硼掺杂石墨烯/蓝磷异质结作为镁离子电池阳极的第一性原理研究

上一篇

下一篇

唐婧, 范开敏, 王坤, 侯金瑛, 史丹丹, 东红. 硼掺杂石墨烯/蓝磷异质结作为镁离子电池阳极的第一性原理研究[J]. 物理学报, 2025, 74(18): 188201-1. doi: 10.7498/aps.74.20250848
引用本文: 唐婧, 范开敏, 王坤, 侯金瑛, 史丹丹, 东红. 硼掺杂石墨烯/蓝磷异质结作为镁离子电池阳极的第一性原理研究[J]. 物理学报, 2025, 74(18): 188201-1. doi: 10.7498/aps.74.20250848
Jing TANG, Kaimin FAN, Kun WANG, Jinying HOU, Dandan SHI, Hong DONG. First-principles study of boron-doped graphene/blue-phosphorus heterojunction as anode materials for magnesium-ion batteries[J]. Acta Physica Sinica, 2025, 74(18): 188201-1. doi: 10.7498/aps.74.20250848
Citation: Jing TANG, Kaimin FAN, Kun WANG, Jinying HOU, Dandan SHI, Hong DONG. First-principles study of boron-doped graphene/blue-phosphorus heterojunction as anode materials for magnesium-ion batteries[J]. Acta Physica Sinica, 2025, 74(18): 188201-1. doi: 10.7498/aps.74.20250848

硼掺杂石墨烯/蓝磷异质结作为镁离子电池阳极的第一性原理研究

    作者简介: 唐婧: jtang@qhit.edu.cn .
    通讯作者: E-mail: fankm128@163.com
  • 中图分类号: 82.47.Cb, 61.72.U-, 71.15.Mb

First-principles study of boron-doped graphene/blue-phosphorus heterojunction as anode materials for magnesium-ion batteries

    Corresponding author: E-mail: fankm128@163.com
  • MSC: 82.47.Cb, 61.72.U-, 71.15.Mb

  • 摘要: 采用基于密度泛函理论的第一性原理计算方法, 讨论了不同浓度硼(B)掺杂石墨烯/蓝磷异质结BiGr/BP (i = 0, 1, 2, 3, 4)的几何结构、稳定性、电子性质以及对镁(Mg)的吸附能力. 结果表明, B掺杂后, 异质结保持结构稳定, 费米能级下移且贯穿多条能带, 材料导电性增强. 随着掺杂浓度的增大, 材料对Mg的吸附能力逐渐增强. 当B掺杂浓度i = 4 (原子个数)时, B4Gr/BP保持热力学稳定, 展现出优异的导电性, 较强的Mg吸附能力(–3.38 eV), 较低的扩散势垒(0.47 eV), 理想的平均开路电压(0.37 V)以及合适的理论容量(286.04 mAh/g). 这表明, B掺杂能有效改善石墨烯/蓝磷(Gr/BP)储镁性能, 特别是B4Gr/BP性能优异, 有望成为镁离子电池阳极的候选材料.
  • 加载中
  • 图 1  (a) B0Gr/BP, (b) B1Gr/BP, (c) B2Gr/BP, (d) B3Gr/BP, (e) B4Gr/BP的几何结构图

    Figure 1.  Geometric structure of (a) B0Gr/BP, (b) B1Gr/BP, (c) B2Gr/BP, (d) B3Gr/BP, (e) B4Gr/BP.

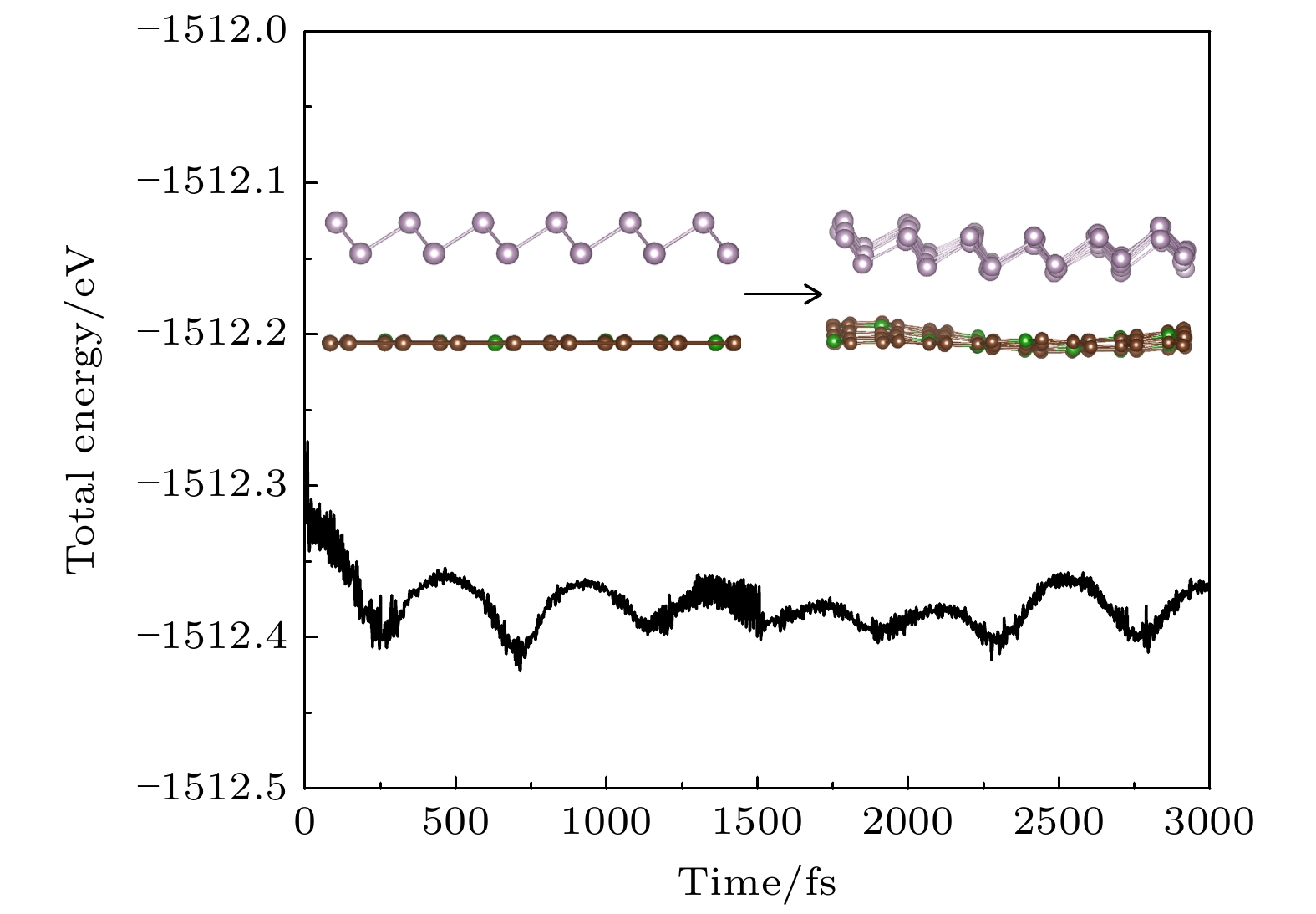
    图 2  AIMD模拟了300 K下的B4Gr/BP能量分布

    Figure 2.  AIMD simulations of the energy profiles of B4Gr/BP at 300 K.

    图 3  (a) B0Gr/BP, (b) B1Gr/BP, (c) B2Gr/BP, (d) B3Gr/BP, (e) B4Gr/BP的能带图(左侧)和态密度图(右侧)

    Figure 3.  Band structures (left panel) and DOS (right panel) of (a) B0Gr/BP, (b) B1Gr/BP, (c) B2Gr/BP, (d) B3Gr/BP, (e) B4Gr/BP.

    图 4  BiGr/BP(i = 0, 1, 2, 3, 4)上Mg的吸附位点俯视图(a)和侧视图(b)

    Figure 4.  Top (a) and side (b) views of the Mg adsorption sites on the BiGr/BP (i = 0, 1, 2, 3, 4).

    图 5  (a) B0Gr/BP和(b) B4Gr/BP的差分电荷密度, 其中蓝色和黄色的区域分别代表电子耗尽和积累(等值面为 0.00015 e/Å3)

    Figure 5.  Charge density difference of (a) B0Gr/BP and (b) B4Gr/BP. The blue and yellow regions represent electron depletion and accumulation, respectively (the isosurface value is 0.00015 e/Å3).

    图 6  (a) B0Gr/BP和(b) B4Gr/BP吸附Mg后的差分电荷密度, 其中蓝色和黄色的区域分别代表电子耗尽和积累(等值面为0.002 e/Å3)

    Figure 6.  Charge density difference of Mg adsorbed in (a) B0Gr/BP and (b) B4Gr/BP. The blue and yellow regions represent electron depletion and accumulation, respectively (the isosurface value is 0.002 e/Å3).

    图 7  Mg在B4Gr/BP层间的扩散路径和扩散势垒 (a) 路径Ⅰ; (b) 路径Ⅱ

    Figure 7.  Diffusion pathways and diffusion barriers of Mg in the interlayer: (a) Path Ⅰ; (b) Path Ⅱ.

    图 8  B4Gr/BP的开路电压

    Figure 8.  Open circuit voltage of B4Gr/BP.

    表 1  BiGr/BP (i = 0, 1, 2, 3, 4)的平均结合能、晶格常数、层间距、键长和键角

    Table 1.  Average binding energies, lattice constants, interlayer distances, bond lengths and bond angles of BiGr/BP (i = 0, 1, 2, 3, 4).

    Systems Eb/(meV·atom–1) a d Bondtype Distance/Å Type Angle/(°)
    B0Gr/BP –24.98 9.86 3.57 C—C
    P—P
    1.42
    2.26
    ∠C—C—C
    ∠P—P—P
    119.98—120.01
    93.06—93.11
    B1Gr/BP –24.55 9.90 3.59 C—C
    C—B
    P—P
    1.41—1.44
    1.49
    2.27
    ∠C—C—C
    ∠C—B—C
    ∠P—P—P
    119.29—122.72
    120.00
    93.04—93.43
    B2Gr/BP –23.80 9.94 3.59 C—C
    C—B
    P—P
    1.41—1.45
    1.50
    2.27
    ∠C—C—C
    ∠C—B—C
    ∠P—P—P
    119.66—123.58
    119.96—119.99
    93.49—93.72
    B3Gr/BP –24.33 9.99 3.58 C—C
    C—B
    P—P
    1.41—1.45
    1.50—1.51
    2.28
    ∠C—C—C
    ∠C—B—C
    ∠P—P—P
    118.34—123.70
    119.51—120.83
    93.70—93.97
    B4Gr/BP –19.75 10.04 3.53 C—C
    C—B
    P—P
    1.40—1.44
    1.50
    2.28
    ∠C—C—C
    ∠C—B—C
    ∠P—P—P
    117.47—124.64
    119.85—120.04
    93.85—94.39
    下载: 导出CSV

    表 2  Mg在BiGr/BP (i = 0, 1, 2, 3, 4)层间和外表面不同吸附位点的吸附能(eV)

    Table 2.  Mg adsorption energies (eV) at the interlayer and outer surface of BiGr/BP (i = 0, 1, 2, 3, 4)

    SystemMg/BiGr/BPBiGr/BP/MgBiGr/Mg/BlueP
    HcTpT1T2T3T4T5
    B0Gr/BP–0.25–0.44–1.05–1.00–1.02–1.02–1.00
    B1Gr/BP–0.88–0.73–2.52–1.87–2.19–2.15–1.87
    B2Gr/BP–0.95–0.85–2.82–2.22–2.53–2.53–2.23
    B3Gr/BP–1.06–0.91–3.08–2.80–2.84–2.90–3.02
    B4Gr/BP–1.61–1.04–3.36–3.33–3.38–3.17–3.17
    下载: 导出CSV
  • [1] Chen W D, Liang J, Yang Z H, Li G 2019 Energy Proc. 158 4363 doi: 10.1016/j.egypro.2019.01.783
    [2] Tarascon J M, Armand M 2001 Nature 414 359 doi: 10.1038/35104644
    [3] Lv C W, Qin M L, He Y P, Wu M Q, Zhu Q S, Wu S Y 2025 Solid State Ionics 423 116820 doi: 10.1016/j.ssi.2025.116820
    [4] Durajski A P, Kasprzak G T 2023 Phys. B 660 414902 doi: 10.1016/j.physb.2023.414902
    [5] Wang Y Q, Yang Z, Song J Y 2025 Mol. Phys. 24 e2482678 doi: 10.1080/00268976.2025.2482678
    [6] 刘立林 2022 硕士学位论文 (石家庄: 河北师范大学) Liu L L 2022 M. S. Thesis (Shijiazhuang: Hebei Normal University
    [7] Guo Q, Zeng W, Liu S L, Li Y Q, Xu J Y, Wang J X, Wang Y 2021 Rare Met. 40 290 doi: 10.1007/s12598-020-01493-3
    [8] 李欣悦, 高国翔, 高强, 刘春生, 叶小娟 2024 物理学报 73 118201 doi: 10.7498/aps.73.20240134 Li X Y, Gao G X, Gao Q, Liu C S, Ye X J 2024 Acta Phys. Sin. 73 118201 doi: 10.7498/aps.73.20240134
    [9] Raccichini R, Varzi A, Passerini S, Scrosati B 2015 Nat. Mater. 14 271 doi: 10.1038/nmat4170
    [10] Qiu Z, Cao F, Pan G X, Li C, Chen M H, Zhang Y Q, He X P, Xia Y, Xia X H, Zhang W K 2023 ChemPhysMater 2 267 doi: 10.1016/j.chphma.2023.02.002
    [11] Zhang L J, Zhang T H, Wang C, Jin W, Li Y, Wang H, Ding C C, Wang Z Y 2025 Chem. Phys. 594 112664 doi: 10.1016/j.chemphys.2025.112664
    [12] Qi J Q, Li Q, Huang M Y, Ni J J, Sui Y W, Meng Q K, Wei F X, Zhu L, Wei W Q 2024 Colloids Surf. A Physicochem. Eng. Asp. 683 132998 doi: 10.1016/j.colsurfa.2023.132998
    [13] Fan K M, Tang J, Wu S Y, Yang C F, Hao J B 2017 Phys. Chem. Chem. Phys. 19 267 doi: 10.1039/C6CP05983J
    [14] Cheng J Y, Gao L F, Li T, Mei S, Wang C, Wen B, Huang W C, Li C, Zheng G P, Wang H, Zhang H 2020 Nano-Micro Lett. 12 179 doi: 10.1007/s40820-020-00510-5
    [15] Sibari A, Marjaoui A, Lakhal, Kerrami Z, Kara A, Benaissa M, Ennaoui A, Hamedoun M, Benyoussef A, Mounkachi O 2018 Sol. Energy Mater. Sol. Cells 180 253 doi: 10.1016/j.solmat.2017.06.034
    [16] Kulish V V, Malyi O I, Persson C, Wu P 2015 Phys. Chem. Chem. Phys. 17 13921 doi: 10.1039/C5CP01502B
    [17] Aierken Y, Cakir D, Sevik C, Peeters F M 2015 Phys. Rev. B 92 081408 doi: 10.1103/PhysRevB.92.081408
    [18] Li Q F, Duan C G, Wan X G, Kuo J L 2015 J. Phys. Chem. C 119 8662 doi: 10.1021/jp512411g
    [19] Liu H W, Zou Y Q, Tao L, Ma Z L, Liu D D, Zhou P, Liu H, Wang S Y 2017 Small 13 1700758 doi: 10.1002/smll.201700758
    [20] Kaddar Y, Zhang W, Enriquez H, Dappe Y J, Bendounan A, Dujardin G, Mounkachi O, El Kenz A, Benyoussef A, Kara A, Oughaddou H 2023 Adv. Funct. Mater. 33 2213664 doi: 10.1002/adfm.202213664
    [21] Li Y, Wu W T, Ma F 2019 J. Mater. Chem. A 7 611 doi: 10.1039/C8TA09423C
    [22] Mukherjee S, Kaloni T P 2012 J. Nano. Res. 14 1 doi: 10.1007/s11051-012-1059-2
    [23] Kresse G, Furthmüller J 1996 Phys. Rev. B 54 11169 doi: 10.1103/PhysRevB.54.11169
    [24] Kresse G, Furthmüller J 1996 Comput. Mater. Sci. 6 15 doi: 10.1016/0927-0256(96)00008-0
    [25] Perdew J P, Burke K, Ernzerhof M 1996 Phys. Rev. Lett. 77 3865 doi: 10.1103/PhysRevLett.77.3865
    [26] Blöchl P E 1994 Phys. Rev. B 50 17953 doi: 10.1103/PhysRevB.50.17953
    [27] Steinmann S N, Corminboeuf C 2010 J. Chem. Theory Comput. 6 1990 doi: 10.1021/ct1001494
    [28] Nosé S 2002 Mol. Phys. 100 191 doi: 10.1080/00268970110089108
    [29] Henkelman G, Uberuaga B P, Jónsson H 2000 J. Chem. Phys. 113 9901 doi: 10.1063/1.1329672
    [30] Castro Neto A H, Guinea F, Peres N M R, Novoselov K S, Geim A K 2009 Rev. Mod. Phys. 81 109 doi: 10.1103/RevModPhys.81.109
    [31] Ghosh B, Nahas S, Bhowmick S, Agarwal A 2015 Phys. Rev. B 91 115433 doi: 10.1103/PhysRevB.91.115433
    [32] Suragtkhuu S, Bat-Erdene M, Bati A S R, Shapter J G, Davaasambuu S, Batmunkh M 2020 J. Mater. Chem. A 8 20446 doi: 10.1039/D0TA07659G
    [33] Xiao J, Long M Q, Zhang X J, Ouyang J, Xu H, Gao Y L 2015 Sci. Rep. 5 9961 doi: 10.1038/srep09961
    [34] Bo T, Liu P F, Xu J P, Zhang J R, Chen Y B, Eriksson O, Wang F W, Wang B T 2018 Phys. Chem. Chem. Phys. 20 22168 doi: 10.1039/C8CP03362E
    [35] Sun Z M, Yuan M W, Yang H, Lin L, Sun G B, Yang X J 2021 Appl. Surf. Sci. 543 148790 doi: 10.1016/j.apsusc.2020.148790
    [36] Pozzo M, Alfè D 2008 Phys. Rev. B 77 104103 doi: 10.1103/PhysRevB.77.104103
    [37] Shomali E, Sarsari I A, Tabatabaei F, Mosaferi M, Seriani N 2019 Comput. Mater. Sci. 163 315 doi: 10.1016/j.commatsci.2019.03.052
    [38] Obaidullah, Habiba U, Piya A A, Daula Shamim S U 2023 AIP Adv. 13 11 doi: 10.1063/5.0170074
    [39] 朱家铎 2025 博士学位论文 (西安: 西安电子科技大学) Zhu J D 2025 Ph. D. Dissertation (Xi’an: Xidian University
    [40] Zhang C M, Jiao Y L, He T W, Ma F X, Kou L Z, Liao T, Bottle S, Du A J 2017 Phys. Chem. Chem. Phys. 19 25886 doi: 10.1039/C7CP04758D
    [41] Eames C, Islam M S. 2014 J. Am. Chem. Soc. 136 16270 doi: 10.1021/ja508154e
  • 加载中
图( 9) 表( 2)
计量
  • 文章访问数:  29
  • HTML全文浏览数:  29
  • PDF下载数:  2
  • 施引文献:  0
出版历程
  • 收稿日期:  2025-06-27
  • 刊出日期:  2025-09-20

硼掺杂石墨烯/蓝磷异质结作为镁离子电池阳极的第一性原理研究

    通讯作者: E-mail: fankm128@163.com
    作者简介: 唐婧: jtang@qhit.edu.cn
  • 1. 青海理工学院生态与环境科学学院, 西宁 810016
  • 2. 浙江师范大学行知学院, 金华 321004

摘要: 采用基于密度泛函理论的第一性原理计算方法, 讨论了不同浓度硼(B)掺杂石墨烯/蓝磷异质结BiGr/BP (i = 0, 1, 2, 3, 4)的几何结构、稳定性、电子性质以及对镁(Mg)的吸附能力. 结果表明, B掺杂后, 异质结保持结构稳定, 费米能级下移且贯穿多条能带, 材料导电性增强. 随着掺杂浓度的增大, 材料对Mg的吸附能力逐渐增强. 当B掺杂浓度i = 4 (原子个数)时, B4Gr/BP保持热力学稳定, 展现出优异的导电性, 较强的Mg吸附能力(–3.38 eV), 较低的扩散势垒(0.47 eV), 理想的平均开路电压(0.37 V)以及合适的理论容量(286.04 mAh/g). 这表明, B掺杂能有效改善石墨烯/蓝磷(Gr/BP)储镁性能, 特别是B4Gr/BP性能优异, 有望成为镁离子电池阳极的候选材料.

English Abstract

    • 在“双碳”战略目标的推进过程中, 减碳减排工作的紧迫性正日益凸显, 储能电池领域由此获得了快速发展契机. 具有显著能量密度优势、循环寿命较长且倍率性能突出的锂离子电池(LIBs), 当前在电动汽车与便携式电子设备市场占据着主导性地位[1]. 但成本因素的制约与安全隐患的存在, 使得LIBs的应用受到一定限制, 这促使人们将目光投向新型储能体系的探索[2]. 具有经济、安全和高效等优势的多价金属离子电池(如镁、锌和钙等)正逐渐成为新一代储能电池的研究热点[35]. 特别是镁离子电池(MIBs)具有与锂相近的还原电位, 其二价特性使其能够实现更高的理论容量, 在成本效益与安全特性方面也拥有明显优势. 但Mg与电极材料之间结合能力较弱, 导致其在材料中的储存和可逆嵌脱过程面临挑战. 开发具备高储镁能力与低扩散势垒的阳极材料, 已成为MIBs领域亟待解决的关键科学问题[68].

      具有独特层状结构的二维材料, 有利于金属离子的嵌脱, 能够有效抑制体积膨胀, 实现良好的循环稳定性, 是MIBs阳极材料的理想选择. 石墨烯(Gr)是典型的二维材料, 具有高导电性和强稳定性, 常被用作电池材料[9,10], 但狭窄的层间距难以满足Mg的储存与扩散. 针对此限制条件, 研究者尝试通过与其他二维材料(如过渡金属二硫属化物[11,12], 磷烯[13]等)构建异质结来提升储存空间. 磷烯作为新型二维材料, 已应用于金属离子电池[1416]. 其中, 蓝磷(BP)作为磷烯的同素异形体, 展现出独特优势. 蓝磷的热力学稳定性优于黑磷[17], 拥有突出的金属结合能力, 高的理论容量和低的扩散势垒[18], 锯齿状褶皱特征更是能为金属离子储存提供充足的容纳空间. 然而, BP的宽带隙特征导致其低导电性, 制约了在电极材料中的应用. Gr和BP晶格结构相近, 容易匹配, 且可通过实验成功制备[19,20]. 两者形成异质结可实现性质互补, Gr提升BP的导电性和稳定性, BP增强Gr的金属离子储存能力. 作为LIBs阳极材料, Gr/BP已引起广泛关注. 我们研究了锂在Gr/BP中的吸附和扩散, 证实异质结可表现出比单层石墨烯更好的性能[13]. Li等[21]构建Gr/BP用于LIBs, 呈现明显界面协同效应, 理论容量超过了石墨烯/黑磷异质结, 最小扩散势垒仅为0.13 eV. Gr/BP在LIBs中已展现优异的性能, 但关于MIBs阳极材料中的应用研究还未见报道. 因此, 针对Gr/BP的储镁性能及其调控方法的研究具有重要的科学意义.

      本文通过B掺杂来调控异质结呈现p型[22], 提升材料导电性, 增强其对Mg的吸附能力. 采用第一性原理计算方法分析了不同浓度(i = 0, 1, 2, 3, 4) B掺杂对Gr/BP的几何结构、电子性质和储镁性能的影响. 重点评估了最大掺杂浓度i = 4(原子个数)下, B4Gr/BP作为MIBs阳极材料的可行性.

    • 本文基于第一性原理框架下的密度泛函理论(DFT), 运用VASP软件包对目标材料进行计算[23,24]. 选用广义梯度近似(GGA)的Perdew-Burke-Ernzerhof (PBE)泛函[25]来处理电子交换相关作 用, 离子-电子之间相互作用使用投影缀加波方法 (PAW)[26]描述, 采用Grimme校正的DFT-D3方法来修正范德瓦耳斯力[27]. 为系统研究Mg的吸附及扩散特性, 石墨烯原胞(晶格常数a = b = 2.46 Å, α = β = 90°)和蓝磷原胞(晶格常数a = b = 3.28 Å, α = β = 90°)分别采用了4×4×1和3×3×1的超胞模型构建的Gr/BP, 失配率为0.3%, 在z方向上设置了30 Å的真空层来避免周期性结构间的相互干扰, 在此异质结基础上进行B掺杂构建BiGr/BP (i = 0, 1, 2, 3, 4). 平面波截断能量被设定为500 eV, 以确保结果的准确性. 在结构优化和单点能计算阶段, 分别采用5×5×1和15×15×1的K点网格对布里渊区进行采样计算, 能量和残余力的收敛精度分别为1×10–5 eV和0.01 eV/Å. 态密度计算使用更为密集的21×21×1的K点网格来提高精度. 通过差分电荷和Bader电荷对电荷转移情况进行定性和定量分析. 从头算分子动力学(AIMD)模拟了NVT系综的热稳定性, 模拟温度为300 K, 步长为1 fs, 全程持续3000 fs[28]. 采用CI-NEB方法研究Mg在B4Gr/BP层间的扩散路径和势垒[29].

    • 图1(a)是未掺杂B的Gr/BP稳定堆叠模式[13]B0Gr/BP, 层间距为3.57 Å, 与文献[21]报道值一致, Gr和BP键长, 以及BP褶皱高度与实验和理论研究相符合[20,30,31]. 我们研究了不同B掺杂浓度的BiGr/BP (i = 1, 2, 3, 4), 通过对同一掺杂浓度、不同掺杂位点的模型进行能量测试来确定稳定掺杂构型. 测试发现, 当i = 1时, 不同位点的掺杂模型的体系总能差值小于0.01 eV, 表明掺杂位点对体系能量影响极小, 故选择具有代表性的P六元环中空位正下方的碳位点进行掺杂, 如图1(b)所示. 对于B2Gr/BP, B3Gr/BP和B4Gr/BP, 每种掺杂浓度分别设计了3种不同位点的掺杂模型, 弛豫后体系总能差介于0.07—0.54 eV之间, 后续计算我们选择了体系总能最低的稳定构型, 如图1(c)(e)所示. 在B4Gr/BP结构中, 石墨烯层仍保持sp2杂化和平面共轭结构, 继续增大掺杂浓度, 石墨烯平面结构开始出现畸变, 因此确定其最大掺杂浓度为i = 4 (原子个数). 为了进一步评估BiGr/BP (i = 0, 1, 2, 3, 4)的稳定性, 异质结的平均结合能(Eb)按(1)式计算:

      式中: ETotal为异质结的总能量; ${E_{{{\text{B}}_i}{\text{Gr}}}} $, EBP分别为BiGr (i = 0, 1, 2, 3, 4)和BP单层的能量; n为异质结中的总原子数.

      BiGr/BP (i = 0, 1, 2, 3, 4)五种异质结的平均结合能、晶格常数、层间距、键长和夹角的计算结果如表1所列. 结果表明, C—C键长小于C—B键长, 离B较近的∠C—C—C略有增大, 随着B原子数目的增加, 晶格常数略有膨胀, 这是由于B的半径比C大, B掺杂使稳定的六元环受到挤压. BiGr/BP (i = 0, 1, 2, 3, 4)的平均结合能均为负值, 说明该系列异质结容易形成且结构稳定. Suragtkhuu等[32]已成功制备B掺杂石墨烯与黑磷异质结, 这为B掺杂Gr/BP体系的可制备性提供了实验佐证. 同时, 本研究结果对实验制备也提供了重要理论依据和思路.

      为进一步论证B掺杂对异质结稳定性的影响, 本文对最大掺杂浓度的B4Gr/BP进行AIMD模拟, 结果如图2所示. 在300 K时, 总能量随时间波动较小, 说明没有发生化学键断裂和原子重连现象, B4Gr/BP结构得到保持, 满足MIBs阳极材料的稳定性要求.

    • 图3(a)(e)分别为BiGr/BP (i = 0, 1, 2, 3, 4)的能带图和态密度图. 由能带图可知, 未掺杂B时, B0Gr/BP中保留了本征石墨烯的特点, 费米能级穿过导带和价带相交的狄拉克点, 与文献[21]相一致. BP的带隙为1.90 eV, 与已报道的孤立单层BP的1.93 eV结果相近[33], 可见Gr和BP形成异质结对Gr和BP能带的影响都较小. B掺杂后, 对单层BP的带隙影响较小, 对单层Gr的带隙影响较大. B1Gr/BP与B3Gr/BP的Gr带隙相近, 因为B3Gr/BP中2个B呈现对称掺杂, 不影响带隙, 打破对称性的实际只有1个B. B2Gr/BP属于对称掺杂, Gr的高对称K点处带隙仍为0 eV, B4Gr/BP呈现完全不对称掺杂, Gr的K点处带隙打开最大. 这说明, 不同浓度和位置的B掺杂可以调节Gr带隙. 对于异质结, B比C少一个价电子, 随着B掺杂浓度升高, 费米能级逐渐向价带移动以容纳空穴, 形成p型掺杂, 费米能级均贯穿多条能带, 呈现金属性. 特别是B4Gr/BP费米能级穿过的能带最多, 是优良的电子导体, 满足MIBs阳极材料的导电性要求.

      由态密度(DOS)图可知, B掺杂后, DOS曲线出现了明显的正向移动, 与能带图相一致. 随着B掺杂浓度增大, 费米能级处的DOS峰值增大, 且主要由C和B的2p轨道贡献电子, 两轨道呈现明显的相似性, 表明C和B存在杂化现象. B4Gr/BP费米能级处的DOS峰值最大, 明显的金属特性再次说明其是导电性良好的阳极材料.

    • 金属离子在电极材料上的吸附能大小是衡量电极阳极材料性能的重要指标[34]. 吸附值越负, 吸附越容易发生. 为了研究Mg在BiGr/BP (i = 0, 1, 2, 3, 4)上的吸附能力, 计算了Mg在Gr外表面(Mg/BiGr/BP)、异质结层间(BiGr/Mg/BlueP)和BP外表面(BiGr/BP/Mg)不同吸附位点(如图4所示)的吸附能(Ead), 计算公式如下:

      其中, $ {E_{{{\text{B}}_i}{\text{Gr/BP}}}} $, $ {E_{{\text{Mg@}}{{\text{B}}_i}{\text{Gr/BP}}}} $$ {E_{{\text{Mg}}}} $分别表示BiGr/BP(i = 0, 1, 2, 3, 4)吸附Mg前后的总能量和单个Mg的能量.

      表2可知, 未掺杂B时, Mg在BP外表面的吸附能力强于Gr外表面, 这是因为Gr表面丰富且离域的共轭π电子导致其与Mg的相互作用偏弱[35]. 此外, B0Gr/BP层间的吸附能力明显强于异质结外表面, 与文献[13]的结果相吻合, 但其吸附值(–1.05 eV)仍比Mg的内聚能(–1.51 eV)[36]更大些, 容易发生团簇, 不适合用于MIBs的阳极材料, 需通过掺杂调控吸附性能. B掺杂可诱导电子密度重新分布, 形成缺电子体系, 有助于给电子的Mg吸附. 随着B掺杂浓度增大, Gr外侧的吸附能力比BP外侧提升更为明显, 同时层间的吸附能力也显著增强. 特别是Mg在B4Gr/BP层间吸附能达到–3.38 eV, 强于单层石墨炔(–0.87 eV)[37]、T型石墨烯(–1.99 eV)[38]、单层黑磷(–0.931 eV)[15]以及同浓度B掺杂的石墨烯异质结B4Gr/MoS2 (–3.078 eV)[12]. 由此表明, B掺杂能够有效提升材料对镁的吸附能力, 而B4Gr/BP表现出的强吸附能力使其有望成为优异的MIBs阳极材料.

      为了深入了解B掺杂前后异质结电子的转移过程, 通过差分电荷($ \Delta \rho $)来直观描绘电子在空间中的分布情况, 计算公式如下:

      其中, $ {\rho _{{{\text{B}}_i}{\text{Gr/BP}}}} $, $ {\rho _{{{\text{B}}_i}{\text{Gr}}}} $$ {\rho _{{\text{BP}}}} $分别代表BiGr/BP (i = 0, 4), BiGr (i = 0, 4)和BP的电荷密度. 如图5所示, 掺杂前, B0Gr/BP的电子主要聚集在BP内表面附近, 而空穴主要聚集在Gr内表面附近. 这是因为C的电负性(2.55)高于P的电负性(2.19), BP电子有向Gr转移的趋势, 相互作用的瞬时电偶极矩形成内建电场, 与文献[21,39]结果相一致. 掺杂后, B的电负性(2.04)低于C和P, 异质结电子排布发生改变, B向邻近的C转移电子, 同时还向BP聚集电子, B呈现明显的电子消耗. 通过Bader电荷计算, 更精确地量化电荷转移的数量. 在B0Gr/BP中, P向C转移电荷0.029 e. 在B4Gr/BP中, B失去电荷7.65 e, P失去电荷0.07 e, C接纳电荷7.73 e. 由此可见, B的缺电子特性促使电荷重排, 可加强异质结与Mg之间的相互作用力.

      为了再进一步探讨Mg的吸附机理, 计算了Mg在B0Gr/BP和B4Gr/BP层间吸附位点(T1)的差分电荷密度($ \Delta \rho $), 公式如下:

      其中, $ {\rho _{{{\text{B}}_i}{\text{Gr/BP}}}} $$ {\rho _{{\text{Mg@}}{{\text{B}}_i}{\text{Gr/BP}}}} $分别代表BiGr/BP(i = 0, 4)吸附Mg前后的电荷密度, $ {\rho _{{\text{Mg}}}} $代表孤立Mg的电荷密度. 如图6所示, Mg吸附在异质结层间时, 观察到明显的电子消耗, 而其附近的C, P出现电子积累. 通过Bader电荷计算进行定量, B0Gr/BP层间, Mg失去电荷–1.56 e, C获得电荷0.55 e, P获得电荷1.01 e, 说明Mg与BP作用力较强. B4Gr/BP层间电荷转移更为明显, Mg减少电荷–1.58 e, B减少电荷–7.52 e, C获得电荷8.80 e, P获得电荷0.30 e, 说明Mg与Gr的作用力增强, 进一步印证了B可以有效调控异质结对Mg的吸附性能.

    • 金属离子电池的充放电速率主要由金属离子在阳极材料的扩散速度决定, 本文讨论了Mg在B4Gr/BP异质结层间的两条扩散路径. 路径Ⅰ(H1→Hp)是Mg从碳环中空位(H1)移动到磷环中空位(Hp), 路径Ⅱ (H1→H2→H3→H4→Hp)是Mg从H1依次经过相邻的3个碳环中空位(H2, H3和H4), 最后扩散到Hp位点, 不同路径下所对应的扩散势垒如图7所示.

      路径Ⅰ, 异质结层间的P原子是扩散路径的高能量鞍点, C 原子顶部是扩散路径中的较高能量鞍点. 路径Ⅱ, 避开层间凸起的P原子, C 原子顶部成为扩散路径高能量的鞍点. 路径Ⅰ比路径Ⅱ的扩散势垒大, 说明 Mg更喜欢避开层间P原子, 沿着路径Ⅱ扩散. 路径Ⅱ的最大扩散势垒为0.47 eV, 低于类似的石墨烯异质结B4Gr/MoS2 (0.49 eV)[12], B2S/Gr (0.551 eV)[6], 再次说明了B4Gr/BP可成为MIBs阳极的候选材料.

    • 开路电压和理论容量都是衡量金属离子电池性能的重要参数. 本文以B4Gr/BP作为MIBs阳极材料进行讨论, 开路电压根据(5)式求得

      式中, $ {E_{{x_1}}} $$ {E_{{x_2}}} $分别为B4Gr/BP吸附Mg相邻浓度x1x2的总能量, x1x2为嵌入Mg的个数, EMg表示块体金属中单个Mg的能量, z为Mg的价电子数 (z = 2). 通过计算得到不同Mg嵌入数量下的开路电压, 如图8所示. 随着Mg容量增大, Mg之间的排斥增大, 与B4Gr/BP材料之间的作用力减弱, 开路电压逐渐降低, 平均开路电压[40]为0.37 V, 位于阳极(0.1—1.0 V)理想工作电位区间[41].

      B4Gr/BP的理论容量(C )采用(6)式计算:

      式中, x为吸附Mg的最大容量, z为Mg的价电子数 (z = 2), F为法拉第常数(26801 mAh/mol), M为B4Gr/BP异质结的摩尔质量. 在Mg的最大嵌入容量x = 5时, B4Gr/BP的理论容量为286.04 mAh/g. 对比B4Gr/MoS2体系(同采用的4×4×1和3×3×1超晶胞)的Mg吸附研究结果, 其Mg最大嵌入容量同为5, 理论容量为147.26 mAh/g[12], 本研究结果高出近1倍, 表明B4Gr/BP阳极材料具有良好的应用潜力.

    • 本文通过第一性原理方法研究了不同浓度B掺杂对Gr/BP异质结几何结构、电子性质以及Mg吸附性能的影响, 重点评估了B4Gr/BP作为MIBs的阳极材料的可行性.

      1)从几何结构参数来看, 随着B掺杂浓度的增大, BiGr/BP (i = 0, 1, 2, 3, 4)的晶格常数略有膨胀, 但平均结合能均为负值, 具有良好的结构稳定性. 在最大掺杂浓度i = 4 (原子个数)下, B4Gr/BP能够保持热力学稳定性.

      2)从电子性质参数来看, 随着B掺杂浓度的增大, 费米能级处贯穿多条能带, DOS值也相应增大, 揭示了材料优异的导电性.

      3)从吸附性能来看, Mg在BiGr/BP (i = 0, 1, 2, 3, 4)层间的吸附能力强于表面, 且随着B掺杂量的增大, 吸附能力逐渐提升, 说明B掺杂能显著增强材料与Mg的相互作用. 当未掺杂B时, B0Gr/BP 对 Mg 的最大吸附能为–1.05 eV, 高于 Mg 的内聚能(–1.51 eV), 难以满足MIBs阳极材料的要求. 当掺杂浓度i = 4 (原子个数)时, B4Gr/BP吸附能高达–3.38 eV, 展现出良好的储镁潜力.

      4) B4Gr/BP具有良好的热力学稳定性和导电性, 能够在电池环境中可靠运行并实现高效电子传输. 其理想的平均开路电压(0.37 V)确保了充放电过程的安全性, 而较低的扩散势垒(0.47 eV)预示着快速的充放电能力, 合适的理论容量(286.04 mAh/g)更是展现了实际应用中的广阔前景.

      综合以上分析, B掺杂能够调控异质结的储镁性能. B4Gr/BP在稳定性、导电性、储镁能力以及充放电性能等方面均表现出色, 是具有前景的MIBs阳极材料.

    参考文献 (41)

目录

/

返回文章
返回