-
相干性作为量子体系最基本的性质之一, 不仅是众多前沿量子技术与应用的基础, 更是深入理解和精确操控量子世界的关键. 在原子和分子的动力学研究中, 利用超快激光脉冲测量与操控技术, 研究者能够捕捉到原子及分子内部自由度的时间演化行为. 例如隧穿电离过程中的相干效应被认为是影响电离率和电离后波函数演化的关键因素[1-5]; 原子分子波函数以及电子波包的重构过程也涉及密度矩阵元相干性的度量[6-11]; 利用量子体系和超快光场的相干相互作用, 研究者可以合成具有特定频率和相位关系的激光脉冲来控制和操纵原子及分子的动力学状态, 实现对分子波包的精确操控[12-14]. 近年来, 对量子系统的相干性的定量研究在量子信息领域得到广泛关注, 逐步形成了系列定量分析量子相干性的理论框架[15-17]. 相关定量分析的概念在强场超快领域也得到应用, 如分子电离过程中电子与振动波包的纠缠度和相干性的大小能够反映阿秒脉冲对光电子能谱的调控[18,19], 最新研究则揭示了纠缠度与电离延迟时间的对应相干关系[20].
在飞秒激光脉冲与分子相互作用的过程中, 一个与相干性密切相关的现象即是飞秒激光脉冲诱导的分子转动态的准直与取向[21-25]. 分子在空间中通常是随机取向的, 由于外场作用, 分子轴在空间上优先沿某个方向排列, 称为分子的准直过程. 通过这种过程, 可以增强对分子运动和反应的控制. 这在超快激光物理、化学动力学等研究领域中具有重要应用[26,27]. 此外, 分子的准直与取向状态在强场物理中同样是探索分子电离[28-30]、解离[31-34]及高次谐波生成[35-38]的基础. 因此, 对分子准直与取向的操控与探测的研究在超快光场与原子分子相互作用领域一直备受关注[39-41]. 随着操控手段和激光脉冲形式的不断多样化, 分子转动的动力学过程展现出越来越多新颖的现象, 如分子的单向旋转、永久准直以及分子转动回声等[42-48]. 这些现象不仅丰富了研究者对分子转动机制的认识, 同时也揭示了分子转动态所具有的丰富量子相干性质及其潜在的广泛应用价值, 展现出其作为量子资源的特质. 例如, 研究者探索利用分子准直状态来模拟量子比特, 并实现特定的量子操作[49]. 最近的科研进展深入探讨了利用分子准直回声来研究退相干以及腔内极化子调控的相关课题[50-52]. 对相干性的定量分析可以加强研究者对相关转动动力学过程的理解和应用. 然而目前研究中常用的准直度的测量虽提供了对体系相干性相对大小的直观评估, 但其与量子信息领域中严格定义的相干性度量之间的对应关系仍有待建立.
本文旨在应用量子信息中的相干性度量概念, 探讨准直度与体系相干性度量之间的内在联系. 通过研究飞秒激光诱导的分子转动态波包的相干性度量, 揭示体系
$l_1$ 范数相干性度量(密度矩阵ρ中所有非对角元素绝对值之和)与准直度之间的定量关系. 研究发现, 范数相干性度量与准直幅度(准直度最大值与最小值的差)的比值可以通过电场强度多项式展开, 并以CO分子为例进行了数值验证. 在此基础上, 本文进一步给出了这一比值与脉冲强度面积相关的关系式, 以及不同低温条件下这一关系式中的展开系数取值. 本文的研究结果可为理解转动激发的内在相干性和有效操控外场诱导分子准直提供新的视角和方法, 同时也为利用分子超快动力学过程研究量子相干性度量问题提供了新的参考. -
本文中, 分子的准直激发过程由一个高斯型线偏振飞秒激光脉冲
$ {\cal{E}}(t) $ 驱动, 其时间依赖的电场表达式如下:其中,
$ {\cal{E}}_0 $ ,$ \omega_0 $ 和$ \tau_0 $ 分别是激光电场的电场强度、中心频率和持续时间. 为了更清晰地阐述和分析系统的相干性, 本文采用密度矩阵方法来描述分子的转动激发过程, 它不仅能够精确地刻画系统的量子态, 还能反映其统计特性, 尤其适合于探讨混合态及其相干性问题. 分子转动态的含时密度矩阵$ \rho(t) $ 满足刘维尔公式($ \hbar = 1 $ ):这里,
$ H(t) $ 是系统的哈密顿量, 可以拆分为两个部分:第1个部分为自由分子的转动哈密顿量
其中,
$ E_J = BJ(J+1) $ 为分子的转动能量, B是分子转动常数, J和$ M = -J, -J+1, \cdots, J $ 分别为分子转动本征态$ \left |J, M \right\rangle $ 所对应的角量子数和磁量子数; 第2个部分是分子与激光场的相互作用哈密顿量其中,
$ J_{\mathrm{min}} = \mathrm{min}\left \{ J', J \right \} $ , θ表示分子轴与激光电场偏振方向的夹角,$ \Delta \alpha = \alpha_{/ /} - \alpha_\perp $ 是分子在平行和垂直激光场偏振方向上的极化率之差,$ \alpha_{/ /} $ 和$ \alpha_\perp $ 分别表示平行方向和垂直方向的极化率.在非零温度下, 分子的初始状态遵循玻尔兹曼分布, 即初始时刻(
$ t = t_0 $ )分子转动态的密度矩阵${\boldsymbol{ \rho}}(t_0) $ 可以表示为这些本征态的概率加权和:这里,
$ {\cal{Z}} = \displaystyle\sum\nolimits^{\infty}_{J_0 = 0} \displaystyle\sum\nolimits^{J_0}_{M_0 = -J_0}{\rm{e}}^{-E_{J_0}/(k_{\rm{B}}T)} $ 是配分函数,$ k_{\rm{B}} $ 为玻尔兹曼常数, T为转动温度. 分子的准直信号可以通过计算$ \langle \cos^2 \theta \rangle (t) $ 获得, 用于描述分子在激光场作用下的准直度, 其数学形式如下:其中,
$ \rho^M_{J', J}(t) = \langle J', M \vert \rho(t) \vert J, M \rangle $ 为密度算符的矩阵元,$ A^M_{J', J} = \langle J', M \vert \cos^2 \theta \vert J, M \rangle $ 表示$ \cos^2 \theta $ 在本征基矢下的矩阵元. 在跃迁选择定则允许的情况下, 即$ \Delta J = J'-J = 0, \pm 2 $ 时,$ A^M_{J', J} $ 具有非零值, 对应的解析表达式如下:以及
由于
$ A^M_{J', J} $ 是通过计算$ \cos^2 \theta $ 在本征态中的具体值得到的, 反映了不同转动态对信号的贡献, 因此它们在很大程度上决定了信号的强度和形状.为了模拟激发过程, 需要数值求解刘维尔公式获得含时密度矩阵
$ {\boldsymbol{\rho}}(t) $ . 具体步骤如下: 1)确定初始密度矩阵${\boldsymbol{ \rho}}(t_0) $ , 并根据玻尔兹曼分布初始化不同转动态的概率分布; 2)采用四阶Runge-Kutta方法求解刘维尔公式, 计算函数密度矩阵${\boldsymbol{ \rho}}(t) $ ; 3)在每个时间步长上, 使用(8)式计算准直信号$ \langle \cos^2 \theta \rangle(t) $ . -
根据最初的相干性度量定义[15], 作为度量相干性大小的函数应满足以下3个基本条件: 1)非负性; 2)在非相干操作下的单调性(或强单调性); 3)凸性, 即由两个量子态混合而成的新量子态的相干性度量值, 不会超过这两个量子态相干性度量值的加权和. 依据这些条件, 本文采用
$ l_1 $ 范数度量来对转动态相干性进行定量分析, 其定义如下:即密度矩阵中所有非对角元素的模值之和. 这个度量值越大, 说明量子态在该基下的相干性越强. 该值为0则表示该量子态在该基下是完全不相干的, 即密度矩阵是对角矩阵.
通过比较(8)式和(11)式, 可以发现准直度与
$ l_1 $ 范数度量在形式上存在一定的相似之处, 它们都依赖于密度矩阵的非对角元素. 具体来说, 准直度主要取决于$ \Delta J = \pm2 $ 转动拉曼跃迁的非对角元素, 其对应的表达式(8)是随时间变化的. 相比之下, 相干性度量则依赖于密度矩阵中所有非对角元素的模值之和, 其在自由演化过程中保持不变. 为了建立两者之间的定量关系, 需要深入分析它们各自的具体表达形式. 为此, 本文结合分子准直的展开形式, 对(11)式中密度矩阵不同位置的非对角元素进行细致的划分. 将$ l_1 $ 范数度量表示为不同阶次之和:等式右边的第1项可以看作是相干性的低阶部分或一阶相干性度量, 具体表示为
与准直度类似, 都仅涉及元素
$ \rho^{M}_{J\pm2, J} $ ; 第2项是高阶部分, 其形式与(13)式一致, 仅$ |\Delta J| $ 由2变为4; 而等式右边剩余项部分对应更高阶的相干性, 通常只在电场强度进一步增强时才会显现. 本文主要考虑(12)式中的前两项所对应的相干性, 下面对其分别进行分析. -
首先分析一阶相干性与分子准直度之间的关系. 考虑分子初始处于
$ \vert J_0, M_0 \rangle $ 态, 在强度较弱的激光场驱动下, 分子转动态的密度矩阵主要分布在初始态及邻近的两个转动态上. 此时, 根据(8)式可以将准直度具体表示为(14)式同时包含密度矩阵的非对角元和对角元. 在激光脉冲作用结束后, 非对角元素引起了分子准直度随时间的演化, 而对角元素为一常数且保持不变. 由于相干性度量中主要关注非对角元的信息, 因此对比相干性度量的定义, 这里只关注准直度随时间变化的部分, 即:
其中
$ \omega_{1, 2} $ 为跃迁频率,$\omega_{1, 2} = |E_{J_0} - E_{J_0 \pm2}| $ ;$ \Delta \phi $ 为两个密度矩阵元之间的相位差,$ \Delta \phi = \arg(\rho^{M_0}_{J_0, J_0+2})- \arg(\rho^{M_0}_{J_0-2, J_0}) $ . 该相位差不随时间变化, 但会影响准直度的最大幅值. 本文利用一阶相干性度量与准直度变化幅值的比值来量化一阶相干性度量与准直度的关系, 具体表示为其中准直幅度
$ {\cal{D}}(\langle \cos^2 \theta \rangle) = \langle \cos^2 \theta \rangle_{\mathrm{max}} - \langle \cos^2 \theta \rangle_{\mathrm{min}} $ 为准直度变化的最大幅值, 如图1所示. 如果该幅值较大, 说明分子在不同方向上取向的变化较大, 即存在明显的取向不均匀性或差异性. 反之, 如果幅值小, 这表明分子的取向更加均匀和一致.$ f(\Delta \phi) $ 描述了由相位差$ \Delta \phi $ 引起的两个余弦函数之和的最大幅值的变化. 在激光电场强度较弱的条件下, 由于密度矩阵非对角元素都很小,$ {\cal{R}}_0(J_0, M_0) $ 的计算结果可近似为一个固定的常数, 与电场强度变化无关. 例如, 对于初始处于$ J_0 = M_0 $ 和$ J_0 = M_0+1 $ 态的分子, 由于缺少$ \Delta J = -2 $ 的跃迁通道, 弱场条件下的$ {\cal{R}}_0(J_0, M_0) $ 可以简化为$ 1 / A^{M_0}_{J_0, J_0+2} $ . -
下面对高阶相干性与准直度之间的关系进行分析. 从含时微扰理论出发, 转动态的密度矩阵可以利用时间演化算符表示为
其中,
为时间演化算符的戴森展开前两项. 这里
$ \hat{{\boldsymbol{I}}} $ 为单位矩阵,$ H_{\mathrm{I}}(t) = \exp({\rm{i}}H_0 t)H_\alpha\exp(-{\rm{i}}H_0 t) $ 为相互作用表象下的哈密顿量,$ U_{J', J}(t) = \langle J', M_0 \vert \hat{U}(t, t_0) \vert J, M_0 \rangle $ . 根据(17)式可以得到密度矩阵的高阶非对角元素, 如通过进一步拉曼跃迁$ \Delta J = 4 $ 获得的$ \rho^{M_0}_{J_0, J_0+4} $ , 在脉冲作用结束后表示为(19)式中只保留了对密度矩阵元贡献最大的两项, 从结果可以看到密度矩阵中高阶非对角元的大小主要由相邻的低阶非对角元决定. 同理, 也可以获得拉曼跃迁
$ \Delta J = -4 $ 跃迁的$ \rho^{M_0}_{J_0, J_0-4} $ 矩阵元. 由于(18)式中的$ \hat{U}(t, t_0) $ 与电场强度的平方成正比, 因此可以得到$ \rho^{M_0}_{J_0, J_0\pm4}(t) $ 满足关系:进而可以得到高阶相干性和准直度变化幅值的比值与电场强度的平方成正比关系:
综上所述, 转动体系的
$ l_1 $ 范数相干性度量与准直幅度之间的关系可以表示为其中a和b为常数. 此外, 高阶的非对角元还可以帮助理解跃迁过程. 在二维回声光谱的研究中[47,53], 为了获取更丰富的跃迁信息, 往往需要对高阶取向或准直信号, 例如
$ \langle \cos^4 \theta \rangle $ 进行傅里叶变换以获得其中的多步过程. 这些信号与密度矩阵中的高阶非对角元素相关. 根据本文所展示的方法, 可以进一步揭示密度矩阵高阶相干性对分子转动态行为的影响及其在实际实验中的重要性. -
本节以CO分子为例, 通过数值求解在不同初始条件及不同飞秒激光脉冲激发下所获得的密度矩阵, 以及对应的
$ {\cal{D}}(\langle \cos^2 \theta \rangle) $ 与$ C_{l_1} $ , 来验证二者之间的关系. 模拟中用到的CO分子的平行和垂直极化率分别为$ \alpha_{/ /} = 2.294\;{\rm Å}^3 $ 和$ \alpha_\perp = 1.77\;{\rm Å}^3 $ [54,55], 转动常数为$ B = 1.93\;\mathrm{cm}^{-1} $ , 对应的转动复原周期约为8.3 ps. 图1展示了初始温度为15 K时, 不同电场强度下CO分子在一个周期内的准直信号.首先考虑弱场条件下低阶相干性(发生临近转动态之间的跃迁, 遵循的选择定则为
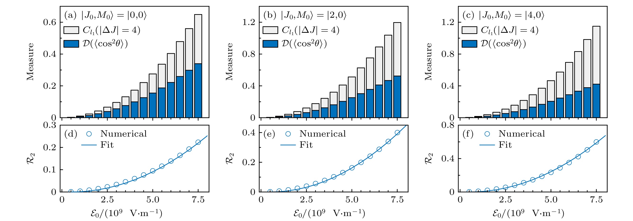
$ \Delta J = \pm2 $ ), 脉宽宽度固定为$ \tau_0 = 120 $ fs, 电场强度变化范围为$ 0.5 \times 10^9 $ —$ 5 \times 10^{9} \;\mathrm{V}/\mathrm{m} $ . 图2(a)—(c)展示了不同初始态和不同激光强度作用下, 体系的$ C_{l_1}(|\Delta J| = 2) $ 与准直幅度$ {\cal{D}}(\langle \cos^2 \theta \rangle) $ . 为了方便分析, 选取三个不同角动量量子数的初始转动态, 分别为$ \vert J_0, M_0\rangle = \vert 0, 0\rangle $ ,$ \vert 2, 0\rangle $ 和$ \vert 4, 0\rangle $ . 从图2可见, 对于不同的初始态,$ C_{l_1}(|\Delta J| = 2) $ 与准直幅度$ {\cal{D}}(\langle \cos^2 \theta \rangle) $ 均随着电场强度的增加而增大, 且增幅依赖于初始态. 为了进一步量化它们之间的关系, 图2(d)—(f)分别计算了对应的比值$ {\cal{R}}_0 = C_{l_1}(\vert \Delta J \vert = 2)/{\cal{D}}(\langle \cos^2 \theta \rangle) $ . 可以发现, 所对应的比值$ {\cal{R}}_0(J_0) $ 在选定的电场强度范围内近似为一个常数, 其大小因初始态的不同而有所差异. 针对初始转动态$ \vert 0, 0\rangle $ ,$ \vert 2, 0\rangle $ 和$ \vert 4, 0\rangle $ , 所对应的比值分别为$ {\cal{R}}_0(J_0 = 0) = 1.67 $ ,$ {\cal{R}}_0(J_0 = 2) = 1.88 $ 和$ {\cal{R}}_0(J_0 = 4) = 1.99 $ . 这表明初始$ J_0 $ 值越大, 比值越大, 与解析公式(16)所得结果一致. 反映出这些值由不同转动态间的耦合系数$ A_{J, J\pm2} $ 以及不同拍频间的相位差$ \Delta\phi $ 决定, 导致$ {\cal{R}}_0(J_0) $ 对不同初始态选择的依赖性.接下来进一步探讨不同初始角动量量子数和磁量子数对比值
$ {\cal{R}}_0 $ 的影响. 由于在弱场下$ {\cal{R}}_0 $ 与电场强度无关, 下面就将电场强度固定为$ 10^9\; \mathrm{V}/\mathrm{m} $ , 对不同转动初始态进行了模拟计算. 图3(a)刻画了$ {\cal{R}}_0(J_0, M_0) $ 对角动量量子数$ J_0 $ 和磁量子数$ M_0 $ 的依赖行为. 对于确定的$ J_0 $ , 随着$ M_0 $ 的增加,$ {\cal{R}}_0 $ 缓慢增加; 而当$ M_0 = J_0 $ 时,$ {\cal{R}}_0 $ 的值显著增加, 明显高于其他磁量子数对应的比值. 由于该转动态$ \vert J_0, M_0 = J_0\rangle $ 不存在向下跃迁的过程, 因此该值可以直接由$ 1/(2\langle J_0, M_0\vert\cos^2\theta\vert J_0+2, M_0\rangle) $ 计算得到. 对于相同的$ M_0 $ , 改变$ J_0 $ ,$ {\cal{R}}_0(J_0, M_0) $ 的变化不大; 而对于任意的$ n = J_0-|M_0 | $ ,$ {\cal{R}}_0(J_0, J_0-n) $ 随着$ J_0 $ 的增大而增大.在实验中, 由于环境温度的影响, 系综的初始态是不同初始转动态的混合态. 图3(b)给出了
$ {\cal{R}}_0 $ 随温度的变化行为. 可以观察到, 随着温度的增加,$ {\cal{R}}_0 $ 逐渐增大, 但增大趋势逐渐放缓. 这主要是由于温度升高时, 初始转动态的数量会逐渐增加, 同时(9)式中表示的耦合系数$ A_{J_0, J_0\pm2} $ 会随着$ J_0 $ 的增加而逐渐趋于常数, 越来越多的高$ J_0 $ 转动态的叠加, 最终使$ {\cal{R}}_0 $ 趋于稳定. 表1列出了不同温度下$ {\cal{R}}_0 $ 的具体数值, 并用a来表示. 同时, 利用图3(a)中不同初始态的比例系数, 结合玻尔兹曼分布, 图3(b)也计算了一个带权重的比例系数$ {\cal{R}}_0 = \dfrac1{\cal{Z}}\displaystyle\sum\nolimits_{J_0 = 0}\displaystyle\sum\nolimits_{M_0 = -J_0}^{J_0}\exp[-E_{J_0}/ (k_BT)] R_{0}(J_0, M_0) $ , 该系数略低于实际的$ {\cal{R}}_0 $ . 不同初始态产生的准直信号在叠加时存在相位差, 这种相位关系会影响叠加后信号的最大准直幅度. 以往研究表明, 初始态数量的增加会减小信号的最大准直度或取向程度[25]. 而根据相干性度量的凸性, 态的混合也可能导致相干性度量的减小. 目前的结果表明, 不同初始态的混合对准直度的影响更加显著.上述分析探讨了不同电场强度、不同初始态
$ |J_0, M_0\rangle $ 以及不同初始温度对低阶相干性$ (C_{l_1} (|\Delta J| = 2)) $ 和准直幅度$ {\cal{D}}(\langle \cos^2 \theta \rangle) $ 之间关系的影响. 接下来, 将考虑相干性度量的高阶部分, 以全面地阐明$ l_1 $ 范数度量与准直幅度之间的关系. 图4展示了$ l_1 $ 范数度量的高阶相干项$ C_{l_1}(|\Delta J| = 4) $ 和准直幅度$ {\cal{D}}(\langle \cos^2 \theta \rangle) $ , 以及两者的比值随电场强度变化的情况. 图中对应的激光电场参数和初始态选择与图2保持一致, 仅将最大电场强度从$ 5 \times 10^9\;\mathrm{V}/\mathrm{m} $ 增加至$ 7.5 \times 10^9 \;\mathrm{V}/\mathrm{m} $ . 可以看出, 高阶相干性度量与准直幅度的比值不再是一个常数, 而是随着电场强度的增加逐渐增大. 根据2.2.2节的含时微扰分析, 当相互作用强度较弱时, 高阶相干性对应的密度矩阵非对角元主要来源于与其邻近的低阶相干项, 大小由低阶相干性对应的非对角元与电场强度的平方的乘积决定. 因此, 采用二次公式$ b \times {\cal{E}}_0^2 $ 对这一比值进行拟合. 拟合结果表明, 二次公式能够很好地描述比值$ {\cal{R}}_2 $ 随电场强度变化的行为(见图4下栏实线). 由此可得, 在当前考虑的电场强度范围内,$ l_1 $ 范数度量的高阶相干项与准直幅度的比值与电场强度的平方成正比. 系数b与之前获得的比值系数$ {\cal{R}}_0 $ 相似, 均依赖于不同初始态的选择. 此外, 该二次关系所适用的电场强度范围相比于图2所展示的常数关系要更大. 图2中的比值在电场强度进一步增加时会出现小范围的振荡变化, 这主要是由(16)式中密度矩阵非对角元$ \rho^{M_0}_{J_0-2, J_0} $ 与$ \rho^{M_0}_{J_0, J_0+2} $ 增大导致的. 但因为此时体系相干性度量的贡献主要来自于高阶相干性部分, 整体的二次关系(22)式仍适用.如弱场讨论分析, 图5展示了高阶相干性度量
$ C_{l_1}(\vert \Delta J \vert = 4) $ 与准直幅度$ {\cal{D}}(\langle \cos^2 \theta \rangle) $ 之比$ {\cal{R}}_2 $ 随温度和电场强度变化的情况. 可以看出, 在不同初始温度下$ {\cal{R}}_2 = b {\cal{E}}_0^2 $ 始终成立. 当电场强度较弱($ {\cal{E}}_0 < 5\times 10^9 \;\mathrm{V}/\mathrm{m} $ ) 时,$ {\cal{R}}_2 $ 随着温度的变化几乎保持不变. 随着电场强度的进一步增大,$ {\cal{R}}_2 $ 随着温度的增加呈现出先增大后减小的趋势. 在电场强度$ {\cal{E}}_0 = 7.5\times 10^9 \;\mathrm{V}/\mathrm{m} $ 和温度$ T \approx 6\ {\rm{K}}$ 时,$ {\cal{R}}_2 $ 达到极大值. 进一步地, 利用关系式$ {\cal{R}}_2 = b {\cal{E}}_0^2 $ 对图5中展示的不同温度下的比值进行拟合, 具体拟合系数b的数值在表1中列出.以上研究利用固定脉冲宽度的激光电场对
$ l_1 $ 范数高阶相干性度量$ C_{l_1}(\vert \Delta J \vert = 4) $ 与准直幅度$ {\cal{D}}(\langle \cos^2 \theta \rangle) $ 之间的关系进行了数值模拟, 主要探讨了激光脉冲电场强度$ {\cal{E}}_0 $ 对两者关系的影响. 进一步通过对不同脉冲宽度的数值模拟, 发现常比例系数a不受脉宽的影响, 而二次比例系数b则与脉宽成正比. 接下来, 将从脉冲强度面积的角度研究$ l_1 $ 范数相干性度量$ C_{l_1} $ 与准直幅度$ {\cal{D}}(\langle \cos^2 \theta \rangle) $ 之间更普适的关系, 定义脉冲强度面积$ \varTheta $ 为对于变换极限脉冲, 脉冲强度面积
$ \varTheta $ 与脉冲强度$ I_0 $ ($ \propto{\cal{E}}^2_0 $ ) 和脉冲宽度$ \tau_0 $ 均成正比.根据以上研究,
$ C_{l_1} $ 与$ {\cal{D}}(\langle \cos^2 \theta \rangle) $ 的比值与脉冲强度面积$ \varTheta $ 之间呈线性关系, 可以表示为在这种情况下,
$ C_{l_1} $ 与$ {\cal{D}}(\langle \cos^2 \theta \rangle) $ 的关系将由脉冲宽度$ \tau_0 $ 和脉冲强度$ I_0 $ 共同决定, 其中$ c\varTheta $ 项表示$ l_1 $ 范数相干性度量$ C_{l_1} $ 中高阶部分的贡献.通过计算激发脉冲的脉冲强度面积, 并利用
$ c\varTheta $ 拟合图5中不同初始温度对应的$ C_{l_1}(\vert \Delta J \vert = 4) $ 与$ {\cal{D}}(\langle \cos^2 \theta \rangle) $ 比值, 得到了比例系数c, 具体数据如表1所列. 需要指出的是, 系数b是通过固定飞秒激光脉冲宽度并改变激光电场强度的数据拟合得到的. 因此, 它适用于描述特定脉宽下准直幅度与相干性度量之间的关系. 相比之下, 脉冲强度面积包含了激光电场的电场强度和脉宽信息, 因此其对应的系数c具有更广泛的适用性. 为了探究(24)式以及拟合系数a和c对其他飞秒激光脉冲的适用性, 接下来, 利用三种叠加形式的飞秒激光脉冲激发初始温度为5 K的CO分子转动态体系, 并对其进行数值模拟.图6中的插图展示了三种激光脉冲包络的形状. 这三种脉冲由两束时间延迟为200 fs, 脉宽分别为100 fs和80 fs的变换极限脉冲叠加而成, 其中包络中第一个峰对应的电场强度为
$ 2\times 10^9 \;\mathrm{V/m} $ , 第二个峰的电场强度分别为$ 2\times 10^9 $ ,$ 4\times 10^9 $ ,$ 7\times 10^9 \;\mathrm{V/m} $ . 通过计算激发后体系的$ C_{l_1} $ 相干性度量, 验证结果的适用性. 首先, 连续改变第二个峰的电场强度, 计算每一个电场强度对应的脉冲强度面积, 以及由其激发产生的CO转动体系的准直幅度$ {\cal{D}}(\langle \cos^2 \theta \rangle) $ . 根据(24)式可得到$ C_{l_1} = {\cal{D}}(\langle \cos^2 \theta \rangle) \times (a + c\varTheta) $ , 代入初始温度$ T = 5 \ {\rm{K}}$ 时参数a与c的值($ a = 2.09 $ ,$ c = 0.459 $ ), 从而得到了相干性度量$ C_{l_1} $ 随脉冲强度面积的变化行为. 其次, 计算三种叠加激光脉冲的脉冲强度面积, 结果分别为0.06, 0.16, 0.44 a.u. 通过(11)式, 可以计算得出三种脉冲激发的相干性度量$ C_{l_1} $ , 分别为0.05, 0.14, 0.41. 图6展示了计算结果, 可以看出, 这三种叠加脉冲激发的实际$ C_{l_1} $ 与(24)式得到的结果非常符合. 这些结果表明, 通过(24)式及表1中的参数, 能够准确地获得不同形式飞秒激光脉冲诱导产生的转动波包的相干性度量, 展示了(24)式和表1中参数的普适性. 至此, 本文建立了准直幅度与$ l_1 $ 范数相干性度量之间的明确定量关系.在当前考虑的激光脉冲参数范围内, 利用电场强度的二次函数能够很好地反映准直幅度与
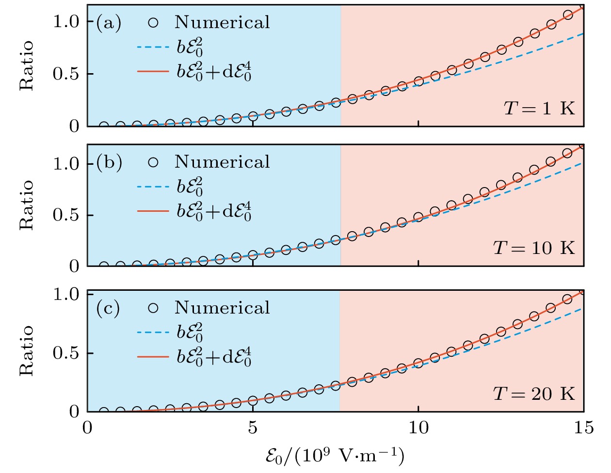
$ l_1 $ 范数相干性度量之间的比例关系. 这主要是因为高阶相干性的主要贡献来源于$ \vert \Delta J \vert = \pm 4 $ 的非对角元. 当前所选取的电场强度范围虽然无法诱导分子产生非常高的准直程度, 但对于实验上利用分子转动态来研究相干性度量问题, 如研究退相干以及不同非相干操作下相干性的变化是足够的, 且避免了高电场强度下离心项以及电离过程对分子转动态的影响. 为更全面地评估上述比例关系的适用范围, 图7展示了电场强度进一步增加时, 三种不同温度下高阶相干性度量$ C_{l_1}(\vert \Delta J \vert >2) $ 与准直幅度$ {\cal{D}}(\langle \cos^2\theta \rangle) $ 之间的比例关系. 注意这里固定脉宽为$ \tau_0 = 100 \;{\mathrm{fs}}$ 的变换极限脉冲. 数值模拟得到了高阶相干性度量与准直幅度的比值$ {\cal{R}}_4 $ , 同时, 利用表1中电场强度的二次比例系数得到了比值$ {\cal{R}}_2 $ . 可以观察到, 当电场强度增加到$ 8 \times 10^9 \;\mathrm{V}/\mathrm{m} $ 附近时, 三种不同温度下的二次关系式结果$ {\cal{R}}_2 $ 和高阶相干性度量$ {\cal{R}}_4 $ 之间开始出现较为明显的差异. 这表明更高阶的相干项开始参与到激发过程之中. 这一结果与之前研究的多步跃迁过程相似[56].先前关于CO分子转动激发的研究结果表明, 对于脉宽
$ \tau_0 = 100 \;{\mathrm{fs}}$ 的变换极限脉冲, 低阶含时微扰描述在电场强度为$ 8 \times 10^9\; \mathrm{V}/\mathrm{m} $ 附近失效[56], 标志着多步跃迁过程逐渐开始显现. 在本文中, 这对应于更高阶的相干性或者说非对角元素对相干性度量的影响开始显现. 这也说明高阶相干性与跃迁过程之间同样存在着紧密的联系. 鉴于更高阶的相干性产生同样由相互作用的强度决定, 考虑通过增加电场的四次方项拟合数值模拟结果. 从图7可以看出, 四次方项的加入很好地弥补了电场强度进一步增强时二次关系式与实际比值之间的差异. -
本文通过理论分析和数值模拟分子转动体系在飞秒激光脉冲作用下的激发过程, 研究了飞秒激光诱导的分子准直激发下体系
$ l_1 $ 范数相干性度量$ C_{l_1} $ 与准直幅度$ {\cal{D}} $ 间的对映关系. 研究发现在微扰激发区域, 它们之间的比值是电场强度的二次多项式, 即$ C_{l_1} = {\cal{D}}\times(a + b{\cal{E}}_0^2) $ , 其中a和b主要由转动态耦合系数、拍频振荡相位差以及初始态等因素决定. 在此基础上, 本文进一步给出了这一比值与脉冲强度面积$ \varTheta $ 的线性关系为$ C_{l_1} = {\cal{D}}\times(a+c\varTheta) $ , 以及不同温度下两个关系式中常数a, b和c的取值. 并通过数值模拟对该关系的普适性进行了验证. 该对应关系同样表明在相对较弱的电场激发下, 分子准直度也可以作为分子转动体系相干性的一种度量方式, 有关相干性度量的理论研究进而可以围绕分子准直度展开, 如研究各种非相干操作下体系相干性度量的变化等.在实际实验测量中, 分子转动体系的准直度的探测是一个相对方便的过程. 利用上述关系, 可以通过准直度获得体系的
$ l_1 $ 范数相干性度量, 从而避免了转动波包波函数重构所带来的困难. 本文的研究结果为实验上度量分子准直过程的相干性提供了新的思路. 同时对相干性的定量分析能够为理解更加复杂的分子转动动力学过程, 如超转子、准直回声等提供新的参考.
飞秒激光诱导分子准直相干性的度量分析
Measurement analysis of coherence in femtosecond laser-induced molecular alignment
-
摘要: 本文探讨了有限温度下, 飞秒激光脉冲诱导的分子准直现象中内在相干性度量与其准直信号之间的定量关系. 针对超快非共振激光脉冲诱导分子准直问题, 推导了转动体系$l_1 $范数相干性度量($C_{l_1}(\rho)$即密度矩阵ρ中所有非对角元素绝对值之和)与准直幅度(准直度最大值与最小值之差)之比与电场强度之间存在的定量关系, 并通过对CO分子的数值模拟进行了验证. 在此基础上, 进一步给出了这一比值与脉冲强度面积之间的映射关系. 本文的研究结果为实验中探测转动体系的相干性度量提供了新的思路, 并为利用分子转动态进行相干性度量研究奠定了理论基础, 有利于促进超快强场物理与量子信息度量之间的交叉融合.Abstract: Femtosecond laser-induced excitation of molecular rotational states can lead to phenomena such as alignment and orientation, which fundamentally stem from the coherence between the induced rotational states. In recent years, the quantitative study of coherence in the field of quantum information has received widespread attention. Different kinds of coherence measures have been proposed and investigated. In this work, the quantitative correlation is investigated in detail between the intrinsic coherence measurement and the degree of molecular alignment induced by femtosecond laser pulses at finite temperatures. By examining the molecular alignment induced by ultrafast non-resonant laser pulses, a quantitative relationship is established between the $l_1$ norm coherence measure $C_{l_1}(\rho)$ and the alignment amplitude ${\cal{D}}\langle \cos^2 \theta \rangle$. Here, $C_{l_1}(\rho)$ represents the sum of the absolute values of all off-diagonal elements of the density matrix ρ, ${\cal{D}}\langle \cos^2 \theta \rangle$ represents the difference between the maximum alignment and the minimum alignment. A quadratic relationship $ C_{l_1} = (a + b{\cal{E}}^2_0)\times $$ {\cal{D}}\langle \cos^2 \theta \rangle$ between the the $l_1$ norm coherence measure and ${\cal{D}}\langle \cos^2 \theta \rangle$ with respect to the electric field intensity ${\cal{E}}_0$ is obtained. This relationship is validated through numerical simulations of the CO molecule, and the ratio coefficients a and b for different temperatures are obtained. Furthermore, a mapping relationship between this ratio and the pulse intensity area is established. The findings of this study provide an alternative method for experimentally detecting the coherence measure within femtosecond laser-excited rotational systems, thereby extending the potential applicability of molecular rotational states to the study of the coherence measure in the field of quantum resources. This will facilitate the interdisciplinary integration of ultrafast strong-field physics and quantum information.
-
Key words:
- coherence /
- molecular alignment /
- rotational dynamics /
- ultrafast pulses .
-
-
图 1 初始温度
$ T = 15\ {\rm{K}}$ 时, 三种不同电场强度的飞秒激光脉冲诱导的CO分子准直信号, 其中双箭头示意处$ {\cal{D}}(\langle \cos^2 \theta \rangle) $ 表示准直度变化的最大幅值Figure 1. Alignment signal of CO molecule induced by femtosecond pulse of three different field strengths for
$ T = 15\ {\rm{K}}$ .$ {\cal{D}}(\langle \cos^2 \theta \rangle) $ indicated by the double headed arrow is the maximal change in the amplitude of alignment.图 2 (a)—(c)不同初始态下
$ l_1 $ 范数低阶相干性度量$ C_{l_1}(\vert \Delta J \vert = 2) $ 和准直幅度$ {\cal{D}}(\langle \cos^2 \theta \rangle) $ 随电场强度的变化; (d)—(f)不同初始态下$ C_{l_1}(\vert \Delta J \vert = 2) $ 与$ {\cal{D}}(\langle \cos^2 \theta \rangle) $ 比值$ {\cal{R}}_0 $ 随电场强度的变化. 左列((a)和(d))、中列((b)和(e))和右列((c)和(f))分别对应初始转动态为$ |0, 0\rangle $ ,$ |2, 0\rangle $ 和$ |4, 0\rangle $ 的计算结果Figure 2. (a)–(c) Lower order coherence measure
$ C_{l_1}(\vert \Delta J \vert = 2) $ , amplitude of the degree of alignment with respect to the electric field intensity$ E_0 $ for different initial rotational states, and (d)–(f) their ratios with respect to the field intensity. From left to right, three different initial rotational states$ |0, 0\rangle, |2, 0\rangle, |4, 0\rangle $ are selected图 3 (a)不同初始转动态
$ |J_0, M_0\rangle $ 和(b)不同初始温度T时,$ l_1 $ 范数低阶相干性度量$ C_{l_1}(|\Delta J| = 2) $ 与准直幅度$ {\cal{D}}(\langle \cos^2 \theta \rangle) $ 之比$ {\cal{R}}_0 $ . 图(b)中蓝线为数值模拟计算结果, 红线为不同比例系数按照玻尔兹曼分布加权平均的结果Figure 3. Ratio between the lower order coherence measure and the amplitude of the alignment with respect to (a) different initial rotational states and (b) temperatures. The blue line with circles in panel (b) represents the numerical results for
$ {\cal{R}}_0 $ and red line is the weighted average of$ {\cal{R}}_0 $ from different initial states.图 4 (a)—(c)不同初始态下
$ l_1 $ 范数高阶相干性度量$ C_{l_1}(\vert \Delta J \vert = 4) $ 和准直幅度$ {\cal{D}}(\langle \cos^2 \theta \rangle) $ 随电场强度的变化; (d)—(f)不同初始态下$ C_{l_1}(\vert \Delta J \vert = 4) $ 与$ {\cal{D}}(\langle \cos^2 \theta \rangle) $ 比值$ {\cal{R}}_2 $ 随电场强度的变化. 空心圆是直接数值计算结果[$ C_{l_1}(\vert \Delta J \vert = 4)/ {\cal{D}}(\langle \cos^2 \theta \rangle) $ ], 实线是拟合二次函数($ \propto {\cal{E}}_0^2 $ )结果. 左列((a)和(d))、中列((b)和(e))和右列((c)和(f))分别对应初始转动态为$ |0, 0\rangle $ ,$ |2, 0\rangle $ 和$ |4, 0\rangle $ 的计算结果Figure 4. (a)–(c) Higher order coherence measure
$ C_{l_1}(\vert \Delta J \vert = 4) $ , amplitude of the degree of alignment with respect to the electric field intensity$ E_0 $ for different initial rotational states, and (d)–(f) their ratios with respect to the field intensity. The empty circle and the solid line correspond to the numerical and fitted results. From left to right, three different initial rotational states$ |0, 0\rangle, |2, 0\rangle, |4, 0\rangle $ are selected图 5
$ l_1 $ 范数相干性度量$ C_{l_1} $ 中高阶部分($ \vert \Delta J \vert = 4 $ )与准直幅度$ {\cal{D}}(\langle \cos^2 \theta \rangle) $ 的比值$ {\cal{R}}_2 $ 随电场强度以及初始温度的变化Figure 5. Ratio between the higher order
$ C_{l_1} $ coherence measure and the amplitude of the degree of alignment$ {\cal{D}}(\langle \cos^2 \theta \rangle) $ with respect to the laser intensity and the initial temperature.图 6 初始温度
$ T = 5\ {\rm{K}}$ 时,$ l_1 $ 范数相干性度量$ C_{l_1} $ 随激光脉冲强度面积的变化行为. 实线为利用拟合公式(24)计算所得结果. 空心圆、五角星、三角形是精确数值模拟的三种不同激发脉冲所对应的结果. 插图展示了这三种激发脉冲对应的脉冲包络Figure 6.
$ C_{l_1} $ coherence measure varying with pulse area for the initial temperature$ T = 5\ {\rm{K}}$ . The solid line is the result obtained by calculating Eq. (24). The empty circle, pentagram, triangle are the accurate numerical results induced by three different kinds of laser pulses. The insets are the corresponding pulse envelopes of the pump pulses.图 7 初始温度(a)
$ T = 1\ {\rm{K}}$ , (b)$ T = 10\ {\rm{K}}$ , (c)$ T = 20\ {\rm{K}}$ 时, 高阶相干性度量$ C_{l_1}(\vert \Delta J \vert >2) $ 与准直幅度$ {\cal{D}}(\langle \cos^2\theta \rangle) $ 之比随着电场强度的变化. 蓝色区域电场强度$ {\cal{E}}_0 \in (0.5, 7.5)\times $ $ 10^9 \;{\rm{V}}/{\rm{m}}$ 是文中讨论所用电场强度范围. 橙色区域电场强度$ {\cal{E}}_0 \in (7.5, 15)\times 10^9 \;{\rm{V}}/{\rm{m}}$ 是进一步增强电场强度范围Figure 7. Changing with the field strength, the ratio of higher-order coherence measure
$ C_{l_1}(\vert \Delta J \vert >2) $ to the amplitude of the degree of alignment$ {\cal{D}}(\langle \cos^2\theta \rangle) $ for (a)$ T = 1\ {\rm{K}}$ , (b)$ T = 10\ {\rm{K}}$ , (c)$ T = 20\ {\rm{K}}$ . The blue region corresponds to the range of field strength discussed in the text above, the orange region corresponds to stronger field strengths.表 1 不同初始温度T时, 相干性度量
$ C_{l_1} $ 与准直幅度$ {\cal{D}}(\langle \cos^2 \theta \rangle) $ 比值函数的拟合系数. a, b分别是相干性度量$ C_{l_1} $ 的低阶部分、高阶部分与$ {\cal{D}}(\langle \cos^2 \theta \rangle) $ 比值函数中的拟合系数. c是用脉冲强度面积表示的$ C_{l_1} $ 高阶部分与$ {\cal{D}}(\langle \cos^2 \theta \rangle) $ 比值函数的拟合系数Table 1. Fit coefficients for the ratio between the
$ l_1 $ coherence measure$ C_{l_1} $ and the amplitude of the degree of alignment$ {\cal{D}}(\langle \cos^2 \theta \rangle) $ under different initial temperatures. a represents the coefficients for the lower part of$ C_{l_1} $ which is a constant, b for the higher parts of$ C_{l_1} $ with respect to the electric field intensity and c for the higher parts of$ C_{l_1} $ with respect to the pulse area.T/K 1 2 3 4 5 6 7 8 9 10 11 12 13 14 15 16 17 18 19 20 a 1.68 1.79 1.91 2.01 2.09 2.15 2.21 2.26 2.30 2.33 2.37 2.40 2.42 2.45 2.47 2.49 2.51 2.52 2.54 2.56 b/103 1.04 1.11 1.16 1.19 1.21 1.22 1.22 1.21 1.20 1.19 1.18 1.16 1.15 1.13 1.12 1.10 1.09 1.07 1.05 1.04 c 0.395 0.421 0.441 0.453 0.459 0.462 0.462 0.460 0.456 0.452 0.447 0.442 0.436 0.429 0.423 0.417 0.411 0.405 0.400 0.394 -
[1] Hassan M T, Luu T T, Moulet A, Raskazovskaya O, Zhokhov P, Garg M, Karpowicz N, Zheltikov A M, Pervak V, Krausz F, Goulielmakis E 2016 Nature 530 66 doi: 10.1038/nature16528 [2] Jia L, Xu L, Zhang P, Fu L 2021 New J. Phys. 23 113047 doi: 10.1088/1367-2630/ac39b3 [3] Jia L, Xing H, Fu L 2022 Phys. Rev. A 106 022814 doi: 10.1103/PhysRevA.106.022814 [4] Jia L, Jiang W C, Xing H, Fu L 2023 Phys. Rev. A 108 013119 doi: 10.1103/PhysRevA.108.013119 [5] Li X, Liu X, Wang C, Ben S, Zhou S, Yang Y, Song X, Chen J, Yang W, Ding D 2024 Light Sci. Appl. 13 250 doi: 10.1038/s41377-024-01600-4 [6] Litvinyuk I V, Lee K F, Dooley P W, Rayner D M, Villeneuve D M, Corkum P B 2003 Phys. Rev. Lett. 90 233003 doi: 10.1103/PhysRevLett.90.233003 [7] Li H, Ray D, De S, Znakovskaya I, Cao W, Laurent G, Wang Z, Kling M F, Le A T, Cocke C L 2011 Phys. Rev. A 84 043429 doi: 10.1103/PhysRevA.84.043429 [8] Ueno K, Mizuse K, Ohshima Y 2021 Phys. Rev. A 103 053104 doi: 10.1103/PhysRevA.103.053104 [9] Marvian I, Spekkens R W, Zanardi P 2016 Phys. Rev. A 93 052331 doi: 10.1103/PhysRevA.93.052331 [10] Morrigan L, Neville S P, Gregory M, Boguslavskiy A E, Forbes R, Wilkinson I, Lausten R, Stolow A, Schuurman M S, Hockett P, Makhija V 2023 Phys. Rev. Lett. 131 193001 doi: 10.1103/PhysRevLett.131.193001 [11] Yang Y, Hu X, Wu L, Wang Z, Li X, Zhou S, Wang Z, Guo F, He L, Luo S, Zhang D, Wang J, Chen X, Wu Y, Wang C, Ding D 2024 Phys. Rev. Lett. 133 113203 doi: 10.1103/PhysRevLett.133.113203 [12] 罗嗣佐, 陈洲, 李孝开, 胡湛, 丁大军 2019 光学学报 39 0126007 doi: 10.3788/AOS201939.0126007 Luo S Z, Chen Z, Li X K, Hu Z, Ding D J 2019 Acta Opt. Sin. 39 0126007 doi: 10.3788/AOS201939.0126007 [13] Wang Z, Hu X, Xue X, et al. 2023 Nat. Commun. 14 5420 doi: 10.1038/s41467-023-41204-x [14] 郑悦, 张宇璇, 孙少华, 丁鹏基, 胡碧涛, 刘作业 2023 物理学报 72 064203 doi: 10.7498/aps.72.20222112 Zheng Y, Zhang Y X, Sun S H, Ding P J, Hu B T, Liu Z Y 2023 Acta Phys. Sin. 72 064203 doi: 10.7498/aps.72.20222112 [15] Baumgratz T, Cramer M, Plenio M B 2014 Phys. Rev. Lett. 113 140401 doi: 10.1103/PhysRevLett.113.140401 [16] Streltsov A, Adesso G, Plenio M B 2017 Rev. Mod. Phys. 89 041003 doi: 10.1103/RevModPhys.89.041003 [17] 林银, 黄明达, 於亚飞, 张智明 2017 物理学报 66 110301 doi: 10.7498/aps.66.110301 Lin Y, Huang M D, Yu Y F, Zhang Z M 2017 Acta Phys. Sin. 66 110301 doi: 10.7498/aps.66.110301 [18] Vrakking M J J 2021 Phys. Rev. Lett. 126 113203 doi: 10.1103/PhysRevLett.126.113203 [19] Nabekawa Y, Midorikawa K 2023 Phys. Rev. Res. 5 033083 doi: 10.1103/PhysRevResearch.5.033083 [20] Jiang W C, Zhong M C, Fang Y K, Donsa S, Březinová I, Peng L Y, Burgdörfer J 2024 Phys. Rev. Lett. 133 163201 doi: 10.1103/PhysRevLett.133.163201 [21] Shu C C, Henriksen N E 2013 Phys. Rev. A 87 013408 doi: 10.1103/PhysRevA.87.013408 [22] Hong Q Q, Fan L B, Shu C C, Henriksen N E 2021 Phys. Rev. A 104 013108 doi: 10.1103/PhysRevA.104.013108 [23] Cheng Q Y, Song Y Z, Li D W, Liu Z P, Meng Q T 2022 Chin. Phys. B 31 103301 doi: 10.1088/1674-1056/ac6eeb [24] Lian Z, Luo S, Qi H, Chen Z, Shu C C, Hu Z 2023 Opt. Lett. 48 411 doi: 10.1364/OL.480833 [25] Hong Q Q, Lian Z Z, Shu C C, Henriksen N E 2023 Phys. Chem. Chem. Phys. 25 32763 doi: 10.1039/D3CP03115B [26] Koch C P, Lemeshko M, Sugny D 2019 Rev. Mod. Phys. 91 035005 doi: 10.1103/RevModPhys.91.035005 [27] Trabattoni A, Wiese J, De Giovannini U, Olivieri J F, Mullins T, Onvlee J, Son S K, Frusteri B, Rubio A, Trippel S, Küpper J 2020 Nat. Commun. 11 2546 doi: 10.1038/s41467-020-16270-0 [28] Sansone G, Kelkensberg F, Pérez-Torres J, Morales F, Kling M F, Siu W, Ghafur O, Johnsson P, Swoboda M, Benedetti E, Ferrari F, Lépine F, Sanz-Vicario L J, Zherebtsov S, Znakovskaya I, L’Huillier A, Ivanov Y M, Nisoli M, Martín F, Vrakking M J J 2010 Nature 465 763 doi: 10.1038/nature09084 [29] Kang H, Quan W, Wang Y, Lin Z, Wu M, Liu H, Liu X, Wang B B, Liu H J, Gu Y Q, Jia X Y, Liu J, Chen J, Cheng Y 2010 Phys. Rev. Lett. 104 203001 doi: 10.1103/PhysRevLett.104.203001 [30] Li X, Liu Y, Zhang D, He L, Luo S, Shu C C, Ding D 2023 Phys. Rev. A 108 023114 doi: 10.1103/PhysRevA.108.023114 [31] Zhang W, Gong X, Li H, Lu P, Sun F, Ji Q, Lin K, Ma J, Li H, Qiang J, He F, Wu J 2019 Nat. Commun. 10 757 doi: 10.1038/s41467-019-08700-5 [32] Lu P, Wang J, Li H, Lin K, Gong X, Song Q, Ji Q, Zhang W, Ma J, Li H, Zeng H, He F, Wu J 2018 Proc. Natl. Acad. Sci. 115 2049 doi: 10.1073/pnas.1719481115 [33] Guo Z, Fang Y, Ge P, Yu X, Wang J, Han M, Gong Q, Liu Y 2021 Phys. Rev. A 104 L051101 doi: 10.1103/PhysRevA.104.L051101 [34] Yu X, Zhang X, Hu X, Zhao X, Ren D, Li X, Ma P, Wang C, Wu Y, Luo S, Ding D 2022 Phys. Rev. Lett. 129 023001 doi: 10.1103/PhysRevLett.129.023001 [35] McFarland B K, Farrell J P, Bucksbaum P H, Guhr M 2008 Science 322 1232 doi: 10.1126/science.1162780 [36] Chen Y J, Fu L B, Liu J 2013 Phys. Rev. Lett. 111 073902 doi: 10.1103/PhysRevLett.111.073902 [37] Huang Y, Meng C, Wang X, Lü Z, Zhang D, Chen W, Zhao J, Yuan J, Zhao Z 2015 Phys. Rev. Lett. 115 123002 doi: 10.1103/PhysRevLett.115.123002 [38] Zhai C, Wu Y, Qin L, Li X, Shi L, Zhang K, Kang S, Li Z, Li Y, Tang Q, Yu B 2023 Chin. Phys. B 32 073301 doi: 10.1088/1674-1056/acad70 [39] Kanai T, Minemoto S, Sakai H 2007 Phys. Rev. Lett. 98 053002 doi: 10.1103/PhysRevLett.98.053002 [40] Lan P, Ruhmann M, He L, Zhai C, Wang F, Zhu X, Zhang Q, Zhou Y, Li M, Lein M, Lu P 2017 Phys. Rev. Lett. 119 033201 doi: 10.1103/PhysRevLett.119.033201 [41] Shu C C, Hong Q Q, Guo Y, Henriksen N E 2020 Phys. Rev. A 102 063124 doi: 10.1103/PhysRevA.102.063124 [42] Lapert M, Hertz E, Guérin S, Sugny D 2009 Phys. Rev. A 80 051403 doi: 10.1103/PhysRevA.80.051403 [43] Hoque Z, Lapert M, Hertz E, Billard F, Sugny D, Lavorel B, Faucher O 2011 Phys. Rev. A 84 013409 doi: 10.1103/PhysRevA.84.013409 [44] Karras G, Hertz E, Billard F, Lavorel B, Faucher O, Gershnabel E, Prior Y 2015 Phys. Rev. Lett. 114 153601 doi: 10.1103/PhysRevLett.114.153601 [45] Lin K, Lu P, Ma J, Gong X, Song Q, Ji Q, Zhang W, Zeng H, Wu J, Karras G, Siour G, Jean-Michel Hartmann, Faucher O, Gershnabel E, Prior Y, Averbukh I S 2016 Phys. Rev. X 6 041056 doi: 10.1103/PhysRevX.6.041056 [46] Wang B, He L, He Y, Zhang Y, Shao R, Lan P, Lu P 2019 Opt. Express 27 30172 doi: 10.1364/OE.27.030172 [47] Lian Z, Hu Z, Qi H, Fei D, Luo S, Chen Z, Shu C C 2021 Phys. Rev. A 104 053105 doi: 10.1103/PhysRevA.104.053105 [48] Lian Z, Chen Z, Li J, Shu C C, Hu Z 2023 Phys. Rev. A 108 063108 doi: 10.1103/PhysRevA.108.063108 [49] Lee K F, Villeneuve D M, Corkum P B, Shapiro E A 2004 Phys. Rev. Lett. 93 233601 doi: 10.1103/PhysRevLett.93.233601 [50] Xu L, Tutunnikov I, Zhou L, Lin K, Qiang J, Lu P, Prior Y, Averbukh I S, Wu J 2020 Phys. Rev. A 102 043116 doi: 10.1103/PhysRevA.102.043116 [51] Tutunnikov I, Xu L, Prior Y, Averbukh I S 2022 Phys. Rev. A 106 L061101 doi: 10.1103/PhysRevA.106.L061101 [52] Fan L B, Shu C C, Dong D, He J, Henriksen N E, Nori F 2023 Phys. Rev. Lett. 130 043604 doi: 10.1103/PhysRevLett.130.043604 [53] Lu J, Zhang Y, Hwang H Y, Ofori-Okai B K, Fleischer S, Nelson K A 2016 Proc. Natl. Acad. Sci. U.S.A. 113 11800 doi: 10.1073/pnas.1609558113 [54] Sekino H, Bartlett R J 1993 J. Chem. Phys. 98 3022 doi: 10.1063/1.464129 [55] Wang S, Henriksen N E 2020 Phys. Rev. A 102 063120 doi: 10.1103/PhysRevA.102.063120 [56] Xu S, Lian Z, Hong Q Q, Wang L, Chen H, Huang Y, Shu C C 2024 Phys. Rev. A 110 023116 doi: 10.1103/PhysRevA.110.023116 -
首页
登录
注册


下载: