SrRuO3薄膜中自旋轨道力矩效率和磁矩翻转的晶向调控

上一篇

下一篇

赵珂楠, 李晟, 芦增星, 劳斌, 郑轩, 李润伟, 汪志明. SrRuO3薄膜中自旋轨道力矩效率和磁矩翻转的晶向调控[J]. 物理学报, 2024, 73(11): 117701-1. doi: 10.7498/aps.73.20240367
引用本文: 赵珂楠, 李晟, 芦增星, 劳斌, 郑轩, 李润伟, 汪志明. SrRuO3薄膜中自旋轨道力矩效率和磁矩翻转的晶向调控[J]. 物理学报, 2024, 73(11): 117701-1. doi: 10.7498/aps.73.20240367
Ke-Nan Zhao, Sheng Li, Zeng-Xing Lu, Bin Lao, Xuan Zheng, Run-Wei Li, Zhi-Ming Wang. Crystal orientation regulation of spin-orbit torque efficiency and magnetization switching in SrRuO3 thin films[J]. Acta Physica Sinica, 2024, 73(11): 117701-1. doi: 10.7498/aps.73.20240367
Citation: Ke-Nan Zhao, Sheng Li, Zeng-Xing Lu, Bin Lao, Xuan Zheng, Run-Wei Li, Zhi-Ming Wang. Crystal orientation regulation of spin-orbit torque efficiency and magnetization switching in SrRuO3 thin films[J]. Acta Physica Sinica, 2024, 73(11): 117701-1. doi: 10.7498/aps.73.20240367

SrRuO3薄膜中自旋轨道力矩效率和磁矩翻转的晶向调控

    通讯作者: E-mail: runweili@nimte.ac.cn.;  E-mail: zhiming.wang@nimte.ac.cn, .
  • 中图分类号: 77.84.Bw, 75.76.+j, 72.25.-b, 81.07.-b

Crystal orientation regulation of spin-orbit torque efficiency and magnetization switching in SrRuO3 thin films

    Corresponding authors: E-mail: runweili@nimte.ac.cn.;  E-mail: zhiming.wang@nimte.ac.cn
  • MSC: 77.84.Bw, 75.76.+j, 72.25.-b, 81.07.-b

  • 摘要: 过渡金属氧化物SrRuO3薄膜因具有较大且可调的电荷流-自旋流互转换效率而成为自旋轨道力矩(SOT)器件中备受关注的自旋源材料. 然而, 目前对SOT效率的调控主要集中在衬底外延应力调节. 本文研究了晶体取向对SrRuO3薄膜SOT性能的调控作用. 制备了(111)取向SrRuO3/CoPt异质结构, 发现其SOT效率高达0.39, 自旋霍尔电导达$ 2.19 \times {10^5}\hbar /(2e) $ Ω–1·m–1, 分别较(001)取向提高了86%和369%. 此外, 在SrRuO3 (111)器件中实现了低至2.4×1010 A/m2临界电流密度下的电流驱动的垂直磁化翻转, 较(001)晶向降低了37%. 这些结果表明, 晶体取向是显著提升SrRuO3基SOT器件综合性能的有效途径, 为发展高效自旋电子器件提供了新思路.
  • 加载中
  • 图 1  (111)-SRO/CoPt异质结构的表征结果 (a) SRO/CoPt薄膜异质结构示意图; (b) SRO薄膜表面的原位反射高能电子衍射(RHEED)图像及原子力显微镜(AFM)图像, 均方根粗糙度约为0.135 nm; (c) 在STO (111)衬底上生长的SRO薄膜的XRD $ \theta $-2$ \theta $ 扫描结果, 插图为SRO和STO的(222)峰附近范围的放大图; (d) SRO薄膜(132)峰附近的倒易空间映射结果; (e) CoPt的面外MOKE表征

    Figure 1.  SRO/CoPt heterostructure: (a) Schematic diagram of the SRO/CoPt thin film heterostructure; (b) in-situ reflection high-energy electron diffraction (RHEED) image and atomic force microscopy (AFM) image of the SRO surface, the root-mean-square roughness is about 0.135 nm; (c) XRD $ \theta $-2$ \theta $ scan results of the SRO film grown on the STO (111) substrate, the inset is an enlarged view of the region near the (222) peaks of SRO and STO; (d) X-ray reciprocal space mapping (RSM) results of the SRO film; (e) out-of-plane MOKE characterization of CoPt.

    图 2  SRO/CoPt样品在纵向场HL下的谐波霍尔电压测量 (a) 样品测量的示意图, 交流电流I沿x方向施加, 外加磁场HL沿x (纵向)方向施加; (b) 施加垂直于平面的变化磁场HZ测得的反常霍尔电阻RAHE; (c) I = 1.5 mA下, 一次和(d)二次谐波霍尔电压信号随纵向场HL变化的情况; (e) SOT有效场HDL随电流密度JSRO (分流至SRO的电流密度)的变化; (f) 室温下SRO/CoPt的面外SQUID测量, 由此得出饱和磁化强度Ms

    Figure 2.  Harmonic Hall voltage measurements of the SRO/CoPt sample under a longitudinal field HL. (a) Schematic diagram of the sample measurement. The AC current I is applied along the x-direction. The external magnetic field HL is applied along the x (longitudinal) direction. (b) Anomalous Hall resistance RAHE measured by applying a magnetic field HZ perpendicular to the plane. (c) First and (d) second harmonic Hall voltage signals as a function of the longitudinal field HL at I = 1.5 mA. (e) Variation of the SOT effective field HDL with the current density JSRO (current density shunted to SRO). (f) Out-of-plane SQUID measurement of SRO/CoPt at room temperature, from which the saturation magnetization Ms is obtained.

    图 3  SRO/CoPt样品在横向场HT下的谐波霍尔电压测量 (a) 样品测量的示意图, 交流电流I沿x方向施加, 外加磁场H沿y (横向)方向施加; (b) I = 2.5 mA下, 在横向磁场HT下测得的二次谐波霍尔电压信号; (c) SOT有效场HFL随电流密度JSRO (分流至SRO的电流密度)的变化

    Figure 3.  Harmonic Hall voltage measurements of the SRO/CoPt sample under a transverse field HT: (a) Schematic diagram of the sample measurement, the AC current I is applied along the x-direction, the external magnetic field H is applied along the y (transverse) direction; (b) second harmonic Hall voltage signal measured under the transverse magnetic field HT at I = 2.5 mA; (c) variation of the SOT effective field HFL with the current density JSRO (current density shunted to SRO).

    图 4  (111)-SRO/CoPt异质结构由自旋轨道力矩(SOT)驱动的垂直磁化翻转 (a)生长了电极的Hall bar的显微镜图像及磁矩翻转测量的几何图示, 脉冲电流Iwrite用于翻转磁化状态, 而直流恒定电流IDC用于读取(上图), Iwrite(±12 mA)和 Iread(200 μA)的序列图(下); (b) 样品在不同外加磁场Hx下, Iwrite驱动的磁化翻转, RH表示霍尔电阻的变化

    Figure 4.  Perpendicular magnetization switching driven by spin-orbit torque (SOT) in the [111]-SRO/CoPt sample: (a) Microscope image of the Hall bar with electrodes and a schematic diagram of the magnetization switching measurement geometry. Pulsed current Iwrite is used to switch the magnetization state, while DC constant current IDC is used to read (Top), sequence diagram of Iwrite (±12 mA) and Iread (200 μA) (Below); (b) the magnetization of the sample driven by Iwrite switching under different applied magnetic fields Hx, RH indicates the change in Hall resistance.

  • [1] Sasikanth M, Dmitri E N, Ian A Y 2018 Nat. Phys. 14 338 doi: 10.1038/s41567-018-0101-4
    [2] Dieny B, Prejbeanu I L, Garello K, Gambardella P, Freitas P, Lehndorff R, Raberg W, Ebels U, Demokritov S O, Akerman J, Deac A, Pirro P, Adelmann C, Anane A, Chumak A V, Hirohata A, Mangin S, Valenzuela S O, Cengiz Onbaşlı M, d’Aquino M, Prenat G, Finocchio G, Lopez-Diaz L, Chantrell R, Chubykalo-Fesenko O, Bortolotti P 2020 Nat. Electron. 3 446 doi: 10.1038/s41928-020-0461-5
    [3] Manchon A, Železný J, M. Miron I, Jungwirth T, Sinova J, Thiaville A, Garello K, Gambardella P 2019 Rev. Mod. Phys. 91 035004 doi: 10.1103/RevModPhys.91.035004
    [4] Miron I M, Garello K, Gaudin G, Zermatten P-J, Costache M V, Auffret S, Bandiera S, Rodmacq B, Schuhl A, Gambardella P 2011 Nature 476 189 doi: 10.1038/nature10309
    [5] Shao Q, Li P, Liu L, Yang H, Fukami S, Razavi A, Wu H, Wang K, Freimuth F, Mokrousov Y, Stiles M D, Emori S, Hoffmann A, Åkerman J, Roy K, Wang J, Yang S, Garello K, Zhang W 2021 IEEE T. Magn. 57 800439
    [6] Chen H, Yi D 2021 APL Mater. 9 060908 doi: 10.1063/5.0052304
    [7] 劳斌, 郑轩, 李晟, 汪志明 2023 物理学报 72 097702 doi: 10.7498/aps.72.20222219 Lao B, Zheng X, Li S, Wang Z M 2023 Acta Phys. Sin. 72 097702 doi: 10.7498/aps.72.20222219
    [8] Nan T, Anderson T J, Gibbons J, Hwang K, Campbell N, Zhou H, Dong Y Q, Kim G Y, Shao D F, Paudel T R, Reynolds N, Wang X J, Sun N X, Tsymbal E Y, Choi S Y, Rzchowski, Kim Y B, Ralph D C, Eom C B 2018 Proc. Natl. Acad. Sci. 33 16186
    [9] Everhardt A S, DC M , Huang X, Sayed S, Gosavi T A, Tang Y, Lin C, Manipatruni S, Young I A, Datta S, Wang J, and Ramesh R 2019 Phys. Rev. Mater. 3 051201
    [10] Wang H L, Meng K Y, Zhang P X, Hou J T, Finley J, Han J H, Yang F Y, Liu L Q 2019 Appl. Phys. Lett. 114 232406 doi: 10.1063/1.5097699
    [11] Liu L, Qin Q, Lin W N, Li C J, Xie Q D, He S K, Shu X Y, Zhou C H, Lim Z, Yu J H, Lu W L, Li M S, Yan X B, Pennycook S J, Chen J S 2019 Nat. Nanotechnol. 14 939 doi: 10.1038/s41565-019-0534-7
    [12] Wahler M, Homonnay N, Richter T, Müller A, Eisenschmidt C, Fuhrmann B, Schmidt G 2016 Sci. Rep. 6 28727 doi: 10.1038/srep28727
    [13] Ou Y X, Wang Z, Chang C S, Nair H P, Paik H J, Reynolds N, Ralph D C, Muller D A, Schlom D G, Buhrman R A 2019 Nano Lett. 19 3663 doi: 10.1021/acs.nanolett.9b00729
    [14] Emori S, Alaan U S, Gray M T, Sluka V, Chen Y, Kent A, Suzuki Y 2016 Phys. Rev. B 94 224423 doi: 10.1103/PhysRevB.94.224423
    [15] Eom C B, Cava R J, Fleming R M, Phillips J M, Vandover R B, Marshall J H, Hsu J W P, Krajewski J J, Peck W F 1992 Science 258 1766 doi: 10.1126/science.258.5089.1766
    [16] Koster G, Klein L, Siemons W, Rijnders G, Dodge J S, Eom C-B, Blank D H A, Beasley M R, 2012 Rev. Mod. Phys. 84 253 doi: 10.1103/RevModPhys.84.253
    [17] Wei J W, Zhong H, Liu J Z, Wang X, Meng F Q, Xu H J, Liu Y Z, Luo X, Zhang Q H, Guang Y, Feng J F, Zhang J, Yang L H, Ge C, Gu L, Jin K J, Yu G Q, Han X F 2021 Adv. Funct. Mater. 31 2100380 doi: 10.1002/adfm.202100380
    [18] Zhou J, Shu X Y, Lin W N, Shao D F, Chen S H, Liu L, Yang P, Tsymbal E Y, Chen J S 2021 Adv. Mater. 33 2007114 doi: 10.1002/adma.202007114
    [19] Li S, Lao B, Lu Z X, Zheng X, Zhao K N, Gong L G, Tang T, Wu K Y, Li R W, Wang Z M 2023 Phys. Rev. Mater. 7 024418 doi: 10.1103/PhysRevMaterials.7.024418
    [20] Dagotto E 2005 Science 309 257 doi: 10.1126/science.1107559
    [21] Ahn C, Cavalleri A, Georges A, Ismail-Beigi S, Millis A J, Triscone J-M 2021 Nat. Mater. 20 1462 doi: 10.1038/s41563-021-00989-2
    [22] Lu Z X, Yang Y J, Wen L J, Feng J T, Lao B, Zheng X, Li S, Zhao K N, Cao B S, Ren Z L, Song D S, Du H F, Guo Y Y, Zhong Z C, Hao X F, Wang Z M, Li R W 2022 NPJ Flex. Electron. 6 9 doi: 10.1038/s41528-022-00141-3
    [23] Wang Z M, Zhong Z C, MckeownWalker S, Ristic Z, Ma J Z, Bruno F Y, Ricco S, Sangiovanni G, Eres G, Plumb N C, Patthey L, Shi M, Mesot J, Baumberger F, Radovic M 2017 Nano Lett. 17 2561 doi: 10.1021/acs.nanolett.7b00317
    [24] Peng W, Park S Y, Roh C J, Mun J, Ju H, Kim J, Ko E K, Liang Z G, Hahn S, Zhang J F, Sanchez A M, Walker D, Hindmarsh S, Si L, Jo Y J, Jo Y, Kim T H, Kim C, Wang L F, Kim M Y, Lee J S, Noh T W, Lee D 2024 Nat. Phys. 20 450 doi: 10.1038/s41567-023-02333-8
    [25] Hayashi M, Kim J, Yamanouchi M, Ohno H 2014 Phys. Rev. B 89 144425 doi: 10.1103/PhysRevB.89.144425
    [26] Kim J, Sinha J, Hayashi M, Yamanouchi M, Fukami S, Suzuki T, Mitani S, Ohno H 2013 Nat. Mater. 12 240 doi: 10.1038/nmat3522
    [27] Yang M Y, Cai K M, Ju H L, Edmonds K W, Yang G, Liu S, Li B H, Zhang B, Sheng Y, Wang S G, Ji Y, Wang K Y 2016 Sci. Rep. 6 20778 doi: 10.1038/srep20778
    [28] Liu L, Pai C F, Li Y, Tseng H W, Ralph D C, Buhrman R A 2012 Science 336 555 doi: 10.1126/science.1218197
    [29] Zhu L, Ralph D C, Buhrman R A 2021 Appl. Phys. Rev. 8 031308 doi: 10.1063/5.0059171
    [30] Garello K, Miron I M, Avci C O, Freimuth F, Mokrousov Y, Blugel S, Auffret S, Boulle O, Gaudin G, Gambardella P 2013 Nat. Nanotechnol. 8 587 doi: 10.1038/nnano.2013.145
    [31] Jin F, Gu M Q, Ma C, Guo E J, Zhu J, Qu L L, Zhang Z X, Zhang K X, Xu L Q, Chen B B, Chen F, Gao G Y, Rondinelli J M, Wu W B 2020 Nano Lett. 20 1131 doi: 10.1021/acs.nanolett.9b04506
    [32] Wang Z Z, Qi W H, Bi J C, Li X Y, Chen Y, Yang F, Cao Y W, Gu L, Zhang Q H, Wang H H, Zhang J D, Guo J D, Liu X R 2022 Chin. Phys. B 31 126801 doi: 10.1088/1674-1056/ac8725
  • 加载中
图( 5)
计量
  • 文章访问数:  575
  • HTML全文浏览数:  575
  • PDF下载数:  7
  • 施引文献:  0
出版历程
  • 收稿日期:  2024-03-15
  • 刊出日期:  2024-06-05

SrRuO3薄膜中自旋轨道力矩效率和磁矩翻转的晶向调控

    通讯作者: E-mail: runweili@nimte.ac.cn.; 
    通讯作者: E-mail: zhiming.wang@nimte.ac.cn, .
  • 中国科学院宁波材料技术与工程研究所, 中国科学院磁性材料与器件重点实验室, 宁波 315201

摘要: 过渡金属氧化物SrRuO3薄膜因具有较大且可调的电荷流-自旋流互转换效率而成为自旋轨道力矩(SOT)器件中备受关注的自旋源材料. 然而, 目前对SOT效率的调控主要集中在衬底外延应力调节. 本文研究了晶体取向对SrRuO3薄膜SOT性能的调控作用. 制备了(111)取向SrRuO3/CoPt异质结构, 发现其SOT效率高达0.39, 自旋霍尔电导达$ 2.19 \times {10^5}\hbar /(2e) $ Ω–1·m–1, 分别较(001)取向提高了86%和369%. 此外, 在SrRuO3 (111)器件中实现了低至2.4×1010 A/m2临界电流密度下的电流驱动的垂直磁化翻转, 较(001)晶向降低了37%. 这些结果表明, 晶体取向是显著提升SrRuO3基SOT器件综合性能的有效途径, 为发展高效自旋电子器件提供了新思路.

English Abstract

    • 随着人工智能、物联网、云计算等新兴信息技术的高速发展, 市场对于高密度、低功耗电子器件的需求正在飞速增长. 然而, 随着器件尺寸不断减小, 现代电子器件正逼近其物理极限, 芯片将面临高功耗、大发热等严峻挑战. 基于电子自旋自由度的新型器件——自旋电子器件, 有望突破传统电荷器件的瓶颈, 实现信息的高效存储、传输和处理. 在后摩尔时代, 自旋电子器件因其低功耗、非易失性等独特优势, 正受到学术界和产业界的广泛关注[1,2]. 自旋轨道力矩(SOT)效应是自旋电子学的一个重要分支. 它利用材料中的自旋轨道耦合(SOC)效应, 实现电荷流与自旋流的相互转换, 进而实现对铁磁材料磁化状态的有效调控[3,4]. 与传统的自旋转移力矩(STT)技术相比, SOT具有更低的能耗、更简单的器件结构等优点, 因此在高密度磁随机存储器(MRAM)、逻辑电路等领域展现出了广阔的应用前景[5].

      近年来, 过渡金属氧化物(TMO)因其独特的物理特性, 如新奇的量子态、强关联电子效应、多自由度耦合等, 在SOT研究中备受关注[6,7]. 具有强SOC的TMO, 如5d SrIrO3(SIO)[811]和4d SrRuO3(SRO)[1214], 呈现出较大的自旋霍尔角和适中的电阻率(ρ ~ 10–1 mΩ·cm). SRO因其较高的化学稳定性和热稳定性等, 成为TMO家族中的明星材料[15,16], 已被证明可以提供较大且可调的SOT特性[13,17,18]. Li等[19]系统测量了SRO(001)薄膜分别与面内磁各向异性(IMA)和垂直磁各向异性(PMA)材料构成的异质结构中的SOT效率(θsh≈0.2), 并在SRO/PMA异质结构中实现了由SOT诱导的电控磁矩翻转. 然而, 目前对SRO中SOT调控的研究主要集中在利用衬底应力[17,18], 其他调控手段的探索还很不足. 值得注意的是, TMO材料中晶格、轨道、自旋、电荷等多自由度之间存在强相互作用, 使得其拓扑电子态、晶体对称性等性质可以通过应力、掺杂等多种方式进行调控, 为增强自旋-电荷转换提供了广阔的探索空间[20,21]. 例如, Wei等[17]通过应变工程将SRO/Ni81Fe19的SOT效率提高了20倍(从0.04提高到0.89), 且实验表明正交相SRO的SOT 效率明显高于四方相; Zhou等[18]系统地研究了在KTO, STO和NGO三种不同衬底上的外延SRO薄膜的SOT性质, 自旋转矩铁磁共振(ST-FMR)和平面谐波霍尔电压(HHV)测量结果均表明, 当应变由拉伸变为压缩时, SRO的SOT效率降低. 尽管这些研究揭示了应变对SRO中SOT的调控作用, 但除了利用衬底应力, 其他调控SOT的手段仍有待进一步探索. 晶体取向能够通过影响材料对称性、电子结构等, 产生许多新奇的物理性质, 是调控TMO材料物性的重要手段之一[2224]. 鉴于SOT效应与电子结构和表面态密切相关, 晶体取向有望通过调节TMO的电子能带结构和轨道占据, 进而影响SOT性质. 此外, 晶体取向的改变也会影响施加电流及产生自旋流相对于晶格的方向, 从而改变自旋霍尔电导率. 同时, 不同取向的TMO薄膜所受到的衬底应力方向不同, 也为调控SOT提供了另一种可能. 因此, 晶体取向调控有望成为一种新颖的自旋-电荷转换操控手段, 对SOT器件的优化具有重要意义.

      本文聚焦(111)取向的SRO薄膜, 系统探究了晶体取向对SRO/CoPt异质结构SOT性质的影响, 发现(111)取向SRO的SOT效率高达0.39, 是(001)取向的近两倍, 自旋霍尔电导率则从4.68×104提高到2.19×105 $ {\mathrm{\hslash }} $/(2e) Ω–1·m–1. 同时, (111)SRO/CoPt器件实现了低至2.4×1010 A/m2的临界翻转电流密度. 这些结果证明了晶面取向调控是一种行之有效的SOT优化策略, 为进一步提高自旋电子器件的性能提供了新的思路.

    • 利用脉冲激光沉积(PLD)方法, 在SrTiO3(111)衬底上沉积了厚度为24 nm的单晶SRO薄膜. 沉积过程中, 衬底温度维持在700 ℃, 氧压为 0.1 mbar (1 bar =105 Pa). 激光能量密度约为 2.45 J/cm2. SRO沉积完成后, 在生长温度下保温若干分钟后以50 ℃/min的速率在1 mbar氧气氛中冷却至室温, 使薄膜在高温高压下充分弛豫、改善氧空位等. 随后, 在常温、超高真空条件下, 利用磁控溅射方法, 在其上继续沉积Co/Pt多层膜(简称CoPt), 该多层的结构为Pt(1 nm)/Co(0.5 nm)/Pt(0.5 nm)/Co(0.5 nm)/Pt(1 nm). Co和Pt的厚度采用X射线反射率(XRR)方法进行标定. 图1(a)展示了(111)-SRO/CoPt异质结构的示意图, 图1(b)的原位反射高能电子衍射(RHEED)图像中, 清晰的衍射斑点表明薄膜以二维层状方式生长. 原子力显微镜(AFM)图像显示薄膜表面平整, 均方根粗糙度Rq仅为0.135 nm. 利用高分辨X射线衍射(HR-XRD)对薄膜的晶体结构进行了表征, 图1(c)为SRO薄膜的$ \theta $-2$ \theta $扫描结果. 除了STO衬底的(111)和(222)峰外, 图谱中只出现了SRO的(111)和(222)衍射峰, 表明SRO薄膜为(111)单一取向, 无其他杂相生成. SRO(222)峰位对应的面外晶格常数为3.947 Å, 略大于体相SRO的晶格常数(3.925 Å), 说明薄膜中存在面内压应变. 图1(d)为X射线倒易空间映射(RSM)结果, SRO(132)衍射峰与STO(132)峰在Qx方向的峰位一致, 表明SRO薄膜受到了STO(111)衬底应力的完全约束, SRO薄膜在24 nm厚度内未发生弛豫. 图1(e)为CoPt薄膜的面外磁光克尔效应(MOKE)测试结果, 表明CoPt具有良好的垂直磁各向异性(PMA).

    • 采用标准的紫外光刻和氩离子刻蚀方法, 将上述SRO/CoPt薄膜样品制成霍尔条(Hall bar)以备进行后续的磁电性质测试. Hall bar的电流端宽度为10 μm, 电压端宽度为5 μm. 随后, 利用电子束蒸发在Hall bar上依次沉积10 nm Ti和50 nm Au作为电极. 采用谐波霍尔电压(HHV)测量方法, 对(111)-SRO/CoPt器件的SOT相关特性进行测试. SOT效率测量原理如图2(a)图3(a)所示. 首先测量了器件的反常霍尔效应(AHE), 如图2(b)所示, AHE回线呈现出明显的方形特征, 矫顽场约为30 Oe, 反常霍尔电阻RAHE=0.45 Ω, 表明CoPt具有良好的PMA. 在HHV测量中, 沿x方向施加交流电流I (电流密度为Je), 同时沿x方向(纵向)或y方向(横向)施加外加磁场H. 通过测量扫场过程中的一次谐波霍尔电压$ V_{xy}^{1\omega } $和二次谐波霍尔电压$ V_{xy}^{2\omega } $, 利用如下公式可以计算出类阻尼矩(damping-like)等效场HDL和类场矩(field-like)等效场HFL [25]:

      其中, $ \eta $是平面霍尔效应与反常霍尔效应的比值, 为一个较小的值[19]. 为计算HDL, 我们沿x方向施加外加磁场HL, 同时测量$ V_{xy}^{1\omega } $$ V_{xy}^{2\omega } $. 如图2(c)所示, $ V_{xy}^{1\omega } $显示出典型的抛物线的特征, 往返扫场时二次项系数的符号相反; 而$ V_{xy}^{2\omega } $则呈现出明显的线性特征, 往返扫场时斜率大小及符号保持不变, 如图2(d)所示. 通过对$ V_{xy}^{1\omega } $进行抛物线拟合, 可得到不同电流密度Je下的二次项系数; 对$ V_{xy}^{2\omega } $进行线性拟合, 则可得到不同Je下的斜率. 将不同Je下的拟合结果代入上述公式, 即可计算得到相应的HDL. 图2(e)给出了HDL与注入到SRO层中的电流密度JSRO之间的关系, 拟合得到HDL/JSRO = (85.39±2.63) Oe/(1011 A/m2). 利用$ {J}_{{\mathrm{s}}}/{J}_{{\mathrm{e}}}= 2\dfrac{e{\mu }_{0}{M}_{s}{t}_{{\mathrm{F}}{\mathrm{M}}}}{\hslash }{\beta }_{{\mathrm{L}}} $可以计算电荷-自旋转换效率, 其中, tFM是铁磁层CoPt的厚度, Ms是SRO层的饱和磁化强度. CoPt的tFM约为3.5 nm, Ms通过SQUID测量得到, 如图2(f)所示, Ms约为429 emu/cm3. 基于以上测量结果, 计算了(111)-SRO/CoPt异质结构中的SOT效率和自旋霍尔电导率. 在CoPt层饱和磁化强度Ms约为429 emu/cm3的条件下, 该器件的SOT效率ξDL和自旋霍尔电导率σSH分别为0.39和2.19×105$ {\mathrm{\hslash }} $/(2e) Ω–1·m–1. 作为对比, 文献[19]报道的(001)-SRO/CoPt器件的ξDLσSH分别为0.21和4.68×104$ {\mathrm{\hslash }} $/(2e) Ω–1·m–1. 与(001)取向相比, (111)取向的SRO/CoPt器件的SOT效率提高了86%, 自旋霍尔电导率则提高了369%, 说明晶面取向对于SRO基异质结构的SOT性能有显著的调控作用.

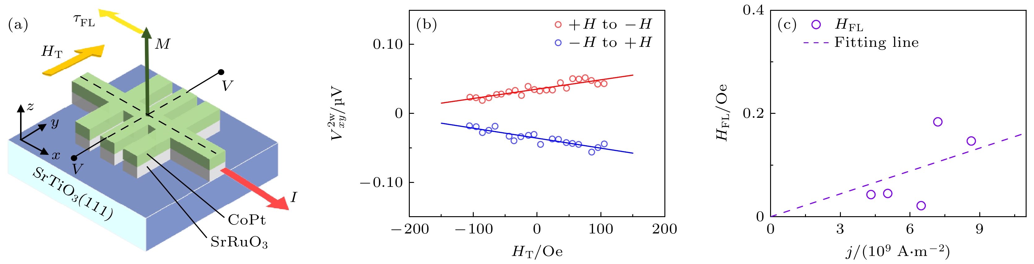
      类似地, 沿y方向施加外加磁场HT, 测量$ V_{xy}^{2\omega } $并计算类场矩等效场HFL. 如图3(b)所示, 当HT扫场时, $ V_{xy}^{2\omega } $也呈现出明显的线性特征, 但往返扫场时斜率符号相反, 这与类场矩的对称性一致[26]. 图3(c)给出了扣除奥斯特场HOe的贡献后的不同电流密度Je下的HFL大小, 拟合得到HFL/JSRO = (1.48±0.39) Oe/(1011 A/m2). 基于以上测量结果, 我们计算得到(111)-SRO/CoPt异质结构中的ξFL为0.0068, 该值非常小, 与文献[19]报道的(001)-SRO/CoPt器件结果一致(ξFL = 0.013). 这表明SRO中的SOT主要产生类阻尼矩有效场HDL, 而类场矩等效场HFL很小, 几乎不存在表面态诱导的Rashba效应, 其SOT效应主要来源于体效应自旋霍尔效应(SHE) [27].

    • 为了更直观地呈现SOT对磁化翻转的作用, 我们在(111)-SRO/CoPt样品中进行了电流诱导的磁化翻转测试. 图4(a)测试装置的示意图和制备好的Hall bar器件的光学显微镜照片. 如图所示, 在Hall bar器件的两端分别接入两个电流源: Keithley 6221提供脉冲写入电流Iwrite以驱动磁化翻转, Keithley 6220提供微小的直流读出电路Iread(200 μA)用以监测霍尔电阻的变化. 同时, Hall bar器件的两个电压端接入Keithley 2182A纳伏表, 用于测量霍尔电压随外加磁场和写入电流的变化.

      图4(a)展示了典型的磁矩翻转测试流程. 实验中, 固定脉冲写入电流Iwrite的脉宽为 200 μs, 幅值在±12 mA范围内扫描. 在扫描电流的同时, 施加一个面内辅助外磁场Hx. 如图4(b)所示, 当Hx = 0时, 器件的霍尔电阻在正负向电流下均无明显变化, 表明磁化未能实现确定性翻转. 这是由于SOT对面外磁化具有镜面对称性, 在零外场下无法克服磁各向异性能垒. 当施加Hx = ±100 Oe时, 器件的霍尔电阻在Iwrite≈±10 mA处出现明显的突变, 呈现出典型的磁滞回线特征, 表明磁化已经实现了确定性的翻转. 当改变Hx的符号, 磁滞回线的极性会发生反转. 这一现象清楚地表明, CoPt层的磁化翻转由SRO层中的SOT驱动, 而非单纯源自焦耳热效应. 值得注意的是, 图4(b)中SOT驱动的磁化翻转引起的霍尔电阻变化量ΔRH约为0.45 Ω, 与图2(b)测得的器件反常霍尔电阻RAHE基本相当, 表明CoPt层的磁化已经实现了接近180°的完全翻转. 基于SRO层的面内电流密度JSRO和CoPt层的面积S, 我们估算出(111)-SRO/CoPt器件的翻转阈值电流密度Jc仅为2.4×1010 A/m2. 这一数值略低于之前报道的(001)-SRO/CoPt器件的翻转阈值电流密度(3.8×1010 A/m2)[19], 且比大多数重金属SOT材料的Jc低了约1个数量级[2830]. 上述结果表明, (111)取向有助于降低SRO基SOT器件的翻转临界电流, 对于实现低功耗磁化控制具有重要意义.

    • 根据以上测试结果, 我们在(111)晶体取向SRO薄膜中观察到了相对于(001)取向显著增强的类阻尼矩等效场HDL, 而类场矩等效场HFL很小, 这与(001)取向SRO中的结果一致[19], 表明SRO薄膜中的SOT主要源自体相的SHE. 对于(111)取向SRO薄膜产生更强的ξDL的成因, 综合多方面影响因素进行了分析. 首先, 不同晶向的SRO薄膜受到的衬底应力不同, 由此引起的应变调控效应可能对SRO(111)的SOT增强有所贡献. Wei等[17]通过实验和理论计算表明, SRO的本征贝里曲率可以通过衬底压缩/拉伸应变进行调控, 从而产生较大的自旋霍尔电导率. Zhou等[18]系统地研究了不同衬底上外延SRO薄膜的SOT效率, 并结合X射线衍射测试和理论计算, 发现SOT效率与SRO的氧八面体旋转密切相关. 其次, 晶向调控可能会额外带来各向异性的应力效应. Jin等[31]发现在(100)或(001)取向的LCMO薄膜中的反铁磁电荷有序绝缘(COI)相, 可以通过沿面内[010]方向的单轴弯曲应力显著调控, 而在其他横向面内方向上几乎不受影响, 表明晶向与应力的耦合作用对材料物性有重要影响.

      除了应力因素外, 晶体取向还能够通过影响SRO的对称性及电子结构等, 使之产生新奇的物理性质. Lu等[22]通过晶体取向调控, 在(110)取向SRO薄膜中获得了完美的PMA, 其PMA能量较(001)取向提高了约1倍. Peng等[24]在(111)取向SRO中观察到了由梯度应变产生的赝电场效应, 并通过原子尺度成像表明该赝电场可以使SRO发生极化, 产生明显的Ru偏心位移, 从而导致SRO(111)中铁电的产生. Wang等[32]报道了(111)取向SRO薄膜中氧八面体倾斜程度的显著抑制等特殊晶体结构效应. 考虑到SOT效应与材料的电子结构密切相关, 我们认为晶体取向通过调节SRO的对称性和电子能带结构等, 有望对SOT性质产生显著影响, 从而实现对SOT的有效调控和增强.

      综上所述, 可认为(111)取向SRO薄膜中更强的SOT效应可能源于多种因素的协同作用, 包括应变调控、各向异性应力效应、晶体对称性变化以及电子结构的调节等. 这些机制共同为(111)SRO薄膜中SOT效应的增强提供了有利条件. 当然, 为了更全面地理解晶向调控对SRO中SOT的影响机制, 还需要开展更深入系统的实验和理论研究工作.

    • 本文聚焦(111)取向SRO薄膜与CoPt铁磁层构成的异质结构, 系统研究了晶面取向对SRO中SOT效应的调控作用. 实验结果表明, (111)-SRO/CoPt器件展现出高达0.39的SOT效率和2.19×105$ {\mathrm{\hslash }} $/(2e) Ω–1·m–1的自旋霍尔电导率, 分别比(001)取向器件提高了86%和369%. 此外, 该器件实现了低至2.4×1010 A/m2的临界磁化翻转电流密度, 较(001)器件降低了37%. 这些结果清楚地表明, 晶面取向对SRO基SOT器件的性能具有显著的调控效果. 本研究结果为后续开发高效、低功耗的自旋轨道力矩磁随机存储器(SOT-MRAM)提供了新的思路, 晶面工程有望成为自旋轨道电子学领域的重要手段, 并在信息存储、能源转换等关键技术领域获得广泛应用.

    参考文献 (32)

目录

/

返回文章
返回