-
自2015年首次直接探测到引力波信号[1–3], 目前已经有数百个引力波信号揭示了宇宙中众多天文事件的物理过程, 开辟了多信使天文学[4]. 空间引力波探测则主要针对更大天体及更低频段的引力波信号[5], 从地球尺度构建激光干涉仪进行精密探测. 构建高精度超稳激光干涉仪是目前空间引力波探测计划中的核心关键技术之一, 这其中就需要低噪声的激光光源.
激光器在自由运转状态下, 激光强度噪声及频率噪声相对较大, 会直接影响超高精度激光干涉测量技术的灵敏度[6], 所以需要对激光噪声进行抑制. 不同频段的激光强度噪声抑制所使用的方法也各不相同. 地基引力波探测要求光源在10 Hz—10 kHz频段内具有极低的激光噪声水平[7–9], 由于光电反馈回路的噪声水平受到激光散粒噪声的限制, 因此提出了一系列技术方案以进一步突破量子噪声极限, 提高光电反馈链路增益, 这些技术包括多光电二极管阵列反馈[10]、光学AC耦合降噪[11]、压缩光辅助降噪[12,13]等方法. 空间引力波探测频段主要在0.1 mHz—1 Hz范围内[14,15], 针对此频段的频率噪声抑制, 目前可通过将激光系统中的种子激光锁定到超稳腔上从而实现频率稳定; 对于激光强度噪声, 则利用光电反馈控制[16,17]的方法进行强度噪声抑制.
利用光电反馈控制抑制激光强度噪声时, 首先需要光电探测器将激光强度波动转化为电信号, 之后与稳定电压基准进行比较, 得到误差信号; 然后经过伺服控制系统对误差信号进行滤波放大, 随后作用于激光泵浦源的驱动电路或振幅调制器上, 最终实现激光强度稳定[18]. 在反馈链路中, 光电探测器作为进行光电信号转换的首要器件, 其噪声水平及增益会直接影响整个反馈回路的信噪比及增益. 此外, 不同频段的激光噪声抑制所需的光电探测器及光电反馈链路性能也各不相同. Patrick Kwee 等[10]研发出百mW级多光电二极管阵列来降低探测中的激光散粒噪声, 提高光电反馈链路增益并进行反馈降噪. 李玉琼等[19]在2020年研发了基于单光电二极管的弱光探测器; 同年, 王炜杰等[20]研制了极低频段低噪声平衡零拍探测器, 其噪声在1 mHz处为3.6×10–2 V/Hz1/2; 在2023年又研制了针对极低频段强度噪声抑制的光电探测器[21], 其在空间引力波频段的电子学噪声谱密度为1.649×10–5 V/Hz1/2.
在上述研究中, 针对不同频段的光电反馈抑制噪声场景, 需要选择不同性能的运放芯片进行光电转换设计, 从而降低探测器电子学噪声[22,23]. 在10 Hz—10 kHz频段的激光强度噪声抑制中, 光电探测及整个反馈控制回路的1/f噪声在几十赫兹到几赫兹处. 对于0.1 mHz—1 Hz频段激光噪声抑制, 同样受到1/f噪声的影响, 致使激光强度噪声在响应频率范围内无法达到空间引力波探测需求(1×10–4 V/Hz1/2)[24,25]. 所以为了进一步降低激光强度噪声, 需降低光电探测器的电子学噪声、提高探测增益及提升探测器动态范围.
本文面向空间引力波探测中0.1 mHz—1 Hz频段激光强度噪声抑制, 在分析了极低频段光电探测器的噪声来源后, 采用光电二极管两端无反向偏置电压方案, 利用光电二极管在光伏模式下具有更低暗电流的特点[26–28], 结合零失调电压漂移的集成运放及优化低温漂跨阻阻值及反馈电容, 形成低温漂的跨阻放大电路; 并进一步对光电二极管进行高精度温控来稳定光电二极管响应度, 最终研发出在0.1 mHz—1 Hz频段内超低电子学噪声的光电探测器, 并通过自研的强度噪声评估系统对光电探测器噪声进行时域及频域的全面评估测试. 实验结果表明: 所研发的低噪声探测器在0.1 mHz— 1 Hz频段的电子学噪声谱密度达2×10–6 V/Hz1/2, 在1 mHz处达7×10–7 V/Hz1/2. 探测器极低频段电子学噪声相对平坦, 且此噪声水平低于空间引力波探测中对激光强度噪声要求两个数量级, 为高增益光电反馈控制以及空间引力波探测中激光强度噪声抑制等方面提供关键器件及实验支撑.
-
传统的光电探测器所考虑的电子学噪声包括: 热噪声(it)、光电二极管暗噪声(id)、散粒噪声(in)以及运算放大器自身的输入电流噪声(iTIA)等[29], 在进行噪声分析时, 各种噪声之间是非相关的, 则探测器的总噪声可表示为
根据(1)式给出的几个关键参数, 对于InGaAs材料的光电二极管, 其散粒噪声可以忽略不计. 暗电流噪声主要与二极管的温度以及偏置电压有关[30], 另外在电路设计中选择低失调电压、低输入噪声电流的运算放大器也必须考量. 电路设计中, 针对空间引力波探测的极低频段特点(0.1 mHz—1 Hz), 在进行噪声频域分析中需要长时间的数据采集, 所以要尽量选择低暗电流噪声的光电二极管以及设计低噪声跨阻放大电路, 同时要兼顾探测器的温度稳定性. 与传统的光电探测器相比, 应用于极低频段激光强度噪声抑制的光电探测器有着极其苛刻的电子学噪声要求.
本文所研发的低噪声光电探测器主要由一个集成式温控光电二极管、低噪声跨阻放大电路(transimpedance amplifier, TIA)以及跟随滤波电路构成, 其简化原理示意图如图1所示. 低噪声探测器的电路部分主要由温控光电二极管(Hamamatsu G12180-150A), 50 K的跨阻放大器, 以及跟随电路构成. 其中, 可温控光电二极管G12180-150A的等效电路, 主要由分流电阻、结电容、串联电阻等构成, 其在1064 nm波长处的响应度为0.7 A/W, (2)式可以计算出整体探测器的增益为35 kV/W, 其中
$\Re $ 为光电探测器响应度,${\text{TI}}{{\text{A}}_{\text{R}}}$ 为跨阻放大器电阻:G12180-150A光电二极管具有直径5 mm的光敏面以及内部集成半导体制冷器(thermo electric cooler, TEC)的配置. 光电二极管的暗噪声与温度的依赖性是非常重要的, 最大程度的减小了暗电流的影响, 大的光敏面同样可以避免光束指向偏移所导致的响应度变化, 虽然大光敏面导致其拥有较大的结电容, 从而限制了探测器的带宽范围, 但对于空间引力波探测带宽是足够的. 为了进一步减小暗电流的影响, 使光电二极管工作在光伏模式下, 在该模式下虽然牺牲了一定的线性响应度[31], 但可以获得更低的暗电流噪声.
亚德诺半导体技术有限公司(Analog Devices, Inc, ADI)所生产的LTC1151芯片是双通道的零漂运算放大器, 其具有极低的失调电压漂移(0.05 μV/℃)以及低输入电压、电流噪声, 双通道的设计结构可以同时满足跨阻放大电路以及滤波跟随电路的应用需求. 另外在运算放大器中, 任何电源电压的变化都会引起运放输入偏置电流的变化, 从而导致探测器输出电压变化, 因此电源电压的变化是一个潜在的低频噪声源. LTC1151芯片具有高电源抑制比, 配合自研低频低噪声供电电源可以有效减少电源电压噪声的耦合.
此外, 影响极低频段探测器性能的另一个重要影响因素是温度漂移. 这里区别于传统探测器的电学噪声——热噪声[32], 也被称为“约翰逊噪声”, 产生原因是电子器件中的电荷载流子由于热激励而引起的噪声. 而温度漂移的来源分为内部温度扰动以及外部温度扰动, 这种扰动会直接影响电子器件的实际参数, 一般为低频噪声. 尽量选择温度系数相对较低的电阻, 如0.2 ppm/℃ (ppm = 10–6)的金属箔电阻. 外部温度扰动通常指实验环境温度的变化, 绝热保温壳体以及适当的温度控制是解决该影响的最直接的方式;内部温度扰动主要来源于温控光电二极管的热端以及电路板的温升变化, 必须设计合适的封装以及主动的温度控制来尽可能减小这种效应的影响. 为了有效避免塞贝克效应[33], 使用低热电势插头以及定期保养电路板防止金属氧化也是非常重要的, 例如, 铜一旦氧化会产生高达1000 μV/℃的电动势[34].
-
为了验证极低频段低噪声光电探测器设计方案的可行性, 从静态噪底测试与动态打光测试两方面来评估探测器的噪声性能. 图2所示为光电探测器静态噪底的测量原理图, 测量过程中对光电二极管的光敏面进行遮光处理, 另外为了避免杂散光对最终结果的影响, 将光电探测器置于一个封闭的铝壳内, 壳体材料均进行氧化发黑处理. 高精度温控装置、低噪声供电电源等都置于壳外, 避免发热影响实际测量结果. 另外, 实验采用吉时利3706高精度数字万用表并结合LabVIEW编程对探测器的输出电压值进行采集和时域处理[35].
首先对信号采集部件进行相应测试[21], 测试仪器本底噪声低于4.16×10–7 V/Hz1/2@0.1 mHz—1 Hz, 确定其能够满足测量探测器电子学噪声的 要求. 根据第2节的低频段探测器设计思路, 光电二极管工作在光伏模式可以减小暗噪声的影响, 因此对比了光电二极管工作在光伏模式与光电导模式的不同电子学噪声情况, 如图3所示. 在这里需要说明的一点是, 为了评判探测器长期的稳定性并且完全表征极低频段的噪声性能, 每组对比数据的测量时长都不低于11 h, 采样率设置为2 S/s. 同时为了保证实验对比结果的准确性, 必须选用相同的探测器电路结构和电子器件, 选用AD797作为跨组运放芯片, 测试遵循单一变量原则.
图3所示为时域和频域测试结果, 绿色噪声曲线为探测器工作在光电导模式, 紫色噪声曲线为探测器工作在光伏模式. 观察图3(a)时域信号, 在光电导模式下, 探测器电子学噪声因为基准芯片的存在有明显的输出偏置电压, 高达–1.1 mV, 并且由于基准芯片受温度影响较大, 探测器输出也会存在明显的温度周期, 进而增加与温度周期相应频段的暗噪声; 而光伏模式下没有基准芯片的参与, 因此不存在随温度的变化. 利用自研评估系统将时域信号转化为频域信号[35], 图3(b)所示为频域结果, 随温度的漂移会影响极低频段的电压噪声谱, 时域上的温度周期约为2 h, 会相应的增大0.1 mHz处的噪声; 同时光电导模式拥有较大的暗电流噪声, 会影响100 mHz—1 Hz的探测器电子学噪声水平. 与此同时, 对比了光电二极管在有无主动温度控制的情况下对电子学噪声的影响; 图3中紫色噪声曲线与红色噪声曲线无明显差别, 结果表明光电二极管由温度所产生的暗噪声对探测器电子学噪声影响可以忽略不计, 但温度变化会影响光电二极管响应度, 对于光照时温控是非常必要的. 综上所述, 光电二极管工作在光伏模式并且对其进行主动温度控制是对于极低频段激光强度噪声抑制的适用方案.
在探测器设计中, 由于电路设计原因引入的电子学噪声要远大于光电二极管的暗噪声. 本次所设计的低噪声光电探测器, 采用交直流不分的电路结构, 主要由TIA电路和电压跟随电路构成, 输出端串联一个50 Ω的电阻, 保证信号输出与下级装置的阻抗匹配. 对于极低频段的噪声来源, 运算放大器的失调电压是一个关键影响因素, 要尽可能选择低失调电压的运放芯片. 此外, 失调电压漂移也是一个十分关键的参数, 这决定了探测器抗环境温度干扰的能力大小, 实验室环境温度漂移大约2 h一个周期, 更低的失调电压漂移运放芯片可以在更大程度上减少环境噪声的耦合.
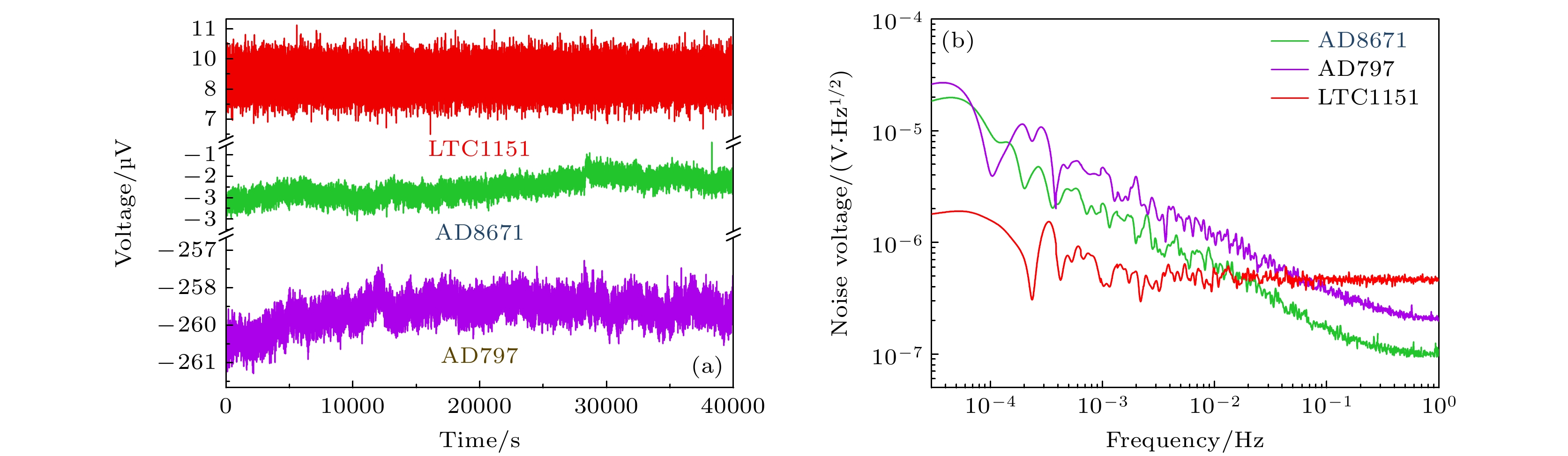
几种常见的低噪声运算放大器如表1所示, 分别是AD8671, AD797以及LTC1151, 表1列出了影响探测器极低频噪声的几个关键参数. 从表1可知, LTC1151芯片具有极低的失调电压漂移, 典型值为0.01 μV/℃; 输入失调电压也仅为0.5 μV, 远小于其他两种运放芯片.
接下来, 通过实验对比了探测器使用不同芯片的电子学噪声影响, 实验中所采用的光电二极管, 反馈电阻以及其他外围电路等均保持一致. 为了避免环境温度对探测器的影响, 将3个不同的跨阻芯片的探测器置于一个封闭的绝热壳体内, 利用多通道数字万用表同时进行数据采集, 测试结果如图4所示.
从图4(a)时域观察可以发现, 选用AD797与AD8671作为跨阻芯片的探测器时, 其短时间的峰峰值噪声更小, 但长时间的失调电压漂移却要比选用LTC1151跨阻芯片的探测器更大. 如图4(b)所示, LTC1151探测器在0.1—10 mHz的噪声性能更好, 但由表1可知, 该芯片在0.1—10 Hz频段内相比于另外两个芯片有着更大的输入电压噪声, 所以图4(b)中LTC1151在接近1 Hz频率处的电压噪声谱更高. 在空间引力波探测中关于激光相对强度噪声的要求为1×10–4 Hz1/2@(0.1 mHz—1 Hz), 所以在引力波要求频段内接近于10–6 V/Hz1/2的探测器电压噪声谱可以完全满足应用需求, 并且选用该芯片的探测器在极低频段表现更好, 避免了由于温度引起的各种低频段噪声影响, 遂选用该芯片作为探测器的核心芯片.
上述实验已完整测试了探测器静态情况下的噪声性能, 相比于2023年本实验小组设计的探测器[21], 此次探测器在极低频处(0.1—1 mHz)具有更低的电子学噪声. 接下来将探测器置于预先设计好的光路中, 测量动态响应度及激光入射后的极低频线性度噪声特性. 图5所示为光路原理图, 激光器输出1064 nm激光, 经过隔离器后通过λ/2波片与偏振分束棱镜调节透射光功率, 用透镜将激光光束聚焦到光电探测器的光电二极管光敏面上进行光电转换, 光电二极管光敏面与激光入射方向约呈 60°夹角, 并用吸收片吸收光敏面的微弱反射光, 防止激光散射影响探测准确性.
为了保证长时间采集测量的准确性, 必须减小激光功率波动对于该实验的影响, 选择一台非平面环形腔(non-planar ring oscillator, NPRO)激光器作为测试光源, 其均方根(root mean square, RMS)可以达到0.23%. 调节初始进入光电探测器功率为33 μW, 随后成倍增大注入光功率, 直到495 μW, 其中光功率误差波动范围为±3 μW, 功率计使用的是THORLABS公司的光电二极管功率传感器, 型号为S132C, 分辨率为1 nW. 之后利用高精度数字万用表长时间测量探测器输出电压并得到时域信号, 进一步转化为频域信号.
探测器的输入功率与输出电压测量结果如图6所示, 其中横纵坐标分别为测量1500 s时间内的平均值, 红色曲线为实际测量值, 蓝色曲线为探测器完全线性时的输出; 从第2节理论中已经了解到光电二极管工作在光伏模式下会牺牲一定的线性度, 但图6中的实际输出电压曲线在低功率下也呈现出基本的线性相关, 429 μW之后的高功率非线性主要由于功率过大导致输出运放饱和. 对输出信号的噪声进行评估, 图7(a)中选取4个相差2倍的输入功率作为参考, 当光功率每增大1倍时, 探测器输出电压也增加约1倍. 由图7(b)的噪声谱可知, 当光功率每增大1倍时, 探测器的输出噪声谱在0.04—1 Hz频段内增大幅度均小于1倍, 这样可以保证探测器工作时不会产生额外噪声或产生的噪声极小, 在实验中可以排除探测器的影响. 而在0.04 Hz以下频段内环境温度对光功率有显著影响, 实验不能保证每次测量温度波动一致, 因此不做分析, 并且由于激光泵浦驱动电子设备的影响, 在100, 300以及800 mHz处存在一些特定频点的尖峰噪声.
-
本文从空间引力波探测中抑制毫赫兹频段激光强度噪声的需求出发, 从传统的光电探测器到极低频段低噪声光电探测器的噪声源进行分析, 并提出其遵循的设计原则: 光电二极管工作在光伏模式下减小其暗噪声; 结合零失调放大器组成的跨组放大电路抑制其低频噪声; 使用低温漂金属箔电阻, 电容及其他电子器件减少温度漂移带来的影响; 进一步通过主动温控来控制光电二极管响应度等措施, 研发出在0.1 mHz—1 Hz频段内超低电子学噪声的光电探测器, 并且光电探测器动态响应度基本符合线性要求. 所研发的低噪声探测器在空间引力波频段的电子学噪声谱密度在2×10–6 V/Hz1/2以下, 在0.1 mHz处为2×10–6 V/Hz1/2, 在1 mHz 处为7×10–7 V/Hz1/2; 探测器增益为 35 kV/W, 线性度符合要求. 该探测器噪声性能比空间引力波探测中对激光强度噪声要求小两个数量级, 可为引力波探测中激光强度噪声抑制等方面提供关键器件支撑.
0.1 mHz—1 Hz频段超低噪声光电探测器实验研究
Experimental study of ultra-low noise photodetectors in 0.1 mHz–1 Hz frequency band
-
摘要: 针对空间引力波探测中抑制0.1 mHz—1 Hz频段激光强度噪声需求, 基于光电二极管在光伏模式下具有低暗电流的特点, 采用零偏置电压方案, 结合零失调电压漂移的集成运放及低温漂金属箔电阻组成跨阻放大电路, 优化跨阻电容以及跟随电路; 进一步通过主动温控对光电二极管控温来稳定光电二极管响应度, 研发出在0.1 mHz—1 Hz频段内超低电子学噪声的光电探测器. 利用自研的强度噪声评估系统对其噪声进行时域及频域全面评估测试, 实验结果表明: 所研发探测器的电子学噪声谱密度达到2×10–6 V/Hz1/2@0.1 mHz—1 Hz, 探测器增益能够达到 35 kV/W @1064 nm. 该探测器噪声性能比空间引力波探测中对激光强度噪声(1×10–4 V/Hz1/2)的要求小两个数量级, 为高增益光电反馈控制以及空间引力波探测中激光强度噪声抑制等方面提供关键器件及技术支撑.Abstract: Laser intensity noise suppression in the millihertz frequency band is essential for space-based gravitational wave detection to ensure the sensitivity of the interferometer. Optoelectronic feedback technology is one of the most effective methods of suppressing laser intensity noise. The noise of the photodetector that is the first-stage component in the feedback loop, directly couples into the feedback loop, thus significantly affecting the laser intensity noise. In this paper, starting from the requirement of suppressing laser intensity noise in the 0.1 mHz–1 Hz frequency band for space-based gravitational wave detection, the factors affecting the electronics of photodetectors at extremely low frequencies are analyzed in detail. Using the low dark current characteristic of photodiodes in photovoltaic mode, a zero-bias voltage scheme is adopted to reduce the dark noise of the photodiode. A transimpedance amplification circuit is designed using an integrated operational amplifier with zero offset voltage drift and low-temperature drift metal foil resistors, thereby optimizing the transimpedance capacitor and follower circuit to reduce 1/f noise in the circuit. Active temperature control is employed to stabilize the responsivity of photodiode, and additional measures such as using a homemade low-noise power supply and shielding interference are taken to further reduce the noise. Ultimately, an ultra-low electronic noise photodetector operating in the 0.1 mHz–1 Hz frequency band is developed. A homemade intensity noise evaluation system is used to comprehensively assess the noise both in the time domain and in the frequency domain. The constant noise characteristics of the homemade detector are estimated experimentally. The experimental results show that the electronic noise spectral density of the homemade detector reaches 2×10–6 V/Hz1/2 in the 0.1 mHz–1 Hz frequency band, and the electronic noise of the detector does not vary with optical power. The detector achieves a gain of 35 kV/W at 1064 nm. The noise performance of the detector is two orders of magnitude lower than the laser intensity noise requirement (1×10–4 V/Hz1/2) for space-based gravitational wave detection, providing a critical component and technical support for high-gain optoelectronic feedback control and laser intensity noise suppression in space-based gravitational wave detection.
-
-
图 5 光电探测器测试原理图, 其中Laser为固体激光器, ISO为光隔离器; λ/2为半波片, PBS为偏振分束器, Filter为光衰减器, PD为光电探测器; Meter为高精度数字万用表
Figure 5. Photodetector test diagram, where Laser is soild-state laser; ISO is optical isolator; λ/2 is half-wave-plate: PBS is polarization beam splitter; Filter is optical attenuator; PD is photodetector; Meter is high-precision digital multimeter.
表 1 三种低噪声运放芯片关键参数对比
Table 1. Comparison of key parameters of three low-noise operational amplifier chips
Operational
Amplifier modelOffset voltage
drift/(μV·℃–1)Input offset
voltage/μVInput offset
current/nAInput noise voltage Vp-p
(0.1—10 Hz)/nVAD8671 0.3 30 8 77 AD797 0.2 30 120 50 LTC1151 0.01 0.5 0.02 1500 -
[1] Abbott B P, Abbott R, Abbott T D, Acernese F, Ackley K, Adams C, Adams T, Addesso P, Adhikari R X, Adya V B 2016 Phys. Rev. Lett. 116 061102 doi: 10.1103/PhysRevLett.116.061102 [2] Abbott R, Abbott T D, Abraham S, Acernese F, Ackley K, Adams C, Adhikari R X, Adya V B, Affeldt C, Agathos M 2020 Astrophys. J. Lett. 896 L44 doi: 10.3847/2041-8213/ab960f [3] Abbott R, Abbott T D, Abraham S, Acernese F, Ackley K, Adams A, Adams C, Adhikari R X, Adya V B, Affeldt C 2020 Phys. Rev. Lett. 125 101102 doi: 10.1103/PhysRevLett.125.101102 [4] Sathyaprakash B S, Schutz B F 2009 Living Rev. Relativ. 12 2 doi: 10.12942/lrr-2009-2 [5] Jennrich O 2009 Class. Quantum Grav. 26 153001 doi: 10.1088/0264-9381/26/15/153001 [6] 王在渊, 王洁浩, 李宇航, 柳强 2023 物理学报 72 054205 doi: 10.7498/aps.72.20222127 Wang Z Y, Wang J H, Li Y H, Liu Q 2023 Acta Phys. Sin. 72 054205 doi: 10.7498/aps.72.20222127 [7] Badaracco F, Harms J, De Rossi C, Martynov D, Swinkels B L, Shoda A, van Heijningen J, Staley A, Matone L, Boschi V, Ohashi M, Hild S, Naticchioni L 2021 Phys. Rev. D 104 042006 doi: 10.1103/PhysRevD.104.042006 [8] 李卫, 谢超帮, 李庆回, 鞠明健, 武志学, 郑耀辉 2023 量子光学学报 29 040201 Li W, Xie C B, Li Q H, Ju M J, Wu Z X, Zheng Y H 2023 Quantum Opt. 29 040201 [9] 李庆回, 李卫, 孙瑜, 王雅君, 田龙 , 陈力荣, 张鹏飞, 郑耀辉 2022 物理学报 71 164203 doi: 10.7498/aps.71.20220552 Li Q H, Li W, Sun Y, Wang Y J, Tian L,Cheng L R,Zhang P F, Zheng Y H 2022 Acta Phys. Sin. 71 164203 doi: 10.7498/aps.71.20220552 [10] Kwee P, Willke B, Danzmann K 2009 Opt. Lett. 34 2912 doi: 10.1364/OL.34.002912 [11] 刘骏杨, 韩逸凡, 陈力荣, 赵琴, 武延鹏, 李林, 王雅君, 郑耀辉 2025 量子光学学报 31 040201 Liu J Y, Han Y F, Chen L R, Zhao Q, Wu Y P, Li L, Wang Y J, Zheng Y H 2025 Quantum Opt. 31 040201 [12] Vahlbruch H, Wilken D, Mechmet M, Willke B 2018 Phys. Rev. Lett. 121 173601 doi: 10.1103/PhysRevLett.121.173601 [13] Gao L, Zheng L A, Lu B, Shi S P, Tian L, Zheng Y H 2024 Light Sci. Appl. 13 294 doi: 10.1038/s41377-024-01606-y [14] Luo Z, Wang Y, Wu Y, Mei J, Zhong Y, Hu Y, Yang S, Chen P, Chen X, Chen Y 2021 Prog. Theor. Exp. Phys. 2021 05A108 doi: 10.1093/ptep/ptaa083 [15] Luo J, Chen L S, Duan H Z, Gong Y G, Hu S C, Ji J H, Liu Q, Mei J W, Milyukov V, Sazhin M, Shao C G, Toth V T, Tu H B, Wang Y M, Wang Y, Yeh H C, Zhan M S, Zhang Y, Zharov V, Zhou Z B 2016 Class. Quantum Grav. 33 035010 doi: 10.1088/0264-9381/33/3/035010 [16] Buchler B C, Huntington E H, Harb C C, Ralph T C 1998 Phys. Rev. A 57 1286 doi: 10.1103/PhysRevA.57.1286 [17] Tröbs M 2005 Ph. D. Dissertation (Hannover: Leibniz University Hannover [18] 张骥 2020 博士学位论文 (合肥: 中国科学技术大学) Zhang J 2020 Ph. D. Dissertation (Hefei: University of Science and Technology of China [19] 李玉琼, 王璐钰, 王晨昱 2019 光学精密工程 27 1710 doi: 10.3788/OPE.20192708.1710 Li Y Q, Wang L Y, Wang C Y 2019 Opt. Precis. Eng. 27 1710 doi: 10.3788/OPE.20192708.1710 [20] 王炜杰, 李番, 李健博, 鞠明健, 郑立昂, 田宇航, 尹王保, 田龙, 郑耀辉 2022 红外与激光工程 51 20220300 doi: 10.3788/IRLA20220300 Wang W J, Li F, Li J B, Ju M J, Zheng L A, Tian Y H, Yin W B, Tian L, Zheng Y H 2022 Infrared Laser Eng. 51 20220300 doi: 10.3788/IRLA20220300 [21] 郑立昂, 李番, 王嘉伟, 李健博, 高丽, 贺子洋, 尚鑫, 尹王保, 田龙, 杨文海, 郑耀辉 2023 光子学报 52 0552220 Zheng L A, Li F, Wang J W,Li J B,Gao L,He Z Y,Shang X,Yin W B,Tian L,Yang W H,Zheng Y H 2023 Acta Photonica Sin. 52 0552220 [22] Understanding and Eliminating 1/f Noise, Robert K https://www.analog.com/en/resources/analog-dialogue/articles/2017/04/21/10/42/understanding-and-eliminating-1-f-noise.html [2024-12-10] [23] Measuring 2nV/√Hz Noise and 120 dB Supply Rejection on Linear Regulators, Todd O, Amit P https://www.analog.com/cn/resources/app-notes/an-159.html [2024-12-10] [24] Sallusti M, Gath P, Weise D, Rivas M, Vitelli M 2009 Class. Quantum Grav. 26 094015 doi: 10.1088/0264-9381/26/9/094015 [25] Cutler C, Thorne K S 2002 General Relativity and Gravitation (Singapore: World Scientific) pp72–111 [26] Hayashida T, Nanjo T, Furukawa A, Yamamuka M 2017 Appl. Phys. Express 10 061003 doi: 10.7567/APEX.10.061003 [27] Li W S, Nomoto K, Pilla M, Pan M, Gao X, Jena D, Xing H G 2017 IEEE Trans. Electron Devices 64 1635 doi: 10.1109/TED.2017.2662702 [28] Cooper J A Jr, Melloch M R, Singh R, Agarwal A, Palmour J W 2002 IEEE Trans. Electron Devices 49 665 doi: 10.1109/16.992877 [29] Zhou H J, Wang W Z, Cheng C Y, Zheng Y H 2015 IEEE Trans. Electron Devices 15 2101 doi: 10.1109/JSEN.2014.2371893 [30] Using MCP6491 Op Amps for Photodetection Applications, Yang Zhen https://ww1.microchip.com/downloads/en/Appnotes/01494A.pdf [2024-12-10] [31] Graeme J G 1996 Photodiode Amplifiers: Op Amp Solutions 1st ed (New York: McGraw-Hill) pp21–23 [32] Chilingarian A 1995 Pattern Recognit. Lett. 16 335 [33] Chen X, Luo M, Hu R Z, Li R, Liang L J , Pang S Y 2019 J. Manuf. Process. 41 111 doi: 10.1016/j.jmapro.2019.03.033 [34] Williams J 2001 Electrical Design News: The Magazine of the Electronics Industry 46 83 [35] 李番, 王嘉伟, 高子超, 李健博, 安炳南, 李瑞鑫, 白禹, 尹王保, 田龙, 郑耀辉 2022 物理学报 71 209501 doi: 10.7498/aps.71.20220841 Li F, Wang J W, Gao Z C, Li J B,An B N,Li R X,Bai Y,Yin W B,Tian L,Zheng Y H 2022 Acta Phys. Sin. 71 209501 doi: 10.7498/aps.71.20220841 -
首页
登录
注册


下载: