中低能区程函近似的复径迹修正及其对核半径的分析

上一篇

下一篇

王赢鹤, 庞丹阳, 陈文棣, 许祎萍, 海文龙, 陈睿颖. 中低能区程函近似的复径迹修正及其对核半径的分析[J]. 原子核物理评论, 2024, 41(1): 360-365. doi: 10.11804/NuclPhysRev.41.2023CNPC57
引用本文: 王赢鹤, 庞丹阳, 陈文棣, 许祎萍, 海文龙, 陈睿颖. 中低能区程函近似的复径迹修正及其对核半径的分析[J]. 原子核物理评论, 2024, 41(1): 360-365. doi: 10.11804/NuclPhysRev.41.2023CNPC57
Yinghe WANG, Danyang PANG, Wendi CHEN, Yiping XU, Wenlong HAI, Ruiying CHEN. Complex Trajectory Correction to Eikonal Approximation in Low-intermediate Energy and Analyses of Nuclear Radii[J]. Nuclear Physics Review, 2024, 41(1): 360-365. doi: 10.11804/NuclPhysRev.41.2023CNPC57
Citation: Yinghe WANG, Danyang PANG, Wendi CHEN, Yiping XU, Wenlong HAI, Ruiying CHEN. Complex Trajectory Correction to Eikonal Approximation in Low-intermediate Energy and Analyses of Nuclear Radii[J]. Nuclear Physics Review, 2024, 41(1): 360-365. doi: 10.11804/NuclPhysRev.41.2023CNPC57

中低能区程函近似的复径迹修正及其对核半径的分析

    作者简介: 王赢鹤 (1998–),男,黑龙江黑河人,硕士,从事核反应理论研究;E-mail: sy2019142@buaa.edu.cn .
    通讯作者: 庞丹阳,E-mail: dypang@buaa.edu.cn
  • 中图分类号: O571.42

Complex Trajectory Correction to Eikonal Approximation in Low-intermediate Energy and Analyses of Nuclear Radii

    Corresponding author: E-mail: dypang@buaa.edu.cn
  • MSC: O571.42

  • 摘要: 分别比较了包含库仑力、库仑力+核力实部及库仑力+核力(实部及虚部)三种情况下的程函近似的径迹修正方法。通过入射能为12.5~50 MeV/u 时16O在12C、63Cu和208Pb靶上的弹性散射角分布计算表明了包含核力虚部的复径迹修正方法的重要性。这样的修正方法对于轻靶、中等质量靶上的计算尤为重要。利用复径迹修正下的程函近似重新分析了入射能约为25~65 MeV/u时轻-重核6−9, 11Li、9−12Be、10−15B、11, 12, 14−18C、14, 16−19N、及15, 17, 19−21O在natCu靶上的总反应截面数据并得到了相应弹核核物质密度分布的方均根半径。Liatard等利用Glauber 模型分析该数据得到的方均根半径结果与Ozawa等利用Glauber 模型分析入射能约为650~1 020 MeV/u时高能总相互作用截面数据得到的半径结果间整体性偏差为7.7%,而本文半径分析结果与高能结果间的整体性偏差为1.9%。
  • 加载中
  • 图 1  入射能分别为(a) 12.5 MeV/u,(b) 25 MeV/u,和(c) 50 MeV/u的条件下16O分别在208Pb靶上的弹性散射角分布(比卢瑟福截面)(在线彩图)

    图 2  图1,靶为63Cu

    图 3  图1,靶为12C

    图 4  不同的弹核密度分布对应的折叠模型势

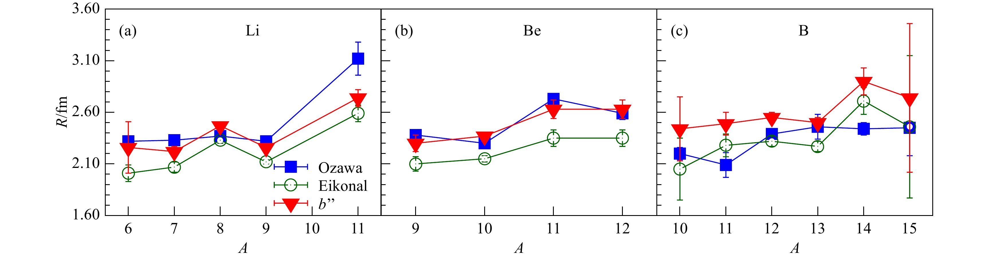
    图 5  (a) 6−9, 11Li、(b) 9−12Be、(c) 10−15B 的核物质分布的均方根半径(在线彩图)

    图 6  图5,但是弹核为 (a) 11, 12, 14−18C、(b) 14, 16−19N、和(c) 15, 17, 19−21O

  • [1] KOSZORÚSS Á, YANG X F, JIANG W G, et al. Nature Physics, 2021, 17(4): 439. doi: 10.1038/s41567-020-01136-5
    [2] YANG X, WANG S, WILKINS S, et al. Progress in Particle and Nuclear Physics, 2023, 129: 104005. doi: 10.1016/j.ppnp.2022.104005
    [3] FRICKE G, BERNHARDT C, HEILIG K, et al. Atomic Data and Nuclear Data Tables, 1995, 60(2): 177. doi: 10.1006/adnd.1995.1007
    [4] SUDA T. Journal of Physics: Conference Series, 2022, 2391(1): 012004. doi: 10.1088/1742-6596/2391/1/012004
    [5] TSUKADA K, ENOKIZONO A, OHNISHI T, et al. Phys Rev Lett, 2017, 118: 262501. doi: 10.1103/PhysRevLett.118.262501
    [6] RUTHERFORD E. The London, Edinburgh, and Dublin Philosophical Magazine and Journal of Science, 1911, 21(125): 669. doi: 10.1080/14786440508637080
    [7] GILS H, REBEL H, FRIEDMAN E. Phys Rev C, 1984, 29(4): 1295. doi: 10.1103/PhysRevC.29.1295
    [8] ZENIHIRO J, SAKAGUCHI H, MURAKAMI T, et al. Phys Rev C, 2010, 82: 044611. doi: 10.1103/PhysRevC.82.044611
    [9] TERASHIMA S, SAKAGUCHI H, TAKEDA H, et al. Phys Rev C, 2008, 77(2): 024317. doi: 10.1103/PhysRevC.77.024317
    [10] GILS H J, REBEL H. Phys Rev C, 1976, 13: 2159. doi: 10.1103/PhysRevC.13.2159
    [11] ROCA-MAZA X, CENTELLES M, VIÑAS X, et al. Phys Rev Lett, 2011, 106: 252501. doi: 10.1103/PhysRevLett.106.252501
    [12] TSANG M B, STONE J R, CAMERA F, et al. Phys Rev C, 2012, 86: 015803. doi: 10.1103/PhysRevC.86.015803
    [13] HORIUCHI W, SUZUKI Y, INAKURA T. Phys Rev C, 2014, 89: 011601. doi: 10.1103/PhysRevC.89.011601
    [14] JAKOBSON M J, BURLESON G R, CALARCO J R, et al. Phys Rev Lett, 1977, 38: 1201. doi: 10.1103/PhysRevLett.38.1201
    [15] GILS H, FRIEDMAN E, REBEL H. Kfk: Radial Sensitivity of Hadronic Probes and How Accurately Are Nuclear Radii Determined[M].Kernforschungszentrum: Karlsruhe, 1980.
    [16] TANIHATA I, HAMAGAKI H, HASHIMOTO O, et al. Phys Rev Lett, 1985, 55: 2676. doi: 10.1103/PhysRevLett.55.2676
    [17] LIATARD E, BRUANDET J, GLASSER F, et al. Europhysics Letters, 1990, 13(5): 401. doi: 10.1209/0295-5075/13/5/004
    [18] OZAWA A, SUZUKI T, TANIHATA I. Nuclear Physics A, 2001, 693(1-2): 32. doi: 10.1016/S0375-9474(01)01152-6
    [19] SATCHLER G R, LOVE W G. Physics Reports, 1979, 55(3): 183. doi: 10.1016/0370-1573(79)90081-4
    [20] STERNHEIM M M, YOO K B. Phys Rev Lett, 1978, 41: 1781. doi: 10.1103/PhysRevLett.41.1781
    [21] HORIUCHI W, SUZUKI Y, ABU-IBRAHIM B, et al. Phys Rev C, 2007, 75: 044607. doi: 10.1103/PhysRevC.75.044607
    [22] SAINT-LAURENT M, ANNE R, BAZIN D, et al. Zeitschrift für Physik A Atomic Nuclei, 1989, 332: 457. doi: 10.1007/BF01292431
    [23] TRAN D T, ONG H J, NGUYEN T T, et al. Phys Rev C, 2016, 94: 064604. doi: 10.1103/PhysRevC.94.064604
    [24] HUSSEIN M S, REGO R, BERTULANI C A. Physics Reports, 1991, 201(5): 279. doi: 10.1016/0370-1573(91)90037-M
    [25] BERTULANI C A, DE CONTI C. Phys Rev C, 2010, 81: 064603. doi: 10.1103/PhysRevC.81.064603
    [26] TAKECHI M, FUKUDA M, MIHARA M, et al. Phys Rev C, 2009, 79: 061601. doi: 10.1103/PhysRevC.79.061601
    [27] XIANGZHOU C, JUN F, WENQING S, et al. Phys Rev C, 1998, 58: 572. doi: 10.1103/PhysRevC.58.572
    [28] AGUIAR C E, ZARDI F, VITTURI A. Phys Rev C, 1997, 56: 1511. doi: 10.1103/PhysRevC.56.1511
    [29] GUPTA S K, SHUKLA P. Phys Rev C, 1995, 52: 3212. doi: 10.1103/PhysRevC.52.3212
    [30] SHUKLA P. Phys Rev C, 2003, 67: 054607. doi: 10.1103/PhysRevC.67.054607
    [31] MEHNDIRATTA A, SHUKLA P. Nuclear Physics A, 2017, 961: 22. doi: 10.1016/j.nuclphysa.2017.02.002
    [32] HEBBORN C, CAPEL P. Phys Rev C, 2017, 96: 054607. doi: 10.1103/PhysRevC.96.054607
    [33] HEBBORN C, CAPEL P. Phys Rev C, 2018, 98: 044610. doi: 10.1103/PhysRevC.98.044610
    [34] XU Y P, PANG D Y. Phys Rev C, 2013, 87: 044605. doi: 10.1103/PhysRevC.87.044605
    [35] BAUGE E, DELAROCHE J P, GIROD M. Phys Rev C, 2001, 63: 024607. doi: 10.1103/PhysRevC.63.024607
    [36] BERTULANI C, CAMPBELL C, GLASMACHER T. Computer Physics Communications, 2003, 152(3): 317. doi: 10.1016/S0010-4655(02)00824-X
    [37] FRÖBRICH R L. Theory of Nuclear Reactions[M]. Oxford: Oxford University Press, 1996.
    [38] YANG Y Y, LIU X, PANG D Y, et al. Phys Rev C, 2018, 98: 044608. doi: 10.1103/PhysRevC.98.044608
    [39] SHEN Y, GUO B, MA T, et al. Phys Lett B, 2019, 797: 134820. doi: 10.1016/j.physletb.2019.134820
    [40] DUAN F, YANG Y, WANG K, et al. Phys Lett B, 2020, 811: 135942. doi: 10.1016/j.physletb.2020.135942
    [41] PANG D Y, YE Y L, XU F R. Phys Rev C, 2011, 83: 064619. doi: 10.1103/PhysRevC.83.064619
    [42] ALEX BROWN B. Phys Rev C, 1998, 58: 220. doi: 10.1103/PhysRevC.58.220
    [43] DE JAGER C, DE VRIES H, DE VRIES C. Atomic Data and Nuclear Data Tables, 1974, 14(5): 479. doi: 10.1016/S0092-640X(74)80002-1
  • 加载中
图( 6)
计量
  • 文章访问数:  396
  • HTML全文浏览数:  396
  • PDF下载数:  2
  • 施引文献:  0
出版历程
  • 收稿日期:  2023-08-15
  • 网络出版日期:  2024-03-15
  • 刊出日期:  2024-03-20

中低能区程函近似的复径迹修正及其对核半径的分析

    通讯作者: 庞丹阳,E-mail: dypang@buaa.edu.cn
    作者简介: 王赢鹤 (1998–),男,黑龙江黑河人,硕士,从事核反应理论研究;E-mail: sy2019142@buaa.edu.cn
  • 1. 北京航空航天大学物理学院,北京 100191
  • 2. 先进核能材料与物理北京市重点实验室,北京 100191
  • 3. 华北电力大学核科学与工程学院,北京 100049

摘要: 分别比较了包含库仑力、库仑力+核力实部及库仑力+核力(实部及虚部)三种情况下的程函近似的径迹修正方法。通过入射能为12.5~50 MeV/u 时16O在12C、63Cu和208Pb靶上的弹性散射角分布计算表明了包含核力虚部的复径迹修正方法的重要性。这样的修正方法对于轻靶、中等质量靶上的计算尤为重要。利用复径迹修正下的程函近似重新分析了入射能约为25~65 MeV/u时轻-重核6−9, 11Li、9−12Be、10−15B、11, 12, 14−18C、14, 16−19N、及15, 17, 19−21O在natCu靶上的总反应截面数据并得到了相应弹核核物质密度分布的方均根半径。Liatard等利用Glauber 模型分析该数据得到的方均根半径结果与Ozawa等利用Glauber 模型分析入射能约为650~1 020 MeV/u时高能总相互作用截面数据得到的半径结果间整体性偏差为7.7%,而本文半径分析结果与高能结果间的整体性偏差为1.9%。

English Abstract

    • 核子密度分布对应的方均根半径是原子核的基本属性之一。从实验上来讲,同位素移位法[12]和电子散射[35]能够给出精确的原子核电荷半径的信息。然而到目前为止,利用电磁相互作用探针对短寿命、低束流密度的放射性核进行研究仍存在不少技术上的困难。这种情况下,著名的卢瑟福散射实验中[6]所采用的强相互作用探针仍然是测量原子核方均根半径的重要方法[79]。此外,电磁相互作用探针仅对原子核的电荷密度分布敏感,而强相互作用探针对原子核中的质子和中子密度分布都敏感,这对于核结构和核天体物理的研究是十分有利的[1013]

      利用强相互作用探针测量核半径,通常通过测量介子[14]、质子[89]及α粒子[7, 10, 15]在原子核上的弹性散射角分布和/或总反应截面实现。自20世纪80年代以来,对于总反应截面、总相互作用截面的测量手段不断精进[1618]。从本质上来讲,这些方法都会结合折叠模型[19]来进行计算。折叠模型利用介子-核子或核子-核子间的有效相互作用及弹核和/或靶核的核子密度分布来构建弹-靶光学势。在假定有效相互作用是已知的前提下,通过调整核子的密度分布以复现实验上测量到的弹性散射角分布或总反应截面/总相互作用截面,便可以获取弹核或靶核的方均根半径。因此,采用强相互作用探针获取的方均根半径信息不可避免地具有模型依赖性[15, 20]。为了尽可能地减少理论分析带来的不确定性,相关实验一般设定在几百MeV/u或更高的能区,采用Glauber模型进行理论分析。Glauber模型通常采用光学极限近似方法利用参数化的自由核子-核子总截面、核子-核子散射振幅实部与虚部的比值及有限程参数来构建散射相移。在高能区内,这种方法能够很好又方便地描述各种核反应过程[16, 18, 21]

      然而也有很多实验是在中低入射能条件下[2223]进行的。对这些数据的描述需要更加细致的理论模型。对于Glauber模型来讲,则要考虑各种介质效应的影响,如有效核子-核子相互作用的泡利阻塞效应[2425]、核中核子动量分布的费米运动效应[26]、核子-核子相互作用的密度依赖性[27]等。除此之外,Glauber模型所采用的程函近似通过对相互作用势的直线径迹积分来计算核相移。这种方法对于分析高能条件下的核反应是适用的,但是在中低能条件下则需要考虑由库仑力以及核力对入射粒子径迹的扭曲作用[2833]。引入径迹修正可以有效地扩展Glauber模型/程函近似的适用范围,从而在广泛的能区内对核反应数据进行系统性的分析以获得一致的核结构信息。20世纪90年代,Liatard等[22]利用Glauber模型对Li、Be、B、C、N、O等同位素在natCu靶上的总反应截面数据[22](入射能约25~65 MeV/u)进行了系统性的分析[17]。他们得到的弹核的方均根半径整体上比利用高能总相互作用截面得到的结果[18]偏高7.7%左右。这种整体性差异的产生原因自Liatard等[17]的文章发表以来未有针对性的回答。

      本文尝试采用引入径迹修正的程函近似来解释上述的半径分析间的整体性差异问题。在中低能区的理论分析中,若采用有效核子-核子相互作用作为输入,则需要考虑介质效应的影响,而介质效应的理论应用方法仍然存在争议,为了避免因此带来的不确定性,本文采用系统学单折叠核-核光学势[34]作为输入。这样的折叠势基于核子-核势的半微观JLMB模型[35],它可以有效地包含所谓的介质效应并适用于当前分析。对于程函近似中直线径迹的修正一般采用转折点修正方法[28],与此相关的径迹修正文章有很多,但是很少有研究观察这些修正方法在结合总反应截面数据抽取方均根半径上的效果。本文首先在第1节中介绍由库仑力、核力引起的径迹扭曲效应,并通过与量子散射理论精确结果作比较,来观察各种径迹修正对弹性散射角分布计算的改善效果。随后的第2节将给出利用复径迹修正下的程函近似复现Saint等[22]的总反应截面数据后得到的核子密度分布对应的方均根半径结果。在第3节总结全文并给出结论。

    • 考虑以库仑力$ V_{\mathrm{C}}(r) $、核力$ U_{\mathrm{N}}(r) $为相互作用的两体弹-靶系统:

      其中r为两体质心间的距离。引入碰撞参数b,它所在的平面垂直于定义在入射方向上的z轴,有$ r=\sqrt{{\boldsymbol{b}}^2 +{\textit{z}}^2} $。在程函近似下,核相移可表示为

      此时库仑相移$\chi_{\mathrm{C}}^{}$[36]可以表示为

      $ k=\sqrt{2\mu E}/\hbar $为质心系下波数,其中μE分别为质心系下的折合质量及能量;b是碰撞参数b的模值,下文直称b为碰撞参数;$\eta=Z_1Z_2e^2/\hbar v$为索末菲尔德参量,e为基本电荷量,Z1Z2分别为弹核、靶核的电荷数,v是质心系下的相对运动速度。弹性散射振幅可以表示为

      θ是质心下的散射角;$ q=2k\sin(\theta/2) $是转移动量;J0是零阶贝塞尔函数;$ f_{\mathrm{C}}(\theta) $是库仑散射振幅:

      $\sigma_0(\eta)= {\mathrm{arg}} \Gamma (1+{\mathrm{i}}\eta/2)$S波库仑相移。程函近似的S矩阵为$S(b)={\mathrm{e}}^{{\mathrm{i}}\chi_{\mathrm{N}}^{}(b)}$,借此可以获取总反应截面$\sigma_{\mathrm{R}}^{}$

      程函近似描述弹核以直线径迹穿越反应区域,这样的图景更适用于高能反应。当入射能较低时,由库仑力和(或)核力引起的径迹扭曲效应必须被考虑进来,即径迹修正。径迹修正的通常做法是在计算弹性散射以及总反应截面时(见式(4)式(6)),将核相移或S矩阵的宗量b用对应的最近碰撞距离d代替,即$\chi_{\mathrm{N}}^{}(b)\rightarrow \chi_{\mathrm{N}}^{}(d)$,或$ S(b)\rightarrow S(d) $[2833]。在经典散射理论中,碰撞参数b对应的最近碰撞距离d是如下方程的解[37]

      其中$ L=kb-1/2 $为碰撞参数b对应的角动量。在弹核和靶核之间的径向距离$ r=d $时,弹核与靶核之间的径向相对运动速度为零。根据式(7)$ U(d) $所包含的相互作用的不同,可以得到三种径迹修正:1) 库仑径迹修正,即$ U(d) $只包含库仑势;2) 库仑+核力实部径迹修正,即$ U(d) $包含库仑势及核势的实部;3) 复径迹修正,即$ U(d) $中同时包含库仑势及核势的实部和虚部。在下文中,这三种最小碰撞距离分别表示为bcb',及b''。显然,bcb'是实的,而b''是复的。

      为了考察以上三种径迹修正对中低能程函近似的影响,本文分析了入射能在12.5,25和50 MeV/u条件下16O在重靶208Pb、中等质量靶63Cu、及轻靶12C上的弹性散射角分布。计算中采用的相互作用为系统学单折叠核-核光学势[34]图1中给出了208Pb靶上无修正以及包含径迹修正条件下的程函近似的结果与采用量子散射理论的精确解的比较。整体上本文的结果与Aguiar等[28]的结果一致。在这个弹-靶体系中,库仑力占相互作用的主要成分,所以库仑径迹修正的效果十分显著,且另外两种径迹修正的结果与其十分接近。总体上来看,当入射能达到25 MeV/u及以上时,在208Pb这样的重靶上三种径迹修正的效果十分接近。而图2的结果表明,对于电荷数更少的63Cu靶来说,仅考虑库仑径迹修正是不足够的,核力的影响必须被包含进来。值得关注的是,当考虑核力参与径迹修正时,核力的实部及虚部的贡献都很重要。对于电荷数最少的12C靶来说,前述结论得到更明显的印证,如图3所示。在仅考虑库仑+核力实部的影响下,径迹修正后的弹性散射角分布结果在大角度会大幅度超过精确解结果;而包含了核力虚部的吸收效应的复径迹修正结果可以有效改善这一问题。综合结果表明,同时考虑了库仑力和核力(实部+虚部)的复径迹修正给出的结果与精确解最为接近。

    • 鉴于复径迹修正下的程函近似在估计16O在中等质量靶63Cu上的弹性散射角分布的良好效果,本文用该方法重新分析中低能的总反应截面数据[22]并探究中低能数据给出的半径结果[17]与高能数据给出的半径结果[18]之间整体性差异的产生原因。所采用的实验数据产自natCu靶,本文的分析中将其视作63Cu靶。系统学单折叠势[34]可以在当前研究能区很好地描述轻-重核的弹性散射角分布和总反应截面[3840],以它作为光学势输入,利用复径迹修正下程函近似给出了6−9, 11Li、9−12Be、10−15B、11, 12, 14−18C、14, 16−19N、15, 17, 19−21O同位素在63Cu靶上的总反应截面理论计算结果。由于系统学单折叠势的构建过程中需要以弹核核子(质子及中子)密度分布和靶核的物质密度分布作为输入,因此为了研究弹核的方均根半径,首先要确定靶核的方均根半径。

      本文引入伸缩系数a在保证核子密度分布归一化的前提下,利用$ \rho(r)\rightarrow \rho(r/a)/a^3 $对靶核63Cu的核子密度分布进行调整,采用光学模型结合单折叠α-粒子势[41]给出总反应截面估计值并匹配实验数据[22]以确定靶核的密度分布(方均根半径)。最初的密度分布$ \rho(r) $来自采用SkX相互作用[42]的Hartree-Fock计算,在伸缩操作时将质子、中子和电荷密度分布同等改变。匹配实验数据后给出的63Cu的方均根电荷半径为3.968 fm,这个结果与natCu靶上的电子散射实验给出的结果(3.932±0.022) fm[43]十分接近,此时对应的63Cu的核物质方均根半径为3.896 fm。

      在靶核的方均根半径确定的情况下,通过以下步骤来确定6−9, 11Li、9−12Be、10−15B、11, 12, 14−18C、14, 16−19N、15, 17, 19−21O同位素的方均根半径:1) 利用SkX相互作用结合Hatree-Fock计算给出弹核的核子密度分布$\rho^{{\mathrm{HF}}}_{{\mathrm{p}},\,{\mathrm{n}}}(r)$,再利用该密度分布算出相应的系统学单折叠势;2) 以系统学单折叠势作输入结合复径迹修正下的程函近似计算总反应截面值$ \sigma_{\mathrm{R}} $;3) 对弹核的核子密度分布进行伸缩调整并重复计算系统学单折叠势及理论截面值,直至理论计算给出的总反应截面结果$ \sigma_{\mathrm{R}} $与实验数据结果一致。至此,弹核的方均根半径$ R_{\mathrm{p}} $便通过其核子密度分布确定了下来。作为一个例子,图4中显示了采用不同伸缩系数α (α = 0.9, 1.0, 1.1)条件下10Be的核物质密度分布以及相应的10Be在63Cu靶上的光学势,其中10Be的入射能为30.8 MeV/u。可见随着a不同(对应核物质分布半径不同)折叠模型势的深度及形状均发生变化,这进而会引起理论预言的总反应截面的变化。因此,我们可以利用实验测量得到的总反应截面来得到原子核物质分布的均方根半径的信息。理论分析给出的方均根半径的不确定度$ \Delta_{R_{\mathrm{p}}} $通过总反应截面实验数据的不确定度给出:$\Delta_{R_{\mathrm{p}}}=(R_{\mathrm{p}} + R_{\mathrm{T}})\times \Delta _{\sigma_{\mathrm{R}}^{} }/2\sigma_{\mathrm{R}}^{}$,其中$ R_{\mathrm{T}} $为已知的靶核半径。部分弹核存在不同入射能下的多个数据点,它们的半径结果由各个数据点对应的半径加权平均得到,权重$ \omega^{i}= (1/\Delta_{R^{i}_{\mathrm{p}}})^2 $;不确定度δ由各数据点对应半径的不确定度合成:$ \delta = (\sum_{i} \omega^{i})^{-1/2} $。最终的半径结果如图5图6所示。由Liatard等[17]得到的中低能实验数据半径分析结果与利用高能实验数据进行光学极限近似Glauber模型给出的半径结果之间的百分比加权平均偏差为7.7%,标准偏差为7.1%;引入了复径迹修正的程函近似给出的结果将平均偏差缩小至1.9%,对应的标准偏差为7.2%。值得注意的是,Liatard等[17]曾在指出,文献[22]中11Li这样的弱束缚核的总反应截面$ \sigma_{\mathrm{R}} $的测量结果存在一些问题,而这样的问题也可能存在于单中子分离能小于1.0 MeV的弱束缚核11Be、14B及17C的测量中。在除去上述弱束缚核的分析结果后,前后两个百分比平均偏差将分别变为7.4%和1.8%。

    • 本文利用程函近似方法系统分析了每核子入射能在12.5~50 MeV范围内的16O在12C、63Cu和208Pb靶上的弹性散射截面,考察了库仑势、库仑势+实部核势以及库仑势+复数核势对程函近似中粒子直线径迹扭曲作用的影响。通过与采用量子散射理论得到的精确解的比较,表明同时考虑了库仑势+复数核势影响的复径迹修正下的程函近似可以在中低能区给出与精确解十分接近的弹性散射截面。复径迹修正的效果在轻靶、中等质量靶上尤为明显。

      本文在采用复径迹修正的情况下,利用程函近似重新分析了Saint等[22]测量的约20~65 MeV/u入射能条件下6−9, 11Li、9−12Be、10−15B、11, 12, 14−18C、14, 16−19N、15, 17, 19−21O在natCu靶上的总反应截面数据,获得了相应弹核核物质密度分布的方均根半径。本文的结果表明,在不考虑复径迹修正的情况下,由这些中低能总反应截面数据得到的核半径比Ozawa等[18]利用高能总相互作用截面得到的核半径整体上偏小了7.5%左右,在考虑了复径迹修正的条件下,该整体偏差大大降低为1.9%左右。这远小于Liatard等[17]的低能数据分析结果与Ozawa等[18]的高能数据分析结果之间约7.7%的整体偏差[17]。结果表明,在采用复径迹修正的条件下,利用程函近似(或Glauber模型)分析中低能总反应截面得到的核半径和通过分析高能总反应截面或总相互作用截面得到的核半径之间可以达到相当好的一致性。

    参考文献 (43)

目录

/

返回文章
返回