金属光栅覆盖分布式布拉格反射镜结构的透射增强效应

上一篇

下一篇

关建飞, 俞潇, 丁冠天, 陈陶, 陆云清. 金属光栅覆盖分布式布拉格反射镜结构的透射增强效应[J]. 物理学报, 2024, 73(11): 117301-1. doi: 10.7498/aps.73.20240357
引用本文: 关建飞, 俞潇, 丁冠天, 陈陶, 陆云清. 金属光栅覆盖分布式布拉格反射镜结构的透射增强效应[J]. 物理学报, 2024, 73(11): 117301-1. doi: 10.7498/aps.73.20240357
Jian-Fei Guan, Xiao Yu, Guan-Tian Ding, Tao Chen, Yun-Qing Lu. Transmission enhancement effect of distributed Bragg reflector structure covered with metal grating[J]. Acta Physica Sinica, 2024, 73(11): 117301-1. doi: 10.7498/aps.73.20240357
Citation: Jian-Fei Guan, Xiao Yu, Guan-Tian Ding, Tao Chen, Yun-Qing Lu. Transmission enhancement effect of distributed Bragg reflector structure covered with metal grating[J]. Acta Physica Sinica, 2024, 73(11): 117301-1. doi: 10.7498/aps.73.20240357

金属光栅覆盖分布式布拉格反射镜结构的透射增强效应

    通讯作者: E-mail: guanjf@njupt.edu.cn.; 
  • 中图分类号: 73.20.Mf, 78.67.Pt, 42.25.Bs, 41.20.Jb

Transmission enhancement effect of distributed Bragg reflector structure covered with metal grating

    Corresponding author: E-mail: guanjf@njupt.edu.cn tel: 13701582746.; 
  • MSC: 73.20.Mf, 78.67.Pt, 42.25.Bs, 41.20.Jb

  • 摘要: 为了采用易于直接激发的塔姆等离激元(Tamm plasmon polaritons, TPPs)实现透射增强现象, 本文提出了一种由一维金属光栅覆盖分布式布拉格反射镜(distributed Bragg reflector, DBR)构成的层状结构. 采用有限元法分析了入射光波在DBR-金属交界面上激发TPPs并产生能量高度局域的物理过程. 研究表明入射TM光波在金属-DBR交界面上激发的TPPs可以有效地激发金属狭缝内的SPPs模式, 当SPPs模式在狭缝内满足类FP谐振的条件就可以使入射光波在该结构中的产生透射增强. 在此基础上,分析了狭缝宽度及其占空比对透射谱峰的定量影响. 结果显示: 周期确定时随着狭缝宽度的增大, 峰值透射率则呈现先增大后减小的变化趋势; 宽度确定时随着占空比的增大, 峰值透射率会呈现单调降低的变化趋势, 而透射峰中心波长呈现近似线性蓝移趋势, 这为灵活调节异常透射的中心波长提供了一种有效手段.
  • 加载中
  • 图 1  金属光栅覆盖DBR结构示意图

    Figure 1.  Schematic diagram of DBR structure coated with a metal grating.

    图 2  TM模式入射金属层覆盖DBR结构及纯TiO2介质产生的透射及反射谱图

    Figure 2.  Transmission and reflection spectra generated in a perfect metal layer capped the DBR structure and the semi-infinite TiO2 media.

    图 3  1040 nm光波入射到金属银覆盖DBR结构及金属银覆盖TIO2中的能量分布 (a) 周期单元模场分布图; (b) z轴方向磁场截线图

    Figure 3.  Energy distribution in the silver covered DBR structure and silver capped TiO2 dielectric generated by the incident light wave of 1040 nm: (a)Magnetic field $ \left| {{H_y}} \right| $ distribution at λ = 1040 nm; (b) magnetic field $ \left| {{H_y}} \right| $ profile along z axis.

    图 4  TE及TM光波入射到金属光栅-DBR结构产生的透射及反射谱线图 (a) 透射谱; (b) 反射谱

    Figure 4.  Transmission and reflection spectra generated by the TE and TM polarized incident light waves in the metal grating capped DBR: (a) Transmission spectra; (b) reflection spectra.

    图 5  (a) TM和TE模式入射产生磁场强度分布; (b)磁场分量$ \left| {{H_y}} \right| $沿中心轴线的分布图

    Figure 5.  (a) Distribution of the magnetic field component $ \left| {{H_y}} \right| $ for TM and TE waves; (b) the profile of the magnetic component $ \left| {{H_y}} \right| $ along the axis of x = 0.

    图 6  (a) 透射率随金属光栅高度的变化关系; (b) 透射峰值处的模场分布图

    Figure 6.  (a) The transmittance as a function of the grating heights for TM polarization; (b) magnetic field intensity distributions for the four transmission peaks depicted in Fig. 6(a).

    图 7  不同缝宽的透射谱线随光栅高度的演变规律 (a) w = 40 nm; (b) w = 50 nm; (c) w = 60 nm.

    Figure 7.  Transmittance against incident wavelengths and grating heights for three slit widths: (a) w = 40 nm; (b) w = 50 nm; (c) w = 60 nm.

    图 8  前两阶谐振透射峰的峰值幅度(a)与中心波长λ (b)随狭缝宽度w的演变规律

    Figure 8.  Evolution of (a) amplitudes and (b) central wavelengths λ of the transmittance peaks generated by the first and second order resonances with slit widths w.

    图 9  一阶谐振透射峰的峰值透射峰率(a)及中心波长(b)随周期的变化规律

    Figure 9.  Evolutions of (a) amplitudes and (b) central wavelength λ of the transmittance peak generated by the first order resonance with grating periods for three slit widths.

    图 10  一阶谐振透射峰的峰值透射峰率(a)及中心波长(b)随占空比的变化规律

    Figure 10.  Evolutions of (a) amplitudes and (b) central wavelength λ of the transmittance peak generated by the first order resonance with duty cycles for three slit widths.

  • [1] Ebbesen T W, Lezee H J, Ghaemi H F, Thio T, Wolff P A 1998 Nature 391 667 doi: 10.1038/35570
    [2] Ghaemi H F, Thio Tineke, Grupp D E, Ebbesen T W, Lezec H J 1998 Phys. Rev. B 58 6779 doi: 10.1103/PhysRevB.58.6779
    [3] Martín-Moreno L, García-Vidal F J, Lezec H J, PellerinK M, Thio T, Pendry J B, Ebbesen T W 2001 Phys. Rev. Lett. 86 1114 doi: 10.1103/PhysRevLett.86.1114
    [4] Barnes W L, Murray W A, Dintinger J, Devaux E, Ebbesen T W 2004 Phys. Rev. Lett. 92 107401 doi: 10.1103/PhysRevLett.92.107401
    [5] 张鑫, 刘海涛 2016 物理学进展 36 118 Zhang X, Liu H T 2016 Prog. Phys. 36 118
    [6] Takakura Y 2001 Phys. Rev. Lett. 86 5601 doi: 10.1103/PhysRevLett.86.5601
    [7] Ruan Z C, Qiu M 2006 Phys Rev. Lett. 96 233901 doi: 10.1103/PhysRevLett.96.233901
    [8] 聂俊英, 张宛, 罗李娜, 李贵安, 郑海荣, 张中月 2015 中国科学: 物理学 力学 天文学 45 024202 doi: 10.1360/SSPMA2014-00236 Nie J Y, Zhang W, Luo L N, Li G A, Zheng H R, Zhang Z Y 2015 Sci. Sin-Phys. Mech Astron. 45 024202 doi: 10.1360/SSPMA2014-00236
    [9] Genet C, Ebbesen T W 2007 Nature 445 39 doi: 10.1038/nature05350
    [10] 王振林 2009 物理学进展 29 287 doi: 10.3321/j.issn:1000-0542.2009.03.004 Wang Z L 2009 Prog. Phys. 29 287 doi: 10.3321/j.issn:1000-0542.2009.03.004
    [11] Kaliteevski M, Iorsh I, Brand S, Abram R A, Chamberlain J M, Kavokin A V, Shelykh I A 2007 Phys. Rev. B 76 165415 doi: 10.1103/PhysRevB.76.165415
    [12] Sasin M E, Seisyan R P, Kalitteevski M A, Brand S, Abram A, Chamberlain J M, Egorov A Yu, Vasilev A P, Mikhrin V S, Kavokin A V 2008 Appl. Phys. Lett. 92 251112 doi: 10.1063/1.2952486
    [13] Zhou H C, Yang G, Wang K, Long H, Lu P X 2010 Opt. Lett. 35 4112 doi: 10.1364/OL.35.004112
    [14] Afinogenov B I, Bessonov V O, Nikulin A A, Fedyanin A A 2013 Appl. Phys. Lett. 103 061112 doi: 10.1063/1.4817999
    [15] Das R, Srivastava T, Jha R 2014 Opt. Lett. 39 896 doi: 10.1364/OL.39.000896
    [16] Das D, Bover P, Salvi J 2021 Appl. Opt. 60 4738 doi: 10.1364/AO.422408
    [17] 陆云清, 成心怡, 许敏, 许吉, 王瑾 2016 物理学报 65 204207 doi: 10.7498/aps.65.204207 Lu Y Q, Cheng X Y, Xu M, Xu J, Wang J 2016 Acta Phys. Sin. 65 204207 doi: 10.7498/aps.65.204207
    [18] 祁云平, 周培阳, 张雪伟, 严春满, 王向贤 2018 物理学报 67 107104 doi: 10.7498/aps.67.20180117 Qi Y P, Zhou P Y, Zhang X W, Yan C M, Wang X X 2018 Acta Phys. Sin. 67 107104 doi: 10.7498/aps.67.20180117
    [19] García-Vidal F J, Lezec H J, Ebbesen T W, Martín-Moreno L 2003 Phys. Rev. Lett. 90 213901 doi: 10.1103/PhysRevLett.90.213901
    [20] 丁冠天, 关建飞, 陈陶, 陆云清 2023 光学学报 43 1428002 doi: 10.3788/AOS230518 Ding G T, Guan J F, Chen T, Lu Y Q 2023 Acta Opt. Sin. 43 1428002 doi: 10.3788/AOS230518
    [21] Gordon R 2006 Phys. Rev. B 73 153405 doi: 10.1103/PhysRevB.73.153405
  • 加载中
图( 10)
计量
  • 文章访问数:  616
  • HTML全文浏览数:  616
  • PDF下载数:  6
  • 施引文献:  0
出版历程
  • 收稿日期:  2024-03-14
  • 刊出日期:  2024-06-05

金属光栅覆盖分布式布拉格反射镜结构的透射增强效应

    通讯作者: E-mail: guanjf@njupt.edu.cn.; 
  • 南京邮电大学电子与光学工程学院、柔性电子(未来技术)学院, 南京 210023

摘要: 为了采用易于直接激发的塔姆等离激元(Tamm plasmon polaritons, TPPs)实现透射增强现象, 本文提出了一种由一维金属光栅覆盖分布式布拉格反射镜(distributed Bragg reflector, DBR)构成的层状结构. 采用有限元法分析了入射光波在DBR-金属交界面上激发TPPs并产生能量高度局域的物理过程. 研究表明入射TM光波在金属-DBR交界面上激发的TPPs可以有效地激发金属狭缝内的SPPs模式, 当SPPs模式在狭缝内满足类FP谐振的条件就可以使入射光波在该结构中的产生透射增强. 在此基础上,分析了狭缝宽度及其占空比对透射谱峰的定量影响. 结果显示: 周期确定时随着狭缝宽度的增大, 峰值透射率则呈现先增大后减小的变化趋势; 宽度确定时随着占空比的增大, 峰值透射率会呈现单调降低的变化趋势, 而透射峰中心波长呈现近似线性蓝移趋势, 这为灵活调节异常透射的中心波长提供了一种有效手段.

English Abstract

    • 光学异常透射(extraordinary optical transmission, EOT)现象由于突破了传统孔径理论的限制, 自从1998年被Ebbesen等[1,2]提出后迅速在微纳光学领域引起了广泛的关注. 随着机理研究的深入, 研究人员发现EOT现象产生时, 在金属表面往往都伴有场量局域增强[35], 同时在孔缝中都存在局域波导模式的类Fabry-Perot(F-P)谐振现象[68]. 据此可以推断EOT现象就是利用局域谐振效应在含孔径阵列的金属薄膜上下表面实现能量交换. 金属膜层表面的场量局域增强主要依赖于入射光波在金属与介质交界面上激发出表面等离激元(surface plasmon polaritons, SPPs)[9]. 然而由于SPPs波的色散曲线位于光锥之外, 在激发的过程中需要借助棱镜及光栅等独立元件实现相位匹配, 不利于器件的小型化与集成应用[10].

      2007年塔姆等离激元(Tamm plasmon polaritons, TPPs)作为一种新颖的表面局域模式被提出并在实验上得到验证[11,12]. 在金属膜层与分布式布拉格反射镜(distributed Bragg reflector, DBR)的交界面上产生的TPPs, 不仅能够实现能量的高度局域[13,14], 而且由于其色散曲线位于光锥之内进而具备易于激发的优点[15,16], 从而逐渐成为继SPPs之后微纳光学领域又一备受关注的界面波模式. 已有研究表明, 金属与DBR交界面上产生的TPPs可以显著提升金属单狭缝的透射率[17,18]. 为进一步研究TPPs在异常透射中发挥的作用, 本文采用有限元法研究了金属光栅覆盖DBR结构中TPPs产生的能量局域现象, 以及由此产生的透射增强现象. 由于在纳米加工领域TiO2/ZnO基DBR可以采用热蒸镀的办法加工在石英基底上[14,15], 同时金属银膜层也可以通过热蒸镀工艺沉积在DBR上表面[4], 采用聚焦离子束可以刻蚀银膜层形成金属银光栅结构, 且加工精度可达5 nm[19]. 文中数值分析了金属银光栅的高度、狭缝宽度以及光栅周期对透射谱峰的幅值及中心波长的定量影响. 研究结果揭示了由金属银-DBR交界面上TPPs激发金属银光栅狭缝内SPPs模式的类FP谐振是产生透射谱峰的物理原因. 同时狭缝宽度及光栅周期的变化都会有效改变透射峰的中心波长, 在狭缝宽度确定时, 透射峰中心波长可以随光栅占空比的改变发生近似线性的移动. 本文研究结果为实现波长可调的异常透射提供了一种有效的设计方案.

    • 图1所示为金属光栅覆盖DBR结构的二维截面图, 图中模型在垂直纸面的y方向呈均匀分布, 且在该方向上没有对入射光场施加任何限制, 进而入射光波的衍射效应可以限制在x-z平面内讨论. 金属光栅层厚度为$ {h_{\text{g}}} $, 周期p = 400 nm, 狭缝宽度记为w. 金属银的介电常数采用Drude-Lorentz模型表示[20]; 金属层下方是典型的由高低折射率材料交替分布组成的DBR结构, 其中高折射率介质为TiO2 ($ {n_{\text{H}}} $=2.07), 其厚度$ {d_{\text{H}}} $=121 nm; 低折射率介质为ZnO ($ {n_{\text{L}}} $=1.6), 其厚度$ {d_{\text{L}}} $=156 nm. 这样的参数可以确保DBR结构的禁带中心波长满足$ {\lambda _{\text{B}}}=4{n_{\text{L}}}{d_{\text{L}}} = 4{n_{\text{H}}}{d_{\text{H}}} = 1000{\text{ nm}} $. 在DBR结构中, 一组高、低折射率介质层构成一个周期单元, 文中DBR周期数取为N =10.5, 即DBR结构两端都选用高折射率TiO2介质层. 由于x-z平面内金属覆盖DBR结构具有明显的空间周期性特征, 进而提取一个周期单元的平面模型结合周期性边界条件可以实现整个两维平面结构的模场分布及透射谱线的计算. 透射及反射功率取平均坡印亭矢量在周期单元上、下边界的曲线积分得到, 两者与入射光功率之比即为透射率及反射率值.

      当金属层未被刻蚀成光栅结构时, 在完整金属层覆盖DBR结构中可以产生典型的塔姆等离激元(TPPs), 实现入射光波能量在金属与DBR交界面上的高度局域. 选取完整金属层厚度为100 nm时, 该结构对TM模式入射光波产生的反射及透射谱线如图2(a)中的黑色及红色实线所示. 在波长为1040 nm处, 反射谱线存在一个典型的由TPPs引起的反射极小值, 同时透射谱线也在该波长处产生一个典型的透射峰值. 这是由于在金属-DBR界面上产生了高度局域的TPPs, 界面上的能量局域有效抑制光波的反射. 同时有部分局域的谐振能量可以穿透金属银膜的表面继续传播, 然而由于金属层对光波具有较强的吸收性, 进而100 nm厚的金属层导致峰值透射率较低. 作为比较, 图中黑色与红色虚线分别给出了将DBR结构换成均匀TiO2介质后产生的反射及透射谱线, 其反射率值在950—1150 nm的整个波段内接近于1, 透射率则接近于0, 且两条曲线保持平坦基本没有变化. 这一现象表明在金属与TiO2介质交界面上没有光场局域, 进而透射与反射都不会随波长发生变化.

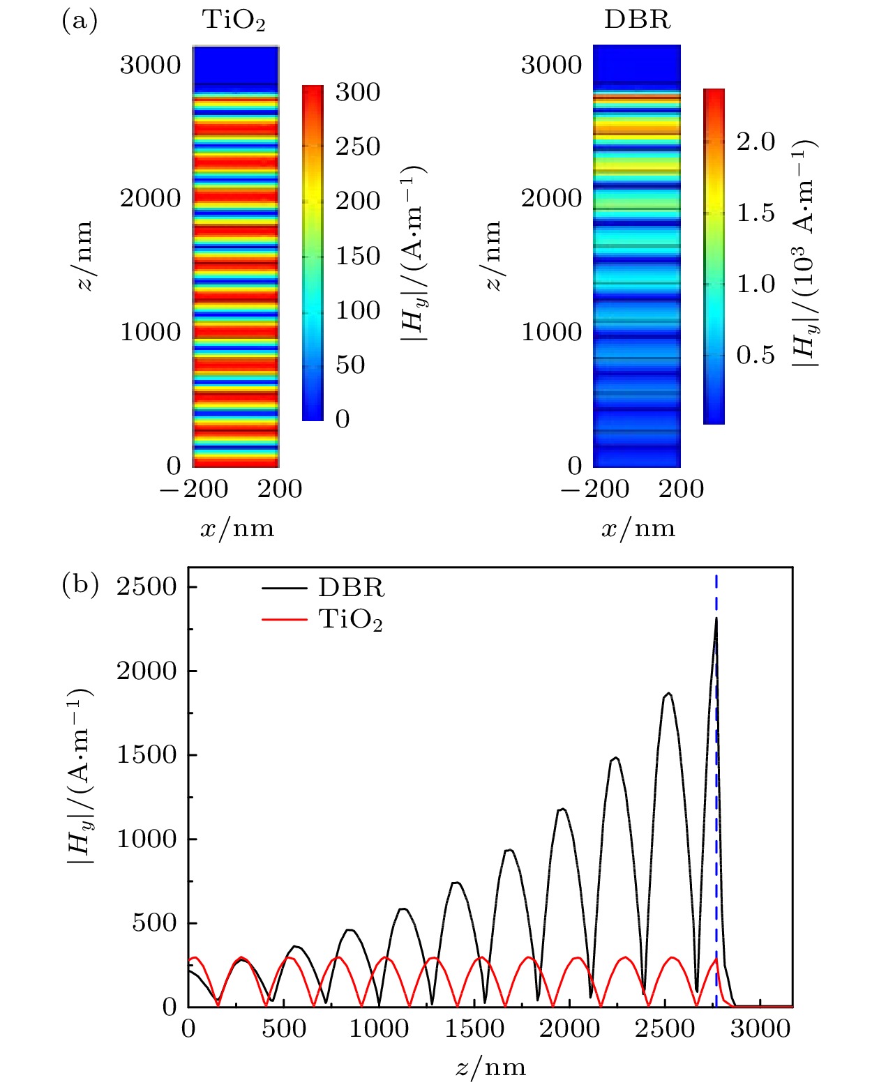
      图3(a)给出了入射波长为1040 nm时, 完整金属层覆盖DBR结构与TiO2介质两种结构中的模场分布. 左侧插图代表了金属覆盖TiO2介质结构中的磁场模值分布, 右侧插图描述了金属覆盖DBR结构中的模场分布. 由模场图可见在金属覆盖TiO2介质结构中入射光波在金属下表面发生了镜面反射, 从而入射波与反射波在TiO2介质中形成了稳定的驻波场分布. 然而在金属覆盖DBR结构中, 磁场强度在金属与DBR交界面上得到了显著增强, 产生了TPPs并实现了能量的高度局域. 该局域模式有效地抑制了反射过程从而形成了反射谱中的极小值. 图3(b)给出了两种结构单元在竖直中心线上的磁场模量分布, 其中黑色竖直虚线表示介质与金属层交界面的位置. 当偏离界面进入DBR区域时, 磁场分量的振幅将呈衰减振荡分布; 而在金属一侧则磁场分量会迅速减小为零. 通过两组结果对比可以发现, DBR与金属层交界面上产生的TPPs实现了光场能量在空间上的高度局域以及场强幅度的显著提升(8倍以上). 利用这一能量高度局域的谐振效应, 可以实现窄带滤波及透射增强的功能.

    • 当金属层被刻蚀成如图1所示的光栅结构时, 定义光栅占空比R为狭缝区域在周期单元中的空间占比, 即R = w/p. 当金属光栅高度为130 nm, 周期p取为400 nm且狭缝宽度w取为40 nm时, TM偏振光入射, 在波长为1030 nm附近将产生一个显著的透射峰, 峰值透射率达到0.789, 如图4(a)中黑色实线所示. 图4(b)中的黑色曲线则给出了TM模式光波入射时在金属光栅覆盖DBR结构中产生的反射谱线, 反射极小值同样出现在1030 nm的波长, 显然反射极小值与透射谱峰波长一致. 与之相对, 当TE偏振光入射该结构时, 透射谱如图4(a)中红色实线所示, 在950—1150 nm的整个波段上, 透射率都接近于零. 然而图4(b)中红色曲线所描述的反射谱线却在1043 nm波长处形成了一个明显的反射极小值. 这一现象表明TE模式同样可以在金属-DBR交界面上激发TPPs, 只是TE模式激发的TPPs无法耦合进入狭缝区域产生SPPs导模, 进而不能透过金属光栅.

      图5(a)中左右两幅插图分别给出了波长为1030 nm的TM波及波长为1043 nm的TE波入射时在金属光栅覆盖DBR结构中的磁场模式分布图. 左侧模场分布图显示透射极大值的出现可归结为TM模式的入射光波在金属-DBR交界面上激发TPPs引起光场局域, 并由TPPs作为次级波源通过端面耦合进一步激发金属狭缝内SPPs模式, 继而实现光波透射. 这里由于TPPs的光场增强有效提升了狭缝入射端口的场强, 进而提升了狭缝内SPPs的激发效率, 从而增大了光栅透射率. 此处产生的透射增强效应可以视为TPPs激发狭缝内SPPs的类FP谐振效应的结果, 这里记为TPPs-FP混合谐振. 图5(a)中右侧插图显示, TE模式入射光波同样可以在金属-DBR交界面上产生TPPs实现光场能量局域增强, 然而由于TE模式无法在金属狭缝内产生SPPs, 以致其能量无法通过亚波长宽度的金属狭缝传输形成透射, 进而产生图4(a)中接近零的红色的透射分布曲线. 图5(b)中黑色及红色曲线分别表示了TM及TE偏振入射光波在金属光栅覆盖DBR结构单元竖直中心线上的磁场模量分布, 其中黑色竖直虚线表示介质与金属光栅交界面的位置. 相比之下, 由于TE模式在狭缝区域内几乎没有能量传输, 进而TE模式在金属与DBR交界面上产生的能量局域和场强提升现象更为明显.

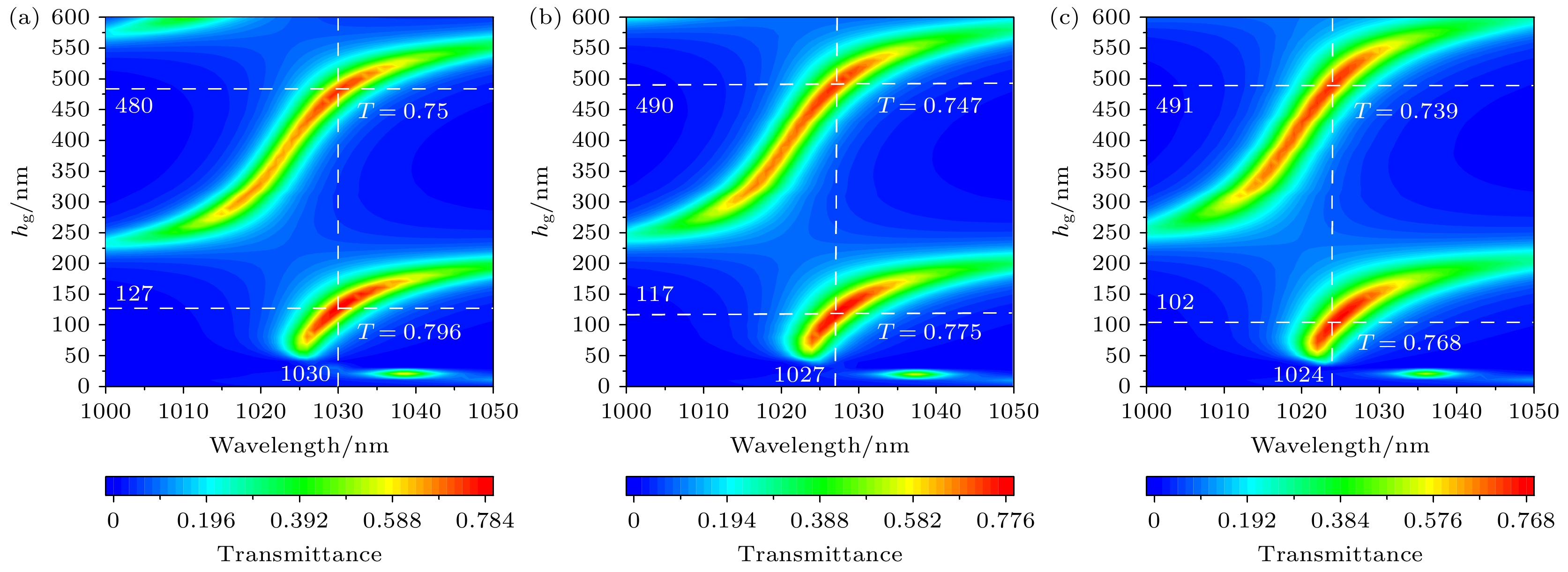
      为了进一步揭示透射峰的产生机理, 选取入射波长为1030 nm, 在0—1200 nm范围内以1 nm为步长对金属光栅高度进行参数化扫描, 得到透射率随光栅高度的变化曲线如图6(a)所示. 当光栅高度分别取为127, 480, 832, 1185 nm时, 在光栅覆盖DBR结构中得到了幅值单调递减的4个透射率极大值. 相邻极大值的高度间隔基本保持在353 nm, 恰为40 nm宽度的金属狭缝波导内SPPs模式波导波长的一半. 由图6(b)给出的透射峰值的模场分布可以发现, 4个透射率极大值分别对应于金属狭缝内SPPs模式的前四阶类FP谐振模式[17]. 这一现象有力揭示了光栅狭缝内的类FP谐振是产生透射增强输出的必要条件, 进而狭缝高度的取值会显著影响峰值透射率. 同时需要指出, 随着高度的增大, SPPs模式在狭缝内衰减幅度也将增大, 进而随着谐振阶次升高, 透射率的峰值逐渐降低.

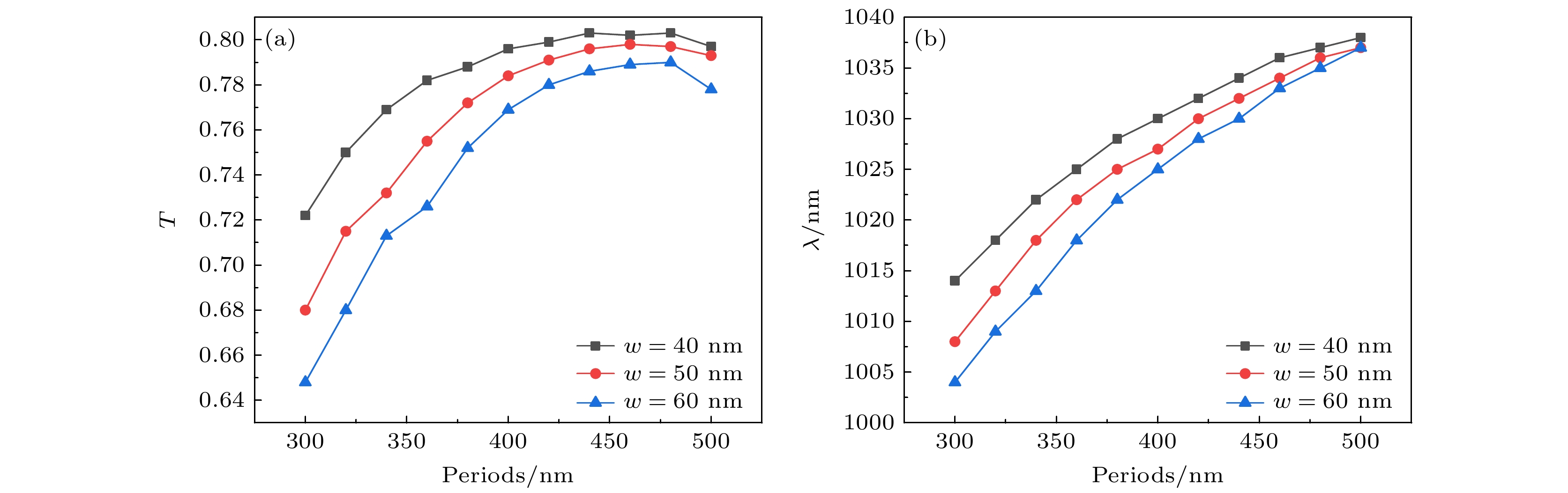
    • 为揭示不同狭缝宽度对透射谱峰幅度及中心波长的影响, 图7(a)(c)分别给出了狭缝宽度分别为40, 50和60 nm时, 光栅高度从0 nm增大到600 nm的过程中, 金属光栅透射谱线的演变规律. 图中透射谱峰随着狭缝高度的增大而表现出单调红移的变化趋势, 这一现象再次表明透射谱峰源于狭缝内SPPs模式的类FP谐振效应. 狭缝高度增大就意味着有效腔长增大, 进而会导致谐振波长发生红移. 图7(a)显示当光栅高度分别取为127 nm和480 nm时, 第一、二阶透射峰的中心波长均为1030 nm, 其透射率值分别为0.796和0.75, 这一结果对应于图6(a)中黑色曲线表示的前两个透射峰值. 图7(b)显示缝宽为50 nm的金属光栅当高度分别取117 nm及490 nm时, 在波长为1027 nm处得到两个透射率极大值0.775与0.747. 图7(c)显示60 nm缝宽的金属光栅当光栅高度分别取102 nm和491 nm时, 在入射波长为1024 nm处得到两个透射率极大值0.768和0.739. 上述3组结果均表明, 对于同一狭缝宽度, 一阶与二阶谐振透射峰的中心波长是一致的, 也即峰值波长由狭缝宽度唯一决定与谐振阶次无关. 此外由图5(b)可知, 两个透射极值对应的狭缝高度差正好等于SPPs波导波长的一半. 进而随着狭缝宽度的增大, SPPs模式有效折射率实部减小, 进而SPPs波导波长增大. 这一变化必然引起相邻阶次的透射峰对应的金属狭缝高度差增大. 这一现象也符合FP谐振模型的结果.

      当狭缝宽度从10 nm增大到60 nm的变化过程中, 二阶谐振透射峰的峰值透射率演变趋势如图8(a)中黑色及红色曲线所示. 随着狭缝宽度的单调增大, 两峰值透射峰率均呈现先增大而后减小的变化趋势. 一阶透射峰在缝宽w = 30 nm时透射率取到了最大值0.806, 而二阶透射峰则在缝宽w = 40 nm时取到最大值0.75. 当狭缝宽度小于40 nm时, 随着缝宽的增加狭缝内部的SPPs的传输损耗会迅速降低[21], 进而导致透射峰幅度显著提升. 然而当狭缝宽度大于40 nm以后, SPPs传输损耗下降的速度将逐渐趋缓, 同时周期结构单元中金属区域宽度的占比在逐渐减小, 这会导致金属-DBR交界面上TPPs的激发效率有所下降. 这一趋势将会导致TPPs-FP混合谐振模式强度降低, 于是峰值透射率开始下降. 此外图8(a)中曲线还表明一阶与二阶谐振透射峰的峰值幅度之差会随着狭缝宽度的减小而增大, 这可以归结为较窄的狭缝具有较大的传输损耗. 与一阶模式相比, 二阶谐振模式在狭缝内的传输距离更长进而具有更高的损耗.

      图8(b)给出了透射峰中心波长随缝宽w的变化规律, 随着w的逐渐增大, 峰值波长将从1044 nm单调蓝移达到1025 nm, 这一趋势表明在金属光栅覆盖DBR结构中, TPPs-FP混合谐振的中心波长会随狭缝宽度的增大而逐渐减小. 作为金属光栅的另一个重要的参数——光栅周期p的变化也会显著改变金属区域的大小, 进而影响TPPs-FP混合谐振的中心波长. 图9(a)中黑色、红色与蓝色曲线分别描述了缝宽w = 20, 30, 40 nm时, 周期以20 nm为步长, 从300 nm逐渐增大到500 nm的过程中, 峰值透射率的变化规律. 对于给定的周期p, 峰值透射率会随着狭缝宽度w的增大而单调减小, 且周期越小, 这一趋势越明显. 另一方面, 当狭缝宽度选定后, 峰值透射率将随着周期的增大而先单调增加直至最高点后开始出现缓慢下降. 产生这一现象的原因是随着周期增大, 光栅中金属区域占比增大, 这将有效提升了TPPs的激发效率, 从而提高峰值透射率. 当金属区域占比足够大之后, TPPs激发效率的提升逐渐趋缓, 而狭缝的孔径效应逐渐趋于主导地位, 进而导致峰值透射率开始下降.

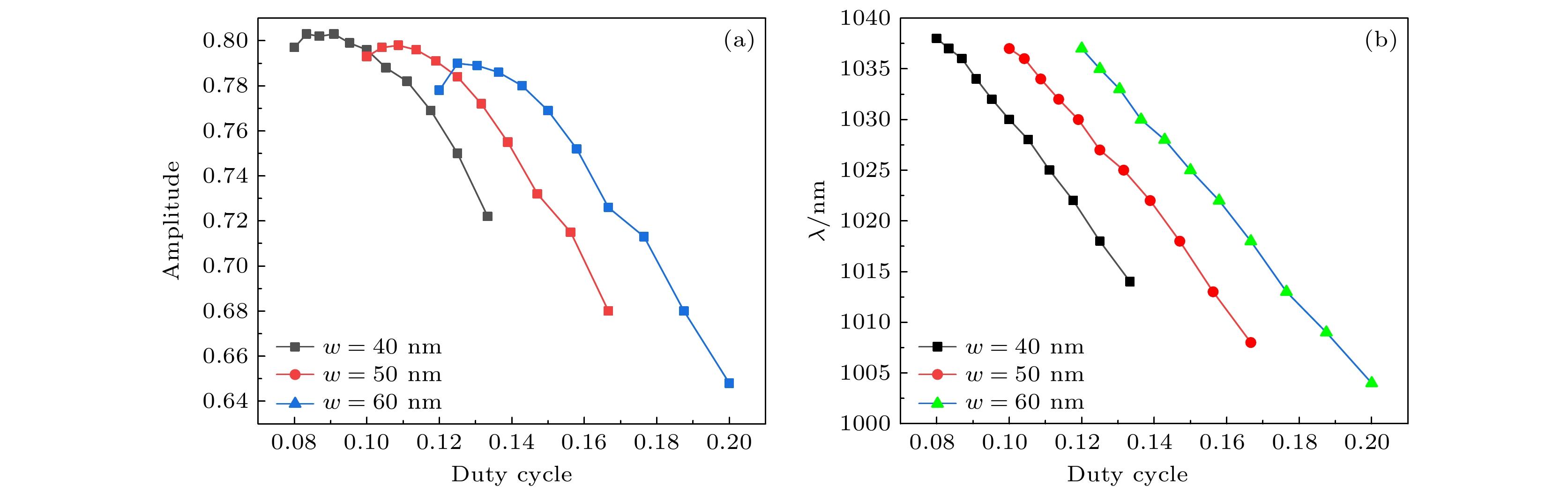
      透射峰中心波长随光栅周期的变化规律如图9(b)所示, 在同一周期下, 随着缝宽的增大, 中心波长会发现显著的蓝移, 而对于同一缝宽, 随着周期的增大, 峰值中心波长会表现出单调红移的变化趋势. 这表明TPPs-FP混合谐振的中心波长不仅取决于狭缝宽度, 而且也依赖于周期的大小. 事实上当狭缝宽度选定后, 周期的变化可以采用占空比R来表示. 透射率及峰值中心波长随占空比的变化规律如图10(a), (b)所示. 图10(a)显示随着占空比的增大, 峰值透射率会短暂增长后开始单调降低, 这一现象可以解释为当占空比小于某一极值时, 孔径限制效应处于主导地位, 此时占空比增大透射峰率提高. 而当占空比大于该极值后, TPPs-FP混合谐振处于主导地位, 此时占空比增大, TPPs的激发效率下降, 进而混合谐振强度降低, 峰值透射率减小. 此外, 图9(a)中曲线也显示, 当狭缝宽度分别为40, 50, 60 nm时, 这一极值占空比极值分别0.085, 0.108和0.125.

      图10(b)的曲线表明在狭缝宽度给定的条件下, 透射峰中心波长会随着占空比的增大而近似线性蓝移, 这一现象表明金属光栅占空比是决定TPPs-FP混合谐振中心波长的重要因素. 同时, 在同一占空比下, 狭缝宽度越小, 透射峰的中心波长会越短. 这一现象再次表明在金属光栅覆盖DBR结构中, 异常透射峰值源于结构中TPPs-FP混合谐振模, 且这一混合谐振模式不仅依赖于光栅占空比, 而且取决于狭缝的宽度. 合理地选择这两个参数可以灵活调节异常透射峰的中心波长.

    • 本文计算了在金属光栅覆盖DBR结构中的透射增强现象, 采用有限元法分析了金属光栅高度、缝宽及周期等结构参数对透射谱峰中心波长及峰值透射率的定量影响. 数值结果显示在金属-DBR交界面上激发出的TPPs能够产生高度的能量局域, 通过端面耦合可以有效激发光栅狭缝内的SPPs模式产生显著的透射. 通过连续改变光栅的高度发现透射率随高度呈现周期性的变化规律, 进而揭示出透射峰与狭缝内SPPs模式类FP谐振效应的对应关系. 在此基础上研究了狭缝宽度及占空比对透射峰中心波长及峰值透射率的影响. 结果表明随着缝宽的增大, 峰值透射率将呈现先增大而后减小的趋势, 峰值波长则表现出单调蓝移的变化. 当缝宽给定以后, 随着占空比的增大, 透射峰中心波长呈现近似线性地蓝移规律, 这为调整混合谐振的中心波长提供了一种有效的手段.

    参考文献 (21)

目录

/

返回文章
返回