-
电喷雾质谱(ESI-MS)是一种高度精准的软电离质谱技术[1],可以直接从溶液中生成完整的气相[2-3],广泛用于化合物的结构鉴定和解析。在ESI电离过程中,目标分子通过质子化、去质子化或加成等反应生成[M+H]+、[M−H]−和[M+Na]+准分子离子峰[4-5]。通过碰撞诱导解离(CID)技术可以进一步研究化合物的裂解机理[6]和碎片离子的结构特征[7-8]。电喷雾-碰撞诱导解离串联质谱(ESI-CID-MS/MS)结合了ESI-MS与CID 两种技术,首先对化合物结构进行准确分析,进而研究化合物的碎裂过程和碎片结构,深化对气相裂解反应的理解,为相关实验和理论研究奠定了基础。潘远江课题组[9]研究查尔酮的质谱碎裂过程,发现了从羰基氧原子到双键碳原子或苯环碳原子的质子迁移反应;蒋可志课题组[10]观察到质子化的N,2-二苯基-N’-(对甲苯磺酰基)乙酰胺的气相裂解中对甲苯磺酰基阳离子迁移反应和质子迁移反应;柴云峰课题组[11]使用ESI-MS技术分析1,4-二苯基-3-苯甲酰基-1,4-二氢吡啶类化合物的裂解反应,发现了氧化芳构化生成吡啶阳离子的过程。
地平类药物作为二氢吡啶钙通道阻滞剂的重要角色,广泛应用于医药领域。这类药物包括非洛地平、硝苯地平和氨氯地平等,具有舒张血管改善血液循环[12],治疗冠状动脉疾病以增强心脏的供血能力[13],帮助心绞痛患者减轻病痛[14]等作用。研究地平类药物的裂解途径,可以增进其在生物体内代谢原理和代谢规律的认识,指导新型药物的研发和应用。 Lin等[15]采用电喷雾电离傅里叶变换离子回旋共振质谱(ESI-FT-ICR-MS)研究1,4-二氢吡啶的碎裂行为,提出了1,4-二氢吡啶衍生物质子迁移过程中可能的重排机制。这一发现揭示了分子内部可能存在的复杂动态过程,有助于理解其在生物体内的代谢路径。马春艳等[16]使用超高效液相色谱-四极杆-飞行时间质谱(UPLC-Q-TOF MS)技术分析地平类药物,发现断裂过程主要集中在二氢吡啶母核附近的酯基或苯环上的取代基,对预测药物的代谢产物和可能的生物活性具有重要意义。彭玉薇等[17]采用高效液相色谱-串联质谱(HPLC-MS/MS)技术研究氨氯地平等化合物的质谱裂解行为,提出以二氢吡啶环为中心的Retro-Diels-Alder裂解机理,该机理提供了一个有趣的视角,可以更好地理解这类化合物在质谱分析时的行为模式。
化合物在单质镍介导[18]或使用试剂催化[19-21]等条件下会发生去氢芳构化。本研究拟使用ESI-CID-MS/MS技术探索非洛地平、苯磺酸氨氯地平和硝苯地平在质谱裂解过程中发生的去氢芳构化反应,通过发现的碎片离子鉴定药物的结构[22-23]、分析物质的代谢位点[24]、阐明代谢物的结构[25]等,旨为推断地平类药物的裂解规律,理解二氢吡啶类化合物的裂解方式,为这类药物的精确鉴定与快速检测提供理论依据。
-
电喷雾电离(ESI)源:本实验室自行研制;线性离子阱质谱(LTQ-MS)仪:美国赛默飞科技有限公司产品,配有Xcalibur数据处理系统。
-
非洛地平(纯度99%)、苯磺酸氨氯地平(纯度97%)、硝苯地平(纯度98%):北京伊诺凯科技有限公司产品;甲醇(色谱纯):安徽天地高纯溶剂有限公司产品;纯净水:浙江娃哈哈宏振饮用水有限公司产品;实验用水:由Millipore纯水仪制备。
-
称取0.01 g样品,使用甲醇配制成浓度为10−6 g/mL待测溶液。
-
ESI源,质量扫描范围m/z 50~500,毛细管温度275 ℃,透镜电压250 V,毛细管电压46 V,电离电压3 kV,其他参数由LTQ-XL质谱仪自动优化得到。
-
对地平类药物的结构研究表明,二氢吡啶环氮上孤对电子易结合质子[26-28],故采用正离子模式进行CID。采用ESI-MS技术进行质谱实验,并进一步开展串联质谱分析,氮气(纯度99%)作为雾化气和干燥气,用注射泵以10 μL/min流速将10 mg/L样品溶液注入离子源,进入质谱仪实时检测。在ESI-MS条件下,以甲醇作为溶剂,分析非洛地平、苯磺酸氨氯地平、硝苯地平等地平类药物,其结构示于图1。
-
在最佳ESI-MS条件下,对非洛地平、苯磺酸氨氯地平和硝苯地平进行直接质谱分析,结果示于图2。可见,非洛地平、苯磺酸氨氯地平的准分子离子峰[M+H]+分别为m/z 384、409,硝苯地平的自由基离子峰为m/z 346。
-
首先对非洛地平的准分子离子峰进行CID分析,母离子隔离宽度1.0,碰撞能量22%,碰撞时间300 ms,碰撞活化值0.25,MS2谱图示于图3a,主要得到m/z 356碎片离子峰;继续对m/z 356进行CID分析,母离子隔离宽度2.0,碰撞能量30%,碰撞时间250 ms,碰撞活化值0.2,MS2谱图示于图3b,主要存在m/z 324、320碎片离子峰;继续对m/z 324进行CID分析,母离子隔离宽度1.0,碰撞能量33%,碰撞时间100 ms,碰撞活化值0.3,MS2谱图示于图3c,主要存在m/z 306、289、288碎片离子峰;进一步对m/z 320进行CID分析,母离子隔离宽度1.0,碰撞能量30%,碰撞时间200 ms,碰撞活化值0.3,MS2谱图示于图3d,主要存在m/z 288碎片离子峰;接着对m/z 306进行CID分析,母离子隔离宽度1.0,碰撞能量25%,碰撞时间30 ms,碰撞活化值0.3,MS2谱图示于图3e,主要存在m/z 278碎片离子峰;最后对m/z 289进行CID分析,母离子隔离宽度1.0,碰撞能量28%,碰撞时间500 ms,碰撞活化值0.2,MS2谱图示于图3f,主要存在m/z 271碎片离子峰。
-
首先对苯磺酸氨氯地平的准分子离子峰进行CID分析,母离子隔离宽度1.0,碰撞能量30%,碰撞时间300 ms,碰撞活化值0.25,MS2谱图示于图4a,观察到主要的碎片离子峰m/z 366;进一步对m/z 366进行CID分析,母离子隔离宽度1.0,碰撞能量18%,碰撞时间100 ms,碰撞活化值0.3,MS2谱图示于图4b,主要存在m/z 348碎片离子峰;接着对m/z 348进行CID分析,母离子隔离宽度1.0,碰撞能量16%,碰撞时间300 ms,碰撞活化值0.2,MS2谱图示于图4c,主要存在m/z 320碎片离子峰;继续对m/z 320进行CID分析,母离子隔离宽度3.0,碰撞能量16%,碰撞时间400 ms,碰撞活化值0.3,MS2谱图示于图4d,主要存在m/z 288碎片离子峰;进一步对m/z 288进行CID分析,母离子隔离宽度1.0,碰撞能量25%,碰撞时间70 ms,碰撞活化值0.3,MS2谱图示于图4e,主要存在m/z 260碎片离子峰;最后对m/z 260进行CID分析,母离子隔离宽度1.0,碰撞能量30%,碰撞时间100 ms,碰撞活化值0.21,MS2谱图示于图4f,主要存在m/z 232碎片离子峰。
-
首先,对硝苯地平的自由基离子峰进行CID分析,母离子隔离宽度1.0,碰撞能量30%,碰撞时间300 ms,碰撞活化值0.2,MS2谱图示于图5a,观察到主要的碎片离子峰m/z 328;接着对m/z 328进行CID分析,母离子隔离宽度1.0,碰撞能量30%,碰撞时间400 ms,碰撞活化值0.27,MS2谱图示于图5b,主要存在m/z 284碎片离子峰;继续对m/z 284进行CID分析,母离子隔离宽度1.0,碰撞能量30%,碰撞时间1 000 ms,碰撞活化值0.2,MS2谱图示于图5c,主要存在m/z 252碎片离子峰;最后对m/z 252进行CID分析,母离子隔离宽度1.0,碰撞能量25%,碰撞时间500 ms,碰撞活化值0.25,MS2谱图示于图5d,主要存在m/z 224碎片离子峰。
-
对非洛地平质子化离子m/z 384进行CID分析,首先丢失CO得到m/z 356碎片离子,然后对m/z 356进行CID分析,产生m/z 324、320、318碎片离子。吡啶环氮上的氢发生1,5-质子迁移,转移至甲氧基上并丢失CH3OH得到m/z 324碎片离子;吡啶环氮上的氢首先发生1,3-质子迁移,转移至吡啶环双键上,再发生1,5-质子迁移,转移至氯上并丢失HCl,最后吡啶环上氢负离子转移至苯环上,得到m/z 320碎片离子;碎片离子m/z 356丢失HCl,氮上孤对电子进一步转移至吡啶环上,正电荷转移至氮上,氮上的氢携带正电荷离去,发生去氢芳构化得到m/z 318碎片离子。接着对m/z 320进行CID分析,吡啶环氮上的氢发生1,5-质子迁移,转移至甲氧基并丢失CH3OH,去氢芳构化得到m/z 288碎片离子。为进一步验证m/z 324的结构,继续进行CID分析,得到m/z 306、289、288碎片离子。m/z 324碎片离子吡啶环上双氢迁移至酯基氧上,丢失H2O发生去氢芳构化得到m/z 306碎片离子;丢失Cl得到m/z 289碎片离子;丢失HCl发生去氢芳构化得到m/z 288碎片离子。接着对m/z 306进行CID分析,丢失CO得到m/z 278碎片离子。最后对m/z 289进行CID分析,吡啶环上双氢迁移至酯基氧上并丢失H2O,去氢芳构化得到m/z 271碎片离子。非洛地平的裂解途径示于图6。
-
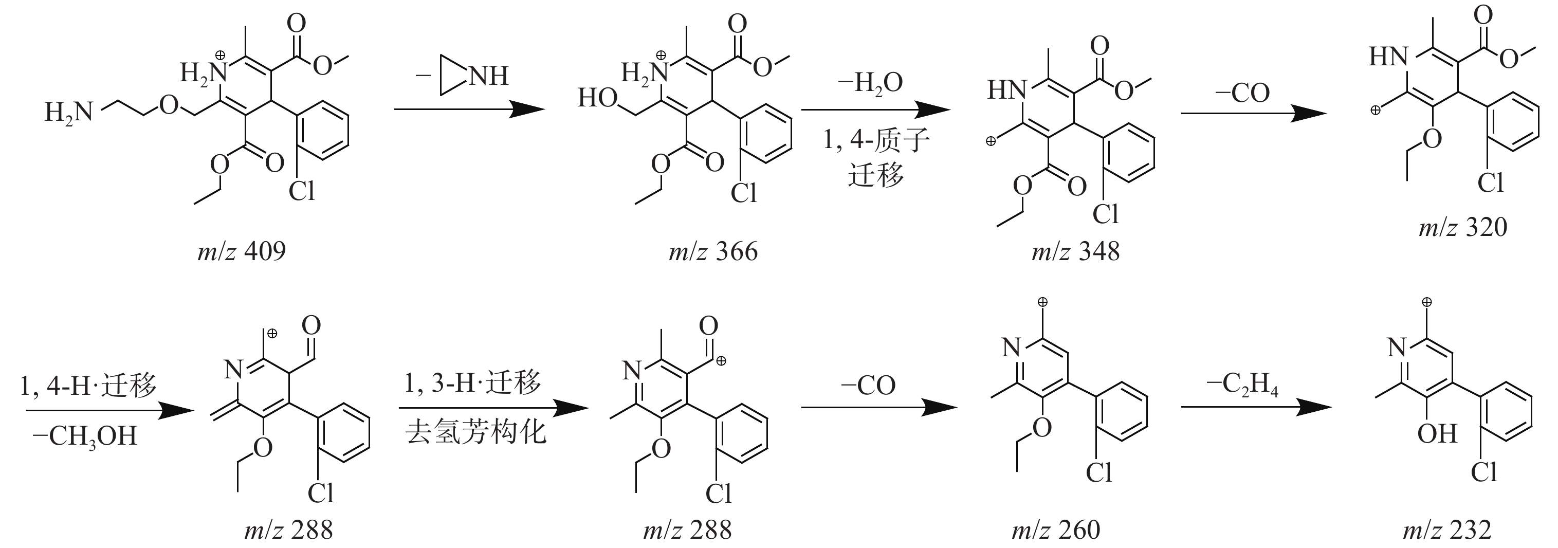
对苯磺酸氨氯地平质子化离子m/z 409进行CID分析。首先,吡啶环支链上氨基与氧成环后再开环,丢失乙氨基得到m/z 366碎片离子,吡啶环氮上的氢发生1,4-质子迁移,转移至环支链羟基上丢失H2O得到m/z 348碎片离子,再丢失CO得到m/z 320碎片离子。继续对m/z 320进行CID分析,吡啶环上自由基共振,诱导正电荷转移至氢上发生1,4-氢自由基迁移,转移至吡啶环甲氧基上发生不完全芳构化,脱去CH3OH得到m/z 288碎片离子,吡啶环上氢自由基进一步转移至双键位置,发生去氢芳构化,得到结构更稳定的m/z 288碎片离子。进一步对m/z 288进行CID分析,丢失CO得到m/z 260碎片离子。最后对m/z 260进行CID分析,吡啶环支链上乙氧基形成环氧化合物,丢失亚乙基得到m/z 232碎片离子。苯磺酸氨氯地平的裂解途径示于图7。
-
化合物ESI-MS过程中通常产生的是准分子离子峰,但有文献报道会产生自由基离子峰,这是由于该化合物的电离能低[29],具有高度共轭结构[30],可以发生电化学氧化反应[31],容易失去电子。对比非洛地平和苯磺酸氨氯地平,硝苯地平含有硝基,硝基氧容易失去电子,形成氮氧化物(自由基离子峰)。首先,硝苯地平自由基离子m/z 346苯环上氢自由基迁移至单键氧上形成羟基,然后,氮上氢发生多步氢自由基迁移,最终去氢芳构化丢失H2O,得到m/z 328碎片离子。研究表明,分子在热力学最有利的位置发生质子化时,通常不会发生裂解,然而,当质子转移至分子内的其他位置就会发生化学反应[32-34]。接着,m/z 328丢失CO2得到m/z 284碎片离子,吡啶环上甲基发生γ-H重排,氮上氢转移至酯基氧上,丢失CH3OH得到m/z 252碎片离子,继续丢失吡啶环上CO得到m/z 224碎片离子。硝苯地平的裂解途径示于图8。
-
本研究采用ESI-CID-MS/MS技术实现对地平类药物分子结构在微观层面的精细探索。以非洛地平、苯磺酸氨氯地平和硝苯地平这3种具有代表性的地平类药物进行系统性研究,得到它们在质谱条件下的共性裂解模式,揭示了地平类药物分子在碰撞诱导下发生的化学转化过程,其中最为关键的是去氢芳构化反应。通过进一步分析特征性碎片离子的质谱行为,解析地平类药物的裂解路径,明确碎片离子之间的关系,构建了更全面、更准确的地平类药物质谱裂解图谱。该研究结果可为地平类药物的分析提供新方法,也为理解其化学性质和代谢过程提供线索,通过对比不同药物的裂解模式,有助于推断未知化合物的结构,加速药物筛选和环境检测。
地平类药物裂解过程中去氢芳构化反应研究
Research of Dehydroaromatization Reactions in the Mass Spectrometric Fragmentation of Dipine Drugs
-
摘要: 地平类药物作为二氢吡啶类钙离子通道拮抗剂,在治疗高血压等心血管疾病中有着重要作用,理解这些药物的质谱裂解途径对于研究其在复杂基体中的代谢过程至关重要。本工作采用电喷雾-碰撞诱导解离串联质谱(ESI-CID-MS/MS)技术研究非洛地平、苯磺酸氨氯地平和硝苯地平等地平类药物的质谱裂解行为,揭示裂解反应机理,并总结这类药物的基本裂解规律。结果表明,这些地平类药物在裂解过程中主要发生丢失支链基团反应(例如,丢失HCl或CO+CH3OH等)、质子迁移反应、脱水反应以及去氢芳构化反应。其中,去氢芳构化反应尤为重要,其产生的离子可以作为识别这类药物的特征诊断离子。本研究不仅准确解析了地平类药物去氢芳构化反应的过程,而且为这类药物的精准鉴定和快速检测提供了有效指导,为地平类药物代谢通路的相关研究提供了重要的理论依据。
-
关键词:
- 地平类药物 /
- 去氢芳构化 /
- 电喷雾-碰撞诱导解离串联质谱(ESI-CID-MS/MS) /
- 裂解途径
Abstract: Dipine drugs, classified as dihydropyridine calcium channel antagonists, are widely utilized in clinical settings as antihypertensive vasodilator calcium antagonist to treat angina pectoris, hypertension, and coronary artery diseases. Commonly used dipine drugs, including felodipine, amlodipine besylate, and nifedipine, can effectively regulate blood pressure levels, increase blood flow to the heart and blood vessels, and thus aid in reducing blood pressure. Additionally, dipine drugs have been used in treatment for Alzheimer’s disease and are known to provide protective effect on the liver. Understanding the fragmentation pathways during mass spectrometry ionization is crucial for studying their metabolic pathways. In this study, the fragmentation behaviors of felodipine, amlodipine besylate, and nifedipine were investigated using electrospray ionization-mass spectrometry coupled to collision-induced dissociation (ESI-CID-MS/MS). Through detailed analysis, the fragmentation characteristics of these dipine drugs were elucidated. It was observed that common reactions under the target ion mode include dehydrogenation, proton migration, dehydration, and the loss of branched chain groups. A key finding of this study is the dehydroaromatization process during the fragmentation of dipine drugs. In this process, the fragment ions generated through dehydroaromatization can serve as characteristic diagnostic markers for identifying dipine drugs. Under the high-energy conditions, dipine molecules undergo complex rearrangements, leading to the conversion of saturated carbon-carbon bonds into unsaturated aromatic ring structures. This transformation alters the chemical properties of the drug molecules and represents the primary fragmentation pathway of dipine drugs. Moreover, dehydroaromatization offers valuable insights into the in vivo metabolic conversion of these drugs, which may occur under the influence of drug-metabolizing enzymes. This conversion can potentially affect both the efficacy and safety of dipine drugs, highlighting the importance of understanding this process for therapeutic use. This study not only provides a method for identifying fragment ions but also establishes a theoretical framework for comprehending the fragmentation pathways of dipine drugs. -
-
[1] 张小平, 钟达财, 陈宏汉, 陈焕文. 电喷雾萃取电离-串联质谱中N,N-二乙基苯胺类化合物的特征碎裂反应[J]. 质谱学报, 2020, 41(6): 529 -534 . doi: 10.7538/zpxb.2019.0101 ZHANG Xiaoping, ZHONG Dacai, CHEN Honghan, CHEN Huanwen. Characteristic fragmentation behavior of N,N-diethylaniline compounds by extractive electrospray ionization tandem mass spectrometry[J]. Journal of Chinese Mass Spectrometry Society, 2020, 41(6):529 -534 (in Chinese). doi: 10.7538/zpxb.2019.0101[2] INDELICATO S, BONGIORNO D, CERAULO L. Recent approaches for chemical speciation and analysis by electrospray ionization (ESI) mass spectrometry[J]. Frontiers in Chemistry, 2021, 8: 625 945. [3] ALTMANN K, SCHULZE R D, HIDDE G, FRIEDRICH J. Elektrospray-ionisation (ESI)[J]. Vakuum in Forschung Und Praxis, 2011, 23(6): 17 -23 . doi: 10.1002/vipr.201100471[4] dos SANTOS P R, PEREIRA C M P, RITTER M, de PAULA F R, MOURA S. Relationship between Hammett’s parameters and in silico density functional with tandem mass ESI-CID fragmentation: dihydropyridines as prototypes[J]. Journal of Mass Spectrometry, 2018, 53(3): 195 -202 . doi: 10.1002/jms.4050[5] STECKEL A, SCHLOSSER G. An organic chemist’s guide to electrospray mass spectrometric structure elucidation[J]. Molecules, 2019, 24(3): 611 . doi: 10.3390/molecules24030611[6] CHANDRAN J, ARAVIND U K, RAJALAKSHMI C, THOMAS V I, NGUYEN P T, ARAVINDAKUMAR C T. Solvent dependent ESI-collisionally induced dissociation of protonated nitenpyram[J]. International Journal of Mass Spectrometry, 2019, 445: 116 207. [7] KACZOROWSKA M A, OŚMIAŁOWSKI B. Collision induced dissociation of N-(pyridin-2-yl)-substituted benzo(thio)amides and N-(isoquinolin-1-yl)furan(thiophene)-2-carboxamides and their difluoroboranyl derivatives[J]. International Journal of Mass Spectrometry, 2018, 428: 35 -42 . doi: 10.1016/j.ijms.2018.02.006[8] SEVER A I M, YIN V, KONERMANN L. Interrogating the quaternary structure of noncanonical hemoglobin complexes by electrospray mass spectrometry and collision-induced dissociation[J]. Journal of the American Society for Mass Spectrometry, 2021, 32(1): 270 -280 . doi: 10.1021/jasms.0c00320[9] HU N, TU Y P, LIU Y, JIANG K, PAN Y. Dissociative protonation and proton transfers: fragmentation of α,β-unsaturated aromatic ketones in mass spectrometry[J]. The Journal of Organic Chemistry, 2008, 73(9): 3 369-3 376. [10] WANG S, YU L, WU Y, GUO C, ZHANG N, JIANG K. Gas-phase fragmentation of protonated N,2-diphenyl-N'-(p-toluenesulfonyl)ethanimidamides: tosyl cation transfer versus proton transfer[J]. Journal of the American Society for Mass Spectrometry, 2015, 26(8): 1 428-1 431. [11] CHAI Y, SUN H, WAN J, PAN Y, SUN C. Hydride abstraction in positive-ion electrospray interface: oxidation of 1,4-dihydropyridines in electrospray ionization mass spectrometry[J]. The Analyst, 2011, 136(22): 4 667. [12] ANDERSSON O K, HEDNER T, GRANÉRUS G. Felodipine in combination with a β-blocker and a diuretic in chronic treatment of patients with refractory primary hypertension[J]. Drugs, 1987, 34(3): 156 -160 .[13] BERTRAND M E, LABLANCHE J M, TILMANT P Y. Treatment of spasm of the coronary artery with nifedipine[J]. European Heart Journal, 1980, 1(Suppl 2): 65 -69 . doi: 10.1093/eurheartj/1.suppl_2.65[14] TIWASKAR M, LANGOTE A, KASHYAP R, TOPPO A. Amlodipine in the era of new generation calcium channel blockers[J]. The Journal of the Association of Physicians of India, 2018, 66(3): 64 -69 .[15] LIN Z, SHI J, GAO X, ZHAO Y. Novel tandem hydrogen migrations across five chemical bonds for 1, 4-dihydropyridine using electrospray ionization FT-ICR mass spectrometry[J]. International Journal of Mass Spectrometry, 2016, 406: 29 -34 . doi: 10.1016/j.ijms.2016.05.024[16] 马春艳, 宁霄, 段琼, 胡伟杰, 李景云, 张菁. UPLC-Q-TOF-MS技术研究地平类药物成分质谱裂解规律[J]. 中国药物警戒, 2023, 20(12): 1 326-1 331, 1 350. MA Chunyan, NING Xiao, DUAN Qiong, HU Weijie, LI Jingyun, ZHANG Jing. Study on the mass spectrometric cleavage pattern of diphenhydramine constituents based on UPLC-Q-TOF-MS technology[J]. Chinese Journal of Pharmacovigilance, 2023, 20(12): 1 326-1 331, 1 350(in Chinese). [17] 彭玉薇, 姚美村, 罗忠华, 刘国柱. 高效液相色谱-离子肼质谱串联技术在线鉴定氨氯地平原料药中未知杂质的结构[J]. 药物分析杂志, 2015, 35(5): 920 -926 . PENG Yuwei, YAO Meicun, LUO Zhonghua, LIU Guozhu. Online identification of unknown impurities in drug substance of amlodipine by high performance liquid chromatographyion trap mass spectrometry[J]. Chinese Journal of Pharmaceutical Analysis, 2015, 35(5):920 -926 (in Chinese).[18] 张树栋, 付晖, 尹光, 贾伯阳, 胡琴, 张喆. 水相中单质镍介导的1,4-二氢吡啶类化合物脱氢芳构化反应[J]. 中国药学杂志, 2020, 55(22): 1 842-1 846. ZHANG Shudong, FU Hui, YIN Guang, JIA Baiyang, HU Qin, ZHANG Zhe. Dehydrogenating aromatization of 1,4-dihydropyridines mediated by nickel element in aqueous media[J]. Chinese Pharmaceutical Journal, 2020, 55(22): 1 842-1 846(in Chinese). [19] 卢胜梅, 汪游清, 韩秀文, 周永贵. 均相体系中铱催化2-取代-1,2-二氢喹啉类化合物的脱氢芳构化[J]. 催化学报, 2005, 26(4): 287 -290 . doi: 10.3321/j.issn:0253-9837.2005.04.008 LU Shengmei, WANG Youqing, HAN Xiuwen, ZHOU Yonggui. Homogeneous iridium-catalyzed dehydroaromatization of 2-substituted-1,2-dihydroquinolines[J]. Chinese Journal of Catalysis, 2005, 26(4):287 -290 (in Chinese). doi: 10.3321/j.issn:0253-9837.2005.04.008[20] 鲍明伟, 陆晔, 张大永, 王炳祥. Hantzsch 1,4-二氢吡啶的一种理想的脱氢芳构化试剂-KBrO3/NaHSO3[J]. 南京师大学报(自然科学版), 2000, 23(3): 66 -69 . BAO Mingwei, LU Ye, ZHANG Dayong, WANG Bingxiang. An effective reagent for the aromatization of hantzsch 1,4-dihydropyridine-potassium bromate/sodium bisulfite[J]. Journal of Nanjing Normal University (Natural Science Edition), 2000, 23(3):66 -69 (in Chinese).[21] 武补兰. 脱氢芳构化合成两类含氮杂环化合物的过程及条件研究[D]. 太原: 山西大学, 2005. [22] MATSUTA S, SHIMA N, KAKEHASHI H, ISHIKAWA A, ASAI R, NITTA A, WADA M, NAKANO S, KAMATA H, NISHIYAMA Y, NAGATANI H, IMURA H, KATAGI M. Dehydration-fragmentation mechanism of cathinones and their metabolites in ESI-CID[J]. Journal of Mass Spectrometry, 2020, 55(9): e4538. doi: 10.1002/jms.4538 [23] MÜLLER C, VOGT S, GOERKE R, KORDON A, WEINMANN W. Identification of selected psychopharmaceuticals and their metabolites in hair by LC/ESI-CID/MS and LC/MS/MS[J]. Forensic Science International, 2000, 113(1/2/3): 415 -421 .[24] LI H, ZHANG K, CHEN W, ZHOU Y, LI J, ZHAO Y, SONG Y. Metabolite identification of salvianolic acid A in rat using post collision-induced dissociation energy-resolved mass spectrometry[J]. Chinese Medicine, 2024, 19(1): 64 . doi: 10.1186/s13020-024-00931-z[25] OHASHI N, FURUUCHI S, YOSHIKAWA M. Usefulness of the hydrogen-deuterium exchange method in the study of drug metabolism using liquid chromatography-tandem mass spectrometry[J]. Journal of Pharmaceutical and Biomedical Analysis, 1998, 18(3): 325 -334 . doi: 10.1016/S0731-7085(98)00092-2[26] SUROV A O, SOLANKO K A, BOND A D, BAUER-BRANDL A, PERLOVICH G L. Crystal architecture and physicochemical properties of felodipine solvates[J]. CrystEngComm, 2013, 15(30): 6 054-6 061. [27] PLIEGO R G, JUAN E R S, MIRANDA R, VILLALOBOS-MOLINA R, DELGADO F, OSNAYA R, FERRARA J T. Vasodilator effects of bis-dihydropyridines structurally related to nifedipine[J]. Medicinal Chemistry (Shariqah (United Arab Emirates)), 2006, 2(5): 527 -534 . doi: 10.2174/157340606778250243[28] KAPOR A, NIKOLIĆ V, NIKOLIĆ L, STANKOVIĆ M, CAKIĆ M, STANOJEVIĆ L, ILIĆ D. Inclusion complexes of amlodipine besylate and cyclodextrins[J]. Central European Journal of Chemistry, 2010, 8(4): 834 -841 .[29] van BERKEL G J, McLUCKEY S A, GLISH G L. Electrochemical origin of radical cations observed in electrospray ionization mass spectra[J]. Analytical Chemistry, 1992, 64(14): 1 586-1 593. [30] ZHANG X, JIANG K, ZOU J, LI Z. Two competing ionization processes in electrospray mass spectrometry of indolyl benzo[b]carbazoles: formation of M+• versus[M+H]+[J]. Rapid Communications in Mass Spectrometry, 2015, 29(3): 263 -268 . doi: 10.1002/rcm.7103[31] 裴继影, 侯壮豪. 质谱电喷雾离子源中电化学与电晕放电氧化还原反应的研究进展[J]. 分析测试学报, 2018, 37(12): 1 508-1 513. PEI Jiying, HOU Zhuanghao. Research progress on electrochemistry-induced and corona discharge-induced redox reactions in electrospray ionization mass spectrometry[J]. Journal of Instrumental Analysis, 2018, 37(12): 1 508-1 513(in Chinese). [32] TU Y P. Dissociative protonation sites: reactive centers in protonated molecules leading to fragmentation in mass spectrometry[J]. The Journal of Organic Chemistry, 2006, 71(15): 5 482-5 488. [33] GUO C, JIANG K, YUE L, XIA Z, WANG X, PAN Y. Intriguing roles of reactive intermediates in dissociation chemistry of N-phenylcinnamides[J]. Organic & Biomolecular Chemistry, 2012, 10(35): 7 070-7 077. [34] ZHANG X, CHENG S. Intramolecular halogen atom coordinated H transfer via ion-neutral complex in the gas phase dissociation of protonated dichlorvos derivatives[J]. Journal of the American Society for Mass Spectrometry, 2017, 28(10): 2 246-2 254. -
首页
登录
注册


下载: