-
高密区核物质状态方程信息的提取是当前核物理研究领域的热点问题之一,相关研究对理解核相互作用、超新星爆发、中子星结构及双中子星并合等有着重要意义[1-3]。经过几十年来的实验及理论研究,人们对饱和点附近的核物质性质已经取得了一定的认知,但对于更高密区的核物质性质,尤其是高密核物质状态方程的软硬和对称能的密度依赖行为,仍然存在较大的争议,甚至是截然相反的预言[4]。
通过输运模型模拟重离子碰撞的动力学演化,并将末态产物的信息与实验观测结果进行比较,是主要的提取核物质状态方程信息的手段。目前最常用的输运模型主要分为两类[5],一类是基于Boltzmann方程发展而来的描述核子单体相空间分布函数在单粒子哈密顿量下的时空演化的Boltzmann-Uehling-Uhlenbeck(BUU)类输运模型[6-7];另一类是采用高斯型的波包描述每个核子,并模拟它们在多体哈密顿量下的时空演化的量子分子动力学(QMD)类输运模型[8-10]。无论BUU还是QMD类输运模型,两体散射都是其中的重要组成部分,在真实核反应中,两体散射将会受到周围核介质的影响。研究表明,两体散射截面的介质修正效应对核物质状态方程的敏感观测量有着不可忽视的影响,因此,除了自由空间中的两体散射截面,介质修正的两体散射截面及介质修正效应也需要深入的研究。一方面,可以通过多种微观理论计算介质修正的两体散射截面,如Brueckner理论[11-12]、Dirac-Brueckner理论[13]、变分法[14]、单玻色子交换模型[15-16]以及相对论BUU(RBUU)输运理论[17-18];另一方面,也可以重离子碰撞的计算与实验结果的比较得到参数化的介质修正的两体散射截面[19-22]。
此外,随着入射能量的升高(密度的增大),除了核子自由度外,非核子自由度也逐渐发挥着重要的作用,对理解核结构及粒子间的相互作用有着不可忽视的影响。如核天体领域,研究表明,在中子星内壳层,非核子自由度(
$ \Delta $ 、$\Lambda$ 、$\Xi$ 、$\Sigma$ 等重子,$ {\rm{K}} $ 、$ \pi $ 等介子,以及可能存在的夸克胶子等离子体)将会影响高密区核物质状态方程的软硬以及中子星的结构性质[23];在重离子碰撞领域,入射能量为2 AGeV的Au+Au反应中大约有30%的核子可以被激发到共振态[24],而共振态粒子通过共振衰变产生的$ \pi $ 介子常常被用作探测高密区核物质状态方程的敏感探针[25-26]。在我们以前的工作中,基于RBUU微观输运理论框架研究了核子-核子弹性散射截面的密度和同位旋依赖性[17-18, 27],然后基于极端相对论量子分子动力学(UrQMD)模型研究了中低能重离子碰撞中密度、动量和同位旋依赖的核子-核子散射截面对观测量的影响[28]。进而,我们研究了
$ \Delta $ 共振态的硬过程(${\rm{NN}} \rightarrow {\rm{N}} \Delta$ ) 及软过程(${\rm{N}}\pi \rightarrow \Delta$ ) 产生截面在同位旋不对称核体系下的介质修正(包括能量、密度、特别是同位旋依赖的) 效应[29-31],以及细致平衡对$ \Delta $ 共振态、$ \pi $ 介子产额及$ \pi^{-}/\pi^{+} $ 比值的影响。对于两体到三体的反应过程,如${\rm{N}} \Delta \rightarrow {\rm{N}} {\rm{N}} \pi$ 或${\rm{N}} \Delta \rightarrow {\rm{N}} \Lambda {\rm{K}}$ [32],由于理论计算的复杂性,通常约化为${\rm{N}} \Delta \rightarrow {\rm{N}} \Delta$ 的两体弹性散射或者两体非弹性散射。另外,由于$ \Delta $ 在真空中是不稳定的共振态,实验上无法直接测量$ {\rm{N}} \Delta $ 散射截面,在一些输运模型中,其截面通常采用和质子-质子散射截面相同的形式[33]。此外,相关研究主要是在同位旋对称体系下[34],然而,对于介质性质、同位旋依赖行为等方面仍存在研究空白,需要进一步的探究。在本文中,我们在自洽的RBUU微观输运理论下基于有效拉式量计算了介质内同位旋相关
${\rm{N}} \Delta \rightarrow {\rm{N}} \Delta$ 散射截面。全文结构如下:第1节给出核子-核子有效拉式量以及基于闭合时间回路格林函数得到的$ \Delta $ 的RBUU运动方程;第2节给出了重子有效质量计算以及介质修正的$ {\rm{N}} \Delta $ 弹散截面的数值结果及其分析;第3节是总结和展望。 -
通过核子-核子相互作用重现有限核的性质是核物理的基本任务之一,基于非相对论或相对论框架构造的核力为有限核及核物质性质的计算提供了重要输入量。在非相对论框架下,常见的核子-核子相互作用包括零力程的Skyrme势和有限力程的Gogny势[35-36]。在相对论框架下,基于夸克-胶子自由度构造的核子-核子相互作用在实际应用中存在诸多困难,基于单玻色子交换模型在重子自由度下发展而来的相对论平均场理论以及基于手征对称性发展而来的手征有效核力在近年来得到了广泛关注与应用[37-38]。在量子强子动力学框架下,核子-核子相互作用可以通过交换
$ \sigma $ 、$ \omega $ 、$ \delta $ 、$ \rho $ 、$ \pi $ 介子来实现。$ \sigma $ 是自旋标量,同位旋标量介子;$ \omega $ 是自旋矢量,同位旋标量介子;$ \delta $ 是自旋标量,同位旋矢量介子;$ \rho $ 是自旋和同位旋都是矢量的介子,它们共同组成了一套描述核力的交换粒子。在$ {\rm{NN}} $ 弹性散射研究中[18],相比于$ \rho $ 介子交换的贡献,$ \pi $ 介子交换对核子-核子弹性散射截面的贡献可以忽略。因此,在这里我们忽略$ \pi $ 介子的贡献,并将在后续的工作中进一步分析$ \pi $ 介子交换对核子-$ \Delta $ 弹性散射截面的贡献。我们之前的研究结果表明,核子-核子弹性散射截面敏感于核子-核子-介子的耦合常数,并且当$ g_{{\rm{N}} {\rm{N}}}^{\omega}>g_{{\rm{N}} {\rm{N}}}^{\sigma} $ ,$ g_{{\rm{N}} {\rm{N}}}^{\omega} $ $ -g_{{\rm{N}} {\rm{N}}}^{\sigma} $ $ \lesssim $ 2时,理论计算结果可以描述$ \sigma^{\ast}_{{\rm{nn}}({\rm{pp}})} $ 和$ \sigma^{\ast}_{{\rm{np}}} $ 的能量依赖行为[18]。由于$ {\rm{N}} \Delta $ 散射截面与$ {\rm{NN}} $ 散射截面有着相同的性质,因此$ {\rm{N}} \Delta $ 散射截面的耦合常数的选择也需要满足$ {\rm{NN}} $ 散射截面中的限制条件。这里密度依赖的耦合常数可以通过拟合Dirac-Brueckner Hartree Fock(DBHF)自能来得到[39]。系统的有效拉氏量表示为
其中
$ {\cal{L}}_{\text{F}} $ 是重子和介子的自由拉氏量,这里,
$F_{\mu \nu} \equiv \partial_{\mu} \omega_{v}-\partial_{v} \omega_{\mu} , {\boldsymbol{L}}_{\mu \nu} \equiv \partial_{\mu} {\boldsymbol{\rho}}_{v}-\partial_{v} {\boldsymbol{\rho}}_{\mu}$ 。相互作用部分$ {\cal{L}}_{\text{I}} $ 表示为这里有效拉氏密度采用密度依赖的耦合常数[39],其参数化形式为
其中
$\xi = {\rho_{b}}/{\rho_{0}}$ ,$ \rho_{0} $ 是对称核物质的饱和密度,耦合常数中密度依赖的修正部分$ p_{i}(\xi) $ 可以表达为密度依赖的耦合常数参数由文献[17, 39]给出。这里,
$ \psi $ 表示自旋为${1}/{2}$ 的Dirac旋量,$ \psi_{\varDelta} $ 表示自旋为${3}/{2}$ 的Rarita-Schwinger场旋量,$ \tau $ 为同位旋算符。核子质量$ m_{{\rm{N}}} $ 取939 MeV,$ \Delta $ 的质量$ m_{\Delta} $ 取1 232 MeV。关于$ \Delta $ -$ \Delta $ -介子耦合,由于重子有效质量的劈裂使得SU(6)对称性不能精确成立,因此重子八重态和十重态不能共用相同的耦合常数。为了能够重现饱和密度区截面的数值,耦合常数和重子截断质量需要同时考虑。对于$ \Delta $ -$ \Delta $ -介子耦合常数的取值,这里引入$ \Delta\Delta $ -$ {\rm{NN}} $ 耦合常数比:其中
$f_{\sigma} = 1.0,f_{\omega} = 0.8,f_{\rho} = 1.0$ [40],$f_{\delta} = 1.0$ 。 -
接下来,我们推导
$ \Delta $ 共振态的RBUU方程。对于非平衡问题的处理,闭合时间回路格林函数方法显得更加有效。在相互作用表象中,$ \Delta $ 格林函数定义为[34]在闭时回路框架下的四个
$ \Delta $ 格林函数$ G^{--}_{\alpha \beta}(1,2) $ 、$ G^{-+}_{\alpha \beta}(1,2) $ 、$ G^{+-}_{\alpha \beta}(1,2) $ 、$ G^{++}_{\alpha \beta}(1,2) $ 表示为如下矩阵形式:将式(7)做微扰展开可得:
其中
$ \varSigma^{\nu \mu}(4,3) $ 是$ \Delta $ 的自能,在波恩近似下,有:这里
$ \varSigma_{{\rm{HF}}}^{\nu \mu}(4,3) $ 包括Hartree项和Fock项,引入Rarita-Schwinger场算符,
将其作用在式(9)两端,引入辅助公式:
化简可得:
对于
$ G^{-+}_{\alpha\beta}(1,2) $ ,零阶$ \Delta $ 格林函数${\rm{i}}G^{0-+}_{\alpha\beta}\left(X,P\right)$ 通常表示为这里,定义自旋投影算符
$ P^{3/2}_{\alpha\beta}(P) $ :将式(14)整体做Winger变换,并将式(15)和式(16)带入,在半经典和准粒子近似下,可以得到
$ \Delta $ 分布函数的RBUU方程:$ \sigma^{\Delta}(s,t) $ 为$ {\rm{N}} \Delta $ 弹性散射截面,$ v_{\Delta} $ 为Mϕller速度,$F_{2}$ 和$F_{1}$ 是泡利阻塞因子。$ {\rm{N}} \Delta \rightarrow {\rm{N}} \Delta $ 散射的跃迁概率表述为这里:
$ T_{e} $ 是同位旋矩阵,$ \varPhi_{e} $ 是自旋矩阵,它们是描述跃迁概率中最重要的两个输入量。散射截面和跃迁概率的关系表示为考虑到核子的有限尺寸和短程关联效应,在计算反应截面中引入如下形状因子:
对于
$ {\rm{N}} \Delta \rightarrow {\rm{N}} \Delta $ 反应道,核子截断质量取$\varLambda_{{\rm{NN}}\sigma}$ = 1 100${\rm{MeV}}$ 、$\varLambda_{{\rm{NN}} \omega}$ = 783${\rm{MeV}}$ 、$\varLambda_{{\rm{NN}} \delta}$ = 983${\rm{MeV}}$ 、$\varLambda_{{\rm{NN}} \rho}$ = 770${\rm{MeV}}$ [17, 27],取${\varLambda_{\Delta \Delta i}}/{\varLambda_{{\rm{NN}} i }} = 0.4$ ,$ i $ 为$\sigma$ 、$ \omega $ 、$\delta$ 、$\rho$ 。需要指出的是,本文重点关注的是密度、能量依赖的
$ {\rm{N}} \Delta $ 弹性散射截面的同位旋劈裂效应,并且计算的结果将通过进一步的参数化引入至微观输运模型中,而在微观输运模型中,共振态粒子的衰变宽度已被细致考虑。此外,我们之前的研究表明$ \Delta $ 的衰变宽度的密度依赖性和质量劈裂效应都较弱[30, 41]。因此,在本文中将重子看作点粒子,并且忽略$ \Delta $ 的衰变宽度可能带来的影响。 -
从第1节的公式推导中可以看出,RBUU 输运理论中平均场和碰撞项分别来自自能展开的二阶项和四阶项,而且在数值计算中,通过平均场计算得到的重子有效质量将是介质修正的散射截面的输入量,可以认为RBUU 输运理论能够自洽地处理平均场和两体碰撞。其中
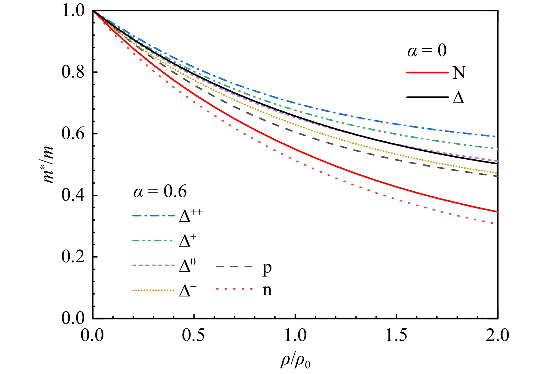
$ \Delta $ 有效质量、核子质量和介子场的平均值有如下关系[42]:图1给出了同位旋不对称度
$\alpha = 0.6[\alpha = (\rho_{{\rm{n}}} -\rho_{{\rm{p}}})/ (\rho_{{\rm{n}}} +\rho_{{\rm{p}}})]$ 时,$ \Delta $ 有效质量随约化重子密度的变化关系,同时以同位旋不对称度$ \alpha = 0 $ 时核子和$ \Delta $ 的有效质量随约化重子密度的变化作为参考,这里使用的饱和密度处核子的有效质量$m_{{\rm{N}}}^{\ast}/m_{{\rm{N}}}$ 为0.55。可以看到,当$ \alpha = 0 $ 时,重子的不同态并没有质量劈裂现象的出现(核子:红色实线;$ \Delta $ :黑色实线)。当在有效拉氏量中引入$ \delta $ 介子场之后,核子与$ \Delta $ 粒子的不同同位旋态的有效质量发生了明显的劈裂现象,并且$m_{\Delta^{++}}^{*} > m_{\varDelta^{+}}^{*}> m_{\varDelta^{0}}^{*}> m_{\Delta^{-}}^{*}$ ,$m_{{\rm{p}}}^{*} > m_{{\rm{n}}}^{*}$ 。相应地,$ \Delta $ 粒子的有效质量劈裂将会影响与不同同位旋态$ \Delta $ 粒子产生相关的反应道的散射截面,具体结果将在下文中展示和讨论。图2展示了同位旋不对称度
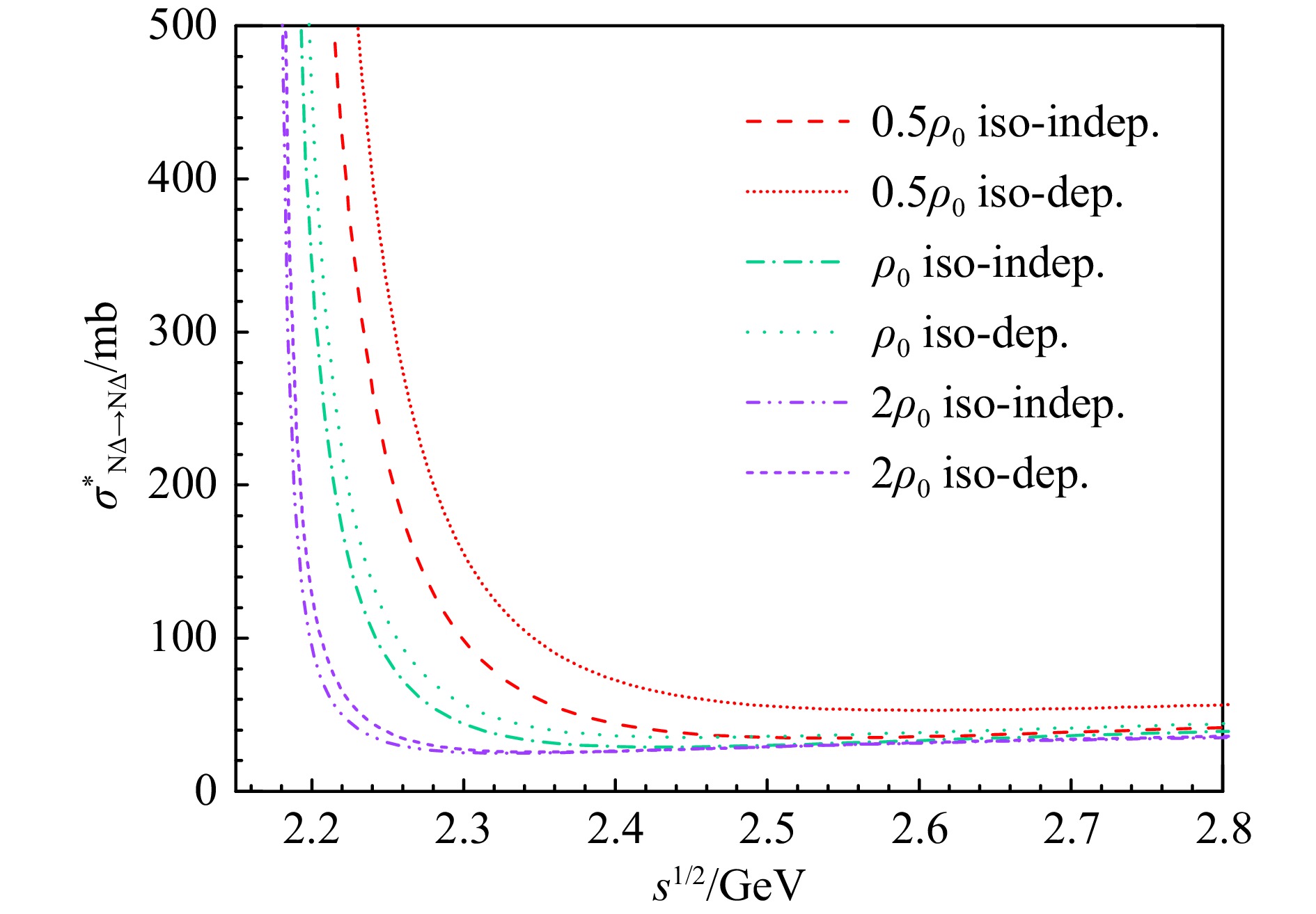
$ \alpha = 0.6 $ 时,不同重子密度($ \rho = 0.5\rho_{0} $ 、$ \rho_{0} $ 、$ 2\rho_{0} $ )下,同位旋无关(iso-indep.)和同位旋依赖(iso-dep.)的${\rm{N}} \Delta \rightarrow {\rm{N}} \Delta$ 的散射截面随质心系能量的变化。这里的同位旋无关指截面计算中仅考虑了同位旋标量介子$\sigma$ 和$\omega$ 的贡献,而同位旋依赖的截面包含$\sigma$ ,$ \omega $ ,$\delta$ ,$\rho$ 四种介子。这里密度依赖的耦合常数有效范围是$0.5 \sim 2\rho_{0}$ 。首先,从图中可以明显地看出,在低能区,散射截面随着质心系能量的增大迅速地降低;在高能区,散射截面随着质心系能量的增大而逐渐趋于平缓。其次,还可以看到相同颜色的两线条(iso-indep. 和iso-dep.)之间的差异随着密度的增大而逐渐减小并趋于靠近,表明同位旋矢量介子场对${\rm{N}} \Delta \rightarrow {\rm{N}} \Delta$ 的总散射截面的贡献随着密度的增大而逐渐减小。因为随着重子密度的增加,部分分反应道的散射截面以及总散射截面逐渐降低(如图3所示),因此,同位旋矢量介子场对它们的影响也逐渐变得不明显。需要指出的是,在较高能量下饱和密度处的散射截面与Dirac-Brueckner(DB)的计算结果[43]大致相同。图3展示了质心系能量为2.58 GeV时,
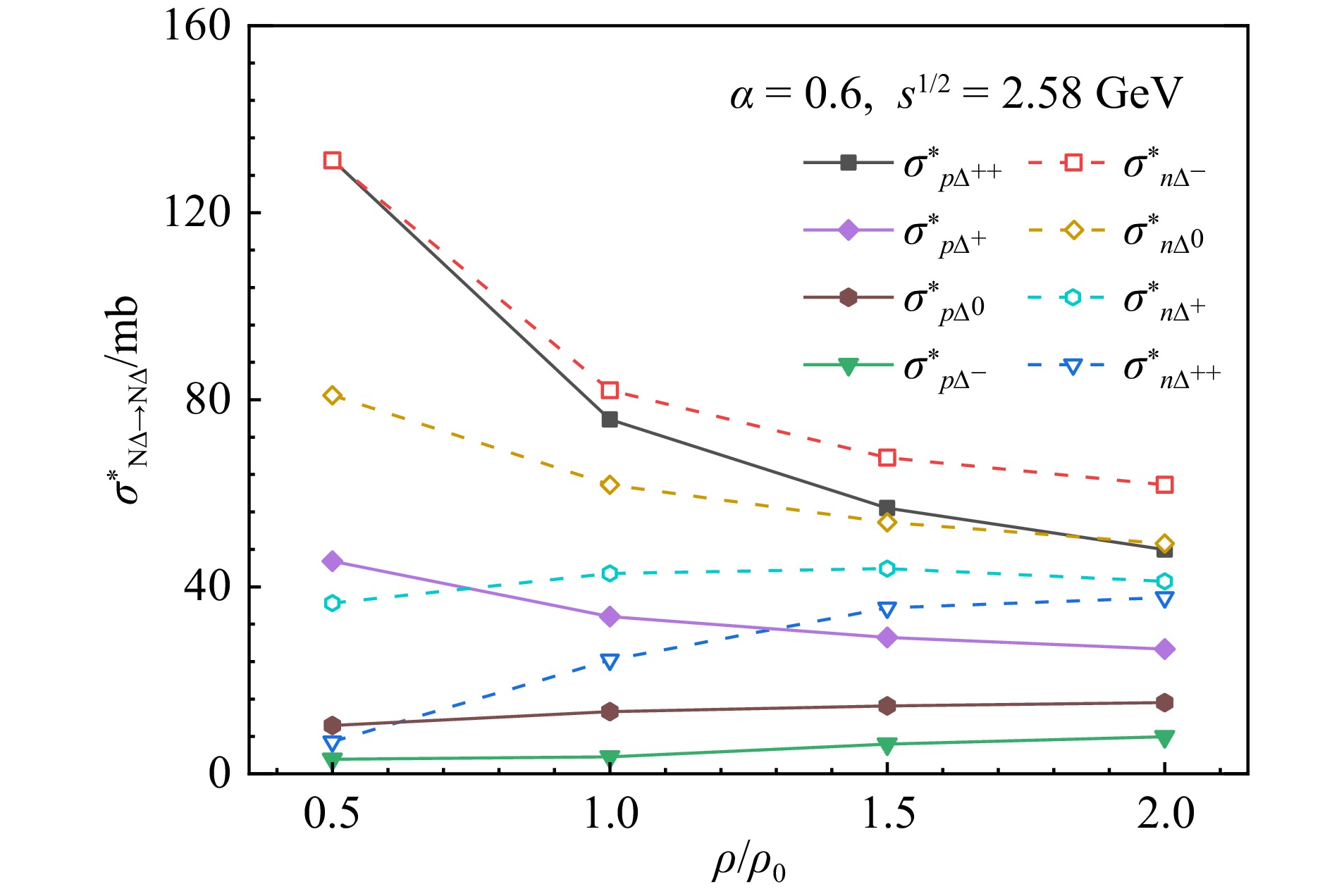
${\rm{N}} \Delta \rightarrow {\rm{N}} \Delta$ 过程不同反应道的弹性散射截面随约化重子密度的变化情况。图中实线(虚线)分别表示质子(中子)与$ \Delta $ 不同同位旋态的弹性散射截面。在Born项中考虑不同介子交换时,${\rm{N}} \Delta \rightarrow {\rm{N}} \Delta$ 的各个分反应道对应的同位旋矩阵$ T_{e} $ 如表1所列。首先,可以看到不同反应道的弹性散射截面均存在着较强或较弱的密度依赖性,这是由于Born项中存在$ \sigma-\delta $ 、$ \sigma-\rho $ 、$\omega-\delta$ 、$\omega-\rho$ 交换,并且它们对截面有着较大的贡献。而在总的弹性散射截面中,这些交换项的作用相互抵消,因此,在总的弹性散射截面的计算中只存在纯的同位旋标量介子交换项和同位旋矢量介子交换项。其次,由于$\rm p\Delta^{++}$ 和$\rm n\Delta^{-}$ 的弹散过程有着相同的同位旋矩阵(如表1所列),同时,下面同组散射截面也有着与$ p\Delta^{++} $ 和$ n\Delta^{-} $ 相同的同位旋矩阵规律:$\rm n\Delta^{++}(\rm p\Delta^{-})$ 、$\rm p\Delta^{+}(\rm n\Delta^{0})$ 、$\rm n\Delta^{+}(\rm p\Delta^{0})$ ,因此,同一组弹散截面的跃迁概率只和自旋矩阵相关,且重子有效质量也是自旋矩阵的重要输入量之一,因此$\rm p\Delta^{++}$ 和$(\rm n\Delta^{-})$ 出现了不同的密度依赖关系,其他三组截面也有此类规律。此外,质子(实线)、中子(虚线)与$ \Delta $ 不同同位旋态的弹性散射截面也分别趋于靠近,当密度为0.5$ \rho_{0} $ 时,$\sigma_{{\rm{p}}\Delta^{++}}^{*}/\sigma_{{\rm{p}}\Delta^{+}}^{*}$ = 2.88,$\sigma_{{\rm{n}}\Delta^{-}}^{*}/\sigma_{{\rm{n}}\Delta^{0}}^{*}$ = 1.62,而在 1.5$ \rho_{0} $ 时,$\sigma_{{\rm{p}}\Delta^{++}}^{*}/ \sigma_{{\rm{p}}\Delta^{+}}^{*}$ = 1.94,$\sigma_{{\rm{n}}\Delta^{-}}^{*}/\sigma_{{\rm{n}}\Delta^{0}}^{*}$ = 1.25,表明$ \Delta $ 同位旋效应对分反应道的影响随密度增大逐渐减弱,并且可以推测在$ 2\rho_{0} $ 之后的高密区,$ {\rm{p}}\Delta^{*} $ 和$ {\rm{n}}\Delta^{*} $ 分别会可能趋于各自的固定数值。 -
基于自洽的RBUU输运理论,本文研究了同位旋相关的
${\rm{N}} \Delta \rightarrow {\rm{N}} \Delta$ 截面的密度和能量依赖关系。计算结果表明,通过引入$ \delta $ 介子场,重子的不同同位旋态之间出现了明显的有效质量劈裂,而且劈裂随着重子密度的增大而增大,这些有效质量劈裂现象最终在相应的反应道的散射截面上得以体现。此外,${\rm{N}} \Delta \rightarrow {\rm{N}} \Delta$ 总的弹性散射截面的同位旋依赖随着密度的升高而逐渐降低,而对于不同同位旋态的分反应道,随着重子密度的增大,重子同位旋效应逐渐减弱,$ {\rm{p}}\Delta^{*} $ 和$ {\rm{n}}\Delta^{*} $ 可能会分别趋于固定值;在密度依赖的重子有效质量劈裂、耦合常数以及Born项中的$ \sigma-\delta $ 、$ \sigma-\rho $ 、$\omega-\delta$ 、$\omega-\rho$ 交换项的共同作用下,不同同位旋态分反应道的弹性散射截面呈现出了不同的密度依赖行为。之后,我们将进一步考虑
$ \pi $ 介子交换、$ \Delta $ 衰变宽度等因素对$ \Delta $ 相关的散射截面的影响,将计算结果参数化,并放入到微观输运模型(如UrQMD,IBUU)中,进一步分析核反应的动力学性质。
基于自洽的RBUU输运理论研究介质内同位旋相关的NΔ → NΔ截面
The Calculation of the In-medium Isospin-dependent NΔ → NΔ Cross Section Based on the Self-consistent RBUU Theory
-
摘要: 基于自洽的RBUU输运理论,研究了介质中同位旋相关的${\rm{N}} \Delta \rightarrow {\rm{N}} \Delta$ 散射截面。发现同位旋效应对重子的有效质量以及不同重子密度区的总$ {\rm{N}} \Delta $弹性散射截面有着较为明显的影响。随着重子密度的增大,不同重子同位旋态之间的有效质量劈裂逐渐增大。在密度依赖的重子有效质量劈裂、耦合常数以及Born项中的$\sigma-\delta$、$\sigma-\rho$、$\omega-\delta$、$\omega-\rho$交换项的共同作用下,不同同位旋态分反应道的弹性散射截面呈现出了不同的密度依赖行为。总截面在低能区出现了明显的介质压低效应,高能区介质效应减弱。Abstract: Based on the self-consistent RBUU transport theory, the isospin-dependent in-medium $ {\rm{N}} \Delta \rightarrow {\rm{N}} \Delta$ cross section is investigated. It is found that the isospin effect has a relatively obvious influence on the effective mass of baryons and the total $ {\rm{N}} \Delta $ elastic cross section in different density regions. With the increase of baryon density, the effective mass splitting between different isospin states of baryons increases gradually. Under the joint effect of density-dependent baryon effective mass splitting, coupling constant, as well as Born terms such as $\sigma-\delta$, $\sigma-\rho$, $\omega-\delta$, $\omega-\rho$, the elastic cross-sections of sub-channels with different isospin states exhibit different density-dependent behaviors. The total cross-section has an obvious reduction effect of medium in the low-energy region, and the medium effect is weakened in the high-energy region.
-
Key words:
- Δ resonance /
- RBUU theory /
- isospin dependence /
- in-medium effect .
-
-
表 1
$ {\rm{N}} \Delta \rightarrow {\rm{N}} \Delta $ 过程中考虑不同介子交换时各分反应道对应的同位旋矩阵$ T_{e} $ $\sigma-\sigma, \sigma-\omega\$ $\omega-\omega$ $\delta-\delta, \delta-\rho,$ $\rho-\rho$ $\sigma-\delta, \sigma-\rho,$ $\omega-\delta, \omega-\rho$ ${\rm{p}}\Delta^{++}({\rm{n}}\Delta^{-})$ 1 9/4 3/2 ${\rm{n}}\Delta^{++}({\rm{p}}\Delta^{-})$ 1 9/4 −3/2 ${\rm{p}}\Delta^{+}({\rm{n}}\Delta^{0})$ 1 1/4 1/2 ${\rm{n}}\Delta^{+}({\rm{p}}\Delta^{0})$ 1 1/4 −1/2 -
[1] HANAUSKE M, STEINHEIMER J, MOTORNENKO A, et al. Particles, 2019, 2(1): 44. doi: 10.3390/particles2010004 [2] OERTEL M, HEMPEL M, KLÄHN T, et al. Rev Mod Phys, 2017, 89(1): 015007. doi: 10.1103/RevModPhys.89.015007 [3] 肖志刚. 物理, 2020, 49: 137. doi: 10.7693/wl20200301 XIAO Z G. Physics, 2020, 49: 137. (in Chinese) doi: 10.7693/wl20200301 [4] YONG G, GUO Y. Nucl Phys Rev, 2020, 37(2): 136. doi: 10.11804/NuclPhysRev.37.2019068 [5] 徐骏. 中国科学: 物理学力学天文学, 2020, 49: 5. doi: 10.1360/SSPMA-2019-0068 XU J. Sci Sin Phys Mech Astro, 2020, 49: 5. (in Chinese) doi: 10.1360/SSPMA-2019-0068 [6] LIU Y, YONG G, ZUO W. Europhysics Letters, 2012, 99(4): 42001. doi: 10.1209/0295-5075/99/42001 [7] GUO W, YONG G, WANG Y, et al. Phys Lett B, 2013, 726(1-3): 211. doi: 10.1016/j.physletb.2013.07.056 [8] LI P, WANG Y, STEINHEIMER J, et al. Phys Lett B, 2021, 818: 136393. doi: 10.1016/j.physletb.2021.136393 [9] 刘恒金, 冯兆庆. 中国科学: 物理学力学天文学, 2023, 53: 50. doi: 10.1360/SSPMA-2022-0473 LIU H J, FENG Z Q. Sci Sin Phys Mech Astro, 2023, 53: 50. (in Chinese) doi: 10.1360/SSPMA-2022-0473 [10] ZOU L, LI M, GUO C, et al. Sci China Phys Mech Astron, 2016, 59(12): 122011. doi: 10.1007/s11433-016-0358-y [11] BOHNET A, OHTSUKA N, AICHELIN J, et al. Nucl Phys A, 1989, 494(2): 349. doi: 10.1016/0375-9474(89)90028-6 [12] HAN S, SHANG X, ZUO W, et al. Phys Rev C, 2022, 106(6): 064332. doi: 10.1103/PhysRevC.106.064332 [13] LI G Q, MACHLEIDT R. Phys Rev C, 1994, 49: 566. doi: 10.1103/PhysRevC.49.566 [14] PANDHARIPANDE V, PIEPER S C. Phys Rev C, 1992, 45(2): 791. doi: 10.1103/PhysRevC.45.791 [15] CUI Y, ZHANG Y, LI Z. Chin Phys C, 2020, 44(2): 024106. doi: 10.1088/1674-1137/44/2/024106 [16] HUBER S, AICHELIN J. Nucl Phys A, 1994, 573: 587. doi: 10.1016/0375-9474(94)90232-1 [17] LI Q, LI Z, ZHAO E. Phys Rev C, 2004, 69(1): 017601. doi: 10.1103/PhysRevC.69.017601 [18] LI Q, LI Z, MAO G. Phys Rev C, 2000, 62(1): 014606. doi: 10.1103/PhysRevC.62.014606 [19] CAI X Z, FENG J, SHEN W Q, et al. Phys Rev C, 1998, 58: 572. doi: 10.1103/PhysRevC.58.572 [20] LI P, WANG Y, LI Q, et al. Phys Lett B, 2022, 828: 137019. doi: 10.1016/j.physletb.2022.137019 [21] 李庆峰, 李祝霞, BLEICHER M, 等. 原子核物理评论, 2011, 28(2): 142. doi: 10.11804/NuclPhysRev.28.02.142 LI Q F, LI Z X, BLEICHER M, et al. Nucl Phys Rev, 2011, 28(2): 142. (in Chinese) doi: 10.11804/NuclPhysRev.28.02.142 [22] ZHANG Y, LI Z, DANIELEWICZ P. Phys Rev C, 2007, 75(3): 034615. doi: 10.1103/PhysRevC.75.034615 [23] LATTIMER J, PRAKASH M. Astrophys J, 2001, 550(1): 426. doi: 10.1086/319702 [24] HOFMANN M, MATTIELLO R, AMELIN N, et al. Nucl Phys A, 1994, 566: 15c. doi: 10.1016/0375-9474(94)90605-X [25] XIAO Z, YONG G, CHEN L, et al. Eur Phys J A, 2014, 50(2): 37. doi: 10.1140/epja/i2014-14037-6 [26] FERINI G, GAITANOS T, COLONNA M, et al. Phys Rev Lett, 2006, 97(20): 202301. doi: 10.1103/PhysRevLett.97.202301 [27] LI Q, ZHAO E. Mod Phys Lett A, 2003, 18(38): 2713. doi: 10.1142/S021773230301226X [28] LI Q, LI Z, SOFF S, et al. J Phys G, 2006, 32: 407. doi: 10.1088/0954-3899/32/4/001 [29] LI Q, LI Z. Phys Lett B, 2017, 773: 557. doi: 10.1016/j.physletb.2017.09.013 [30] 李庆峰, 李祝霞. 原子核物理评论, 2018, 35(4): 374. doi: 10.11804/NuclPhysRev.35.04.374 LI Q F, LI Z X. Nucl Phys Rev, 2018, 35(4): 374. (in Chinese) doi: 10.11804/NuclPhysRev.35.04.374 [31] LIU Y, WANG Y, CUI Y, et al. Phys Rev C, 2021, 103(1): 014616. doi: 10.1103/PhysRevC.103.014616 [32] LANG A, CASSING W, MOSEL U, et al. Nucl Phys A, 1992, 541(3): 507. doi: 10.1016/0375-9474(92)90189-Q [33] CUGNON J, MIZUTANI T, VANDERMEULEN J. Nucl Phys A, 1981, 352(3): 505. doi: 10.1016/0375-9474(81)90427-9 [34] MAO G, LI Z, ZHUO Y. Phys Rev C, 1996, 53(6): 2933. doi: 10.1103/PhysRevC.53.2933 [35] TONDEUR F, BRACK M, FARINE M, et al. Nucl Phys A, 1984, 420(2): 297. doi: 10.1016/0375-9474(84)90444-5 [36] ROBLEDO L, RODRÍGUEZ T, RODRÍGUEZ-GUZMÁN R. J Phys G, 2018, 46(1): 013001. doi: 10.1088/1361-6471/aadebd [37] LIU Z, XIA C, LU W, et al. Phys Rev C, 2018, 98(2): 024316. doi: 10.1103/PhysRevC.98.024316 [38] MACHLEIDT R, SAMMARRUCA F. Physica Scripta, 2016, 91(8): 083007. doi: 10.1088/0031-8949/91/8/083007 [39] HOFMANN F, KEIL C, LENSKE H. Phys Rev C, 2001, 64(3): 034314. doi: 10.1103/PhysRevC.64.034314 [40] RADUTA A R. Phys Lett B, 2021, 814: 136070. doi: 10.1016/j.physletb.2021.136070 [41] LI Q, LI Z. Sci China Phys Mech Astron, 2019, 62: 1. doi: 10.1007/s11425-017-9341-1 [42] SONG T, KO C M. Phys Rev C, 2015, 91(1): 014901. doi: 10.1103/PhysRevC.91.014901 [43] TER HAAR B, MALFLIET R. Phys Rev C, 1987, 36(4): 1611. doi: 10.1103/PhysRevC.36.1611 -
首页
登录
注册


下载: