-
石墨烯是一种具有蜂窝状结构的二维材料, 具有许多奇异的性质[1–8]. 其晶格结构可分成两个三角晶格, 记为A, B子格; 石墨烯的第一布里渊区为六边形. 如果仅考虑最近邻原子之间的跃迁, 可利用紧束缚模型得到石墨烯的色散关系, 在第一布里渊区的6个顶点附近, 该色散关系在低能下是线性的, 可用狄拉克方程描述[9–11], 这6个点称为狄拉克点. 通过计算本征矢, 可以把6个点分为交替出现的两类, 称为K, K' 点. 狄拉克点处石墨烯的能带表现为无能隙的锥形. Haldane模型[12]在此基础上考虑A, B子格上相反的在位能即AB子格势和带相位的次近邻原子间跃迁, 分别打破了空间反演对称性与时间反演对称性[13,14], 两种破缺的对称性的竞争产生了量子化的霍尔电导[15–21], 得到了所谓的量子反常霍尔效应[15,22–24]. 实验上, Haldane模型曾在超冷费米子系统, 光晶格中实现, 并且有对称性保护的Haldane相位也在Fermi-Hubbard模型中实现[25–28]. 量子反常霍尔效应解决了量子霍尔效应需要巨大外磁场的问题, 是对拓扑材料的理论预测和实验制备的探索中的重要一步, 在Haldane模型的基础上, Kane和Mele等[29]预测石墨烯中存在量子自旋霍尔效应, 据此实验上在HgTe/CdTe量子阱体系中第一次获得了拓扑绝缘体[30]. 此后在理论和实验上陆续发现了其他类型的二维拓扑绝缘体材料, 拓扑绝缘体的概念也被拓展到三维[31,32]. 拓扑绝缘体之所以引起人们的极大兴趣是其具有受拓扑保护的边缘态, 在无序的影响下表现出鲁棒性.
安德森无序在拓扑边缘态的研究中十分常见, 它是对紧束缚模型施加于指定区域每个格点上的随机在位势能无序, 其数值在
$ \pm {W {/ } 2}$ 范围内均匀 分布,$W$ 为无序强度. 研究发现, 安德森无序还能诱导系统产生新的拓扑相, 并将其称为拓扑安德森绝缘体(TAI)[33]. TAI自被发现以来备受关注, 在自旋不守恒的BHZ模型[34]以及三维拓扑绝缘体[35]等系统中, 理论上都可以产生TAI. 实验上也在声学系统[36]、光子晶体[37]、拓扑电路[38]等系统观察到了TAI. 最近, TAI也被推广到四维拓扑绝缘体[39]与准晶[40]等体系. BHZ模型中不同于拓扑绝缘体相, TAI相产生于导带而非带隙中, 无序为零时系统为金属态. 随无序强度从零增大, 系统的电导先降至零又反常增大形成量子化平台, 发生金属到普通绝缘体再到TAI的转变. 值得一提的是, 不论系统是否打开拓扑非平庸的带隙都可以出现TAI. Groth等[41]对此提出了一种有效介质理论, 他们认为BHZ模型哈密顿量中的二次动量项作用在受无序影响的态上时, 会对拓扑质量项产生一个总是小于零且和无序强度相关的修正. 不管原拓扑质量项的符号如何, 重整化后的拓扑质量项的符号可以小于零, 从而导致能带反转, 产生新的拓扑传输态. Orth等[42]将TAI推广到同样存在量子自旋霍尔效应的Kane-Mele模型中. Kane-Mele模型中的拓扑质量项也会在无序作用下重整化, 在费米能级位于导带中时产生TAI, 这与BHZ模型相似. 此外, 在一定参数下, 费米能级位于拓扑平庸的带隙中时, Kane-Mele模型中也会出现TAI. Haldane模型也是拓扑非平庸的体系, 其拓扑特性的来源和Kane-Mele模型类似, 是石墨烯蜂窝晶格中的次近邻跃迁项, 但又有所不同: Kane-Mele模型中的次近邻项源于自旋轨道耦合, 为纯虚数, 保持了时间反演对称性, 而Haldane模型中的次近邻项有实有虚, 导致时间反演对称性破缺. 这使得其具有更加丰富的性质. 对于Haldane模型, 在常态下拓扑平庸和拓扑非平庸的系统中, 是否会由于无序的诱导产生不同的相? 本文将在加入无序的Haldane模型中探讨这一问题.本文在有限宽无限长的ZigZag边界石墨烯条带中应用Haldane模型, 通过参数映射的方法分析得出了体系的拓扑相变临界点. 在未加无序情况下用紧束缚模型计算其能带结构, 凸显了拓扑相变前后系统均有边缘态且边缘态与体态共存等特征. 然后加入安德森无序, 利用非平衡格林函数方法计算局域电流密度、子带的透射系数以及电导等输运性质来体现体系对无序的响应以及无序诱导下的相变. 计算结果表明, Haldane模型由其质量项的变化打开拓扑非平庸的带隙时, 加入无序可以使费米能级位于导带中的普通金属态转变为TAI态, 与体态共存的受拓扑保护的边缘态在这一转变中起重要作用. 值得注意的是, 拓扑平庸的边缘态在安德森无序的作用下也表现出一定的鲁棒性. 第2节从无限大石墨烯平面写出ZigZag边界石墨烯条带紧束缚模型哈密顿量, 并分析其拓扑性质, 再详细展示局域电流密度与电导的非平衡格林函数方法推导过程. 第3节包含系统能带、局域电流密度、子带透射系数与电导的数值计算结果, 以及对结果的讨论和分析. 最后, 第4节进行简要的总结.
-
Haldane模型中带相位的次近邻跃迁可以看作是引入了一个赝磁场, 这个赝磁场周期性改变方向, 使得AB子格磁通相反, 一个六角格子中总磁通为零, 不破坏系统平移不变性. 在次近邻跃迁的基础上再考虑AB子格势, 设A, B原子的在位能分别为
${U_{\text{A}}} = - {U_{\text{B}}} = M$ , 二维无限大石墨烯k空间哈密顿量写作:其中
${{\boldsymbol{a}}_n}$ 为最近邻原子之间位置矢量, n = 1, 2, 3,${{\boldsymbol{a}}_1} = a(0, {\text{ }}1)$ ,$ {{\boldsymbol{a}}_2} = a( - {{\sqrt 3 } {/ } 2}, {\text{ }} - {1 {/ } 2}) $ ,${{\boldsymbol{a}}_3} = a({{\sqrt 3 } {/ } 2}, - {1 {/ } 2})$ ,$a$ 为晶格常数,${{\boldsymbol{b}}_n}$ 由${{\boldsymbol{a}}_n}$ 定义,${{\boldsymbol{b}}_1} = {{\boldsymbol{a}}_2} - {{\boldsymbol{a}}_3}$ ,${{\boldsymbol{b}}_2} = {{\boldsymbol{a}}_3} - {{\boldsymbol{a}}_1}$ ,${{\boldsymbol{b}}_3} = {{\boldsymbol{a}}_1} - {{\boldsymbol{a}}_2}$ .${t_n}$ 是次近邻跃迁强度,$\phi $ 是次近邻跃迁相位,$t$ 是最近邻跃迁强度.${\varepsilon _k}$ 为常数项系数,$M{{\boldsymbol{\sigma}} _z}$ 代表AB子格拥有不同在位能,${m_{{\text{Hd}}}}$ 为质量项系数.${{\boldsymbol{\sigma }}_0}$ 为单位矩阵,${{\boldsymbol{\sigma }}_{i\left( {i = x, y, z} \right)}}$ 为代表A, B子格的泡利矩阵. 从哈密顿量的形式中可分析得出系统的拓扑性质: 该k空间哈密顿量是一个二能级哈密顿量, 忽略对拓扑无影响的常数项, 可写为$ {\boldsymbol{H}} = {\boldsymbol{R}} \cdot{\boldsymbol{ \sigma }}$ 的形式, 原本的二维变量${\boldsymbol{k}}$ 可以映射到${\boldsymbol{R}}$ 的3个分量组成的三维参数空间中. 在此参数空间中, 低能带的贝里相位为[43]其中c为参数空间中封闭演化路径,
$ {{\boldsymbol{A}}_n}({\boldsymbol{R}}) = {\text{i}}\langle {u_n}({\boldsymbol{R}})|{\nabla _{\boldsymbol{R}}}|{u_n}({\boldsymbol{R}})\rangle $ 为贝里连接, 由于贝里连接类似于磁矢势, 依赖于波函数$ |{u_n}(R)\rangle $ 的规范, 利用斯托克斯公式, 可引入不依赖于规范的贝利曲率$ {{\boldsymbol{\varOmega }}_n}\left( {\boldsymbol{R}} \right) = \nabla \times {{\boldsymbol{A}}_n}({\boldsymbol{R}}) $ . 贝里相位最终可表示为其中
$ {{\boldsymbol{R}}_0} $ 是$R$ 方向的单位矢量,$S$ 是${\boldsymbol{R}}$ 参数空间中的封闭曲面. 由(3)式易得贝里相位有0和$2{\text{π}}$ 两个值, 分别对应拓扑平庸和拓扑非平庸. 要想使贝里相位等于$2{\text{π}}$ , 封闭曲面$S$ 要有${\boldsymbol{R}}$ 矢量场的“源”, 也就是要求$ {\boldsymbol{R}} $ 可以取任意方向. 在${{\boldsymbol{\sigma}} _z}$ 表象下, 这意味着${R_z}$ 可正可负, 即哈密顿量中质量项$ M + {m_{{\text{Hd}}}} $ 的值随着$k$ 的变化可正可负. 计算可得$\left| M \right| > 3\sqrt 3 {t_n}\left| {\sin \phi } \right|$ 时该值恒正(负), 系统拓扑平庸, 反之拓扑非平庸.Haldane模型的实空间紧束缚模型哈密顿量写为[12,44,45]
$c_i^ + \left( {{c_i}} \right)$ 表示在格点$i$ 处的产生(湮灭)算符,${v_i} = \pm 1$ , 格点$ i $ 在A子格中${v_i} = 1$ , 在B子格中${v_i} = - 1$ . 顺时针方向跃迁获得相位$\phi $ , 逆时针方向跃迁获得相位$ - \phi $ .$ \left\langle {i, j} \right\rangle $ 标记最近邻,$\left\langle {\left\langle {i, j} \right\rangle } \right\rangle $ 标记次近邻. 计算输运性质时, 体系选为x方向具有周期性, y方向有限的ZigZag边准一维石墨烯条带, 根据图1(a)所示单位元即可写出(4)式具体形式. -
本节通过非平衡格林函数方法推导出电流与电导的计算公式. 当我们在系统两端施加一个电压
${\text{δ }}V = {V_{\text{L}}} - {V_{\text{R}}}$ , 通过非平衡格林函数方法, 位置$i, j$ 间的电流可写作[46–49]:式中
$e$ 为电子电荷,$ {\boldsymbol{G}}_{ij}^ < \left( E \right) $ 为中心散射区的小于格林函数矩阵元, 由于本文考虑到次近邻项, 根据$i, j$ 格点位置关系,${H_{ij}} = t$ 或${t_n}{{\text{e}}^{ \pm {\text{i}}\phi }}$ ,$ \pm {\text{i}}\phi $ 的符号选取由$i, j$ 的位置决定, 由$i$ 到$j$ 为顺时针${H_{ij}}$ 取正, 反之取负, 已知哈密顿量的形式((4)式), 利用${\boldsymbol{G}}_{ij}^ < \left( E \right) = - {\left[ {{\boldsymbol{G}}_{ji}^ < \left( E \right)} \right]^ + }$ , (5)式可改写为[50]其中
${{\boldsymbol{J}}_{\left\langle {i, j} \right\rangle }}$ 和$ {{\boldsymbol{J}}_{\left\langle {\left\langle {i, j} \right\rangle } \right\rangle }} $ 分别表示$i, j$ 互为最近邻和次近邻时的电流. 根据Keldysh方程, 小于格林函数可表示为其中
$\alpha = {\text{L, }} {\text{R}}$ 分别表示系统左右两端导线. 散射区的推迟格林函数为两端导线的影响已经被包含在自能中.
${{\boldsymbol{H}}_{\text{c}}}$ 是孤立的散射区哈密顿量,$ {\boldsymbol{\varSigma }}_\alpha ^{\text{r}} = {\left( {{\boldsymbol{\varSigma}} _\alpha ^{\text{a}}} \right)^ + } = {{\boldsymbol{H}}_{c\alpha }}{\boldsymbol{g}}_{\alpha 00}^{\text{r}}{{\boldsymbol{H}}_{\alpha c}} $ 表示由于$\alpha $ 侧导线耦合而产生的延迟自能,${\boldsymbol{ g}}_{\alpha 00}^{\text{r}} $ 表示其相应表面格林函数,$ {{\boldsymbol{H}}_{c\alpha }} = {\boldsymbol{H}}_{\alpha c}^ + $ 为散射区与导线相互作用哈密顿量.${f_\alpha }\left( E \right) = {f_0}\left( {E - {\text{e}}{V_\alpha }} \right)$ ,${f_0}\left( E \right)$ 为费米分布函数.${{\boldsymbol{\varGamma}} _\alpha } = {\text{i}} \cdot \left( {{\boldsymbol{\varSigma}} _\alpha ^{\text{r}} -{\boldsymbol{ \varSigma}} _\alpha ^{\text{a}}} \right)$ 是$\alpha $ 侧的展宽函数.在不打破时间反演对称性时, 流密度算符由于包含速度算符会改变符号导致平衡电流为零[48]. 本文系统虽然打破时间反演对称性, 但考虑到平衡部分对输运不做贡献, 将其抛弃仅考虑非平衡部分[47,51,52], (8)式右侧演化为
因为哈密顿量定义在离散的格点上, 以上局域电流的计算也针对单独的格点, 为了得到格点
$i$ 处的电流密度, 我们需要把此位置的所有最近邻和次近邻电流矢量相加. 通过局域电流矢量可以得到电导${\mathcal{G}_{{\text{LR}}}} = {J_i}/{\text{δ }}V$ [53], 也可将零温下两端口系统在${E_{\text{F}}}$ 处电导表示为[54]其中
$ {\mathrm{Tr}}\left\{ {{{\mathrm{Re}}} \left[ {{{\boldsymbol{\varGamma}} _{\text{L}}}\left( E \right){{\boldsymbol{G}}^{\text{r}}}\left( E \right){{\boldsymbol{\varGamma}} _{\text{R}}}\left( E \right){{\boldsymbol{G}}^{\text{a}}}\left( E \right)} \right]} \right\} $ 为总传输系数$T$ [55–57], 子带传输系数${T_n}$ 即传输矩阵$ {{\boldsymbol{\varGamma}} _{\text{L}}}\left( E \right) {{\boldsymbol{G}}^{\text{r}}}\left( E \right){{\boldsymbol{\varGamma}} _{\text{R}}}\left( E \right){{\boldsymbol{G}}^{\text{a}}}\left( E \right) $ 的特征值, 其非零特征值的个数即为该费米能下传输子带的个数. -
本节首先介绍不存在无序时系统能带随AB子格势的变化情况. 在哈密顿量表达式(3)式中,
$M{{\boldsymbol{\sigma}} _z}$ 破坏系统空间反演对称性,${m_{{\text{Hd}}}}{{\boldsymbol{\sigma}} _z}$ 进一步破坏时间反演对称性, 当两项同时存在, 被破坏的两种对称性的竞争就在质量项中体现. 2.1节已分析得出$\left| M \right| = 3\sqrt 3 {t_n}\left| {\sin \phi } \right|$ 为拓扑转变点. 当$\left| M \right| < 3\sqrt 3 {t_n}\left| {\sin \phi } \right|$ , 狄拉克点处带隙打开, 系统拓扑非平庸, 在$\left| M \right| = 3\sqrt 3 {t_n}\left| {\sin \phi } \right|$ 处系统带隙闭合, 随着$M$ 继续增大, 带隙再次打开, 而此时体系已变为 拓扑平庸的绝缘体. 计算时其他参数设置为: 晶格常数$a = 1$ , 次近邻跃迁强度${t_n} = 0.1 t$ , 相位$\phi = {\text{π/}}2$ , 其中$t$ 为最近邻跃迁强度. 图2(a), (d)与图2(b), (c), (e), (f)分别展示无限大石墨烯平面与ZigZag边界准一维石墨烯条带中Haldane模型的能带结构随AB子格势M 的变化情况. 图2(a), (b)为M = 0的情况, 从图2(a)可以清楚地看到六边形的第一布里渊区以及其角上的6个高对称点, 即由于对称性破缺打开带隙的狄拉克点对应于图2(b)中导带的两个最低点与价带的两个最高点. 图2(d), (e)中,$ M=M_{\mathrm{t}}=0.52t=3\sqrt{3}t_n\left|\sin\phi\right| $ , 各个高对称点不再对称, 且此时带隙恰好闭合形成具有线性色散关系的狄拉克点. 系统到达拓扑平庸与非平庸的临界状态, 发生由带相位的次近邻跃迁主导的拓扑态到AB子格势主导的非拓扑态转变. 图2(c)代表$ 0 < M < M_{\mathrm{t}} $ 时系统的能带结构, 加入M 后两个打开带隙的狄拉克点即不再对称, 整体带隙变窄. 图2(f)为$ M > M_{\mathrm{t}} $ , 系统拓扑平庸. 对于Haldane模型, 不同参数下的准一维条带能带图中均可看到红线所示的边缘态, 且在$M > 0$ 时在一定能量范围内体态和边缘态共存. 图1(b)展示在整个能带变化过程中两个狄拉克点处带边随M 的变化, 虚线与实线两部分为从无限大石墨烯平面的哈密顿量得到的E-M关系:菱形与圆形部分为ZigZag边石墨烯条带的带边位置, 在石墨烯条带尺寸较大时, 两者结果完全一致. 图示曲线部分极小值点(绿色星号标记点)所对应的横坐标即拓扑转变点
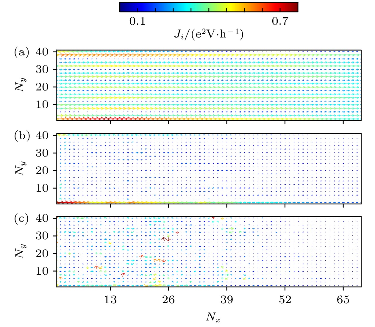
$ M_{\mathrm{t}} $ , M 取在$ M_{\mathrm{t}} $ 左侧时($ 0 < \left| M \right| < 3\sqrt 3 {t_n}\left| {\sin \phi } \right| $ ), 两个狄拉克点处的带隙宽度随$M$ 的增大变化趋势相反. M 取在右侧时, 系统恢复拓扑平庸, 两狄拉克点处的带隙同时随$M$ 的增大变宽.接下来研究加入无序后系统输运性质的变化. 安德森无序会将输运态局域化, 使其透射系数降为零, 称为安德森局域化. 而图2(b), (d)中的边缘 态受到拓扑保护, 在一定无序下应能不被局域化而保持稳定, 其他体态以及图2(f)中边缘态随无序增大将逐渐消失. 局域电流密度的变化可以直观地反映无序对系统输运性质的影响, 图3和图4分别绘制了
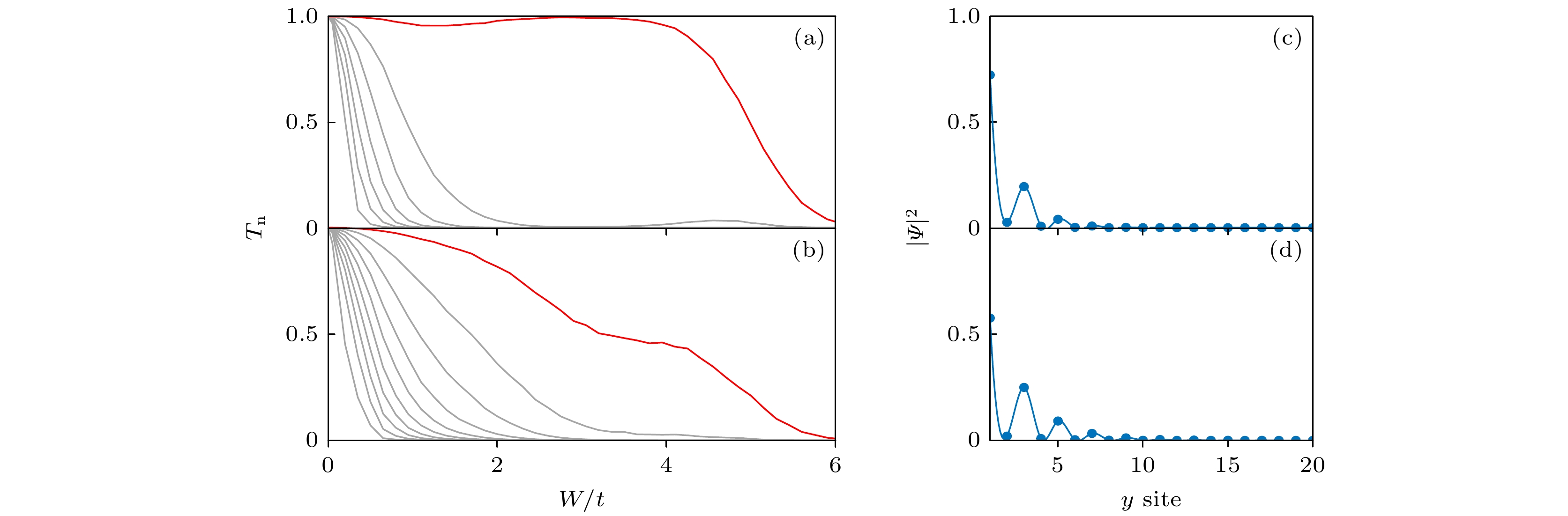
$M = 0.3 t$ 和$M = 0.7 t$ 时系统向右的电流密度分布随无序的变化, 费米能${E_{\text{F}}} = 0.25 t$ 在导带内. 文中呈现的是2000次计算后得到的平均结果. 在绘图时, 为了更清晰地展示流密度的变化, 将图1(a)中所示原胞内部Ny方向两层内的8个格点作为一个位置, 该位置的箭头方向表示电流方向, 颜色代表电流密度大小. 随着无序的增大, 流密度依次展示出如下变化. 1)如图3(a)和图4(a)所示, 体态和边缘态共存, 边界态的电流密度明显更大, 在轻度无序下二者向右减弱, 但幅度并不明显, 可看到清晰连续的电流密度. 2)随着无序的增强, 如图3(b)和图4(b)中显示, 散射区内部各处局域电流无规则化, 说明体态在无序影响下已经局域化, 其传输系数应快速减小. 而二者下边缘的边缘态仍较好地保持, 图3(b)中的边缘态几乎不向右减弱, 其稳定性反而有所增强. 相比之下, 图4(b)中下边缘处电流明显受到更强的散射. 3) 无序进一步增强, 系统流密度如图3(c)和图4(c)所示, 边缘态也被局域化, 整个散射区没有输运态, 系统变为绝缘体. 综合来看, 随着无序的增强, 不论是否拓扑非平庸, 体态都先于边缘态局域化消失, 在中等无序下形成了一个体内绝缘, 但边缘导电的状态, 由于电流密度图不能看出边缘态是否能在无序下保持稳定, 尚不能证明这就是TAI, 需要进一步计算传输系数和电导. 此外值得注意的是, 当$W = 0.8 t$ 时, 拓扑非平庸的边缘态电流密度的变化与平庸的边缘态类似, 无序增强体态消失后才表现出比后者更具稳定性, 这可能是由于体态对边缘态的影响.为了研究边缘态与体态各自受无序的影响情况, 计算了与图3和图4相同费米能下各子带的传输系数随无序强度增大的变化情况, 如图5所示. 图5(a), (b)分别为系统处于拓扑非平庸以及拓扑平庸状态, 通过计算电子在条带y方向的概率分布(图5(c), (d)), 可以知道两幅图中最上曲线对应图2所示的边缘态, 其他曲线为体态. 随着无序强度的增大, 两幅图中的体态均快速下降至0, 而图5(a)中边缘态的传输系数在轻无序下稍有下降, 但在体态全部归零后, 随无序增大反而增大, 依旧保持值为1. 这对应于图3(b)所示的无序对传输系数的反常增强作用. 结合体带透射系数的变化, 可以认为无序通过杀死体态抑制了边缘态与体态的相互散射, 同时边缘态受到拓扑保护无背散射, 使得在该无序强度范围内系统存在稳定的边缘态. 无序进一步增大超过拓扑保护的极限, 边缘态也被局域化传输系数下降到零. 而在图5(b)中边缘态随无序强度的上升而下降, 但在中度无序下下降速度减缓, 而此时体态基本消失, 说明在拓扑平庸的系统中边缘态也有鲁棒性.
图3—图5表明, 随着无序强度的增大系统的输运性质经历了3个阶段的变化, 这是由于Haldane模型在费米能位于导带中时边缘态与体态共存, 而二者对无序的响应不同. 受拓扑保护的边缘态与体态的相互散射使得其输运稳定性下降, 表现为电流密度以及传输系数的减小. 而不论是否拓扑平庸, 边缘态都有鲁棒性, 体态会比边缘态更快地局域化. 而当体态被无序完全局域化后, 在拓扑平庸的系统中, 相互散射的减小使得边缘态的减弱变慢. 而拓扑非平庸的边缘态则再次表现出对无序的强抵抗力. 此时系统体内绝缘并有稳定的边缘态, 从金属转变为一种拓扑绝缘体, 这就是Haldane模型中TAI的成因.
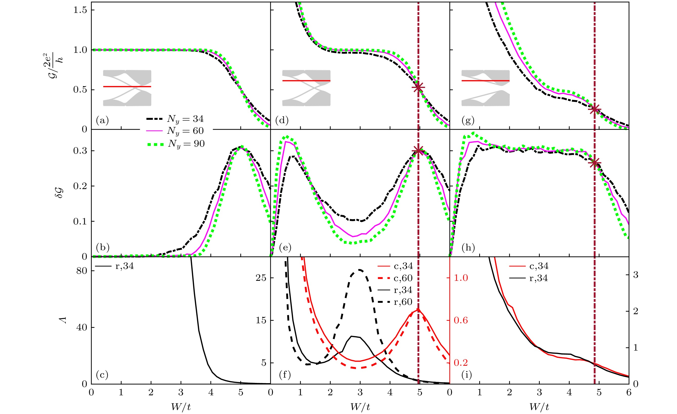
为了验证系统中产生的不同相, 分别计算了电导
$\mathcal{G}$ , 电导涨落${\text{δ}}\mathcal{G}$ 及重整化局域化长度$ {\varLambda } $ (局域化长度与系统宽度的比值)随无序的变化情况, 如图6所示. 局域化长度即波函数从原点衰减至趋于零时经过的长度, 是用于表征系统中态在无序作用下被局域化的程度的物理量. 在准一维有限宽的条带体系中, 局域化长度可通过将系统格林函数矩阵向无穷长迭代求出[58]. 图6中每一列电导图中内嵌的能带图标明了费米能级的位置. 费米能选取在体带隙(${E_{\text{F}}} = 0.15 t$ )和略高于能隙的导带(${E_{\text{F}}} = 0.25 t$ )中时, 系统分别表现为拓扑陈绝缘体和金属. 引入无序后, 如图6(a)—(c)所示的拓扑陈绝缘体表现出其应有的拓扑保护特性, 电导几乎不受轻中度无序的影响, 其涨落为零. 图6(d)—(f)中, 系统为金属且M小于拓扑相变临界值${M_{\text{t}}}$ . 在轻无序下, 电导被快速抑制, 涨落快速升高, 局域化长度下降, 这标志着系统的体扩展态被无序散射并逐渐局域化. 中度无序下, 电导停止下降并呈现量子化平台, 与此同时电导涨落快速下降, 并且图6(f)显示条带中局域化长度增大出现峰值, 这清楚地表明系统中出现了TAI相. 当无序足够强, 该参数下的系统与拓扑陈绝缘体给出了相同的变化: 量子化平台被破坏, 电导涨落快速升高, 局域化长度下降, 这表明系统的边缘态被局域化. 在无序临界值${W_{\text{C}}}$ 处(图中星号标记), 电导的涨落到达峰值, 系统变为普通绝缘体(具体来说是由于安德森局域化形成的安德森绝缘体[59]).${W_{\text{C}}}$ 值与系统的宽度无关. 条带宽度增大时, 量子化平台趋于稳定, 电导的涨落变得更小, 这是由于此时边缘态的距离增大, 彼此的交叠更小.综上, 随着条带系统中无序强度的增大, 系统发生了两个转变, 一个是金属-TAI, 另一个是TAI-普通绝缘体. 对于TAI相, 由于边缘传输态的存在, 系统整体上表现为金属, “绝缘体”指的是其体内绝缘. 因此, 两个转变中第1个是金属到金属转变, 第2个是金属-绝缘体转变, 这从电导及其涨落中可以清晰地看出, 但在局域化长度的数据图中无法找出明确的转变点. 故我们计算了对y方向取周期性边界条件的圆筒形结构的局域化长度. 在圆筒结构中, 没有边缘态, 条带结构中的TAI相变为能带绝缘体相, 这表明正是拓扑边缘态的存在支持系统产生了TAI相. 相应的转变变为金属-能带绝缘体-安德森绝缘体转变. 在不同宽度下, 局域化长度恰好在
${W_{\text{C}}}$ 出现一个不动点(最高点), 完全对应于条带结构中电导图的金属绝缘体转变点(见图6(d)—(f)中红色点划线), 可以推断该点为系统第2次转变的相变临界点. 与无序会引起的陈绝缘体到普通绝缘体的量子霍尔相变[60]类似, 理论上可以推断, 在此临界点附近, 存在关联长度与无序强度变化的固定次幂成正比的标度关系. 改变AB子格势使$M > {M_t}$ (图6(g)—(i)), 系统中只有拓扑平庸的边缘态, 引入无序后系统不产生TAI相, 系统遵循在无序下金属绝缘体转变(点划线以及星号标记转变点)的一般过程, 电导单调地减小为零, 电导的涨落不出现谷结构, 但在中度无序下电导下降速度减缓. 从局域化长度的变化中也可看出, 系统中不出现新的相, 局域化长度单调减少. 中等无序下, 相比圆筒结构, 可看到条带结构中边缘态对局域化长度的贡献. 这正与图5(b)展示的曲线及图4(b)中下边缘电流相对应, 是由于在此无序强度下体态被被消灭而边缘态有鲁棒性仍存在, 但边缘态鲁棒性较差电导不能保持不变. -
本文在ZigZag边界的准一维石墨烯条带中研究了Haldane模型中的TAI现象. 研究发现, 对于Haldane模型, 费米能级在导带中的系统打开拓扑非平庸带隙时, 随着无序的增大会发生金属-TAI-普通绝缘体的转变, 打开拓扑平庸带隙时, 仅能清楚地看到金属-普通绝缘体相变, 虽然无法出现量子化的电导平台形成TAI, 但在一定无序范围内电导下降趋势明显减缓. 此外, 分析了Haldane模型的拓扑性质, 得出了AB子格势的拓扑临界值, 并注意到AB子格势大于零时Haldane模型的能带结构中存在边缘态以及其体能带中体态与边缘态的共存等特征. 对传输性质的数值计算结果揭示了TAI的形成过程: 对于费米能在体能带中的系统, 轻度无序下边缘态会散射到体态, 传输系数下降; 随着无序的加强体态被局域化消失, 边缘态由于仍在拓扑保护的限度内不会被局域化也不会被散射, 传输系数回升至1, 形成量子化电导平台. 电导涨落与重整局域化长度的变化确认了TAI相的出现. 圆筒形结构中的局域化长度变化曲线标识出了TAI相-普通绝缘体的相变临界点. 拓扑平庸的边缘态也具有鲁棒性, 虽然不能形成TAI, 但同样存在体态消失后边缘态散射减少导致的稳定性增强. 说明导带边缘态鲁棒性虽不及拓扑非平庸边缘态, 但仍明显强于体态. Armchair边界的石墨烯条带与ZigZag边界的石墨烯条带拓扑性质和输运性质完全相同. 上述结果表明, Haldane模型中TAI的首要条件是具有强鲁棒性的拓扑非平庸边缘态. 该边缘态与体态共存于导带, 并且在无序影响下后者更快消失是TAI的成因. 其他具有相似特点的体系中也可能有TAI现象.
石墨烯中的拓扑安德森绝缘体相
Topological Anderson insulator phase in graphene
-
摘要: 石墨烯是具有蜂窝结构的特殊二维材料, 在电子器件应用方面具有潜力. 拓扑安德森绝缘体现象是一种在无序诱导下系统从金属转变为拓扑绝缘体即拓扑安德森绝缘体的新奇现象. 本文基于Haldane模型, 利用非平衡格林函数理论, 分别计算了不同状态下ZigZag边界准一维石墨烯条带的输运性质随无序的变化. 研究发现拓扑平庸和拓扑非平庸状态下的系统都具有鲁棒的边缘态. 当费米能处于导带中, 两种状态的系统在较弱和较强无序作用下电导快速下降, 而在中等无序强度下, 前者电导下降减缓, 后者出现电导为一的平台, 表明系统出现拓扑安德森绝缘体相. 对边缘态与体态的传输系数的分析表明Haldane模型中上述现象的形成基础是体态与鲁棒边缘态的共存, 随着无序的增强体态被局域化, 拓扑平庸的边缘态能一定程度下抵抗中等强度的无序, 有拓扑保护的边缘态鲁棒性更强几乎不受影响, 使得系统输运稳定性增强并产生电导平台.Abstract: Graphene, a two-dimensional material characterized by its honeycomb lattice structure, has demonstrated significant potential applications in electronic devices. The topological Anderson insulator (TAI) represents a novel phenomenon where a system transforms into a topological phase induced by disorder. In past studies, TAI is widely found in theoretical models such as the BHZ model and the Kane-Mele model. A common feature is that these models can open topological non-trivial gaps by changing their topological mass terms, but the rise of TAI is independent of the topological status of gaps. In order to investigate whether there is any difference in the disorder-induced phase between topologically trivial and topologically non-trivial cases of the Haldane model in the clean limit, the Haldane model in an infinitely long quasi-one-dimensional ZigZag-edged graphene ribbon is considered in this work. The Hamiltonian and band structure of it are analyzed, and the non-equilibrium Green's function theory is used to calculate the transport properties of ribbons under topologically trivial and non-trivial states versus disorder. The conductance, current density, transport coefficient and localisation length are calculated as parameters characterising the transmission properties. It is found from the analysis of the band structure that the system in either topological trivial or topological non-trivial state has edge states. When the Fermi energy lies in the conduction band, the conductance of the system decreases rapidly under weak disorder intensity and strong disorder intensity, regardless of whether the system is topologically non-trivial or not. At moderate disorder intensities, the conductance of topologically non-trivial systems keeps stable with a value of 1, indicating the appearance of the topological Anderson insulator phase in the system. Meanwhile, for topological trivial systems, the decrease of conductance noticeably slows down. The calculations of local current density show that both systems exhibit robust edge states, with topologically protected edge states showing greater robustness. The analysis of the transmission coefficients of edge state and bulk state indicates that the coexistence of bulk states and robust edge states is the basis for the phenomena observed in the Haldane model. Under weak disorder, bulk states are localized, and the transmission coefficient of edge states decreases due to scattering into the bulk states. Under strong disorder, edge states are localized, resulting in zero conductance. However, at moderate disorder strength, bulk states are annihilated while robust edge states persist, thereby reducing scattering from edge states to bulk states. This enhances the transport stability of the system. The fluctuation of conduction and localisation length reveal that the metal-TAI-normal insulator transition occurs in the Haldane model with topological non-trivial gap and if the system is of cylinder shape, there will be no edge states, the TAI will not occur. For the topological trivial gap case, only metal-normal insulator transition can be clearly identified. Therefore, topologically protected edge states are so robust that they generate a conductance plateau and it is demonstrated that the topologically trivial edge states are robust to a certain extent and can resist this level of disorder. The robustness of edge states is a crucial factor for the occurrence of the TAI phenomenon in the Haldane model.
-
Key words:
- quantum anomalous Hall effect /
- disorder /
- topological Anderson insulator /
- quantum transport .
-
-
图 1 (a) 当Ny = 2, Nx = 4时, ZigZag边界石墨烯条带几何结构图, 红色突出显示系统单位元, 即Nx = 1,
${{\boldsymbol{a}}_1}, $ ${{\boldsymbol{a}}_2}$ 为格矢; (b) Ny = 80时, 无限大石墨烯平面及ZigZag边界石墨烯条带狄拉克点处带边位置随M 变化图, 图中由绿色线串联的两个绿色星号标记了系统拓扑转变点Figure 1. (a) Geometry of ZigZag graphene ribbon when Ny = 2, Nx = 4, the red rectangle in the figure shows the geometry of the unit cell, Nx = 1,
${{\boldsymbol{a}}_1}, $ ${{\boldsymbol{a}}_2}$ are lattice vectors; (b) variation of band edges with M at Dirac points in the infinite graphene plane and ZigZag graphene ribbon for Ny = 80, green stars connected by a green line mark the system topology transition points.图 2 (a), (d)无限大石墨烯平面能带结构图, 白色六边形标注了第一布里渊区, 颜色条代表能量E的大小 (a)
$M = 0$ ; (d)$M = $ $ 0.52 t$ . (b), (c), (e), (f)无限长ZigZag边石墨烯条带能带结构 (b)$M = 0$ ; (c)$M = 0.3 t$ ; (e)$M = 0.52 t$ ; (f)$M = 0.7 t$ . 将M或$\phi $ 反号可以使能带的闭合位置转移至另外的狄拉克点Figure 2. (a), (d) Band structure of two-dimensional infinite graphene surface, the first Brillouin zone is marked by the white hexagon in the figure, and the color bar represents the value of energy E: (a)
$ M = 0 $ ; (d)$M = 0.52 t$ . (b), (c), (e), (f) Band structure of infinitely long ZigZag-edge graphene ribbon: (b)$M = 0$ ; (c)$M = 0.3 t$ ; (e)$M = 0.52 t$ ; (f)$M = 0.7 t$ . Inverting the sign of M or$\phi $ shifts the closure position of the energy band to the other Dirac point.图 3 Ny = 40, Nx = 69,
$ M = 0.3 t $ ,$ {E_{\text{F}}} = 0.25 t $ 时, 不同无序强度下体系的局域电流密度Ji分布图 (a) W = 0.8t; (b) W = 2.8t; (c) W = 5tFigure 3. Local current density distribution of the system for different strength of the disorder with Ny = 40, Nx = 69,
$ M =0.3 t $ and$ {E_{\text{F}}} =0.25 t $ : (a) W = 0.8t; (b) W = 2.8t; (c) W = 5t图 5 (a), (b)子带传输随无序的变化; (c), (d) 边缘态概率密度y方向分布图; (a), (c)
$M = 0.3 t$ ,${E_{\text{F}}} = 0.25 t$ , Ny = 90, Nx = 156; (b), (d)$ M = 0.7 t $ ,${E_{\text{F}}} = 0.25 t$ , Ny = 90, Nx = 156Figure 5. (a), (b) Transmissions of eigen channels vs. disorder; (c), (d) edge state probability distribution in y direction; (a), (c)
$M = $ $ 0.3 t$ ,${E_{\text{F}}} = 0.25 t$ , Ny = 90, Nx = 156; (b), (d)$ M = 0.7 t $ ,${E_{\text{F}}} = 0.25 t$ , Ny = 90, Nx = 156.图 6 电导、电导涨落及局域化长度随无序的变化. c代表圆筒形(cylinder)结构, r代表条带(ribbon)结构, 由红色点划线串联的星号代表系统相变点 (a)—(c)
$ M = 0.3 t $ ,$ {E_{\text{F}}} = 0.15 t $ ; (d)—(f)$M = 0.3 t$ ,${E_{\text{F}}} = 0.25 t$ , 图(f)中实线代表Ny = 34, 虚线代表Ny = 60; (g)—(i)$M = 0.7 t$ ,${E_{\text{F}}} = 0.25 t$ Figure 6. The conductance, fluctuation of the conductance and the localization length vs. disoder. The c denotes a cylindrical structure and r denotes a striped structure, stars in series by red dotted lines represent phase transition points: (a)–(c)
$ M = 0.3 t $ ,$ {E_{\text{F}}} = 0.15 t $ ; (d)–(f)$M = 0.3 t$ ,${E_{\text{F}}} = 0.25 t$ , the solid lines represent Ny = 34 and the dotted lines represent Ny = 60 in panel (f); (g)–(i)$M = 0.7 t$ ,${E_{\text{F}}} = 0.25 t$ . -
[1] Peres N M R 2010 Rev. Mod. Phys. 82 2673 doi: 10.1103/RevModPhys.82.2673 [2] Peres N M R, Castro Neto A H, Guinea F 2006 Phys. Rev. B 73 195411 doi: 10.1103/PhysRevB.73.195411 [3] Gusynin V P, Sharapov S G 2005 Phys. Rev. Lett. 95 146801 doi: 10.1103/PhysRevLett.95.146801 [4] Geim A K 2009 Science 324 1530 doi: 10.1126/science.1158877 [5] Das Sarma S, Adam S, Hwang E H, Rossi E 2011 Rev. Mod. Phys. 83 407 doi: 10.1103/RevModPhys.83.407 [6] Li T C, Lu S P 2008 Phys. Rev. B 77 085408 doi: 10.1103/PhysRevB.77.085408 [7] Novoselov K S, Geim A K, Morozov S V, Jiang D, Katsnelson M I, Grigorieva I V, Dubonos S V, Firsov A A 2005 Nature 438 197 doi: 10.1038/nature04233 [8] Novoselov K S, Geim A K, Morozov S V, Jiang D, Zhang Y, Dubonos S V, Grigorieva I V, Firsov A A 2004 Science 306 666 doi: 10.1126/science.1102896 [9] Slonczewski J C, Weiss P R 1958 Phys. Rev. 109 272 doi: 10.1103/PhysRev.109.272 [10] Semenoff G W 1984 Phys. Rev. Lett. 53 2449 doi: 10.1103/PhysRevLett.53.2449 [11] Thonhauser T, Vanderbilt D 2006 Phys. Rev. B 74 235111 doi: 10.1103/PhysRevB.74.235111 [12] Haldane F D M 1988 Phys. Rev. Lett. 61 2015 doi: 10.1103/PhysRevLett.61.2015 [13] Aharonov Y, Bohm D 1959 Phys. Rev. 115 485 doi: 10.1103/PhysRev.115.485 [14] Anderson P W 1972 Science 177 393 doi: 10.1126/science.177.4047.393 [15] Yu R, Zhang W, Zhang H J, Zhang S C, Dai X, Fang Z 2010 Science 329 61 doi: 10.1126/science.1187485 [16] Bernevig B A, Hughes T L 2013 Topological Insulators and Topological Superconductors (Princeton: Princeton University Press) pp72–77 [17] Chang Z W, Hao W C, Liu X 2022 J. Phys. : Condens. Matter 34 485502 doi: 10.1088/1361-648X/ac98fc [18] Wen X G 1989 Phys. Rev. B 40 7387 doi: 10.1103/physrevb.40.7387 [19] Sticlet D, Piéchon F 2013 Phys. Rev. B 87 115402 doi: 10.1103/PhysRevB.87.115402 [20] Yakovenko V M 1990 Phys. Rev. Lett. 65 251 doi: 10.1103/PhysRevLett.65.251 [21] Zhao Y F, Zhang R, Mei R, Zhou L J, Yi H, Zhang Y Q, Yu J, Xiao R, Wang K, Samarth N, Chan M H W, Liu C X, Chang C Z 2020 Nature 588 419 doi: 10.1038/s41586-020-3020-3 [22] Liu C X, Zhang S C, Qi X L 2016 Annu. Rev. Condens. Matter 7 301 doi: 10.1146/annurev-conmatphys-031115-011417 [23] Serlin M, Tschirhart C L, Polshyn H, Zhang Y, Zhu J, Watanabe K, Taniguchi T, Balents L, Young A F 2020 Science 367 900 doi: 10.1126/science.aay5533 [24] Chang C Z, Liu C X, MacDonald A H 2023 Rev. Mod. Phys. 95 011002 doi: 10.1103/RevModPhys.95.011002 [25] Jotzu G, Messer M, Desbuquois R, Lebrat M, Uehlinger T, Greif D, Esslinger T 2014 Nature 515 237 doi: 10.1038/nature13915 [26] Sompet P, Hirthe S, Bourgund D, Chalopin T, Bibo J, Koepsell J, Bojović P, Verresen R, Pollmann F, Salomon G, Gross C, Hilker T A, Bloch I 2022 Nature 606 484 doi: 10.1038/s41586-022-04688-z [27] Xu J J, Gu Q, Mueller E J 2018 Phys. Rev. Lett. 120 085301 doi: 10.1103/PhysRevLett.120.085301 [28] Simon J 2014 Nature 515 202 doi: 10.1038/515202a [29] Kane C L, Mele E J 2005 Phys. Rev. Lett. 95 226801 doi: 10.1103/PhysRevLett.95.226801 [30] König M, Wiedmann S, Br J, Chalopin T, Bibo J, Koepsell J, Bojović P, Verresen R 2007 Science 318 766 doi: 10.1126/science.1148047 [31] Hsieh D, Qian D, Wray L, Xia Y, Hor Y S, Cava R J, Hasan M Z 2008 Nature 452 970 doi: 10.1038/nature06843 [32] Xia Y, Qian D, Hsieh D, Wray L, Pal A, Lin H, Bansil A, Grauer D, Hor Y S, Cava R J, Hasan M Z 2009 Nat. Phys. 5 398 doi: 10.1038/nphys1274 [33] Li J, Chu R L, Jain J K, Shen S Q 2009 Phys. Rev. Lett. 102 136806 doi: 10.1103/PhysRevLett.102.136806 [34] Yamakage A, Nomura K, Imura K I, Kuramoto Y 2011 J. Phys. Soc. Jpn. 80 053703 doi: 10.1143/JPSJ.80.053703 [35] Guo H M, Rosenberg G, Refael G, Franz M 2010 Phys. Rev. Lett. 105 216601 doi: 10.1103/PhysRevLett.105.216601 [36] Liu H, Xie B Y, Wang H N, Liu W W, Li Z C, Cheng H, Tian J G, Liu Z Y, Chen S Q 2023 Phys. Rev. B 108 L161410 doi: 10.1103/PhysRevB.108.L161410 [37] Stützer S, Plotnik Y, Lumer Y, Titum P, Lindner N H, Segev M, Rechtsman M C, Szameit A 2018 Nature 560 461 doi: 10.1038/s41586-018-0418-2 [38] Zhang Z Q, Wu B L, Song J, Jiang H 2019 Phys. Rev. B 100 184202 doi: 10.1103/PhysRevB.100.184202 [39] Chen R, Yi X X, Zhou B 2023 Phys. Rev. B 108 085306 doi: 10.1103/PhysRevB.108.085306 [40] Chen H, Liu Z R, Chen R, Zhou B 2023 Chin. Phys. B 33 017202 doi: 10.1088/1674-1056/ad09d4 [41] Groth C W, Wimmer M, Akhmerov A R, Tworzydło J, Beenakker C W J 2009 Phys. Rev. Lett. 103 196805 doi: 10.1103/PhysRevLett.103.196805 [42] Orth C P, Sekera T, Bruder C, Schmidt T L 2016 Sci. Rep. 6 24007 doi: 10.1038/srep24007 [43] 邢燕霞, 梁钰林 2022 山西大学学报(自然科学版) 3 672 doi: 10.13451/j.sxu.ns.2022004 Xing Y X, Liang Y L 2022 J. Shanxi. Univ. (Nat. Sci. Ed. ) 3 672 doi: 10.13451/j.sxu.ns.2022004 [44] Wei M, Zhou M, Zhang Y T, Xing Y 2020 Phys. Rev. B 101 155408 doi: 10.1103/PhysRevB.101.155408 [45] Qi X L, Zhang S C 2011 Rev. Mod. Phys. 83 1057 doi: 10.1103/RevModPhys.83.1057 [46] Caroli C, Combescot R, Nozieres P, Saint James D 1971 J. Phys. C: Solid State Phys. 4 916 doi: 10.1088/0022-3719/4/8/018 [47] Xing Y X, Wang J, Sun Q F 2010 Phys. Rev. B 81 165425 doi: 10.1103/PhysRevB.81.165425 [48] Jiang H, Wang L, Sun Q F, Xie X C 2009 Phys. Rev. B 80 165316 doi: 10.1103/PhysRevB.80.165316 [49] Zhang Y Y, Hu J P, Bernevig B A, Wang X R, Xie X C, Liu W M 2008 Phys. Rev. B 78 155413 doi: 10.1103/PhysRevB.78.155413 [50] Jauho A E, Wingreen N S, Meir Y 1994 Phys. Rev. B 50 5528 doi: 10.1103/PhysRevB.50.5528 [51] Nikolić B K, Zârbo L P, Souma S 2006 Phys. Rev. B 73 075303 doi: 10.1103/PhysRevB.73.075303 [52] Cresti A, Grosso G, Parravicini G P 2004 Phys. Rev. B 69 233313 doi: 10.1103/PhysRevB.69.233313 [53] 琚鑫, 郭健宏 2011 物理学报 60 057302 doi: 10.7498/aps.60.057302 Ju X, Guo J H 2011 Acta Phys. Sin. 60 057302 doi: 10.7498/aps.60.057302 [54] Datta S 1995 Electronic Transport in Mesoscopic Systems (1st Ed.) (United Kingdom: Cambridge University Press) pp57–65 [55] 许易, 许小言, 张薇, 欧阳滔, 唐超 2019 物理学报 68 247202 doi: 10.7498/aps.68.20191276 Xu Y, Xu X Y, Zhang W, Ouyang T, Tang C 2019 Acta Phys. Sin. 68 247202 doi: 10.7498/aps.68.20191276 [56] 邢海英, 张子涵, 吴文静, 郭志英, 茹金豆 2023 物理学报 72 038502 doi: 10.7498/aps.72.20221212 Xing H Y, Zhang Z H, Wu W J, Guo Z Y, Ru J D 2023 Acta Phys. Sin. 72 038502 doi: 10.7498/aps.72.20221212 [57] 闫婕, 魏苗苗, 邢燕霞 2019 物理学报 68 227301 doi: 10.7498/aps.68.20191072 Yan J, Wei M M, Xing Y X 2019 Acta Phys. Sin. 68 227301 doi: 10.7498/aps.68.20191072 [58] MacKinnon A, Kramer B 1981 Phys. Rev. Lett. 47 1546 doi: 10.1103/PhysRevLett.47.1546 [59] Anderson P W 1958 Phys. Rev. 109 1492 doi: 10.1103/PhysRev.109.1492 [60] Chen C Z, Liu H, Xie X C 2019 Phys. Rev. Lett. 122 026601 doi: 10.1103/PhysRevLett.122.026601 -