高压下多元硼碳基高温超导体的研究进展

上一篇

下一篇

贾欣芮, 刘爱玲, 钟鑫, 刘寒雨. 高压下多元硼碳基高温超导体的研究进展[J]. 高压物理学报, 2025, 39(9): 090201-1. doi: 10.11858/gywlxb.20251074
引用本文: 贾欣芮, 刘爱玲, 钟鑫, 刘寒雨. 高压下多元硼碳基高温超导体的研究进展[J]. 高压物理学报, 2025, 39(9): 090201-1. doi: 10.11858/gywlxb.20251074
Xinrui JIA, Ailing LIU, Xin ZHONG, Hanyu LIU. Research Progress in Multi-Boron-Carbon-Based High-Temperature Superconductors under High Pressures[J]. gaoyawli, 2025, 39(9): 090201-1. doi: 10.11858/gywlxb.20251074
Citation: Xinrui JIA, Ailing LIU, Xin ZHONG, Hanyu LIU. Research Progress in Multi-Boron-Carbon-Based High-Temperature Superconductors under High Pressures[J]. gaoyawli, 2025, 39(9): 090201-1. doi: 10.11858/gywlxb.20251074

高压下多元硼碳基高温超导体的研究进展

    作者简介: 贾欣芮(2002-),女,硕士研究生,主要从事极端高压下的计算凝聚态物理研究.E-mail:1797562314@qq.com .
    通讯作者: 钟 鑫(1988-),女,博士,副教授,主要从事高压下反常化学计量比化合物的结构设计和物性模拟研究. E-mail:zx777@jlu.edu.cn;  刘寒雨(1984-),男,博士,教授,主要从事极端高压下的计算凝聚态物理研究.E-mail:lhy@calypso.cn
  • 中图分类号: O521.2

Research Progress in Multi-Boron-Carbon-Based High-Temperature Superconductors under High Pressures

    Corresponding authors: Xin ZHONG, zx777@jlu.edu.cn ;  Hanyu LIU, lhy@calypso.cn
  • MSC: O521.2

  • 摘要: 超导材料在超导临界温度以下呈现出零电阻和完全抗磁性(迈斯纳效应)等独特的量子特性,这使其在能源输运和交通运输等多个领域具有革命性应用潜力。因此,突破液氮温区(77 K)的高温超导体探索始终是凝聚态物理领域的研究焦点。近年来,基于Bardeen-Cooper-Schrieffer(BCS)理论框架,人们发现,除了富氢超导体外,具有强共价键特征的轻质元素化合物(如硼碳基材料)也可以诱导产生强电子-声子耦合,从而实现超过液氮温区的超导电性,且在吉帕压强下表现出优异的结构稳定性。硼碳基超导体的相关研究,如MgB2及其衍生的层状硼碳基超导体、基于方钠石笼型结构的硼碳基超导体以及其他具有特殊结构的硼碳基超导体等,已经成为该领域的新兴研究热点。为此,聚焦近年来硼碳基超导体的研究进展,系统地介绍硼碳基超导体的超导机制,并展望未来在硼碳基化合物中探索高温超导体面临的挑战。
  • 加载中
  • 图 1  吉帕压强下的碳基超导体[20, 2236](麦克米兰极限40 K,液氮沸点77 K)

    Figure 1.  Carbon-based superconductors under gigapascal pressures[20, 2236] (McMillan-limit 40 K, boiling point of liquid nitrogen 77 K)

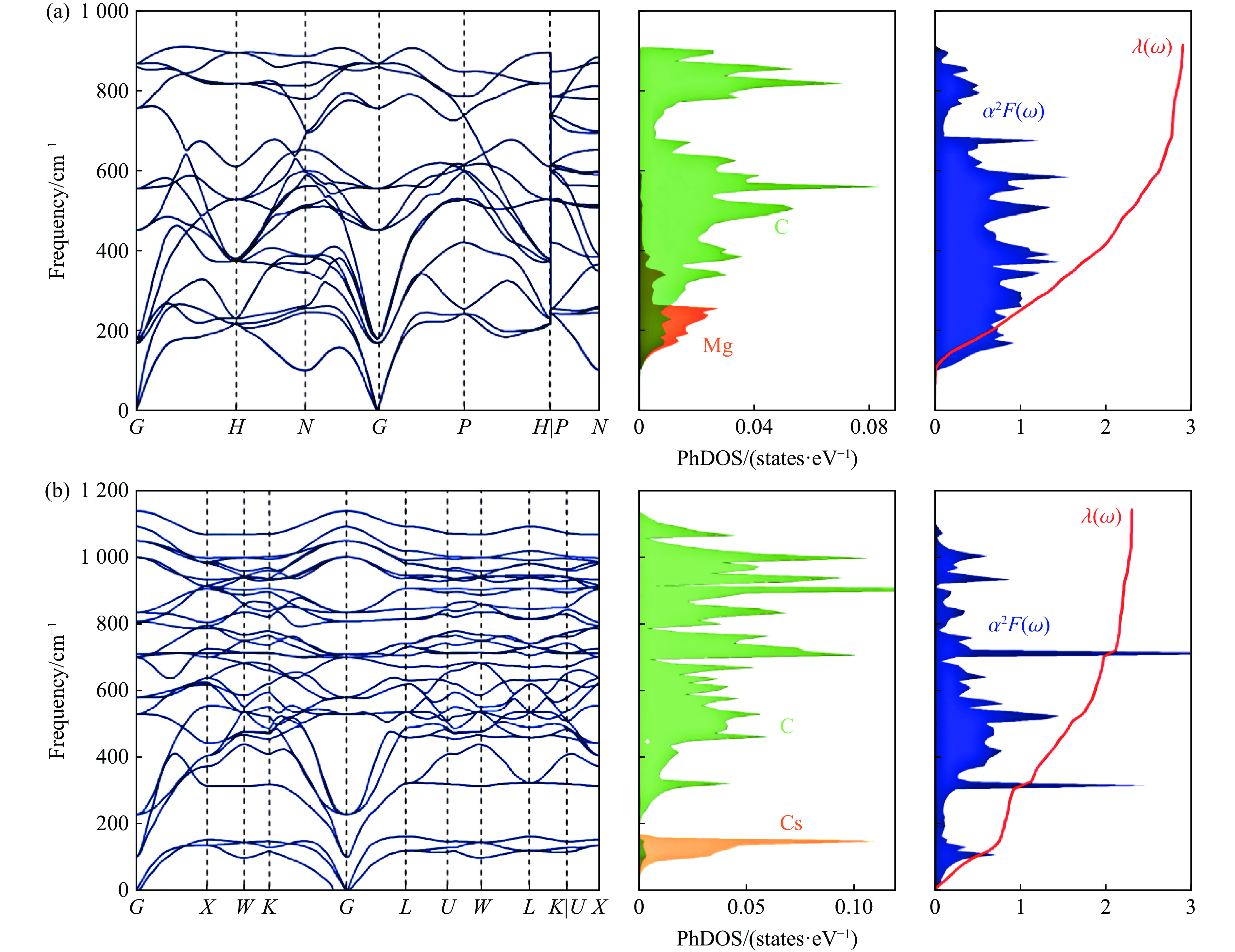
    图 2  压缩应变 ε=−4%下C2CaC2的声子谱(其权重为电声耦合强度)(a)以及不同压缩应变(ε=0, −2%, −4%)下的声子谱(b)、总投影态密度(c)、Eliashberg谱函数α2F(ω)和电声耦合函数 λ(ω) (d)[25]

    Figure 2.  Phonon spectra of C2CaC2 at compressive strain ε=−4%, and its weight is the magnitude of EPC (a), and phonon spectra (b), the total projected density of states (PhDOS)(c), Eliashberg spectral function α2F(ω), and EPC function λ(ω) (d) for the pristine and with compressive strain ε=0, −2%, −4%, respectively[25]

    图 3  MgC6 (a) 和CsC10 (b) 的声子谱、声子投影态密度、Eliashberg谱函数以及λ(ω)[27]

    Figure 3.  Phonon spectra, PhDOS of phonon, Eliashberg spectral function and λ(ω) of MgC6 (a) and CsC10 (b)[27]

    图 4  通过机械点接触光谱测得的TaC (a)和NbC (b)的电导曲线随温度的变化(插图表示零偏压电导G随温度T的变化[20])以及在磁场H=20 Oe的条件下测得的Ti0.2Zr0.2Nb0.2Mo0.2Ta0.2C (c)和Ti0.2Zr0.2Nb0.2Mo0.2Ta0.2C0.8 (d)的零场冷却体积磁化率随温度的变化[32]GN为归一化电导率,V为偏压,χ为磁化率,N为退磁因子)

    Figure 4.  Temperature-dependent conductance curves for mechanical point-contact spectroscopy (MPCS) on TaC (a) and NbC (b), where the insets show the zero-bias conductance (G) as a function of temperature[20]; temperature dependence of the zero-field-cooled (ZFC) magnetic susceptibility measured in a magnetic field (H) of 20 Oe for Ti0.2Zr0.2Nb0.2Mo0.2Ta0.2C (c) and Ti0.2Zr0.2Nb0.2Mo0.2Ta0.2C0.8 (d)[32] (GN, V, χ, N represents normalized conductance, bias voltage, magnetic susceptibility and demagnetization factor, respectively.)

    图 5  吉帕压强下的硼基超导体[6381](麦克米兰极限40 K,液氮沸点77 K)

    Figure 5.  Boron-based superconductors under gigapascal pressures[6381] (McMillan-limit 40 K, boiling point of liquid nitrogen 77 K)

    图 6  (a) WB2的电阻率随温度的变化,(b) MgB2P6/mmm)、WB2P63/mmc)和ReB2P63/mmc)的晶体结构[77]

    Figure 6.  (a) Temperature-dependent resistivity of WB2; (b) crystal structures of MgB2 (P6/mmm), WB2 (P63/mmc) and ReB2 (P63/mmc)[77]

    图 7  BaB8和TlB8的能带结构、DOS、声子谱、PhDOS、Eliashberg谱函数以及λ(ω)[80]

    Figure 7.  Band structures, density of states, phonon spectra, PhDOS, Eliashberg spectral function, and λ(ω) of BaB8 and TlB8[80]

    图 8  在40 GPa的压强下Sr2B5的(a)能带和DOS、(b)声子谱、Eliashberg谱函数以及电子-声子耦合积分[21]

    Figure 8.  (a) Band structure and DOS, (b) phonon spectra, Eliashberg spectral function, and electron-phonon coupling integral of Sr2B5 at 40 GPa[21]

    图 9  吉帕压强下的多元硼碳基超导体[1618, 95114](麦克米兰极限40 K,液氮沸点77 K)

    Figure 9.  Boron-carbon-based superconductors under gigapascal pressures[1618, 95114] (McMillan-limit 40 K, boiling point of liquid nitrogen 77 K)

    图 10  MgB3C3的能带结构和DOS (a)、声子谱(b)以及沿G-Α方向(20.3 THz)的双重简并E′声子模式振动与电子之间的强耦合(c)[16]

    Figure 10.  Band structure and DOS (a), phonon spectra (b), and the strong coupling between the vibration of two fold phonons for double degenerate E′ mode along the G-Α direction (20.3 THz) and electrons (c) of MgB3C3[16]

    图 11  (a) Tc随压强p变化的函数关系(插图展示了对数平均声子频率ωlog、费米面处电子态密度NF以及λ随压强变化的关系),(b)样品在不同压强下的多次冷却实验中归一化电阻(R/Rmax)变化曲线(插图展示了SrB3C3Tc的实验结果)[18]

    Figure 11.  (a) Tc as a function of pressure (The pressure dependencies of the logarithmic mean phonon frequency ωlog, DOS at the Fermi surface NF, and λ are shown in insets.); (b) normalized resistance curves for several cooling runs at different pressures for samples (The inset shows the experimental Tc for SrB3C3)[18]

  • [1] WIGNER E, HUNTINGTON H B. On the possibility of a metallic modification of hydrogen [J]. The Journal of Chemical Physics, 1935, 3(12): 764–770. doi: 10.1063/1.1749590
    [2] ASHCROFT N W. Metallic hydrogen: a high-temperature superconductor? [J]. Physical Review Letters, 1968, 21(26): 1748–1749. doi: 10.1103/PhysRevLett.21.1748
    [3] JOHNSON K A, ASHCROFT N W. Structure and bandgap closure in dense hydrogen [J]. Nature, 2000, 403(6770): 632–635. doi: 10.1038/35001024
    [4] STÄDELE M, MARTIN R M. Metallization of molecular hydrogen: predictions from exact-exchange calculations [J]. Physical Review Letters, 2000, 84(26): 6070–6073. doi: 10.1103/PhysRevLett.84.6070
    [5] ASHCROFT N W. Hydrogen dominant metallic alloys: high temperature superconductors? [J]. Physical Review Letters, 2004, 92(18): 187002. doi: 10.1103/PhysRevLett.92.187002
    [6] DUAN D F, LIU Y X, TIAN F B, et al. Pressure-induced metallization of dense (H2S)2H2 with high-Tc superconductivity [J]. Scientific Reports, 2014, 4: 6968. doi: 10.1038/srep06968
    [7] WANG H, TSE J S, TANAKA K, et al. Superconductive sodalite-like clathrate calcium hydride at high pressures [J]. Proceedings of the National Academy of Sciences of the United States of America, 2012, 109(17): 6463–6466. doi: 10.1073/pnas.1118168109
    [8] MA L, WANG K, XIE Y, et al. High-temperature superconducting phase in clathrate calcium hydride CaH6 up to 215 K at a pressure of 172 GPa [J]. Physical Review Letters, 2022, 128(16): 167001. doi: 10.1103/PhysRevLett.128.167001
    [9] KONG P P, MINKOV V S, KUZOVNIKOV M A, et al. Superconductivity up to 243 K in the yttrium-hydrogen system under high pressure [J]. Nature Communications, 2021, 12(1): 5075. doi: 10.1038/s41467-021-25372-2
    [10] LIU H Y, NAUMOV I I, HOFFMANN R, et al. Potential high-Tc superconducting lanthanum and yttrium hydrides at high pressure [J]. Proceedings of the National Academy of Sciences of the United States of America, 2017, 114(27): 6990–6995. doi: 10.1073/pnas.1704505114
    [11] SOMAYAZULU M, AHART M, MISHRA A K, et al. Evidence for superconductivity above 260 K in lanthanum superhydride at megabar pressures [J]. Physical Review Letters, 2019, 122(2): 027001. doi: 10.1103/PhysRevLett.122.027001
    [12] HONG F, YANG L X, SHAN P F, et al. Superconductivity of lanthanum superhydride investigated using the standard four-probe configuration under high pressures [J]. Chinese Physics Letters, 2020, 37(10): 107401. doi: 10.1088/0256-307X/37/10/107401
    [13] NAGAMATSU J, NAKAGAWA N, MURANAKA T, et al. Superconductivity at 39 K in magnesium diboride [J]. Nature, 2001, 410(6824): 63–64. doi: 10.1038/35065039
    [14] AN J M, PICKETT W E. Superconductivity of MgB2: covalent bonds driven metallic [J]. Physical Review Letters, 2001, 86(19): 4366–4369. doi: 10.1103/PhysRevLett.86.4366
    [15] BOERI L, KORTUS J, ANDERSEN O K. Three-dimensional MgB2-type superconductivity in hole-doped diamond [J]. Physical Review Letters, 2004, 93(23): 237002. doi: 10.1103/PhysRevLett.93.237002
    [16] PHAM T T, NGUYEN D L. First-principles prediction of superconductivity in MgB3C3 [J]. Physical Review B, 2023, 107(13): 134502. doi: 10.1103/PhysRevB.107.134502
    [17] LI Y P, YANG L, LIU H D, et al. Superconductivity in alkali metal-deposited monolayer BC: MBC (M=Na, K) [J]. Journal of Low Temperature Physics, 2024, 217(5): 735–748. doi: 10.1007/s10909-024-03227-6
    [18] ZHU L, LIU H Y, SOMAYAZULU M, et al. Superconductivity in SrB3C3 clathrate [J]. Physical Review Research, 2023, 5(1): 013012. doi: 10.1103/PhysRevResearch.5.013012
    [19] ZHU L, BORSTAD G M, LIU H Y, et al. Carbon-boron clathrates as a new class of sp3-bonded framework materials [J]. Science Advances, 2020, 6(2): eaay8361. doi: 10.1126/sciadv.aay8361
    [20] ZHANG D T, CHEN C F, YAN D Y, et al. Fully-gapped superconductivity in single crystalline NbC and TaC probed by point-contact spectroscopy [J]. Superconductor Science and Technology, 2022, 35(12): 125004. doi: 10.1088/1361-6668/ac9dc4
    [21] YANG X, ZHAO W B, MA L, et al. Prediction of fully metallic σ-bonded boron framework induced high superconductivity above 100 K in thermodynamically stable Sr2B5 at 40 GPa [EB/OL]. (2023-10-21)[2025-04-14]. https://doi.org/10.48550/arXiv.2310.13945.
    [22] LARANJEIRA J, ERREA I, DANGIĆ Đ, et al. Superconductivity in the doped polymerized fullerite clathrate from first principles [J]. Physica Status Solidi, 2024, 18(1): 2300249. doi: 10.1002/pssr.202300249
    [23] WANG X T, LIU N N, WU Y F, et al. Strong coupling superconductivity in Ca-intercalated bilayer graphene on SiC [J]. Nano Letters, 2022, 22(18): 7651–7658. doi: 10.1021/acs.nanolett.2c02804
    [24] HUEMPFNER T, OTTO F, FORKER R, et al. Superconductivity of K-intercalated epitaxial bilayer graphene [J]. Advanced Materials Interfaces, 2023, 10(11): 2300014. doi: 10.1002/admi.202300014
    [25] TAN J H, WANG H, CHEN Y J, et al. Superconductivity in Ca-intercalated bilayer graphene: C2CaC2 [J]. Physical Chemistry Chemical Physics, 2024, 26(15): 11429–11435. doi: 10.1039/d3cp06245g
    [26] YANG L, LIU P F, LIU H D, et al. Strong-coupling superconductivity with Tc above 70 K in Be-decorated monolayer T-graphene [J]. Science China Physics, Mechanics & Astronomy, 2024, 67(1): 217412.
    [27] HAI Y L, JIANG M J, TIAN H L, et al. Superconductivity above 100 K predicted in carbon-cage network [J]. Advanced Science, 2023, 10(33): e2303639. doi: 10.1002/advs.202303639
    [28] JIN S Y, KUANG X Y, DOU X L, et al. Sodalite-like carbon based superconductors with Tc about 77 K at ambient pressure [J]. Journal of Materials Chemistry C, 2024, 12(4): 1516–1522. doi: 10.1039/D3TC04096H
    [29] TSUPPAYAKORN-AEK P, EKTARAWONG A, SUKMAS W, et al. Thermodynamic stability and superconductivity of tantalum carbides from first-principles cluster expansion and isotropic Eliashberg theory [J]. Computational Materials Science, 2022, 202: 111004. doi: 10.1016/j.commatsci.2021.111004
    [30] MEENA P K , JANGID S, KUSHWAHA R K, et al. Stabilization of ambient pressure rocksalt crystal structure and high critical field superconductivity in ReC via Mo and W substitution [J]. Superconductor Science and Technology, 2025, 38(3): 035027.
    [31] ZENG L Y, WANG Z Q, SONG J, et al. Discovery of the high-entropy carbide ceramic topological superconductor candidate (Ti0.2Zr0.2Nb0.2Hf0.2Ta0.2)C [J]. Advanced Functional Materials, 2023, 33(40): 2301929. doi: 10.1002/adfm.202301929
    [32] ZENG L Y, HU X W, ZHOU Y Z, et al. Superconductivity in the high-entropy ceramics Ti0.2Zr0.2Nb0.2Mo0.2Ta0.2Cx with possible nontrivial band topology [J]. Advanced Science, 2024, 11(5): 2305054. doi: 10.1002/advs.202305054
    [33] HAO C M, LI X, OGANOV A R, et al. Superconductivity in compounds of sodium-intercalated graphite [J]. Physical Review B, 2023, 108(21): 214507. doi: 10.1103/PhysRevB.108.214507
    [34] MISHRA S B, MARCIAL E T, DEBATA S, et al. Stability-superconductivity map for compressed Na-intercalated graphite [J]. Physical Review B, 2024, 110(17): 174508. doi: 10.1103/PhysRevB.110.174508
    [35] HAO C M, DING S C, XU B, et al. Predicting a metallic carbon allotrope: pop-graphite via Na-C compounds [J]. Applied Physics Letters, 2025, 126(12): 121903. doi: 10.1063/5.0254662
    [36] DING S C, ZHU L, ZHANG X H, et al. Superconductivity in diamond-like BC15 [J]. Inorganic Chemistry, 2024, 63(40): 18781–18787. doi: 10.1021/acs.inorgchem.4c02791
    [37] ENYASHIN A N, IVANOVSKII A L. Graphene allotropes [J]. Physica Status Solidi B, 2011, 248(8): 1879–1883. doi: 10.1002/pssb.201046583
    [38] LIU Y, WANG G, HUANG Q S, et al. Structural and electronic properties of T-graphene: a two-dimensional carbon allotrope with tetrarings [J]. Physical Review Letters, 2012, 108(22): 225505. doi: 10.1103/PhysRevLett.108.225505
    [39] HANNAY N B, GEBALLE T H, MATTHIAS B T, et al. Superconductivity in graphitic compounds [J]. Physical Review Letters, 1965, 14(7): 225–226. doi: 10.1103/PhysRevLett.14.225
    [40] EMERY N, HÉROLD C, D’ASTUTO M, et al. Superconductivity of bulk CaC6 [J]. Physical Review Letters, 2005, 95(8): 087003. doi: 10.1103/PhysRevLett.95.087003
    [41] WELLER T E, ELLERBY M, SAXENA S S, et al. Superconductivity in the intercalated graphite compounds C6Yb and C6Ca [J]. Nature Physics, 2005, 1(1): 39–41. doi: 10.1038/nphys0010
    [42] CHEN W J. Superconductivity at 28 K in CaB3C3 predicted from first-principles [J]. Journal of Applied Physics, 2013, 114(17): 173906. doi: 10.1063/1.4829458
    [43] PROFETA G, CALANDRA M, MAURI F. Phonon-mediated superconductivity in graphene by lithium deposition [J]. Nature Physics, 2012, 8(2): 131–134. doi: 10.1038/nphys2181
    [44] PEŠIĆ J, GAJIĆ R, HINGERL K, et al. Strain-enhanced superconductivity in Li-doped graphene [J]. Europhysics Letters, 2014, 108(6): 67005. doi: 10.1209/0295-5075/108/67005
    [45] DAMASCELLI A, HUSSAIN Z, SHEN Z X. Angle-resolved photoemission studies of the cuprate superconductors [J]. Reviews of Modern Physics, 2003, 75(2): 473–541. doi: 10.1103/RevModPhys.75.47
    [46] GU Q Y, XING D Y, SUN J. Superconducting single-layer T-graphene and novel synthesis routes [J]. Chinese Physics Letters, 2019, 36(9): 097401. doi: 10.1088/0256-307X/36/9/097401
    [47] KANG Y T, LU C, YANG F, et al. Single-orbital realization of high-temperature superconductivity in the square-octagon lattice [J]. Physical Review B, 2019, 99(18): 184506. doi: 10.1103/PhysRevB.99.184506
    [48] QIAO S X, SUI C H, YANG L, et al. The effect of doping and strain on superconductivity of T-graphene [J]. Physical Chemistry Chemical Physics, 2022, 24(42): 25767–25772. doi: 10.1039/D2CP03155H
    [49] IWASA Y, TAKENOBU T. Superconductivity, Mott-Hubbard states, and molecular orbital order inintercalated fullerides [J]. Journal of Physics: Condensed Matter, 2003, 15(13): R495–R519. doi: 10.1088/0953-8984/15/13/202
    [50] PALSTRA T T M, ZHOU O, IWASA Y, et al. Superconductivity at 40 K in cesium doped C60 [J]. Solid State Communications, 1995, 93(4): 327–330. doi: 10.1016/0038-1098(94)00787-X
    [51] GUNNARSSON O. Superconductivity in fullerides [J]. Reviews of Modern Physics, 1997, 69(2): 575–606. doi: 10.1103/RevModPhys.69.575
    [52] SPAGNOLATTI I, BERNASCONI M, BENEDEK G. Electron-phonon interaction in carbon clathrate hex-C40 [J]. The European Physical Journal B: Condensed Matter and Complex Systems, 2003, 34(1): 63–67. doi: 10.1140/epjb/e2003-00197-0
    [53] BERNASCONI M, GAITO S, BENEDEK G. Clathrates as effective p-type and n-type tetrahedral carbon semiconductors [J]. Physical Review B, 2000, 61(19): 12689–12692. doi: 10.1103/PhysRevB.61.12689
    [54] ZIPOLI F, BERNASCONI M, BENEDEK G. Electron-phonon coupling in halogen-doped carbon clathrates from first principles [J]. Physical Review B, 2006, 74(20): 205408. doi: 10.1103/PhysRevB.74.205408
    [55] LU S Y, LIU H Y, NAUMOV I I, et al. Superconductivity in dense carbon-based materials [J]. Physical Review B, 2016, 93(10): 104509. doi: 10.1103/PhysRevB.93.104509
    [56] ALLRED A L, ROCHOW E G. A scale of electronegativity based on electrostatic force [J]. Journal of Inorganic and Nuclear Chemistry, 1958, 5(4): 264–268. doi: 10.1016/0022-1902(58)80003-2
    [57] ZHANG M, LIU H Y, LI Q, et al. Superhard BC3 in cubic diamond structure [J]. Physical Review Letters, 2015, 114(1): 015502. doi: 10.1103/PhysRevLett.114.015502
    [58] SOLOZHENKO V L, KURAKEVYCH O O, ANDRAULT D, et al. Ultimate metastable solubility of boron in diamond: synthesis of superhard diamondlike BC5 [J]. Physical Review Letters, 2009, 102(1): 015506. doi: 10.1103/PhysRevLett.102.015506
    [59] SUN D, DING J H, HUANG S S, et al. Interactions between helium, hydrogen and intrinsic point defects in TaC crystal [J]. Journal of Alloys and Compounds, 2018, 741: 900–907. doi: 10.1016/j.jallcom.2018.01.228
    [60] BALANI K, GONZALEZ G, AGARWAL A, et al. Synthesis, microstructural characterization, and mechanical property evaluation of vacuum plasma sprayed tantalum carbide [J]. Journal of the American Ceramic Society, 2006, 89(4): 1419–1425. doi: 10.1111/j.1551-2916.2005.00899.x
    [61] KRAJEWSKI A, D’ALESSIO L, DE MARIA G. Physiso-chemical and thermophysical properties of cubic binary carbides [J]. Crystal Research & Technology, 1998, 33(3): 341–374. doi: 10.1002/(SICI)1521-4079(1998)33:3<341::AID-CRAT341>3.0.CO;2-I
    [62] TEGHIL R, D’ALESSIO L, ZACCAGNINO M, et al. TiC and TaC deposition by pulsed laser ablation: a comparative approach [J]. Applied Surface Science, 2001, 173(3/4): 233–241. doi: 10.1016/S0169-4332(00)00900-4
    [63] DU J Y, LI X F, PENG F. Pressure-induced evolution of structures and promising superconductivity of ScB6 [J]. Physical Chemistry Chemical Physics, 2022, 24(17): 10079–10084. doi: 10.1039/D2CP00711H
    [64] KAFLE G P, TOMASSETTI C R, MAZIN I I, et al. Ab initio study of Li-Mg-B superconductors [J]. Physical Review Materials, 2022, 6(8): 084801. doi: 10.1103/PhysRevMaterials.6.084801
    [65] SEVIK C, BEKAERT J, PETROV M, et al. High-temperature multigap superconductivity in two-dimensional metal borides [J]. Physical Review Materials, 2022, 6(2): 024803. doi: 10.1103/PhysRevMaterials.6.024803
    [66] PEI C Y, ZHANG J F, WANG Q, et al. Pressure-induced superconductivity at 32 K in MoB2 [J]. National Science Review, 2023, 10(5): nwad034. doi: 10.1093/nsr/nwad034
    [67] ZENG S M, ZHAO Y C, ZULFIQAR M, et al. Prediction of superconductivity in sandwich XB4 (X=Li, Be, Zn and Ga) films [J]. Physical Chemistry Chemical Physics, 2023, 25(41): 28393–28401. doi: 10.1039/d3cp03427e
    [68] ZHOU C, YU H Y, ZHANG Z H, et al. First-principles study of the superconductivity of MoB2 under low pressure and its evolution under high pressure [J]. Physical Review B, 2024, 109(6): 064502. doi: 10.1103/PhysRevB.109.064502
    [69] CHEN C H, LAN Y S, HUANG A, et al. Two-gap topological superconductor LaB2 with high Tc=30 K [J]. Nanoscale Horizons, 2024, 9(1): 148–155. doi: 10.1039/D3NH00249G
    [70] TAO X R, YANG A Q, QUAN Y D, et al. Discovery of superconductivity in technetium borides at moderate pressures [J]. Physical Chemistry Chemical Physics, 2024, 26(24): 16963–16971. doi: 10.1039/D4CP00191E
    [71] CUI Z, YANG Q P, QU X, et al. A superconducting boron allotrope featuring anticlinal pentapyramids [J]. Journal of Materials Chemistry C, 2022, 10(2): 672–679. doi: 10.1039/D1TC03908C
    [72] HAN S, YU L C, LIU Y X, et al. Clathrate-like alkali and alkaline-earth metal borides: a new family of superconductors with superior hardness [J]. Advanced Functional Materials, 2023, 33(14): 2213377. doi: 10.1002/adfm.202213377
    [73] XIE H, WANG H, QIN F, et al. A fresh class of superconducting and hard pentaborides [J]. Matter and Radiation at Extremes, 2023, 8(5): 058404. doi: 10.1063/5.0157250
    [74] ZHANG P Y, TIAN Y F, YANG Y L, et al. Stable Rb-B compounds under high pressure [J]. Physical Review Research, 2023, 5(1): 013130. doi: 10.1103/PhysRevResearch.5.013130
    [75] MA Y B, DONG J, CHEN H Q, et al. Ambient-pressure hardness and superconductivity in sp2 and sp3 bonded Ce-B compounds [J]. Physical Review B, 2024, 110(13): 134515. doi: 10.1103/PhysRevB.110.134515
    [76] WANG R H, SUN Y, ZHANG F, et al. High-throughput screening of strong electron-phonon couplings in ternary metal diborides [J]. Inorganic Chemistry, 2022, 61(45): 18154–18161. doi: 10.1021/acs.inorgchem.2c02829
    [77] PEI C Y, ZHANG J F, GONG C S, et al. Distinct superconducting behaviors of pressurized WB2 and ReB2 with different local B layers[J]. Science China Physics, Mechanics & Astronomy, 2022, 65(8): 287412.
    [78] HIRE A C, SINHA S, LIM J, et al. High critical field superconductivity at ambient pressure in MoB2 stabilized in the P6/mmm structure via Nb substitution [J]. Physical Review B, 2022, 106(17): 174515. doi: 10.1103/PhysRevB.106.174515
    [79] HAN Y F, SHANG Y, WAN W H, et al. Superconductivity in two-dimensional MB4 (M=V, Nb, and Ta) [J]. New Journal of Physics, 2023, 25(10): 103019. doi: 10.1088/1367-2630/acffef
    [80] MA L, WANG L R, YUAN Y F, et al. High-temperature superconductivity in doped boron clathrates [J]. Chinese Physics Letters, 2023, 40(8): 086201. doi: 10.1088/0256-307X/40/8/086201
    [81] LIM J, HIRE A C, QUAN Y, et al. Creating superconductivity in WB2 through pressure-induced metastable planar defects [J]. Nature Communications, 2022, 13(1): 7901. doi: 10.1038/s41467-022-35191-8
    [82] LORTZ R, WANG Y, TUTSCH U, et al. Superconductivity mediated by a soft phonon mode: specific heat, resistivity, thermal expansion, and magnetization of YB6 [J]. Physical Review B, 2006, 73(2): 024512. doi: 10.1103/PhysRevB.73.024512
    [83] FISK Z, SCHMIDT P H, LONGINOTTI L D. Growth of YB6 single crystals [J]. Materials Research Bulletin, 1976, 11(8): 1019–1022. doi: 10.1016/0025-5408(76)90179-3
    [84] PALLECCHI I, BROTTO P, FERDEGHINI C, et al. Investigation of Li-doped MgB2 [J]. Superconductor Science and Technology, 2009, 22(9): 095014. doi: 10.1088/0953-2048/22/9/095014
    [85] FENG Y, ZHAO Y, PRADHAN A K, et al. Enhanced flux pinning in Zr-doped MgB2 bulk superconductors prepared at ambient pressure [J]. Journal of Applied Physics, 2002, 92(5): 2614–2619. doi: 10.1063/1.1496128
    [86] TOULEMONDE P, MUSOLINO N, FLÜKIGER R. High-pressure synthesis of pure and doped superconducting MgB2 compounds [J]. Superconductor Science and Technology, 2003, 16(2): 231–236. doi: 10.1088/0953-2048/16/2/318
    [87] AGRESTINI S, METALLO C, FILIPPI M, et al. Substitution of Sc for Mg in MgB2: effects on transition temperature and Kohn anomaly [J]. Physical Review B, 2004, 70(13): 134514. doi: 10.1103/PhysRevB.70.134514
    [88] SHEN Z X, DESSAU D S. Electronic structure and photoemission studies of late transition-metal oxides: Mott insulators and high-temperature superconductors [J]. Physics Reports, 1995, 253(1/2/3): 1–162. doi: 10.1016/0370-1573(95)80001-A
    [89] WENG X J, ZHU Y, XU Y, et al. Synthesis of metalloborophene nanoribbons on Cu (110) [J]. Advanced Functional Materials, 2024, 34(21): 2314576. doi: 10.1002/adfm.202314576
    [90] AKOPOV G, YEUNG M T, KANER R B. Rediscovering the crystal chemistry of borides [J]. Advanced Materials, 2017, 29(21): 1604506. doi: 10.1002/adma.201604506
    [91] LA PLACA S, BINDER I, POST B. Binary dodecaborides [J]. Journal of Inorganic and Nuclear Chemistry, 1961, 18: 113–117. doi: 10.1016/0022-1902(61)80377-1
    [92] KATO K, KAWADA I, OSHIMA C, et al. Lanthanum tetraboride [J]. Structural Science, 1974, 30(12): 2933–2934.
    [93] SCHLESINGER M E, LIAO P K, SPEAR K E. The B-La (boron-lanthanum) system [J]. Journal of Phase Equilibria, 1999, 20(1): 73–78. doi: 10.1361/105497199770335974
    [94] MA L, YANG X, LIU G T, et al. Design and synthesis of clathrate LaB8 with superconductivity [J]. Physical Review B, 2021, 104(17): 174112. doi: 10.1103/PhysRevB.104.174112
    [95] TOMASSETTI C R, GOCHITASHVILI D, RENSKERS C, et al. First-principles design of ambient-pressure MgxB2C2 and NaxBC superconductors [J]. Physical Review Materials, 2024, 8(11): 114801. doi: 10.1103/PhysRevMaterials.8.114801
    [96] WU S S, YANG C L, LI X H, et al. Superconductivity of the two-dimensional MB2C2 (M=3d, 4d) monolayers [J]. Materials Today Communications, 2025, 42: 111207. doi: 10.1016/j.mtcomm.2024.111207
    [97] TOMASSETTI C R, KAFLE G P, MARCIAL E T, et al. Prospect of high-temperature superconductivity in layered metal borocarbides [J]. Journal of Materials Chemistry C, 2024, 12(13): 4870–4884. doi: 10.1039/D4TC00210E
    [98] ZHANG C, TANG H, PAN C, et al. Machine learning guided discovery of superconducting calcium borocarbides [J]. Physical Review B, 2023, 108(2): 024512. doi: 10.1103/PhysRevB.108.024512
    [99] HAYAMI W, ROCQUEFELTE X, HALET J F. Possible superconductivity for layered metal boride carbide compounds MB2C2 (M=Alkali, Alkaline-earth, or rare-earth metals) [J]. Inorganic Chemistry, 2024, 63(44): 20975–20983. doi: 10.1021/acs.inorgchem.4c02221
    [100] SINGH S, ROMERO A H, MELLA J D, et al. High-temperature phonon-mediated superconductivity in monolayer Mg2B4C2 [J]. NPJ Quantum Materials, 2022, 7(1): 37. doi: 10.1038/s41535-022-00446-6
    [101] ZHANG P Y, LI X, YANG X, et al. Path to high-Tc superconductivity via Rb substitution of guest metal atoms in the SrB3C3 clathrate [J]. Physical Review B, 2022, 105(9): 094503. doi: 10.1103/PhysRevB.105.094503
    [102] GAI T T, GUO P J, YANG H C, et al. Van Hove singularity induced phonon-mediated superconductivity above 77 K in hole-doped SrB3C3 [J]. Physical Review B, 2022, 105(22): 224514. doi: 10.1103/PhysRevB.105.224514
    [103] DI CATALDO S, QULAGHASI S, BACHELET G B, et al. High-Tc superconductivity in doped boron-carbon clathrates [J]. Physical Review B, 2022, 105(6): 064516. doi: 10.1103/PhysRevB.105.064516
    [104] GENG N S, HILLEKE K P, ZHU L, et al. Conventional high-temperature superconductivity in metallic, covalently bonded, binary-guest C-B clathrates [J]. Journal of the American Chemical Society, 2023, 145(3): 1696–1706. doi: 10.1021/jacs.2c10089
    [105] DUAN Q Z, ZHAN L H, SHEN J Y, et al. Predicting superconductivity near 70 K in 1166-type boron-carbon clathrates at ambient pressure [J]. Physical Review B, 2024, 109(5): 054505. doi: 10.1103/PhysRevB.109.054505
    [106] CUI Z, ZHANG X H, SUN Y H, et al. Prediction of novel boron-carbon based clathrates [J]. Physical Chemistry Chemical Physics, 2022, 24(27): 16884–16890. doi: 10.1039/D2CP01783K
    [107] LI J D, YUE J C, GUO S Q, et al. High-temperature superconductivity of boron-carbon clathrates at ambient pressure [J]. Physical Review B, 2024, 109(14): 144509. doi: 10.1103/PhysRevB.109.144509
    [108] LI B, CHENG Y L, ZHU C, et al. Superconductivity near 70 K in boron-carbon clathrates MB2C8 (M=Na, K, Rb, Cs) at ambient pressure [J]. Physical Review B, 2024, 109(18): 184517. doi: 10.1103/PhysRevB.109.184517
    [109] ZHANG D D, BHULLAR M, CUI X Y, et al. Emergent superconductivity in clathrate Sr(B,C)9 at low pressures [J]. Computational Materials Science, 2025, 246: 113419. doi: 10.1016/j.commatsci.2024.113419
    [110] ZHENG F, SUN Y, WANG R H, et al. Superconductivity in the Li-B-C system at 100 GPa [J]. Physical Review B, 2023, 107(1): 014508. doi: 10.1103/PhysRevB.107.014508
    [111] ZHENG F, SUN Y, WANG R H, et al. Prediction of superconductivity in metallic boron-carbon compounds from 0 to 100 GPa by high-throughput screening [J]. Physical Chemistry Chemical Physics, 2023, 25(47): 32594–32601. doi: 10.1039/D3CP03844K
    [112] CHEN P, WU Z P, SUN Y, et al. High-temperature superconductivity of ternary Ca4BC23–x clathrates at moderate pressure [J]. Physical Review B, 2024, 110(21): 214106. doi: 10.1103/PhysRevB.110.214106
    [113] SUN Y, ZHU L. Hydride units filled boron-carbon clathrate: a pathway for high-temperature superconductivity at ambient pressure [J]. Communications Physics, 2024, 7(1): 324. doi: 10.1038/s42005-024-01814-3
    [114] LIU J Y, LIU A L, CHENG X R, et al. A class of alkali metal boron-carbon clathrates with superconductivity and superhard properties [J]. Journal of Alloys and Compounds, 2025, 1018: 179094. doi: 10.1016/j.jallcom.2025.179094
    [115] WÖRLE M, NESPER R, MAIR G, et al. LiBC: ein vollständig interkalierter heterographit [J]. Zeitschrift für Anorganische und Allgemeine Chemie, 1995, 621(7): 1153–1159. doi: 10.1002/zaac.19956210707
    [116] KARIMOV P F, SKORIKOV N A, KURMAEV E Z, et al. Resonant inelastic soft X-ray scattering and electronic structure of LiBC [J]. Journal of Physics: Condensed Matter, 2004, 16(28): 5137–5142. doi: 10.1088/0953-8984/16/28/031
    [117] MODAK P, VERMA A K, MISHRA A K. Prediction of superconductivity at 70 K in a pristine monolayer of LiBC [J]. Physical Review B, 2021, 104(5): 054504. doi: 10.1103/PhysRevB.104.054504
    [118] GAO M, YAN X W, LU Z Y, et al. Strong-coupling superconductivity in LiB2C2 trilayer films [J]. Physical Review B, 2020, 101(9): 094501. doi: 10.1103/PhysRevB.101.094501
    [119] WANG J N, YAN X W, GAO M. High-temperature superconductivity in SrB3C3 and BaB3C3 predicted from first-principles anisotropic Migdal-Eliashberg theory [J]. Physical Review B, 2021, 103(14): 144515. doi: 10.1103/PhysRevB.103.144515
  • 加载中
图( 11)
计量
  • 文章访问数:  1133
  • HTML全文浏览数:  1133
  • PDF下载数:  3
  • 施引文献:  0
出版历程
  • 收稿日期:  2025-04-14
  • 刊出日期:  2025-09-05

高压下多元硼碳基高温超导体的研究进展

    通讯作者: 钟 鑫(1988-),女,博士,副教授,主要从事高压下反常化学计量比化合物的结构设计和物性模拟研究. E-mail:zx777@jlu.edu.cn
    通讯作者: 刘寒雨(1984-),男,博士,教授,主要从事极端高压下的计算凝聚态物理研究.E-mail:lhy@calypso.cn
    作者简介: 贾欣芮(2002-),女,硕士研究生,主要从事极端高压下的计算凝聚态物理研究.E-mail:1797562314@qq.com
  • 1. 吉林大学物质模拟方法与软件教育部重点实验室, 吉林 长春 130012
  • 2. 吉林大学物理学院, 吉林 长春 130012

摘要: 超导材料在超导临界温度以下呈现出零电阻和完全抗磁性(迈斯纳效应)等独特的量子特性,这使其在能源输运和交通运输等多个领域具有革命性应用潜力。因此,突破液氮温区(77 K)的高温超导体探索始终是凝聚态物理领域的研究焦点。近年来,基于Bardeen-Cooper-Schrieffer(BCS)理论框架,人们发现,除了富氢超导体外,具有强共价键特征的轻质元素化合物(如硼碳基材料)也可以诱导产生强电子-声子耦合,从而实现超过液氮温区的超导电性,且在吉帕压强下表现出优异的结构稳定性。硼碳基超导体的相关研究,如MgB2及其衍生的层状硼碳基超导体、基于方钠石笼型结构的硼碳基超导体以及其他具有特殊结构的硼碳基超导体等,已经成为该领域的新兴研究热点。为此,聚焦近年来硼碳基超导体的研究进展,系统地介绍硼碳基超导体的超导机制,并展望未来在硼碳基化合物中探索高温超导体面临的挑战。

English Abstract

  • 作为量子材料领域的重要体系,超导体呈现的零电阻和完全抗磁性效应,正持续为高场磁体技术、无损能量传输以及量子计算器件带来新的发展动力。材料要维持超导状态,必须同时满足3个相互关联的临界条件,即临界转变温度(Tc)、临界磁场强度(Hc)以及临界电流密度(Jc)。一旦不满足任何一个条件,超导状态便会立即消失。因此,更高的临界值意味着更强的材料实用性,这也使得突破液氮温区(77 K)的Tc提升成为凝聚态物理与高压科学的世纪命题。根据Bardeen-Cooper-Schrieffer(BCS)理论的微观框架,材料的Tc与体系的德拜温度成正比,而德拜温度与元素的摩尔质量成反比。轻质元素具有较高的德拜温度,因而成为高温超导体设计的关键准则。这也促使学界将目光聚焦于元素周期表顶端的氢元素—其理论预测的固态“金属氢”被认为是最有可能实现室温超导的候选者[12]。然而,长达半个世纪的高压实验探索(压力最高达425 GPa)仍未切实观测到氢的金属化行为[34]。为了降低氢金属化所需的压力,Ashcroft[5]在2004年提出了化学预压缩的概念,即通过引入高电负性元素构建共价型或离子型氢化物晶格,以晶格内应力替代外部机械压力。与纯氢体系所需的金属化压强(约500 GPa)相比,氢化物的金属化压强骤降至实验可及的150~200 GPa区间,直接催生出新一代富氢超导体。近年来,随着极端条件合成技术与多尺度计算模拟的深度融合,研究者们先后发现了H3S[6]Tc=203 K@150 GPa)等共价型富氢超导体,以及一系列具有氢笼合物结构的离子型富氢超导体,如CaH6Tc=215 K@172 GPa)[78]、YH9Tc=243 K@201 GPa)[9]和LaH10Tc=260 K@180 GPa)[1012]。这些发现相继创造了Tc的新纪录,其中,LaH10是目前实验合成的Tc最高的材料。

    尽管氢基超导体已展现出近室温超导的潜力,但由于其稳定和合成需要极端高压条件,极大地限制了其实际应用。因此,寻找能够在相对较低的压强下即可合成并保持超导性质的材料,成为超导研究领域的新兴热点。根据BCS理论的微观判据,提升Tc的主要途径包括:(1) 提升费米面处电子态密度N(EF),(2) 增强电子-声子耦合常数λ,(3) 拓展声子频谱的高频截止频率ωlog。硼(B)和碳(C)作为能够形成较强的sp2和sp3杂化共价键的最轻的元素,为构建兼具强共价网络与电子拓扑结构的超导基元提供了理想平台。事实上,由非磁性金属和轻元素组成的化合物,如碱金属、碱土金属和过渡金属的硼碳化物,以及四元稀土金属-过渡金属硼碳化物,已经成功验证了这一观点。这些化合物不仅能够在较低压强下保持稳定,还能维持其超导状态。具有AlB2型结构的MgB2就是其中的典型代表,其在常压下具有39 K的超导温度。这一特性源于pxy轨道(σ带)中的电子与蜂窝硼层平面内振动的具有E2g对称性的声子模式之间的强耦合[1315]。基于此,研究者通过对层状结构进行掺杂、替换或结构搜索,获得了一系列硼碳基超导新材料。例如:MgB3C3在常压下的Tc高达59 K[16];二维层状材料NaBC和KBC也表现出优良的超导性能,其Tc分别为34和42 K[17]。更具突破性的是笼型结构SrB3C3的成功合成,其sp3杂化的三维硼碳网络结构在高压下形成动态稳定的电子拓扑态,并在释放至常压后仍保持31 K的超导特性[1819],这为硼碳基实用化超导体的发展开辟了全新的设计思路。此外,一系列具有特殊结构的硼碳基化合物也表现出了超导电性,如过渡金属碳化物TaC(Tc=10.2 K@0 GPa)[20]和Sr2B5Tc=105 K@40 GPa)[21]等。因此,硼碳基化合物在吉帕压强下的高温超导具有广阔的发展前景。本文将总结近年来硼碳基超导体的研究进展,并对探索和实现硼碳基化合物高温超导体面临的挑战和可能途径进行展望。

    • 碳作为ⅣA族元素的典型代表,是构成各种有机分子的基本元素。碳原子通过sp、sp2和sp3杂化方式,能够形成金刚石、石墨、纳米管、富勒烯等多种独特结构。这些不同的杂化类型赋予了碳基材料多样化的电子排布和化学键合特性,从而构建出具有丰富结构形态和物理化学性质的碳基材料体系。近年来,碳基超导体研究取得了显著进展,主要集中在具有类石墨烯层状结构的碳化物(graphene-like layered carbides)、笼型结构碳化物(cage-like carbides)、类金刚石结构的碳化物(diamond-like carbides),以及具有立方岩盐结构和六角形结构的过渡金属碳化物(transition metal carbides,TMCs),如图1[20, 2236]所示。

    • 层状碳基材料主要包括石墨插层化合物(graphite intercalated compounds,GICs)和T型石墨插层化合物(T-graphite intercalation compounds,TGICs)。常规石墨烯由六元碳环构成,而其同素异形体—T型石墨烯则由四元和八元碳环组成[3738]。1965年,Hannay等[39]首次报道了GICs中的超导电性(KC8Tc=0.15 K)。此后,GICs的超导性质被广泛研究和实验验证。它们可通过在块体石墨中掺杂金属原子来合成,其中,最具代表性的是CaC6Tc=11.5 K@0 GPa)[4041]和YbC6Tc=6.5 K@0 GPa)[41]。CaC6作为GIC超导转变温度纪录的长期保持者,通过硼原子取代50%的碳原子后形成三元化合物CaB3C3,预测的Tc可提升至28 K[42]。而对于二维单层结构的GICs,在考虑空穴掺杂和压缩应变的条件下,可显著提升材料的超导电性,如LiC6,当对其施加10%的双轴拉伸应变后,其Tc可从8.1 K提升至28.7 K[4344]。近期,周向锋教授团队[34]在该领域取得了重要进展,他们基于各向同性电声耦合计算,预测钠插层石墨化合物NaC4(常压动力学稳定)在5 GPa压力下具有41 K的Tc[33];考虑各向异性效应后,Tc可提升至48 K。NaC4所表现出的优异超导特性主要源于石墨烯面外π电子与Na/C低频声子振动之间的耦合。该发现从理论上突破了GICs的超导新纪录,且有望在较低压力下合成。此外,他们还提出了一种由5-8-5碳环和Na原子构成的体相类石墨插层化合物NaC3Tc=7.1 K)。当移除其中的Na原子后,可作为合成新型碳同素异形体pop-graphite的前驱体[35]。在二维石墨插层领域,张平教授团队[23]预测出一种稳定的钙插层双层石墨烯化合物,即钙插层AA堆叠双层石墨烯C2CaC2,其晶体结构如图1(Ⅱ)所示,它具有P6/mmm空间群,呈现出六角对称结构,且其Ca的含量高于已合成的C6CaC6。该团队进一步通过对C2CaC2的第一性原理研究,发现其成键为离子键与共价键的混合,并确定其λ为0.75,Tc达19 K,显著高于其他金属插层双层石墨烯,如C8KC8Tc=3.6 K)[24]。从电声耦合角度分析,C2CaC2的电声耦合主要源于碳原子pz轨道电子与Ca原子面内和面外振动模式的相互作用,这种耦合机制显著影响了材料的电子结构和声子动力学特性。当对结构施加双轴压缩应变时,会出现低频声子软化和高频声子硬化现象,如图2(a)~图2(d)所示,当压缩应变ε达到−4%时,体系的Tc可提升至26.6 K[25]。C2CaC2的研究为探索具有较高Tc的金属插层双层石墨烯超导体提供了新的研究思路。此外,已有研究表明,T型石墨烯的能隙(约50 meV)与铜基超导体类似[45],且理论预测其为声子介导的超导体,Tc高达20 K[46]。值得注意的是,通过空穴掺杂与双轴应变的双重调控,其Tc可以进一步提升至35 K[4748]。因此,进一步提高T型石墨烯插层超导体的Tc是一项极具意义的挑战。近期,Yang等[26]通过理论预测发现了一种稳定的二维超导材料—Be修饰的单层T型石墨烯(BeC2),其λ为4.07,Tc为72.1 K,接近液氮温度(77 K)。这一发现为研究强电子-声子耦合(electron-phonon coupling,EPC)的二维超导体开辟了新的方向。

    • 对氢基高温超导材料的研究表明,笼型结构是实现近室温超导的关键,而由原子氢构成的笼型结构在低压或常压条件下难以保持稳定性,相比之下,通过强化学键结合的笼型框架为实现常压稳定提供了更可行的结构范式。以富勒烯(C60)为例,通过碱金属掺杂,富勒烯可由半导体转变为导体甚至超导体[4950],其中,实验表明,具有面心立方(face-centered cubic,FCC)结构的RbCs2C60在常压下的Tc可达33 K[51]。受LiC40和Li2C40的启发[5253],Zipoli等[54]通过空穴掺杂使笼型碳化合物实现金属化特性,他们在富勒烯笼中掺入卤素原子(氟或碘),得到了具有大小笼聚合结构特征的FC34,理论计算结果显示,其Tc在常压下可达77 K。2016年,Lu等[55]提出了一种简易策略来探索新型高温超导材料,即寻找满足以下2个基本条件的体系:(1) 共价键和反键态能级与费米能级相交;(2) 电子态在布里渊区高对称点处达到最大简并度。理论计算表明,具有高对称性的sp3杂化碳框架结构能够同时满足上述条件。因此,研究者们计算了一系列具有类方钠石结构的金属碳化物,其中,NaC6Tc高达100 K以上。最近,Hai等[27]进一步将元素周期表中的大部分元素分别掺入C24和C32两种笼中,得到了一系列MC6和MC10化合物,通过第一性原理计算,筛选出在常压下具有金属性的稳定结构作为超导候选体系,并进行了电声耦合计算,结果显示:在C32笼状网格结构中,CsC10Tc最高(Tc=74 K);而在C24笼状网格结构中,NaC6、MgC6、AlC6、InC6和TlC6在常压下均表现出超过100 K的超导性质;MC10Tc略微低于MC6。进一步改变MC6中掺杂金属的浓度可以得出:笼型碳化物的超导电性对掺杂金属的电负性和掺杂浓度非常敏感,且MC6Tc与M的价态和 Allred-Rochow电负性[56]成反比。以MgC6和CsC10为例,分析两者超导性质存在差异的原因。从晶体结构的角度分析,如图1插图(Ⅲ)和(Ⅳ)所示,与C24笼相比,C32笼中形成六角形环的C—C键长度缩短,引发声子硬化现象,导致对电声耦合常数有较大贡献的低频声子态密度和耦合函数α2F(ω)显著降低,从而削弱了超导电性,如图3所示。此外,Jin等[28]通过高通量密度泛函理论(density functional theory,DFT)计算,系统研究了金属元素掺杂C24笼状网格结构的超导性质,发现了2个在常压下具有良好动力学稳定性和较强超导电性的化合物—GaC6Tc=82 K)和GeC6Tc=76 K)。

      除了在碳笼型结构内部引入金属元素外,Ding等[36]还预测了一种新型富碳化合物d-BC15,其热力学稳定性高于已合成的BC3[57]和BC15[58]。该结构可认为是通过在金刚石中引入微量硼原子(掺杂浓度为6.25%)实现改性。d-BC15在常压下即表现出43.6 K的超导电性,突破了麦克米兰极限;在0.43%的空穴掺杂条件下,Tc甚至提升至75 K。同时,因其保留了金刚石sp3杂化构型,该材料还是一种维氏硬度达75 GPa的超硬材料,可作为极具应用前景的多功能材料候选者。

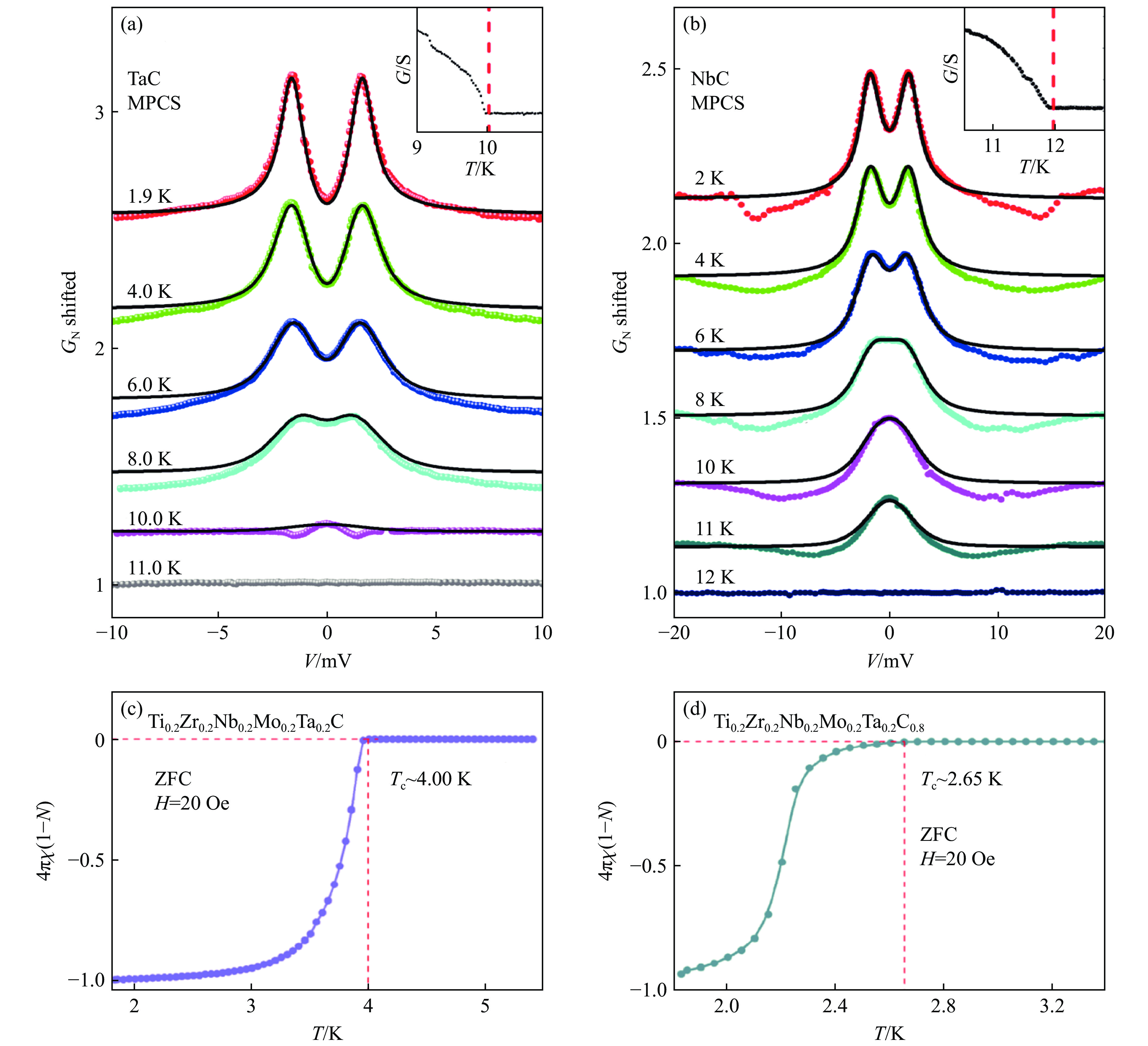
    • TMCs因其独特的电子结构、优异的机械性能和良好的热稳定性,在工业应用中备受关注。其中,碳化钽(TaC)作为典型的代表性材料(图1插图(Ⅰ)),其热力学稳定性在TMCs体系中尤为突出,不仅具有2073 K以上的超高熔点,还表现出卓越的抗蚀性能,这一特性使其在航空航天领域备受青睐[5962]。Tsuppayakorn-Aek等[29]系统地研究了立方岩盐结构的TaCx和六角形结构的Ta2Cx(0≤x≤1)。他们在已知的TaC(Tc=10 K)和Ta2C(Tc=1.4 K)的超导性质基础上,预测出一种具有较强稳定性的缺碳新相TaC0.833Tc=6.8 K)。通过分析其电子结构和声子性质,发现Ta2C和TaC0.833Tc低于TaC的Tc的主要原因在于两者均出现垂直于平面的横向振动,从而显著抑制了电声耦合强度。机械点接触光谱实验结果显示,TaC和NbC的Tc分别为10.2和12.0 K[20],如图4(a)和图4(b)所示。此外,Zeng等[31]通过实验和理论模拟研究,揭示了高熵碳化物陶瓷(high entropy carbide ceramics,HECC)Ti0.2Zr0.2Nb0.2Hf0.2Ta0.2C的超导电性和拓扑性质。该材料展现出典型的Ⅱ型超导体特征(Tc=2.35 K),其费米面存在6个Ⅱ型狄拉克点,使其成为拓扑超导体的候选体系。同年,该团队通过火花等离子烧结法,成功制备了NaCl型Ti0.2Zr0.2Nb0.2Mo0.2Ta0.2Cxx=1, 0.8)材料,测得两者的Tc分别为4.00和2.65 K[32],如图4(c)和图4(d)所示。这些高熵TMCs材料在高压下仍可维持超导性质,为其在极端条件下的应用提供了可能。

    • 作为轻质元素家族的重要成员,硼基化合物因其独特的成键特性在超导材料设计中占据重要地位。近年来,基于硼原子多维度杂化构筑的新型超导体(见图5[6381])不断涌现,其中,二维层状MgB2Tc=39 K)[1315]与三维笼状YB6Tc=8.4 K)[8283]的发现具有里程碑意义。理论研究表明,硼原子sp2杂化构建的二维蜂窝层与sp3杂化构建的二十面体三维笼状框架,均能在费米能级附近诱导形成高度离域的σ键电子态,促使产生强电声耦合效应,最终使体系的Tc显著提升。

    • 在富硼化合物体系中,硼原子通过独特的三中心双电子(3c-2e)特性实现了电子缺陷的有效补偿。通过与金属元素之间的电荷转移,促使硼形成类似碳的强共价键结构,这一特性使得金属硼化物成为高温超导材料的重要载体。2001年MgB2的发现[1315]激发了人们在层状金属二硼化物中寻找高温超导材料的兴趣。为了提升MgB2的超导温度,研究者们陆续开展了一系列向MgB2中掺杂其他元素的工作,如Mg1−xLixB2[84]、Mg1−xZrxB2[85]、Mg1−xZnxB2[86]、Mg1−xNaxB2[86]、Mg1−xCaxB2[86]、Mg1−xScxB2[87]。然而,大多数实验数据显示,随着掺杂金属量的提升,Tc呈下降趋势。此外,研究者们对其他金属硼化物也进行了大量的研究工作。董华峰教授团队[76]通过高通量计算,在由碱金属、碱土金属及过渡金属构成的三元金属硼化物中筛选出系列稳定相,其中,Li3ZrB8Tc=39 K)和Ca3YB8Tc=10 K)表现出优异的超导电性。与之形成对照的是,Pei等[77]通过测量WB2和ReB2晶体在高压下的电阻转变,发现WB2在约60 GPa发生相变,并在100 GPa时达到最高Tc(15 K),如图6(a)所示,而在此压强范围内始终未观测到ReB2的超导电性。通过第一性原理计算表明,此现象与硼层结构演化密切相关,见图6(b):WB2中存在类MgB2的平面蜂窝硼层和波纹状蜂窝硼层,而ReB2中仅存在波纹状蜂窝硼层。并且,随着压强的升高,WB2Tc升高,且形成了更多的平面硼层,这些发现证实了二维平面硼骨架对提升电声耦合作用的关键作用。值得关注的是,NbB2P6/mmm)和MoB2$R \overline 3m $)的本征态并未显现超导特性[88],但通过高压或合金化等调控手段可有效诱导结构相变与超导电性形成。Pei等[66]发现,当MoB2在60 GPa高压下转变为P6/mmm相时,层状硼骨架的平面度提升,Tc跃升至32 K;Hire等[78]则利用弧熔法在MoB2中加入Nb,制备出Nb1−xMoxB2x=0.25, 0.50, 0.75, 0.90)合金,当x=0.75时,合金稳定存在于高压相(P6/mmm),且具有超导电性(Tc=8 K)。因此,通过引入过渡金属Nb作为晶格稳定剂,不仅可以有效抑制高对称性P6/mmm相的动力学失稳,还能通过调节轨道杂化强度协同优化电声耦合强度。值得注意的是,二维金属硼化物(MBene)作为类硼烯材料的重要分支,其声子调控型超导机制引发了广泛关注。万文辉课题组[79]系统地研究了MB4(嵌入金属原子的AB堆积双层硼烯,其中M=V, Nb, Ta)的超导行为。其中,NbB4表现出优异的超导电性,Tc高达35.4 K,而VB4Tc=13.6 K)和TaB4Tc=18.6 K)在费米面附近均存在2个显著超导能隙。另外,双轴应变的引入会提升VB4和TaB4的超导电性,却抑制NbB4的超导性,导致其Tc降低至28 K。此外,周向锋课题组[89]利用分子束外延在Cu (110)表面沉积B,通过B与衬底Cu的自发反应,成功合成并表征了金属硼烯纳米带CuB4,其独特的一维结构为低维超导研究奠定了良好的基础。

    • 在硼基化合物体系中,除了sp2杂化的蜂窝层状硼化物外,硼原子还倾向于形成sp3杂化的三维笼型结构。这些笼型结构通过捕获中心客体金属原子的电子实现结构稳定,其典型特征包括:可淬火至常压、各向异性的晶体结构、显著增强的电声耦合强度、较高的维氏硬度(维氏硬度HV>30 GPa)。理论研究表明,金属与硼原子之间形成共价键会抑制超导电性,而碱金属/碱土金属原子在高压下倾向于与硼原子形成离子键。因此,碱金属/碱土金属硼化物的超导相通常呈现独特的键合特征—金属与硼之间以离子键结合,而硼网络内部保持强共价B—B框架。此外,在经典的笼型结构中,金属原子半径的适配性是其能在方钠石构型的B24笼中稳定存在的首要条件—钇(Y)和锆(Zr)分别代表该结构可容纳的最大和最小金属原子[90],任何微小的原子尺寸偏差均会导致硼基笼型结构在常压下失稳[91]。基于此,除了已知的LaB4和LaB6[9293]以外,Ma等[94]考虑对La-B体系进行结构搜索,发现了一种新的笼型化合物LaB8。通过激光加热金刚石压砧技术,在约108 GPa、2100 K的条件下成功合成LaB8,且理论计算其Tc在常压下可达14 K。随后,他们又对MB8(M=Ba, Ga, In, Tl)笼型结构的稳定性和超导性进行了深入研究,发现BaB8在常压下可稳定形成B26笼型框架结构,见图5插图(Ⅱ)。令人瞩目的是,该材料在常压下的Tc高达62 K,显著高于同主族MB8体系[94](MgB8Tc=30 K@0 GPa,CaB8Tc=52 K@0 GPa,SrB8Tc=56 K@0 GPa)。这一结果与经典BCS理论预测相悖,即由于Ba的原子质量更大,BaB8Tc应比其他MB8Tc低。而实际情况显示,Ba的加入有效地稳定了B26笼,并调整了硼的电子态密度,使其在费米能级处达到峰值,从而显著增强电声耦合强度,如图7(a)所示。反观其他碱土金属体系,较小的原子半径引发晶格收缩,导致一定程度的晶格畸变,改变了硼原子之间的距离,从而降低了费米能级处的硼原子态密度,最终削弱电声相互作用,如图7(b)所示[80]

      此外,马琰铭院士团队[21]对碱土金属硼化物进行了系统的结构搜索,成功预测出具有$ F\overline{4}3m $空间群对称性的Sr2B5稳定相,该化合物的硼框架呈现出独特的sp3杂化共价结构,如图5插图(Ⅲ)所示。在40 GPa压强下,Tc高达105 K。通过对其电子结构和声子特性进行分析,发现该结构的高温超导性主要来源于金属化σ键轨道中电子的强离域性与具有E对称性的声子模式之间的强耦合作用,如图8所示,这与MgB2的超导机制相似。进一步的非谐声子模拟表明,当压强降至常压时,尽管晶格发生膨胀,但仍然保持动力学稳定性,见图8(b)。这些结果进一步证实了“三维强共价硼网络”在低压下维持高温超导电性的可行性,为设计新型常压实用化超导材料提供了理论依据。

    • 作为元素周期表中质量最小的强共价键形成元素,B和C的原子特性使B-C化合物具有独特的电子结构特征,即在费米能级附近构建高密度的强共价键或反键态。这些电子态与晶格振动的强烈相互作用可诱导显著的电子-声子耦合效应,为超导电性的微观机制研究提供了理论支撑。B-C协同的键合作用不仅为构建稳定且多样化的晶体结构奠定了基础,更为捕获新型高温超导体提供了新策略。图9展示了近年来发现的一系列B-C基超导体[1618, 95114]

    • 传统BCS高温超导体具有高振动能量尺度、强电子-声子耦合和费米能级处电子态密度较大等特性。块体LiBC与MgB2同构,由原子质量较小的Li构成,且具有较强的B-C共价键,能够基本满足以上条件。早期的理论研究表明,块体LiBC是绝缘体[115116],其共价键态位于价带顶端。通过掺杂、加压以及合金化等手段,能够有效将σ键态提升至费米能级以上,进而具有金属化特性,并有望实现超导电性。Modak等[117]通过使LiBC从三维块体结构转变到二维单层(monolayer,ML)结构,实现了金属化,且ML-LiBC的Tc达到70 K。Gao等[118]指出,一种3层薄膜材料LiB2C2在双轴拉伸应变(6%~8%)作用下,其Tc可从92 K提升至125 K。此外,在类石墨烯层状B-C基超导体研究中,用碳原子部分取代硼层以构筑B-C蜂窝层结构,也是开发新型超导材料的有效策略。Pham等[16]通过移除MgB2母体中2/3的Mg原子,成功设计出晶体结构完整且无晶格畸变的MgB3C3,如图9插图(Ⅰ)所示。第一性原理计算与各向同性Eliashberg理论分析表明,该体系的超导性质增强源于多维度电子-声子耦合机制:其中σ带电子与E′声子模式(约20.3 THz)之间的强相互作用主导耦合过程,如图10所示,同时π带电子与B-C晶格面外声学模式之间的协同作用进一步提高了电声耦合强度,最终使体系获得高于母体MgB2Tc(59 K)。进一步研究表明,金属原子价态与B-C层的拓扑结构之间的协同调控对超导性能具有显著影响。Hayami等[99]从理论上探索了MB2C2(M=Sc, Y, Be, Ca)体系的超导电性,发现对于三价金属原子,无论B-C层如何排列,ScB2C2和YB2C2均表现出较弱的超导电性;而对于二价金属原子,虽然BeB2C2和CaB2C2的本征态没有呈现超导电性,但是通过载流子掺杂可有效调控载流子密度,从而诱导Tc显著提升。以Li掺杂BeB2C2为例,形成的Li0.25Be0.75B2C2Tc可达47.8 K,揭示了电荷转移调控对B-C基超导体的关键作用。此外,Singh等[100]提出了一种与MgB2结构相似的二维材料Mg2B4C2,该材料不仅兼具优异的结构稳定性与拓扑电子能带特征,还展现出较高的λλ=1.40),其Tc达到48 K。

    • 在B-C基超导材料体系中,三维sp3杂化笼合物也展现出独特的超导特性,并引发了广泛关注。这类材料以B-C多面体骨架为主体构筑笼型三维共价网络,通过调控笼中客体原子的种类和占据情况,可实现对Tc的调控。新型笼合物SrB3C3是其典型代表,如图9插图(Ⅱ)所示,该化合物在57 GPa下形成B8C8立方笼型框架,且理论计算预测其Tc可达40 K[1819, 119]。电子结构分析表明,其超导机制源于σ键合电子与硼主导的Eg声子模式之间的强电声耦合作用。最近,Zhu等[18]通过实验测量,发现在23 GPa下,SrB3C3Tc约为22 K,且预计能够在常压下进一步提高至31 K,如图11所示。通过对SrB3C3进行掺杂,可进一步优化其超导电性能。基于此,本课题组[101]也提出离子半径与电负性匹配策略,采用Rb部分取代Sr,得到Rb0.5Sr0.5B3C3,其Tc在常压下达到75 K。卢仲毅团队[102]进一步精修掺杂比例至Rb0.4Sr0.6B3C3,将其费米能级调协至范霍夫奇点。根据电子结构、晶格振动和电声耦合分析,Rb0.4Sr0.6B3C3中费米能级处电子态密度增大与声子软化的协同作用使其电声耦合显著增强,在常压下其Tc达到83 K。在客体原子筛选方面,Di Cataldo等[103]系统评估了前57号元素替换笼合物SrB3C3中的Sr原子效应,发现CaB3C3、SrB3C3、YB3C3、BaB3C3、LaB3C3虽保持动力学稳定,但其超导性能与热力学稳定性相对MgB2并没有显著提升。进一步考虑含有单价和二价金属元素的XYB6C6化合物,其中,KCaB6C6Tc=77 K@20 GPa)和NaSrB6C6Tc=80 K@18 GPa)在所有同族和跨族元素组合中具有较高的Tc,并能在相对适中的压强下保持稳定。此后,Zurek团队[104]通过高通量计算筛选出22种在常压下稳定的XYB6C6型候选材料(X和Y为金属原子),其中,KPbB6C6Tc高达88 K,且有可能通过高温高压技术合成并淬火至常压。卢成团队[105]进一步拓展了1166型B-C笼型超导材料的研究范围,计算结果显示,RbYbB6C6和RbBaB6C6分别表现出高达67和68 K的Tc。除了引入金属原子外,朱黎团队[113]提出了一种创新策略—将氢化物单元整合到B-C笼型超导体中,通过协同利用sp3杂化的B-C骨架的结构稳定性与氢化物固有的强超导电性,成功预测出MNH4B6C6系列新型超导材料。它们不仅在常压下保持动力学稳定性,其超导性能相较母体SrB3C3Tc=31 K)具有显著突破。其中,SrNH4B6C6和PbNH4B6C6Tc分别达到85和115 K。值得关注的是,非等比硼碳笼型骨架体系也展现出优异的超导性质,如SrB4C2Tc=19.2 K@0 GPa[106])、TlB2C8Tc=96 K@0 GPa[107])、CsB2C8Tc=68.76 K@0 GPa[108])、SrB7C2Tc=5.7 K@0 GPa[109])、Ca4B9C14Tc=47 K@25 GPa[112])、Ca4B10C13Tc= 109 K@5 GPa[112])、NaB4C12Tc=14 K@0 GPa[114])、KB4C12Tc=17 K@0 GPa[114])、RbB4C12Tc=25 K@0 GPa[114])等。这些研究结果表明,通过调控笼合物中掺杂原子的种类和含量以及B和C的配比,可以显著提升B-C笼合物的超导性能或降低稳定所需的压强。

    • 在超导研究领域,探索能在近常压甚至常压下合成并维持超导性质的新型材料体系已成为核心研究方向。随着多元硼碳基超导体的理论和实验研究取得重要突破,具有独特优势的超导材料体系逐步形成。早期成功合成的MgB2为硼碳基超导领域的发展奠定了基础;而SrB3C3的理论预测和实验制备则进一步激发了科研人员的探索热情。尽管硼碳基超导体在理论和实验中展现出了令人瞩目的超导性质,但其实际应用仍面临诸多挑战,例如,如何在常压下实现高Tc,如何提高其机械稳定性和可合成性,这些都是亟待解决的问题。针对这些挑战,未来的研究应聚焦硼碳基超导体的多维度探索:通过掺杂调控(多元体系设计)与低维结构构建(二维材料)调节电子结构;借助高通量计算方法加速材料筛选;优化合成条件,开发新的合成方法或改进现有技术,以实现材料常压稳定化。最终推动超导技术在能量传输、量子计算和医疗设备等领域的规模化应用。总体而言,通过对该领域的深入探索与协同推进,未来有望得到常压下具有更高超导温度的硼碳基超导体,并推动实际应用,为超导技术的发展和应用开启新的篇章。

    参考文献 (119)

目录

/

返回文章
返回