a frequency range of 0.01 Hz to 106 Hz. As shown in Fig. 6(b), the Nyquist plot before cycling consists of a semicircle and a sloping line. The semicircle in the high-frequency region represents the charge transfer resistance at the electrode surface. For LMO-Z1A2, the diameter of the semicircle is reduced, indicating a decrease in charge transfer resistance and faster insertion/extraction of Li+ ions. The formula for calculating the lithium-ion diffusion coefficient DLi+ commonly used in EIS analysis is

    Here, DLi+ represents lithium-ion diffusion coefficient, R represents the universal gas constant, T represents absolute temperature, A represents the effective surface area of the electrode, N represents the number of electrons involved per lithium ion in the redox reaction, F represents Faraday constant (96485 C/mol), and C represents concentration of lithium ions in the electrode material. Through linear fitting of the low-frequency region’s ω−1/2 versus the real impedance Z’, we have calculated the Warburg impedance coefficient σ. The calculated diffusion coefficients (DLi+) for the LMO-P and LMO-Z1A2 electrodes using the equation are 4.0 × 10−15 cm2˅s−1 and 4.6 × 10−15 cm2⋅s−1, respectively (Fig. S4).[31] These values underscore the LMO-Z1A2 electrode’s superior ability to promote lithium-ion transport. We further analyzed the Li+ diffusion kinetics using the galvanostatic intermittent titration technique (GITT). The results indicate that LMO-Z1A2 exhibits better lithium-ion diffusion capability compared to LMO-P during both charging and discharging processes, which aligns well with our earlier observations (Figs. 7(c) and 7(d)). In summary, Al3+ and Zr4+ dual-doping effectively reduces the charge transfer resistance and enhances the Li+ ion diffusion coefficient of LMO-Z1A2, with these two improvements collectively enhancing the material’s rate performance.

4.   Conclusion and perspectives
  • In summary, Al3+ and Zr4+ dual-doped spinel LMOs have been synthesized successfully via a simple and facile high temperature solid-state route. The detrimental Jahn–Teller effect can be effectively suppressed by reducing the average valence state of Mn through the dual-doping modification. Moreover, the introduction of stronger Al–O and Zr–O bonds helps stabilize the atomic structure even at high temperatures. As a result of these advantages of dual-doping, LMO-Z1A2 cathode performs with high Li+ storage capacity (124.9 mAh/g at 0.1 C), good capacity-retention rate (97.7% after 100 cycles at 5 C), enhanced rate capability (119.8 mAh/g at 5 C), and improved cycling performance (117.1 mAh/g after 100 cycles at 5 C). This work offers a promising approach to suppressing the dissolution of manganese and restraining the Jahn–Teller effect for enhancing the electrochemical performance of spinel LMO cathode material for LIBs.

Figure (7)  Reference (31)

Catalog

    /

    DownLoad:  Full-Size Img  PowerPoint
    Return
    Return