传统光学模型的改进及其在重离子碰撞反应中的应用

上一篇

下一篇

梁春恬, 孙小军, 黄俊曦, 杨昊瑜, 李小华, 蔡崇海. 传统光学模型的改进及其在重离子碰撞反应中的应用[J]. 物理学报, 2025, 74(18): 182401-1. doi: 10.7498/aps.74.20250633
引用本文: 梁春恬, 孙小军, 黄俊曦, 杨昊瑜, 李小华, 蔡崇海. 传统光学模型的改进及其在重离子碰撞反应中的应用[J]. 物理学报, 2025, 74(18): 182401-1. doi: 10.7498/aps.74.20250633
Chuntian LIANG, Xiaojun SUN, Junxi HUANG, Haoyu YANG, Xiaohua LI, Chonghai CAI. Improvements of traditional optical model and its applications in heavy-ion collision reaction[J]. Acta Physica Sinica, 2025, 74(18): 182401-1. doi: 10.7498/aps.74.20250633
Citation: Chuntian LIANG, Xiaojun SUN, Junxi HUANG, Haoyu YANG, Xiaohua LI, Chonghai CAI. Improvements of traditional optical model and its applications in heavy-ion collision reaction[J]. Acta Physica Sinica, 2025, 74(18): 182401-1. doi: 10.7498/aps.74.20250633

传统光学模型的改进及其在重离子碰撞反应中的应用

    作者简介: 蔡崇海:Haicai@nankai.edu.cn .
    通讯作者: sxj0212@gxnu.edu.cn
  • 中图分类号: 24.10.-i

Improvements of traditional optical model and its applications in heavy-ion collision reaction

    Corresponding author: sxj0212@gxnu.edu.cn
  • MSC: 24.10.-i

  • 摘要: 本文针对重离子碰撞中弹核与靶核质量相近体系的相互作用问题, 提出改进型光学模型APOMHI. 该模型突破传统框架中仅侧重靶核贡献的局限, 通过对称化处理弹核与靶核的势场影响, 在Woods-Saxon型光学势场构建中, 弹靶核的扩散宽度与半径参数采用对等形式, 确保两者贡献的等价性. 同时, 角动量耦合方式也相应由L-S耦合替代了j-j耦合. 将改进后的光学模型应用于以18O作为弹核的系列重离子碰撞反应, 通过拟合弹性散射角分布与复合核吸收截面数据, 得到了一组普适唯象光学势, 经比较, 理论结果与现有实验数据大体相符.
  • 加载中
  • 图 1  9Be, 10B, 11B和16O作为靶核的熔合截面理论与实验比较(实验数据来源为: H. A. Roth 1980[31], R. M. Anjos 1994[32], J. Thomas 1985[34], J. Thomas 1986[35])

    Figure 1.  Comparison between theoretical results and experimental data of fusion cross section for 9Be, 10B, 11B and 16O target. The experimental data come from H. A. Roth 1980[31], R. M. Anjos 1994[32], J. Thomas 1985[34], J. Thomas 1986[35].

    图 4  150Sm, 188Os, 192Os, 194Pt, 197Au和208Pb作为靶核的熔合截面理论与实验比较(实验数据来源为: D. J. Hinde 1986 (EVR)[55], R. J. Charity 1986 (FF)[56], R. J. Charity 1986 (EVR FF)[56], J. van der Plicht 1983[58], P. V. Laveen 2015 (EVR)[59], P. V. Laveen 2015 (FF)[59], R. Yanez 2013 (FF)[60], S. Appannababu 2009 (FF)[61], E. Vulgaris 1986[62])

    Figure 4.  Comparison between theoretical results and experimental data of fusion cross section for 150Sm, 188Os, 192Os, 194Pt, 197Au and 208Pb target. The experimental data come from D. J. Hinde 1986 (EVR)[55], R. J. Charity 1986 (FF)[56], R. J. Charity 1986 (EVR FF)[56], J. van der Plicht 1983[58], P. V. Laveen 2015 (EVR)[59], P. V. Laveen 2015 (FF)[59], R. Yanez 2013 (FF)[60], S. Appannababu 2009 (FF)[61], E. Vulgaris 1986[62].

    图 2  24Mg, 27Al, 28Si, 44Ca, 58Ni和60Ni 作为靶核的熔合截面理论与实验比较(实验数据来源为: S. L. Tabor 1978[37], R. Rascher 1979[39], Y. Eisen 1977[40], E. Bozek 1986[41], A. M. Borges 1992[42], C. P. Silva 1997[43])

    Figure 2.  Comparison between theoretical results and experimental data of fusion cross section for 24Mg, 27Al, 28Si, 44Ca, 58Ni and 60Ni target. The experimental data come from S. L. Tabor 1978[37], R. Rascher 1979[39], Y. Eisen 1977[40], E. Bozek 1986[41], A. M. Borges 1992[42], C. P. Silva 1997[43].

    图 3  63Cu, 64Ni, 65Cu, 74Ge, 92Mo和148Nd 作为靶核的熔合截面理论与实验比较(实验数据来源为: L. C. Chamon 1992[47], C. P. Silva 1997[43], H. M. Jia 2012[49], M. Bonjelloun 1993[51], R. Broda 1975[54])

    Figure 3.  Comparison between theoretical results and experimental data of fusion cross section for 63Cu, 64Ni, 65Cu, 74Ge, 92Mo and 148Nd target. The experimental data come from L. C. Chamon 1992[47], C. P. Silva 1997[43], H. M. Jia 2012[49], M. Bonjelloun 1993[51], R. Broda 1975[54].

    图 5  不同入射能量下13C, 16O, 24Mg和64Zn作为靶核的弹性散射角分布理论与实验比较(实验数据来源: A. T. Rudchik 2011[33], S. Szilner 2006[36], M. Bernas 1980[38], S. Salem-Vasconcelos 1994[48])

    Figure 5.  Comparison between theoretical results and experimental data of elastic scattering angular distribution for 13C, 16O, 24Mg and 64Zn target at different incident energies. The experimental data come from A. T. Rudchik 2011[33], S. Szilner 2006[36], M. Bernas 1980[38], S. Salem-Vasconcelos 1994[48].

    图 7  不同入射能量下90Zr, 112, 116Sn和174Yb作为靶核的弹性散射角分布理论与实验比较(实验数据来源为: V. Jha 2004[50], H. G. Bohlen 1975[52], B. C. Robertson 1976[53], P. K. Sahu 2001[57])

    Figure 7.  Comparison between theoretical results and experimental data of elastic scattering angular distribution for 90Zr, 112, 116Sn and 174Yb target at different incident energies. The experimental data come from V. Jha 2004[50], H. G. Bohlen 1975[52], B. C. Robertson 1976[53], P. K. Sahu 2001[57].

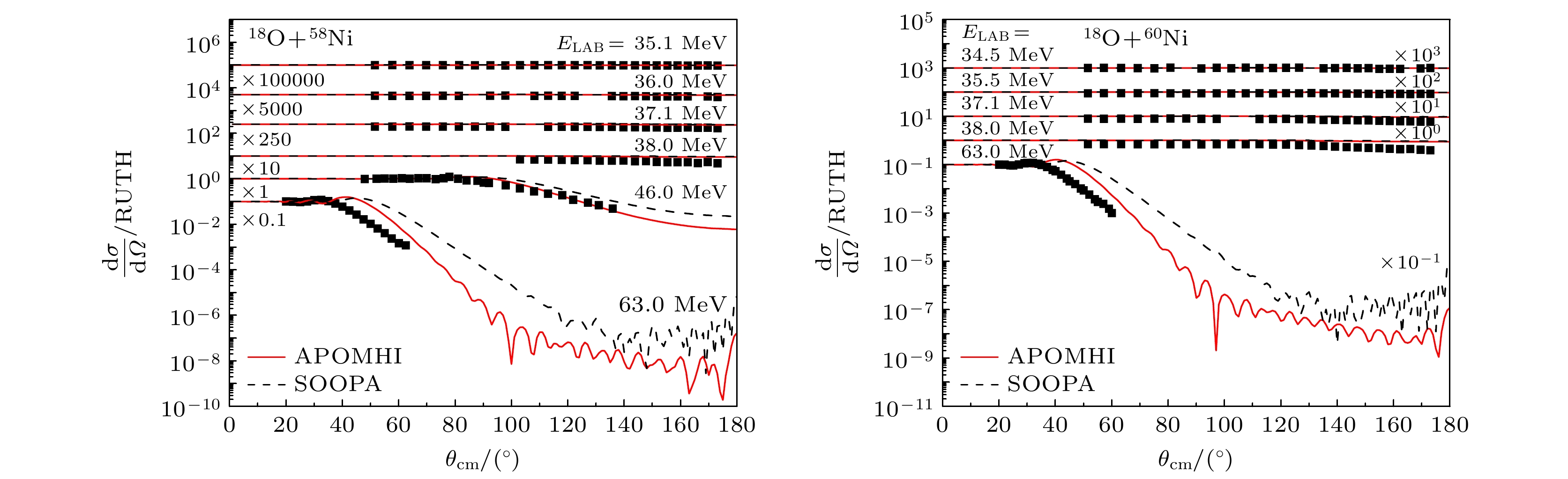
    图 6  不同入射能量下58Ni和60Ni作为靶核的弹性散射角分布理论与实验比较

    Figure 6.  Comparison between theoretical results and experimental data of elastic scattering angular distribution for 58Ni and 60Ni target at different incident energies.

    图 8  普适光参下靶核为7Li, 12C和120Sn的熔合截面与弹性散射角分布情况(实验数据来源为: B. Heusch 1982[64], C. Beck 1985[65], D. G. Kovar 1979[66], P. Sperr 1976[67], T. K. Steinbach 2014[68], Y. Eyal 1976[69], A. T. Rudchik 2007[63])

    Figure 8.  Fusion cross section and elastic scattering angular distribution for 7Li, 12C and 120Sn target with global optical parameters. The experimental data come from B. Heusch 1982[64], C. Beck 1985[65], D. G. Kovar 1979[66], P. Sperr 1976[67], T. K. Steinbach 2014[68], Y. Eyal 1976[69], A. T. Rudchik 2007[63].

    图 9  单核光参下靶核为7Li, 12C和120Sn的熔合截面与弹性散射角分布情况(实验数据来源为: B. Heusch 1982[64], C. Beck 1985[65], D. G. Kovar 1979[66], P. Sperr 1976[67], T. K. Steinbach 2014[68], Y. Eyal 1976[69], A. T. Rudchik 2007[63])

    Figure 9.  Fusion cross section and elastic scattering angular distribution for 7Li, 12C and 120Sn target with single nuclear optical parameters. The experimental data come from B. Heusch 1982[64], C. Beck 1985[65], D. G. Kovar 1979[66], P. Sperr 1976[67], T. K. Steinbach 2014[68], Y. Eyal 1976[69], A. T. Rudchik 2007[63].

    图 10  普适光参对14C和61Ni靶核的验证(实验数据来源: A. T. Rudchik 2011[72], N. K. Deb 2022[73])

    Figure 10.  Verification for 14C and 61Ni target with the global optical parameters. The experimental data come from A. T. Rudchik 2011[72], N. K. Deb 2022[73].

    表 1  APOMHI光学模型势参数

    Table 1.  Parameters in the APOMHI optical model.

    各部分光学势 参数 数目
    库仑势 $ {V}_{\mathrm{C}}\left(r\right) $ $ {r}_{\mathrm{C}\mathrm{A}}, {r}_{\mathrm{C}\mathrm{B}} $ 2
    中心势 $ {V}_{\mathrm{c}}\left(r\right) $ $ {r}_{\mathrm{c}\mathrm{A}} $,$ {r}_{\mathrm{c}\mathrm{B}}, {a}_{\mathrm{c}\mathrm{A}}, {a}_{\mathrm{c}\mathrm{B}0}, {a}_{\mathrm{C}\mathrm{B}1} $ 5
    面吸收虚部势 $ {W}_{\mathrm{S}}\left(r\right) $ $ r_{\mathrm{S}\mathrm{A}},r_{\mathrm{S}\mathrm{B}},a_{\mathrm{S}\mathrm{A}},a_{\mathrm{S}\mathrm{B}0},a_{\mathrm{S}\mathrm{B}1} $ 5
    体系收虚部势 $ {W}_{\mathrm{V}}\left(r\right) $ $ {r}_{\mathrm{V}\mathrm{A}}, {r}_{\mathrm{V}\mathrm{B}}, {a}_{\mathrm{V}\mathrm{A}}, {a}_{\mathrm{V}\mathrm{B}0}, {a}_{\mathrm{V}\mathrm{B}1} $ 5
    自旋-轨道实部势 $ {V}_{\mathrm{SO}}(r) $ rRSOA, rRSOB, aRSOA,
    aRSOB0, aRSOB1,$ {\overline{V}_{\mathrm{SO}}} $
    6
    自旋-轨道虚部势 $ {W}_{\mathrm{S}\mathrm{O}}(r) $ rISOA, rISOB, aISOA,
    aISOB0, aISOB1${\overline{W}_{\mathrm{SO}}} $
    6
    中心势强度 $ {\overline{V}_{\mathrm{c}}} $ $ {\overline{V}_{0}, {\overline{V}}_{1}, {\overline{V}}_{2}, {\overline{V}}_{\mathrm{B}}, {\overline{V}}_{4}} $ 5
    面吸收势强度 $ {\overline{W}_{\mathrm{S}}} $ $ {\overline{W}_{\mathrm{S}0}, {\overline{W}}_{\mathrm{S}1}, {\overline{W}}_{\mathrm{S}\mathrm{B}}, {\overline{W}}_{\mathrm{S}2}} $ 4
    体系收势强度 $ {\overline{W}_{\mathrm{V}}} $ $ {\overline{W}_{\mathrm{V}0}, {\overline{W}}_{\mathrm{V}1}, {\overline{W}}_{\mathrm{V}2}} $ 3
    总计 41
    下载: 导出CSV

    表 2  SOOPA光学模型势参数

    Table 2.  Parameters in the SOOPA optical model.

    各部分光学势 参数 数目
    库仑势 $ {V}_{\mathrm{C}}\left(r\right) $ $ {r}_{\mathrm{C}} $ 1
    0级弥散宽度 $ {a}_{i0} $ $ a_{\mathrm{c}0},a_{\mathrm{S}0},a_{\mathrm{V}0},a_{\mathrm{S}\mathrm{O}0} $ 4
    0级半径参数 $ {r}_{i0} $ $ r_{\mathrm{c}0},r_{\mathrm{S}0},r_{\mathrm{V}0},r_{\mathrm{S}\mathrm{O}0} $ 4
    修正参数 $ \xi $ $ \xi $ 1
    1级弥散宽度 $ a_{\mathrm{\mathit{i}1}} $ $ a_{\mathrm{c}1},a_{\mathrm{S}1},a_{\mathrm{V}1},a_{\mathrm{S}\mathrm{O}1} $ 4
    1级半径参数 $ r_{i1} $ $ r_{\mathrm{c}1},r_{\mathrm{S}1},r_{\mathrm{V}1},r_{\mathrm{S}\mathrm{O}1} $ 4
    中心势强度 $ {\overline{V}}_{\mathrm{c}} $ $ {\overline{V}}_{0}, {\overline{V}}_{1}, {\overline{V}}_{2}, {\overline{V}}_{3}, {\overline{V}}_{4} $ 5
    面吸收势强度 $ {\overline{W}}_{\mathrm{S}} $ $ {\overline{W}}_{\mathrm{S}0}, {\overline{W}}_{\mathrm{S}1}, {\overline{W}}_{\mathrm{S}2}, {\overline{W}}_{\mathrm{S}3} $ 4
    体系收势强度 $ {\overline{W}}_{\mathrm{V}} $ $ {\overline{W}}_{\mathrm{V}0}, {\overline{W}}_{\mathrm{V}1}, {\overline{W}}_{\mathrm{V}2}{, \stackrel{-}{W}}_{\mathrm{V}3} $ 4
    自旋-轨道实部
    势强度
    $ {\overline{V}}_{\mathrm{S}\mathrm{O}} $ VSO 1
    自旋-轨道虚部
    势强度
    $ {\overline{W}}_{\mathrm{S}\mathrm{O}} $ WSO 1
    总计 33
    下载: 导出CSV

    表 3  本文实验数据来源

    Table 3.  Experimental data used in this work

    序号 靶核 熔合截面 弹性散射角分布
    EL/MeV 文献 EL/MeV 文献
    1 9Be 7.0—21.0 [31]
    2 10B 22.0—63.0 [32]
    3 11B 21.0—65.0 [32]
    4 13C 105.0 [33]
    5 16O 13.9—85.0 [34,35] 85.0 [36]
    6 24Mg 32.0—72.0 [37] 50.0 [38]
    7 27Al 28.0—72.0 [39,40]
    8 28Si 34.0—72.0 [39]
    9 44Ca 27.0—60.0 [41]
    10 58Ni 35.0—64.0 [42,43] 35.1, 36.0, 37.1, 38.0, 46.0, 63.0 [4446]
    11 60Ni 40.0—63.0 [43] 34.5, 35.5, 37.1, 38.0, 63.0 [44,46]
    12 64Ni 38.5—64.0 [43]
    13 63Cu 40.0—65.0 [47]
    14 65Cu 40.0—65.0 [47]
    15 64Zn 49.0 [48]
    16 74Ge 37.0—61.0 [49]
    17 90Zr 90.0 [50]
    18 92Mo 50.0—65.0 [51]
    19 112Sn 60.0 [52]
    20 116Sn 67.0 [53]
    21 148Nd 61.8—77.0 [54]
    22 150Sm 65.0—125.0 [55,56]
    23 174Yb 83.0 [57]
    24 188Os 80.0—140.0 [58]
    25 192Os 79.0—124.0 [55,56]
    26 194Pt 77.6—106.0 [59]
    27 197Au 77.6—102.0 [60,61]
    28 208Pb 75.0—102.0 [62]
    29 7Li 114 [63]
    30 12C 15.0—216 [6469] 66.2, 85.0, 100.0, 120.0, 216.0 [70,71]
    31 120Sn 60.0, 66.7, 72.0 [46,52,53]
    32 14C 105.0 [72]
    33 61Ni 33.5—52.6 [73]
    下载: 导出CSV

    表 4  18O作为弹核系列核反应APOMHI模型下普适光学势最佳参数

    Table 4.  The APOMHI optimal OMP parameters for 18O projectiles incidence on different target nuclei.

    序号参数数值序号参数数值
    1$ {\overline{V}}_{0} $451.0000000022$ {a}_{\mathrm{R}\mathrm{S}\mathrm{O}\mathrm{B}0} $0.06584537
    2$ {\overline{V}}_{1} $15.3000000023$ {a}_{\mathrm{I}\mathrm{S}\mathrm{O}\mathrm{A}} $0.48015487
    3$ {\overline{V}}_{2} $0.4800000024$ {a}_{\mathrm{I}\mathrm{S}\mathrm{O}\mathrm{B}0} $0.01976280
    4$ {\overline{V}}_{\mathrm{B}} $0.0000000025$ {r}_{\mathrm{c}\mathrm{A}} $1.03999996
    5$ {\overline{V}}_{4} $18.7319297826$ {r}_{\mathrm{c}\mathrm{B}} $1.04000000
    6$ {\overline{W}}_{\mathrm{S}0} $30.0000000027$ {r}_{\mathrm{S}\mathrm{A}} $1.84839511
    7$ {\overline{W}}_{\mathrm{S}1} $–0.9900000028$ {r}_{\mathrm{S}\mathrm{B}} $1.46500000
    8$ {\overline{W}}_{\mathrm{S}\mathrm{B}} $0.0000000029$ {r}_{\mathrm{V}\mathrm{A}} $1.93000000
    9$ {\overline{W}}_{\mathrm{S}2} $0.0000000030$ {r}_{\mathrm{V}\mathrm{B}} $1.47000000
    10$ {\overline{W}}_{\mathrm{V}0} $10.0000000031$ {r}_{\mathrm{R}\mathrm{S}\mathrm{O}\mathrm{A}} $1.04999995
    11$ {\overline{W}}_{\mathrm{V}1} $13.0000000032$ {r}_{\mathrm{R}\mathrm{S}\mathrm{O}\mathrm{B}} $1.55366528
    12$ {\overline{W}}_{\mathrm{V}2} $–0.0120000033$ {r}_{\mathrm{I}\mathrm{S}\mathrm{O}\mathrm{A}} $1.05001342
    13$ {\overline{V}}_{\mathrm{S}\mathrm{O}} $80.0000000034$ {r}_{\mathrm{I}\mathrm{S}\mathrm{O}\mathrm{B}} $1.75388050
    14$ {\overline{W}}_{\mathrm{S}\mathrm{O}} $25.0000000035$ {r}_{\mathrm{C}\mathrm{A}} $1.25000000
    15$ {a}_{\mathrm{c}\mathrm{A}} $0.8500000036$ {r}_{\mathrm{C}\mathrm{B}} $1.25000000
    16$ {a}_{\mathrm{c}\mathrm{B}0} $0.0822956637$ {a}_{\mathrm{c}\mathrm{B}1} $0.24493097
    17$ {a}_{\mathrm{S}\mathrm{A}} $0.3510782138$ {a}_{\mathrm{S}\mathrm{B}1} $0.35000000
    18$ {a}_{\mathrm{S}\mathrm{B}0} $0.3477544839$ {a}_{\mathrm{V}\mathrm{B}1} $0.09000000
    19$ {a}_{\mathrm{V}\mathrm{A}} $0.3962688140$ {a}_{\mathrm{R}\mathrm{S}\mathrm{O}\mathrm{B}1} $0.11783799
    20$ {a}_{\mathrm{V}\mathrm{B}0} $0.3833678141$ {a}_{\mathrm{I}\mathrm{S}\mathrm{O}\mathrm{B}1} $0.07000000
    21$ {a}_{\mathrm{R}\mathrm{S}\mathrm{O}\mathrm{A}} $0.79141617
    下载: 导出CSV

    表 5  18O作为弹核系列核反应SOOPA模型下普适光学势最佳参数

    Table 5.  The SOOPA optimal OMP parameters for 18O projectiles incidence on different target nuclei.

    序号参数数值序号参数数值
    1$ {\overline{V}}_{0} $1300.0000000018$ {a}_{\mathrm{V}0} $0.64614904
    2$ {\overline{V}}_{1} $9.3295412119$ {a}_{\mathrm{S}\mathrm{O}0} $0.55000001
    3$ {\overline{V}}_{2} $–0.0331055720$ {r}_{\mathrm{R}0} $1.20000005
    4$ {\overline{V}}_{3} $–45.0000000021$ {r}_{\mathrm{S}0} $1.24034297
    5$ {\overline{V}}_{4} $34.9734268222$ {r}_{\mathrm{V}0} $1.20000005
    6$ {\overline{W}}_{\mathrm{S}0} $27.7965812723$ {r}_{\mathrm{S}\mathrm{O}0} $1.25000000
    7$ {\overline{W}}_{\mathrm{S}1} $–0.8797226024$ {r}_{\mathrm{C}} $1.25000000
    8$ {\overline{W}}_{\mathrm{S}2} $1.8755728025$ \xi $0.11376333
    9$ {\overline{W}}_{\mathrm{S}3} $1.0761344426$ {a}_{\mathrm{R}1} $0.02999442
    10$ {\overline{W}}_{\mathrm{V}0} $65.9998703027$ {a}_{\mathrm{S}1} $0.02947382
    11$ {\overline{W}}_{\mathrm{V}1} $5.4015379028$ {a}_{\mathrm{V}1} $–0.03926823
    12$ {\overline{W}}_{\mathrm{V}2} $0.0888160029$ {a}_{\mathrm{S}\mathrm{O}1} $0.00000000
    13$ {\overline{W}}_{\mathrm{V}3} $–5.0999999030$ {r}_{\mathrm{R}1} $–0.00313194
    14$ {\overline{V}}_{\mathrm{S}\mathrm{O}0} $10.0000000031$ {r}_{\mathrm{S}1} $0.18612149
    15$ {\overline{W}}_{\mathrm{S}\mathrm{O}0} $1.0000000032$ {r}_{\mathrm{V}1} $0.01397228
    16$ {a}_{\mathrm{R}0} $0.5215224633$ {r}_{\mathrm{S}\mathrm{O}1} $0.00000000
    17$ {a}_{\mathrm{S}0} $0.34999999
    下载: 导出CSV

    表 6  APOMHI与SOOPA两种模型下理论与实验偏差比较

    Table 6.  Deviation of theoretical results and experimental data with APOMHI and SOOPA model respectively.

    靶核 APOMI SPOOA
    $ \chi _{\text{f}}^2 $ $ \chi _{\text{e}}^{2} $ $ {\chi ^2} $ $ \chi _{\text{f}}^{2} $ $ \chi _{\text{e}}^{2} $ $ {\chi ^2} $
    9Be 1.39 1.39 2.33 2.33
    10B 2.17 2.17 2.89 2.89
    11B 4.02 4.02 4.51 4.51
    13C 286.27 286.27 467.75 467.75
    16O 21.00 162.44 91.72 32.16 147.74 89.95
    24Mg 3.11 9.74 6.43 0.38 97.82 49.10
    27Al 17.60 17.60 16.52 16.52
    28Si 15.43 15.43 7.72 7.72
    44Ca 12.05 12.05 6.10 6.10
    58Ni 88.30 646.73 367.51 97.93 2046.43 1072.18
    60Ni 21.25 1404.33 712.79 35.38 3194.35 1614.86
    64Ni 43.28 43.28 42.01 42.01
    63Cu 5.06 5.06 4.42 4.42
    65Cu 3.90 3.90 5.24 5.24
    64Zn 120.98 120.98 579.60 579.60
    74Ge 2165.57 2165.57 2468.20 2468.20
    90Zr 498.31 498.31 69.48 69.48
    92Mo 10.45 10.45 8.45 8.45
    112Sn 74.11 74.11 88.79 88.79
    116Sn 403.03 403.03 1026.08 1026.08
    148Nd 42.07 42.07 21.85 21.85
    150Sm 9.20 9.20 5.31 5.31
    174Yb 12.57 12.57 9.34 9.34
    188Os 80.49 80.49 1422.2 1422.20
    192Os 13.57 13.57 3.84 3.84
    194Pt 26.65 26.65 30.66 30.66
    197Au 32.45 32.45 15.85 15.85
    208Pb 33.29 33.29 14.77 14.77
    总(以上多核综合) 120.56 361.85 181.87 193.12 772.73 326.79
    7Li 166.49 166.49 85.95 85.95
    12C 42.23 32018.88 16030.55 42.54 6563.20 3302.87
    120Sn 229.43 229.43 354.57 354.57
    14C 21.35 21.35 30.14 30.14
    61Ni 14.08 14.08 137.80 137.80
    下载: 导出CSV

    表 7  7Li, 12C和120Sn靶核单独调参的$ {\chi ^2} $结果

    Table 7.  The $ {\chi ^2} $ results for 7Li, 12C and 120Sn with individual parameter.

    靶核 APOMHI(单核) SOOPA(单核)
    $ \chi _{\text{f}}^{2} $ $ \chi _{\text{e}}^{2} $ $ {\chi ^2} $ $ \chi _{\text{f}}^{2} $ $ \chi _{\text{e}}^{2} $ $ {\chi ^2} $
    7Li 5.79 5.79 5.86 5.86
    12C 84.23 1437.90 761.07 109.70 2501.96 1305.83
    120Sn 24.84 24.84 15.87 15.87
    下载: 导出CSV
  • [1] Feshbach H 1958 Ann. Phys. 5 357 doi: 10.1016/0003-4916(58)90007-1
    [2] Pruitt C D, Escher J E, Rahman R 2023 Phys. Rev. C 107 014602 doi: 10.1103/PhysRevC.107.014602
    [3] Capote R, Herman M, Obložinský P, Young P G, Goriely S, Belgya T, Ignatyuk A V, Koning A J, Hilaire S, Plujko V A, Avrigeanu M, Bersillon O, Chadwick M B, Fukahori T, Ge Z G, Han Y L, Kailas S, Kopecky J, Maslov V M, Reffo G, Sin M, Soukhovitskii E S, Talou P 2009 Nucl. Data Sheets 110 3107 doi: 10.1016/j.nds.2009.10.004
    [4] Moumene I, Bonaccorso A 2023 Phys. Rev. C 108 044609 doi: 10.1103/PhysRevC.108.044609
    [5] Becchetti F D, Greenlees G. W. 1969 Phys. Rev. 182 1190 doi: 10.1103/PhysRev.182.1190
    [6] Jeukenne J P, Lejeune A, Mahaux C 1977 Phys. Rev. C 16 80 doi: 10.1103/PhysRevC.16.80
    [7] Jeukenne J P, Lejeune A, Mahaux C 1976 Phys. Rep. 25 83 doi: 10.1016/0370-1573(76)90017-X
    [8] Bauge E, Delaroche J P, Girod M 1998 Phys. Rev. C 58 1118 doi: 10.1103/PhysRevC.58.1118
    [9] Bauge E, Delaroche J P, Girod M 2001 Phys. Rev. C 63 024607 doi: 10.1103/PhysRevC.63.024607
    [10] Nobre G P A, Palumbo A, Herman M, Brown D, Hoblit S 2015 Phys. Rev. C 91 024618 doi: 10.1103/PhysRevC.91.024618
    [11] Soukhovitskiĩ E S, Capote R, Quesada J M, Chiba S, Martyanov D S 2016 Phys. Rev. C 94 064605 doi: 10.1103/PhysRevC.94.064605
    [12] Mahaux C, Sartor R 1991 Adv. Nucl. Phys. (Boston, MA: Springer US) pp1–223
    [13] Quesada J M, Capote R, Molina A, Lozano M 2003 Phys. Rev. C 67 067601 doi: 10.1103/PhysRevC.67.067601
    [14] Morillon B, Romain P 2007 Phys. Rev. C 76 044601 doi: 10.1103/PhysRevC.76.044601
    [15] Mueller J M, Charity R J, Shane R, Sobotka L G, Waldecker S J, Dickhoff W H, Crowell A S, Esterline J H, Fallin B, Howell C R, Westerfeldt C, Youngs M, Crowe B J, Pedroni R S 2011 Phys. Rev. C 83 064605 doi: 10.1103/PhysRevC.83.064605
    [16] Mahzoon M H, Charity R J, Dickhoff W H, Dussan H, Waldecker S J 2014 Phys. Rev. Lett. 112 162503 doi: 10.1103/PhysRevLett.112.162503
    [17] Atkinson M C, Dickhoff W H 2019 Phys. Lett. B 798 135027 doi: 10.1016/j.physletb.2019.135027
    [18] Zhao X, Sun W, Capote R, Capote R, Soukhovitskiĩ E S, Martyanov D S, Quesada J M 2020 Phys. Rev. C 101 064618 doi: 10.1103/PhysRevC.101.064618
    [19] An H, Cai C 2006 Phys. Rev. C 73 054605 doi: 10.1103/PhysRevC.73.054605
    [20] Han Y, Shi Y, Shen Q 2006 Phys. Rev. C 74 044615 doi: 10.1103/PhysRevC.74.044615
    [21] Koning A J, Delaroche J P 2003 Nucl. Phys. A 713 231 doi: 10.1016/S0375-9474(02)01321-0
    [22] Li X H, Chen L W 2012 Nucl. Phys. A 874 62 doi: 10.1016/j.nuclphysa.2011.10.008
    [23] Liang C T, Li X H, Cai C H 2009 J. Phys. G: Nucl. Part. Phys. 36 085104 doi: 10.1088/0954-3899/36/8/085104
    [24] Li X, Liang C, Cai C 2007 Nucl. Phys. A 789 103 doi: 10.1016/j.nuclphysa.2007.03.004
    [25] Shen Q B 2002 Nucl. Sci. Eng. 141 78 doi: 10.13182/NSE01-19CCA
    [26] Xu Y, Han Y, Hu J, Liang H, Wu Z, Guo H, Cai C 2018 Phys. Rev. C 98 024619 doi: 10.1103/PhysRevC.98.024619
    [27] Xu Y, Han Y, Liang H, Wu Z, Guo H, Cai C 2019 Phys. Rev. C 99 034618 doi: 10.1103/PhysRevC.99.034618
    [28] Xu Y, Han Y, Hu J, Liang H, Wu Z, Guo H, Cai C 2018 Phys. Rev. C 97 014615 doi: 10.1103/PhysRevC.97.014615
    [29] Xu Y L, Han Y L, Su X W, Sun X J, Liang H Y, Guo H R, Cai C H 2021 Chin. Phys. C 45 114103 doi: 10.1088/1674-1137/ac1fe1
    [30] Raynal J 1994 Notes on ECIS94 CEA Saclay Report CEA-N-2772
    [31] Roth H A, Christiansson J E, Dubois J 1980 Nucl. Phys. A 343 148 doi: 10.1016/0375-9474(80)90646-6
    [32] Anjos R M, Added N, Carlin N, Fante L, Figueira M C S, Matheus R, Szanto E M, Tenreiro C, Szanto A 1994 Phys. Rev. C 49 2018 doi: 10.1103/PhysRevC.49.2018
    [33] Rudchik A T, Shyrma Y O, Kemper K W, Rusek K, Koshchy E I, Kliczewski S, B 2011 Nucl. Phys. A 852 1 doi: 10.1016/j.nuclphysa.2011.01.004
    [34] Thomas J, Chen Y T, Hinds S, Langanke K, Meredith D, Olson M, Barnes C A 1985 Phys. Rev. C 31 1980 doi: 10.1103/PhysRevC.31.1980
    [35] Thomas J, Chen Y T, Hinds S, Meredith D, Olson M 1986 Phys. Rev. C 33 1679 doi: 10.1103/PhysRevC.33.1679
    [36] Szilner S, Haas F, Basrak Z, Freeman R M, Morsad A, Nicoli M P 2006 Nucl. Phys. A 779 21 doi: 10.1016/j.nuclphysa.2006.09.007
    [37] Tabor S L, Geesaman D F, Henning W, Kovar D G, Rehm K E, Prosser F W 1978 Phys. Rev. C 17 2136 doi: 10.1103/PhysRevC.17.2136
    [38] Bernas M, Pougheon F, Roy-Stephan M, Berg G P A, Berthier B, Le J P 1980 Phys. Rev. C 22 1872 doi: 10.1103/PhysRevC.22.1872
    [39] Rascher R, Muller W F J, Lieb K P 1979 Phys. Rev. C 20 1028 doi: 10.1103/PhysRevC.20.1028
    [40] Eisen Y, Tserruya I, Eyal Y, Fraenkel Z, Hillman M 1977 Nucl. Phys. A 291 459 doi: 10.1016/0375-9474(77)90332-3
    [41] Bozek E, De Castro-Rizzo D M, Cavallaro S, Delaunay B , Delaunay J, Dumont H, D'onofrio A, Saint-Laurent M G, Sperduto L, Terrasi F 1986 Nucl. Phys. A 451 171 doi: 10.1016/0375-9474(86)90250-2
    [42] Borges A M, Silva C P, Pereira D, Chamon L C, Rossi E S, 1992 Phys. Rev. C 46 2360 doi: 10.1103/PhysRevC.46.2360
    [43] Silva C P, Pereira D, Chamon L C, Rossi E S 1997 Phys. Rev. C 55 3155 doi: 10.1103/PhysRevC.55.3155
    [44] Rossi E S, Pereira D, Chamon L C, Silva C P, Alvarez M A G, Gas L R 2002 Nucl. Phys. A 707 325 doi: 10.1016/S0375-9474(02)01009-6
    [45] Alves J J S, Gomes P R S, Lubian J, Chamon L C, Pereira D, Anjos R M 2005 Nucl. Phys. A 748 59 doi: 10.1016/j.nuclphysa.2004.10.020
    [46] Rehm K E, Koerner H J, Richter M, Rother H P, Schiffer J P, Spieler H 1975 Phys. Rev. C 12 1945 doi: 10.1103/PhysRevC.12.1945
    [47] Chamon L C, Pereira D, Rossi E S, Silva C P, Razeto G R, Borges A M, Gomes L C, Sala O 1992 Phys. Lett. B 275 29 doi: 10.1016/0370-2693(92)90846-V
    [48] Salem-Vasconcelos S, Takagui E M, Bechara M J, Koide K, Dietzsch O, Baur A 1994 Phys. Rev. C 50 927 doi: 10.1103/PhysRevC.50.927
    [49] Jia H M, Lin C J, Xu X X, Zhang H Q, Liu Z H, Yang L, Zhang S T, Bao P F, Sun L J 2012 Phys. Rev. C 86 044621 doi: 10.1103/PhysRevC.86.044621
    [50] Jha V, Roy B J, Chatterjee A, Machner H 2004 Eur. Phys. J. A 19 347 doi: 10.1140/epja/i2002-10310-7
    [51] Benjelloun M, Galster W, Vervier J 1993 Nucl. Phys. A 560 715 doi: 10.1016/0375-9474(93)90042-V
    [52] Bohlen H G, Hildenbrand K D, Gobbi A, Kubo K I 1975 Z. Phys. A: Hardrons Nucl. 273 211 doi: 10.1007/BF01435841
    [53] Robertson B C, Sample J T, Goosman D R, Nagtani K, Jones K W 1971 Phys. Rev. C 4 2176 doi: 10.1103/PhysRevC.4.2176
    [54] Broda R, Ishihara M, Herskind B, Oeschler H, Ogaza S, Ryde H 1975 Nucl. Phys. A 248 356 doi: 10.1016/0375-9474(75)90170-0
    [55] Hinde D J, Charity R J, Foote G S, Leigh J R, Newton J O, Ogaza S, Chattejee A 1986 Nucl. Phys. A 452 550 doi: 10.1016/0375-9474(86)90214-9
    [56] Charity R J, Leigh J R, Bokhorst J J M, Chatterjee A, Foote G S, Hinde D J, Newton J O, Ogaza S, Ward D 1986 Nucl. Phys. A 457 441 doi: 10.1016/0375-9474(86)90388-X
    [57] Sahu P K, Choudhury R K, Biswas D C, Nayak B K 2001 Phys. Rev. C 64 014609 doi: 10.1103/PhysRevC.64.014609
    [58] van der Plicht J, Britt H C, Fowler M M, Fraenkel Z, Gavron A, Wilhelmy J B 1983 Phys. Rev. C 28 2022 doi: 10.1103/PhysRevC.28.2022
    [59] Laveen P V, Prasad E, Madhavan N, Pal S, Sadhukhan J, Nath S, Gehlot J, Jhingan A, Varier K M, Thomas R G 2015 J. Phys. G: Nucl. Part. Phys. 42 95105 doi: 10.1088/0954-3899/42/9/095105
    [60] Yanez R, Loveland W, Barrett J S, Yao L 2013 Phys. Rev. C 88 14606 doi: 10.1103/PhysRevC.88.014606
    [61] Appannababu S, Mukherjee S, Singh N L, Rath P K, Kumar G K 2009 Phys. Rev. C 80 24603 doi: 10.1103/PhysRevC.80.024603
    [62] Vulgaris E, Grodzins L, Steadman S G, Ledoux R 1986 Phys. Rev. C 33 2017 doi: 10.1103/PhysRevC.33.2017
    [63] Rudchik A A, Rudchik A T, Kliczewski S, Koshchyc E I, Ponkratenko O A, 2007 Nucl. Phys. A 785 293 doi: 10.1016/j.nuclphysa.2007.01.001
    [64] Heusch B, Beck C, Coffin J P, Engelstein P, Freeman R M, Guillaume G, Haas F, Wagner P 1982 Phys. Rev. C 26 542 doi: 10.1103/PhysRevC.26.542
    [65] Beck C, Haas F, Freeman R M, Heusch B, Coffin J P, Guillaume G, Rami F, Wagner P 1985 Nucl. Phys. A 442 320 doi: 10.1016/0375-9474(85)90148-4
    [66] Kovar D G, Geesaman D F, Braid T H, Eisen Y, Henning W, Ophel T R, Paul M, Rehm K E, Sanders S J 1979 Phys. Rev. C 20 1305 doi: 10.1103/PhysRevC.20.1305
    [67] Sperr P, Braid T H, Eisen Y, Kovar D G, Prosser F W, Schiffer J P, Tabor S L, Vigdor S 1976 Phys. Rev. Lett. 37 321 doi: 10.1103/PhysRevLett.37.321
    [68] Steinbach T K, Vadas J, Schmidt J, Haycraft C, Hudan S, deSouza R T 2014 Phys. Rev. C 90 41603 doi: 10.1103/PhysRevC.90.041603
    [69] Eyal Y, Beckerman M, Chechik R, Fraenkel Z, Stocker H 1976 Phys. Rev. C 13 1527 doi: 10.1103/PhysRevC.13.1527
    [70] Szilner S, Nicoli M P, Basrak Z, Freeman R M, Haas F, Morsad A 2001 Phys. Rev. C 64 064614 doi: 10.1103/PhysRevC.64.064614
    [71] Al-Abdullah T, Carstoiu F, Gagliardi C A 2014 Phys. Rev. C 89 064602 doi: 10.1103/PhysRevC.89.064602
    [72] Rudchik A T, Shyrma Y O, Kemper K W, Piasecki E, Romanyshyna G P, Stepanenko Y M, Strojek I, Sakuta S B, Budzanowski A, Głowacka L, Skwirczyńska I, Siudak R, Choiński J, Szczurek A 2011 Eur. Phys. J. A 47 1 doi: 10.1140/epja/i2011-11001-0
    [73] Deb N K, Kalita K, Rashid H A, Das A, Nath S, Gehlot J, Madhavan N, Biswas R, Sahoo R N, Giri P K, Parihari A, Rai N K, Biswas S, Mahato A, Roy B J 2022 Phys. Rev. C 105 054608 doi: 10.1103/PhysRevC.105.054608
    [74] Wong C Y 1973 Phys. Rev. Lett. 31 766 doi: 10.1103/PhysRevLett.31.766
    [75] Wang L, Zhao K, Tian J L 2013 Nucl. Phys. Rev. 30 289 doi: 10.11804/NuclPhysRev.30.03.289
    [76] Chen J B, Yang Y Y, Wang J S, Wang Q, Jin S L, Ma P, Ma J B, Huang M R, Han J L, Bai Z, Hu Q, Jin L, Li R, Zhao M H 2014 Nucl. Phys. Rev. 31 53 doi: 10.1088/1674-1137/38/5/056202
    [77] Xu Y L, Han Y L, Su X W, Sun X J, Liang H Y, Guo H R, Cai C H 2020 Chin. Phys. C 44 124103 doi: 10.1088/1674-1137/abb4d0
    [78] Zamrun F M, Hagino K 2008 Phys. Rev. C 77 014606 doi: 10.1103/PhysRevC.77.014606
    [79] Xu Y L, Han Y L, Liang H Y, Wu Z D, Guo H R, Cai C H 2020 Chin. Phys. C 44 034101 doi: 10.1088/1674-1137/44/3/034101
    [80] Beck C, Keeley N, Diaz-Torres A 2007 Phys. Rev. C 75 054605 doi: 10.1103/PhysRevC.75.054605
    [81] Pieper S C, Macfarlane M H, Gloeckner D H, Kovar D G, Becchetti F D, Harvey B G, Hendrie D L, Homeyer H, Mahoney J, Pühlhofer F, Oertzen W, Zisman M S 1978 Phys. Rev. C 18 180 doi: 10.1103/PhysRevC.18.180
    [82] Al-Ghamdi A H, Ibraheem A A, Hamada S 2022 J. Taibah Univ. Sci. 16 1026 doi: 10.1080/16583655.2022.2135802
  • 加载中
图( 10) 表( 7)
计量
  • 文章访问数:  37
  • HTML全文浏览数:  37
  • PDF下载数:  2
  • 施引文献:  0
出版历程
  • 收稿日期:  2025-05-15
  • 刊出日期:  2025-09-20

传统光学模型的改进及其在重离子碰撞反应中的应用

    通讯作者: sxj0212@gxnu.edu.cn
    作者简介: 蔡崇海:Haicai@nankai.edu.cn
  • 1. 天津城建大学理学院, 天津 300384
  • 2. 广西师范大学, 广西核物理与核技术重点实验室, 桂林 541004
  • 3. 广西师范大学物理科学与技术学院, 桂林 541004
  • 4. 南华大学核科学技术学院, 衡阳 421001
  • 5. 南开大学物理科学学院, 天津 300071

摘要: 本文针对重离子碰撞中弹核与靶核质量相近体系的相互作用问题, 提出改进型光学模型APOMHI. 该模型突破传统框架中仅侧重靶核贡献的局限, 通过对称化处理弹核与靶核的势场影响, 在Woods-Saxon型光学势场构建中, 弹靶核的扩散宽度与半径参数采用对等形式, 确保两者贡献的等价性. 同时, 角动量耦合方式也相应由L-S耦合替代了j-j耦合. 将改进后的光学模型应用于以18O作为弹核的系列重离子碰撞反应, 通过拟合弹性散射角分布与复合核吸收截面数据, 得到了一组普适唯象光学势, 经比较, 理论结果与现有实验数据大体相符.

English Abstract

    • 自1958年Feshbach[1]首次引入光学模型(OM)以来, 它在核反应计算中被广泛用于描述弹核和靶核的相互作用[2]. OM是所有核模型计算的基础和起点, 可在核反应中用于计算“全截面”、复合核形成(吸收)截面和弹性散射角分布; 它还用于计算预平衡理论和蒸发模型中的逆截面以及Hauser-Feshbach统计理论中的穿透因子[3].

      核反应是一个复杂的多体过程, 利用纯微观理论探索其内部机制比较困难. 但另一方面, 目前已积累的相关实验数据却比较丰富, 这种情况下利用唯象光学势描述弹-靶相互作用则不失为一种很好的选择. 所谓唯象光学势, 即利用核结构信息先确定形状因子的形式(其中含有若干可调参数), 然后通过拟合相应实验数据再把相关参数确定下来[4]. 初期, 唯象光学势在拟合弹性散射数据方面取得了巨大成功[5], 自此, 人们开始从不同角度对其开展研究[2], 比如构建(半)微观光学势[69], 将靶核扩展至变形核和锕系元素系统[10,11], 与单粒子格林函数相关联[1218]等.

      对于同一弹核但不同靶核的系列反应, 由于同类反应具有一定的规律性, 人们相应地开展了该种弹核的普适光学势研究. 即通过与已有实验数据拟合确定可调参数的方法确立相应普适光学势, 进而预测没有实验数据区域的“全截面”、吸收截面和弹性散射角分布. 关于核反应普适光学势的研究目前取得了许多进展.

      早期人们开展光学势研究主要采取球型光学模型, 假定靶核为球形, 弹核为n, p, d, t, 3He和α这6种轻粒子[1924]. 国内开展这方面工作主要采用的程序为APMN[25]. 这种情况下弹核质量远小于靶核, 弹核被看作点粒子, 弹核在靶核提供的势场中运动, 势参数与弹核无关, 一般认为靶核处于基态并假定自旋为0, 因此系统的总角动量${\boldsymbol j} $仅涉及弹核的自旋${\boldsymbol i} $与弹核相对靶核运动的轨道角动量${\boldsymbol l} $, 即${\boldsymbol j} = {\boldsymbol l} + {\boldsymbol i} $. 此外, n, p, t, 3He的自旋为$ {1}/{2} $, α的自旋为0, d的自旋为1. 在程序APMN中, 弹性散射角分布对于不同自旋的弹核给出了不同的表达式(在散射振幅的表达式中, 对于同一个l, 把对j的求和做出具体的表达式), 0自旋只有一项, 1/2自旋有两项, 1自旋则迅速增加到5项.

      后来徐永丽等[2629]将弹核扩展到了Li, Be, B, C四种元素的各种同位素, 所用程序为SOOPA (本程序由本文作者蔡崇海编写, 系应韩银禄、徐永丽之委托所创作, 未公开发表), 该程序可计算自旋最大至11/2的情况, 同时也适当考虑了弹核对靶核势场的影响. 由于弹核自旋值最大可达11/2, 已经很难把散射振幅表达式中对j求和部分对不同的自旋分别做出不同的解析表达式, 因此程序SOOPA对弹性散射角分布的计算直接采用对带有lj两重求和的复数散射振幅取模方的方法.

      对于n和p作为弹核的情况, 人们还开展了耦合道光学模型的相关研究[30], 可以同时计算弹性散射和低能级的直接非弹散射的截面和角分布. 在这种情况下, 由于弹核质量远小于靶核, 在该系统中质心几乎就在靶核上. 在该模型中对角动量应该采用$ {\boldsymbol{j}}{\text{-}}{\boldsymbol{j}} $耦合方法, 即弹核自旋$ {\boldsymbol{i}} $先与弹靶相对运动的轨道角动量$ {\boldsymbol{L}} $耦合成弹核的总角动量$ {\boldsymbol{j}} $($ {\boldsymbol{j}} = {\boldsymbol{L}} + {\boldsymbol{i}} $), 然后$ {\boldsymbol{j}} $再与靶核的自旋I耦合为系统的总角动量$ {\boldsymbol{J}} $($ {\boldsymbol{J}} = {\boldsymbol{j}} + {\boldsymbol{I}} $).

      近年来, 重离子反应引起了广泛关注, 为描述重离子碰撞反应的弹-靶相互作用, 本文对传统光学模型加以改进, 建立了相应的重离子碰撞反应光学模型, 所用程序命名为APOMHI. 重离子碰撞时弹核与靶核质量相差不大, 因此我们必须将弹核与靶核同等对待, 两者相对运动的势场必须等价地由两者提供而不能只由靶核提供. 此时角动量耦合方式必须用$ {\boldsymbol{L}}{\text{-}}{\boldsymbol{S}} $耦合方式而不能用$ {\boldsymbol{j}}{\text{-}}{\boldsymbol{j}} $耦合方式. 弹核自旋为$ {\boldsymbol{i}} $, 靶核自旋为$ {\boldsymbol{I}} $, 两者先耦合为弹靶系统的自旋$ {\boldsymbol{S}} = {\boldsymbol{i}} + {\boldsymbol{I}} $, 原则上$ {\boldsymbol{i}} $, $ {\boldsymbol{I}} $可为任意值, $ {\boldsymbol{S}} $值在$ \left| {I - i} \right| $$ I + i $之间变化. 然后弹靶系统的自旋$ {\boldsymbol{S}} $再与弹靶相对运动的轨道角动量$ {\boldsymbol{L}} $耦合为总角动量$ {\boldsymbol{J}} = {\boldsymbol{S}} + {\boldsymbol{L}} $, 从而径向波函数$ U_{lSJ}\left(r\right) $涉及到l, S, J三个量子数, 而非传统光学模型中只涉及到l, J两个量子数.

      此外, 因为弹靶相差不大, 模型在光学势方面也做了同等处理, 以面吸收虚部势为例, 模型对Woods-Saxon势形式进行了改进, 弹核A和靶核B的扩散宽度及半径在计算公式(7)中形式相同, 而不是只侧重靶核, 其余几部分光学势也做了类似处理.

      APOMHI依然假设弹靶为球形核, 也不考虑两个核的激发态. 弹靶相差不大, 弹核可以轻于或重于靶核, 但二者不能为全同粒子. 利用该光学模型, 可以计算重离子碰撞的弹性散射角分布以及复合核吸收截面. 为验证APOMHI的适用性, 本文进一步以18O作为弹核的系列重离子碰撞反应为例, 通过拟合实验数据, 获取了相应反应的普适光学势. 同时, 作为比较, 本文也利用SOOPA在同样实验数据的基础上做了类似的计算.

      本文安排如下: 第2节为理论基础; 第3节给出了18O弹核系列重离子碰撞反应的普适光学势结果, 并将相应光学势的理论计算结果与实验数据进行了比较和讨论; 第4节为总结.

    • 两核运动的定态薛定谔方程可以分解为两核质心的自由运动(平面波)和弹核相对于靶核在它们相互作用势场中运动的定态薛定谔方程, 该势场一般是球对称的. 光学模型就是求解该相对运动定态薛定谔方程的常用简化模型.

      质心系中AB两核相对运动的哈密顿量为

      其中$ \mu = \dfrac{{{M_{\text{A}}}{M_{\text{B}}}}}{{{M_{\text{A}}} + {M_{\text{B}}}}} $为两核的折合质量. 球形核光学模型中唯象光学势可取以下类Woods-Saxon形式:

      其中

      (3)式中$ {V_{\text{C}}}(r) $为库仑势, 取具有均匀电荷密度圆球的电势场, 其形式为

      式中, $ {Z_{\text{A}}} $$ {Z_{\text{B}}} $分别为弹核A和靶核B的电荷数. 在(3)式中, $ {V_{\text{c}}}(r) $为中心实部势, 其形式为

      $ {W_{\text{S}}}(r) $为面吸收虚部势, 其形式为

      $ {W_{\text{V}}}(r) $为体吸收虚部势, 其形式为

      (4)式中的$ {V_{{\text{SO}}}}(r) $$ {W_{{\text{SO}}}}(r) $分别为自旋-轨道耦合实部势和虚部势, 其形式为

      $ {-\!\!\!\!\lambda _{\pi}} $$ {\pi} $介子康普顿波长, 并且有$-\!\!\!\!\lambda _{\pi}^2 \cong 2.00{\text{ f}}{{\text{m}}^2} $. 方程(5)—方程(10)中, 有关系

      其中$ A_{\text{A}}^{} $$ A_{\text{B}}^{} $分别为弹核A和靶核B的质量数; ${r_{i{\text{A}}}}, {\text{ }}{r_{i{\text{B}}}}, {\text{ }}{a_{i{\text{A}}}}, {\text{ }}{a_{i{\text{B0}}}}, {\text{ }}{a_{i{\text{B1}}}}$为唯象光学势可调参数. 方程(6)、方程(7)和方程(8)中, 势强度$ {\overline V_{\text{c}}}, {\text{ }}{\overline W_{\text{S}}}, {\text{ }}{\overline W_{\text{V}}} $可分别取如下形式:

      其中$ {N_{\text{A}}} $$ {N_{\text{B}}} $分别是A核和B核的中子数; 势强度参数$ {\overline V_{\text{c}}}, {\text{ }}{\overline W_{\text{S}}}, {\text{ }}{\overline W_{\text{V}}} $的单位为$ {\text{MeV}} $; 核半径参数${r_{i{\text{A}}}}, {\text{ }}{r_{i{\text{B}}}}$和弥散宽度参数${a_{i{\text{A}}}}, {\text{ }}{a_{i{\text{B0}}}}, {\text{ }}{a_{i{\text{B1}}}}$的单位为$ {\text{fm}} $; $ {E_{\text{C}}} $为质心系能量. 在(11)式中有6个$ {r_{i{\text{A}}}} $和6个$ {r_{i{\text{B}}}} $, 在(5)式—(10)式中, 有5个$ {a_{i{\text{A}}}} $, 在(12)式中, 有5个$ {a_{i{\text{B0}}}} $和5个$ {a_{i{\text{B1}}}} $, 在(9)式、(10)式和(13)式中共有14个势强度参数, 所以总共有41个可调参数(见表1).

      通过尝试计算, 发现$ {\overline{W}}_{\mathrm{S}2} $, $ {\overline V_{\text{B}}} $$ {\overline W_{{\text{SB}}}} $这3个参数对结果都非常不敏感, 于是我们决定在(13)式中去掉相应的3项(相当于令$ {\overline{W}}_{\mathrm{S}2} $, $ {\overline V_{\text{B}}} $$ {\overline W_{{\text{SB}}}} $这3个参数为0). 此外还发现, 固定其他参数的情况下将rCArCB从1.2变动到1.4, 结果几乎没有改变, 于是我们固定rCA = rCB = 1.25, 不再将其作为可调参数. 因此对于18O作为弹核的普适光学势, 可调参数由41个减少到36个.

      从相应于(1)式哈密顿量的定态薛定谔方程出发, 经过一系列推导, 得到球形核光学模型径向$ lSJ $分波函数$ u_{lSJ}^{}(r) $所满足的方程:

      利用中央差分法求解此径向方程我们可以得到势场边界上径向波函数$ u_{lSJ}^{}({r_{\text{m}}}) $和它对kr的导数$ u_{lSJ}^{\prime}({r_{\text{m}}}) $, 再让它们与外区库仑波函数$ {F_L}\left( {kr} \right) $, $ {G_L}\left( {kr} \right) $及其对kr的导数$ F_L^{\prime}\left( {kr} \right) $, $ G_L^{\prime}\left( {kr} \right) $$ {r}_{\mathrm{m}} $处按下式衔接:

      这里$ {r}_{\mathrm{m}} $表示势场边界的径向坐标, 是内区差分法计算得到的径向波函数与外区库仑波函数进行衔接的位置点. 我们能够由(15)式求出所需的S矩阵元$ S_{lS}^J $. 对于传统的球形核光学模型, 在方程(14)中$ S $为弹核的自旋, 为一个确定值, 不需要标记出来. 在本文的光学模型中, $ S $是弹核自旋$ i $与靶核自旋$ I $耦合得到的系统自旋, 它在$ |I - i| $$ I + i $之间变化, 并不是一个确定值, 需要标记出来. 再经过一系列推导, 得到复合核形成截面即吸收截面的计算公式为

      本文的弹性散射角分布计算公式如下:

      其中散射振幅

      在(18)式中, $ {f_{\text{C}}}(\theta ) $为库仑散射振幅:

      其中θ为散射角度, $ \eta = \dfrac{{\mu {Z_A}{Z_B}{e^2}}}{{{\hbar ^2}k}} $. 而核散射振幅$ {f_{\text{N}}}(\varOmega ) $则为

      其中, $ {C}_{l0\text{ }SM}^{JM}, {C}_{i{m}_{i}\text{ }I{M}_{I}}^{SM}, $$ C_{lm_l^{\prime}{\text{ }}SM{'_S}}^{JM}, C_{im_i^{\prime}{\text{ }}IM_I^{\prime}}^{SM_S^{\prime}} $为对应的CG系数,

      可以看出在(19)式和(20)式中有一个公因子$ \exp(2{\text{i}}{\sigma _0}) $, 即$ {{\mathrm{e}}^{2{\text{i}}{\sigma _0}}} $, 由于$ {\sigma _0} $是实数, 于是$ |{{\text{e}}^{2{\text{i}}{\sigma _0}}}{|^2} = 1 $, 所以在实际计算中我们不必考虑$ {\sigma _0} $的具体数值, 简单地忽略公因子$ {e^{2{\text{i}}{\sigma _0}}} $即可. 在(20)式中, 我们用m代替$ {m}_{\mathrm{l}}^{{\prime}} $, 因为$ M = {m_i} + {M_I} $, $ M_S^{\prime} = m_i^{\prime} + M_I^{\prime} $, $ m \equiv m_l^{\prime} = M - M_S^{\prime} $, 在$ {m_i} $, $ {M_I} $$ m_i^{\prime} $, $ M_I^{\prime} $都取确定值时, M, $ M_S^{\prime} $, $ m_l^{\prime} $也都取确定值, 它们不再是求和变量. 球谐函数可以用下面的公式计算:

      而对于$ 0 < m \leqslant l $, 要在(22)式的等号右边再乘以因子$ {( - 1)^m} $. 考虑到在(20)式中$ m = m_l^{\prime} = {m_i} + {M_I} - m_i^{\prime} - M_I^{\prime} $, m与求和变量LSJ无关, 所以$ {{\text{e}}^{{\text{i}}m\phi }} $可以提到对$ lSJ $求和号的外面. 当$ {m}_{i}^{\prime}={m}_{i}$${M}_{i}^{\prime} = {M}_{i} $时, m = 0, $ {{\text{e}}^{{\text{i}}m\phi }} = 1 $; 当$ {m}_{i}^{\prime} \ne {m}_{i}^{} $$ {M}_{i}^{\prime} \ne {M}_{i}^{} $, 即$ m\ne 0 $时, (18)式中的$ {f_{\text{C}}}(\theta ) $项不存在, (20)式中的$ {f_{\text{N}}}(\varOmega ) $$ lSJ $求和号外面的公因子$ {{\text{e}}^{{\text{i}}m\phi }} $可以单独求模方$ |{{\text{e}}^{{\text{i}}m\phi }}{|^2} = 1 $, 于是实际计算中可以不考虑核散射振幅中的因子$ {{\text{e}}^{{\text{i}}m\phi }} $. 所以(17)式中的$ \dfrac{{{\text{d}}{\sigma _{{\text{el}}}}}}{{{\text{d}}\varOmega }} $可以改记为$ {\sigma _{{\text{el}}}}(\theta ) $, 不再与方位角$ \phi $有关. 根据以上论述, 我们得到核散射振幅的实际计算公式为

      $ 0 < m \leqslant l $时, 要在(23)式的等号右边再乘以因子$ {( - 1)^m} $. 注意(23)式中的m还必须满足条件$ m = {m_i} + {M_I} - m_i^{\prime} - M_I^{\prime} $. $ l = 0 $时(23)式$ (2 l+1) $前面的分数因子等于1. (23)式中的缔合Legendre多项式$ {\text{P}}_l^{|m|}(\cos \theta ) $可以用递推公式计算.

    • SOOPA程序仍然以传统光学模型为基础, 假定所有靶核的自旋都为0, 光学势采用通用的Woods-Saxon形式. 其改变在于:

      1) 令自旋-轨道耦合势部分的弥散宽度取$ {a_{{\text{R, SO}}}} = {a_{{\text{I, SO}}}} \equiv {a_{{\text{SO}}}} $, 核半径参数取$ {R_{{\text{R, SO}}}} = {R_{{\text{I, SO}}}} \equiv {R_{{\text{SO}}}}$, 即对于自旋-轨道耦合势, 其实部和虚部取相同的几何参数.

      2) 由于要适用于多个靶核, 入射粒子可能是较重的核, 因此取所有的${a_i}~(i = {\text{R, S, V, SO}})$与入射粒子和靶核的A相关, 即

      这里下标p, t分别代表入射粒子和靶核, 以下含义相同; $ a_i~(i=\text{c, S, V, SO}) $分别为中心实部势、面吸收虚部势、体吸收虚部势和自旋-轨道耦合势的弥散宽度参数; $ {a_{i0}} $为弥散宽度参数的常数部分, 即0级弥散宽度参数; $ {a_{i1}} $为弥散宽度参数与靶核和弹核质量数相关部分, 即1级弥散宽度参数; $ \xi $为入射粒子弥散宽度修正参数.

      3) $ R_i~(i=\text{C, c, S, V, SO}) $修改为${R_i} = {r_i}$$ (A_{\text{t}}^{{\text{1/3}}} + \xi A_{\text{p}}^{{\text{1/3}}}) $(APMN中为${R_i} = {r_i}A_{\text{t}}^{{\text{1/3}}}$), 这里C, c, S, V, SO分别代表库仑、实部、面吸收虚部、体吸收虚部、自旋-轨道耦合, 下同. $ R_i~(i=\text{C, c, S, V, SO}) $分别表示5种势的半径, ${r_i}$为对应的小半径参数, $ {r_{\text{C}}} $为库仑势的小半径参数, 它为常数, 与靶核和弹核质量数无关.

      4) 取上式中所有的$ r_i~(i=\text{c},\text{ S},\text{ V},\text{ SO}) $与入射粒子和靶核的A相关, 即

      $ r_i~(i=\text{c, S, V, SO}) $分别表示4种势的小半径参数, $ {r_{i0}} $为相应小半径参数的常数部分, 即0级半径参数, $ {r_{i1}} $为相应小半径参数与靶核和弹核质量数相关部分, 即1级半径参数.

      5) 光学势实部为

      6) 面吸收虚部势为

      7) 体吸收虚部势为

      在程序中, 共含有33个可调参数(见表2). 对于18O (s = 0)作为弹核, VSO, WSO, aSO0, rSO0, aSO1, rSO1这6个关于自旋-轨道耦合势的参数不起作用, 再固定rC = 1.25, 实际可调参数减少到26个.

    • 本工作的实验数据都来自于网站(http://nrv.jinr.ru/nrv/), 为获取18O作为弹核的普适光学势, 我们收集了0.0—200.0 MeV以内相应核反应的熔合截面和弹性散射角分布数据(见表3). 其中1—28个核用于自动调参获取最佳光学势参数; 29—31的三个核因在调参过程中发现理论与实验偏差较大, 因此未用于调参; 32—33不参与调参, 仅用于验证模型参数的实验数据.

    • $ {\chi ^2} $表示理论与实验的偏差, 在确定最佳光参的过程中, $ {\chi ^2} $可以作为一个目标函数, $ {\chi ^2} $越小表示理论与实验越接近. 本文中$ {\chi ^2} $的计算公式如下:

      其中, 角标f和e分别表示熔合截面和弹性散射角分布, 角标k表示第k个靶核, Wk表示弹核与第k个靶核碰撞反应所占权重, Nn为靶核的数目.

      对于第k个靶核, 理论与实验的偏差$ \chi _k^2 $

      其中, $ {w_{{\text{f}}k}} $$ {w_{{\text{e}}k}} $分别表示弹核与第k个靶核碰撞反应的熔合截面和弹性散射角分布所占权重. 弹核与第k个靶核碰撞反应中熔合截面的理论与实验偏差$ \chi _{{\text{f}}, k}^2 $

      弹核与第k个靶核碰撞反应中弹性散射角分布的理论与实验偏差$ \chi _{{\text{e}}, k}^2 $

      这里, NEk为弹核与第k个靶核碰撞反应中入射能量的能点数目, NEki为第k个靶核情况下第i个入射能点对应的弹性散射角分布角度数目; 角标i表示第i个入射能点, 角标j表示第j个角度; $ {\sigma _{{\text{th}}}} $$ {\sigma _{{\text{exp}}}} $分别为理论计算结果和实验数据, $ \Delta {\sigma _{{\text{exp}}}} $为实验数据的误差.

    • 基于2.1节的理论, 我们开发程序APOMHI, 利用最速下降法自动调参获取最佳参数的方法, 获取重离子碰撞反应光学势, 描述重离子碰撞相互作用. 本文利用APOMHI, 以表3中1—28个核反应的实验数据为基础, 获取了18O作为弹核的普适光学势最佳参数, 结果见表4.

      为了比较, 我们利用SOOPA, 采用相同的实验数据和自动调参方法, 也获取了相应的普适光学势最佳参数, 结果见表5.

      根据3.2节中$ {\chi ^2} $的计算方法, 以表3中实验数据及实验误差为基础, 本文计算了两种模型下理论计算结果与实验的各项偏差, 具体结果见表6. 其中$ \chi _{\text{f}}^{2} $为熔合截面理论与实验的偏差, $ \chi _{\text{e}}^{2} $为弹性散射角分布理论与实验的偏差, $ {\chi ^2} $为总的偏差. 整体来看, APOMHI的结果要优于SOOPA的结果.

    • 分别利用2.1节和2.2节的理论以及表4表5的普适光参, 可以得到相应理论计算结果, 熔合截面的理论与实验比较结果见图1图4, 其中点表示实验数据, 实线表示APOMHI的理论计算结果, 虚线表示SOOPA的理论计算结果. 从表6中总体$ \chi _{\text{f}}^{2} $看, APOMHI的计算结果明显优于SOOPA的计算结果. 但是, 从表6中单个靶核的$ \chi _{\text{f}}^{2} $图1图4可知, 也有一部分靶核的SOOPA计算值与实验值的符合程度比APOMHI要好一些.

      熔合截面是描述弹核与靶核在碰撞过程中 发生熔合反应的概率. 在核反应中, 熔合反应往 往是最主要的吸收机制, 其他吸收过程(如非弹性 散射和中子俘获)的概率较低, 可以忽略不计. 因此, 在分析重离子碰撞反应时, 我们可将吸收截面($ {\sigma }_{\mathrm{a}\mathrm{b}\mathrm{s}} $)近似为熔合截面($ {\sigma }_{\mathrm{f}\mathrm{u}\mathrm{s}} $). 这样做的目的在于简化计算和分析过程, 使得模型更加易于处理和理解, 特别是在研究和设计核裂变反应堆时, 可以集中关注主要的反应机制, 提高计算效率和结果的可解释性[74].

      图1图4给出了熔合截面的理论与实验比较结果. 可以看出熔合截面数据在开始以极快的速度增长, 随后则缓慢增长, 这是由于入射粒子在入射能量小的时候, 难以克服库仑势垒. 随后随着入射能量的增大, 入射粒子足以克服库仑势垒, 熔合截面数据迅速增大; 后续达到分界点增长缓慢, 是因为此时库仑势垒对核反应影响不再显著[75]. 像9Be, 10B, 16O等靶核增长的分界点主要在20—40 MeV之间, 像92Mo, 150Sm, 192Os, 208Pb等靶核这个分界点主要集中在50—80 MeV之间. 这是因为两个原子核之间的库仑作用与核电荷数有关, 随着靶核核电荷数的增加, 库仑势垒随之增大, 这个分界点随之延后.

      也存在一些理论结果与实验数据符合不是很好的情况, 当入射能量大于库仑势垒时, 一些理论曲线高于实验数据曲线. 这是由于吸收截面$ {\sigma _{{\text{abs}}}} = {\sigma _{{\text{fus}}}} + {\sigma _{{\text{dr}}}} $, 其中$ {\sigma _{{\text{abs}}}} $指吸收截面, $ {\sigma _{{\text{fus}}}} $指熔合截面, $ {\sigma _{{\text{dr}}}} $指直接反应截面, 在我们的计算中仅考虑了熔合截面, 并没有把直接反应包含在内.

    • 表6中总体及单个靶核的$ \chi _{\text{e}}^{2} $图5图7都可以看出, 只有12C和90Zr两个靶核的弹性散射角分布, SOOPA的计算结果与实验值的符合程度明显比APOMHI的好. 对于其余靶核, 多数情况下APOMHI明显优于SOOPA, 少部分情况下两个程序的计算结果相差不多.

      弹性散射是弹核与靶核碰撞过程中能量和动量守恒, 并且弹、靶核都没有发生激发或变形的散射过程, 弹性散射角分布则描述在核反应过程中弹核与靶核碰撞后散射粒子随散射角度分布情况[76]. 图5图7给出了弹性散射角分布的理论与实验比较结果, 根据已有实验数据情况, 比较结果以两种形式给出, 一种为微分截面, 另一种为卢瑟福比. 可以看出, 当散射角度较小时, 理论曲线与实验数据符合较好, 而当散射角度较大时, 理论曲线与实验数据则存在一定偏差. 这是因为散射角度较小时, 反应机制以长程库仑散射为主, 目前库仑散射的相关研究已经比较成熟, 光学模型可以比较好地描述这种行为[77]. 当散射角度较大时, 弹核与靶核的距离较近, 核力(短程力)起主要作用[78], 这种强相互作用会带来不同反应通道之间发生耦合效应, 弹核和靶核可能被激发到较高的激发态, 这些激发态通道与弹性散射通道可能会存在耦合效应[79]. 光学模型仅考虑了弹性和吸收, 未考虑更多更复杂的核反应机制, 因此单纯使用光学模型对描述大角度区域的弹性散射角分布存在一定难度[80].

      对于靶核相同但弹核入射能量不同的情况, 例如图6, 理论曲线的趋势有所不同. 随着入射能量的增加, 原子核之间的吸引和排斥作用对散射截面的影响增大, 散射过程更加复杂, 导致弹性散射角分布随角度增大而迅速减小[81]. 与此同时, 随着弱束缚核的参与, 破裂效应开始发挥作用, 并且随着入射能量的增加, 这种效应变得更加显著, 导致在大角度区域出现明显振荡[82].

    • 18O与7Li, 12C和120Sn三个靶核的反应在调参过程中表现出理论与实验存在较大的偏差, 为了整体考虑, 后续未将这三个靶核的实验数据纳入调参过程, 仅在最后将所得普适参数的计算结果与相应实验数据进行比较, $ {\chi ^2} $结果见表6, 比较结果见图8. 可以看出, 对于12C靶核在216 MeV入射的角分布, APOMHI结果比SOOPA的结果差一些, 但其他图像均是APOMHI结果优于SOOPA结果.

      此外, 我们对这三个核分别进行了单独调参, $ {\chi ^2} $结果见表7, 比较结果见图9. 由图9可知, APOMHI的结果均优于SOOPA的结果, 尤其是7Li靶核的角分布, 而120Sn靶核的角分布, APOMHI的结果在趋势上也比SOOPA的结果更合理一些.

    • 18O+14C的弹性散射角分布与18O+61Ni的熔合截面实验数据未参与调参, 可以用来检验普适光参的预测能力. 利用前文获取的普适光参(表4表5)对两个反应进行计算, 理论与实验的比较见图10, 对应$ {\chi ^2} $表6. 可以看出, APOMHI的理论与实验的符合程度是与参与调参的靶核基本一致, SOOPA计算的61Ni熔合截面在40 MeV以下出现了一些不规则的突变, 其原因尚不清楚.

    • 本文建立了一种新的重离子碰撞光学模型程序APOMHI, 并将其应用于以18O为弹核与不同靶核的系列重离子碰撞反应. 通过拟合低能和中能区域的熔合截面和弹性散射角分布的实验数据, 得到了一组18O为弹核的普适光学势. 从理论计算与实验数据的比较结果可以看出, 熔合截面结果在低能区域与实验结果符合良好, 但在高能区域略高于实验结果, 这是因为我们使用的光学模型仅考虑了吸收截面, 没有考虑直接反应. 对于弹性散射角分布, 小角度区域的符合度优于大角度区域, 这是因为在大角度区域反应机制变得复杂, 而光学模型没有包括相应的微观机制.

      普适光学模型势作为预测无实验数据能区和核区核反应情况的主要手段, 未来无论是轻粒子还是重离子作为弹核均具有不可忽视的作用. 本文仅开展了同一弹核与不同靶核碰撞反应的普适光学势研究, 以验证新建立模型的合理性, 后期我们将考虑扩大范围, 对不同弹核与不同的靶核碰撞反应的体系进行研究, 并对势参数形式和结构做一些新的尝试, 以图获得建立适用性更为广泛的普适光学势.

      感谢中国原子能科学研究院申庆彪老师、大同大学徐永丽老师在论文修改过程中给予的宝贵建议.

    参考文献 (82)

目录

/

返回文章
返回