缴获电子烟油中苯环己哌啶类新精神活性物质2-丙氨基-2-苯基环己酮的鉴定分析

上一篇

下一篇

吴佳蕾, 张强, 王学虎, 刘凌云, 陈立麒, 王瑞花, 徐仿敏. 缴获电子烟油中苯环己哌啶类新精神活性物质2-丙氨基-2-苯基环己酮的鉴定分析[J]. 质谱学报, 2025, 46(5): 658-664. doi: 10.7538/zpxb.2025.0001
引用本文: 吴佳蕾, 张强, 王学虎, 刘凌云, 陈立麒, 王瑞花, 徐仿敏. 缴获电子烟油中苯环己哌啶类新精神活性物质2-丙氨基-2-苯基环己酮的鉴定分析[J]. 质谱学报, 2025, 46(5): 658-664. doi: 10.7538/zpxb.2025.0001
Jia-lei WU, Qiang ZHANG, Xue-hu WANG, Ling-yun LIU, Li-qi CHEN, Rui-hua WANG, Fang-min XU. Identification of a New Psychoactive Substances of Phencyclidine-type, 2-Oxo-PCPr in Seized e-Cigarette Oil[J]. Journal of Chinese Mass Spectrometry Society, 2025, 46(5): 658-664. doi: 10.7538/zpxb.2025.0001
Citation: Jia-lei WU, Qiang ZHANG, Xue-hu WANG, Ling-yun LIU, Li-qi CHEN, Rui-hua WANG, Fang-min XU. Identification of a New Psychoactive Substances of Phencyclidine-type, 2-Oxo-PCPr in Seized e-Cigarette Oil[J]. Journal of Chinese Mass Spectrometry Society, 2025, 46(5): 658-664. doi: 10.7538/zpxb.2025.0001

缴获电子烟油中苯环己哌啶类新精神活性物质2-丙氨基-2-苯基环己酮的鉴定分析

    通讯作者: 王瑞花;  徐仿敏
  • 中图分类号: O657.63

Identification of a New Psychoactive Substances of Phencyclidine-type, 2-Oxo-PCPr in Seized e-Cigarette Oil

    Corresponding authors: Rui-hua WANG, nqkczs@126.com ;  Fang-min XU, xufangmin2003@163.com
  • MSC: O657.63

  • 摘要: 本研究建立了气相色谱-质谱(GC-MS)和液相色谱-四极杆飞行时间质谱(LC-QTOF MS)检测电子烟油中苯环己哌啶类新精神活性物质(NPSs)的方法。将缴获的电子烟油经提取后进行GC-MS和LC-QTOF MS分析,获得相应的质谱图,并分析特征离子和裂解规律。结果表明,在电子烟油中检出一种未知物成分,其质谱特征碎片离子及裂解规律与2-乙氨基-2-苯基环己酮(2-oxo-PCE)相似;通过质谱解析,推断该未知物为苯环己哌啶类新精神活性物质2-丙氨基-2-苯基环己酮(2-oxo-PCPr)。本方法在缺少标准物质或参考物质,且样品量较少的情况下,成功鉴定出未知物成分,可为新精神活性物质的鉴定提供参考。
  • 加载中
  • 图 1  缴获的电子烟油

    Figure 1.  Seized e-cigarette oil

    图 2  未知物的GC-MS总离子流图

    Figure 2.  Total ion chromatogram of unknown compound

    图 3  未知物(a)和2-oxo-PCE(b)的GC-MS质谱图

    Figure 3.  Mass spectra of unknown (a) and 2-oxo-PCE (b) by GC-MS

    图 4  未知物的一级高分辨质谱图

    Figure 4.  Primary high resolution mass spectrum of unknown

    图 5  未知物(a)和2-oxo-PCE(b)的二级高分辨质谱图

    Figure 5.  Secondary high resolution mass spectra of unknown (a) and 2-oxo-PCE (b)

    图 6  2-oxo-PCPr的化学结构

    Figure 6.  Chemical structure of 2-oxo-PCPr

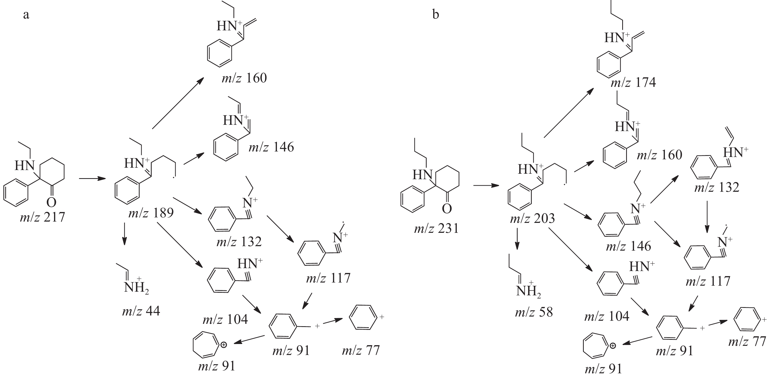
    图 7  2-oxo-PCE(a)和2-oxo-PCPr(b)可能的EI-MS裂解途径

    Figure 7.  Proposed fragmentation pathways of 2-oxo-PCE (a) and 2-oxo-PCPr (b) under EI-MS mode

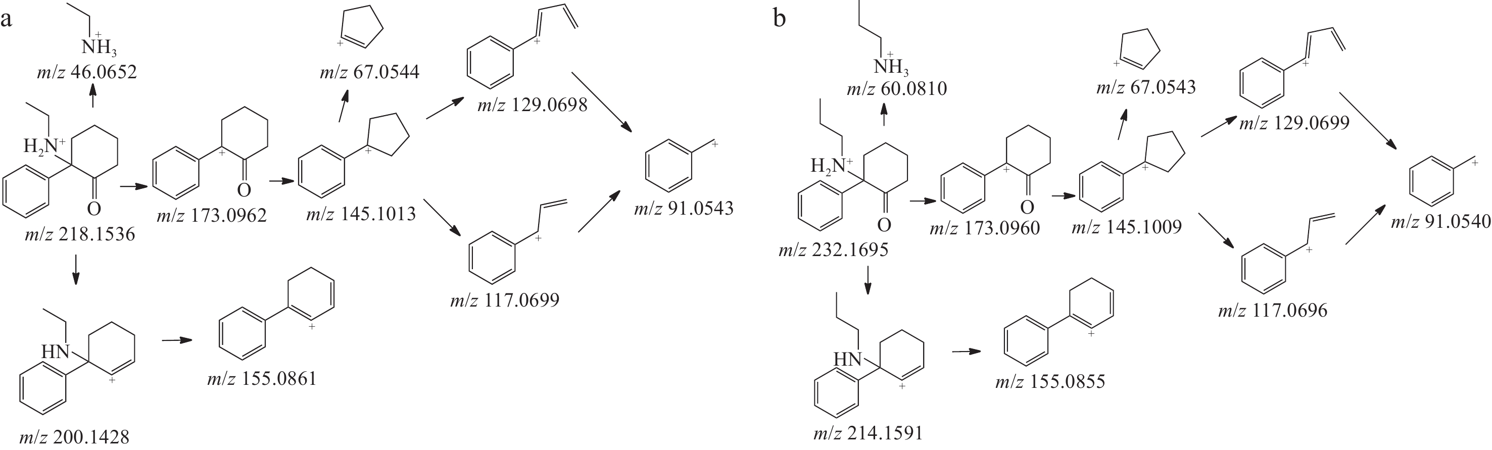
    图 8  2-oxo-PCE(a)和2-oxo-PCPr(b)可能的ESI-MS裂解途径

    Figure 8.  Proposed fragmentation pathways of 2-oxo-PCE (a) and 2-oxo-PCPr (b) under ESI-MS mode

    表 1  未知物和2-oxo-PCE的EI-MS特征碎片离子

    Table 1.  Characteristic fragment ions of unknown and 2-oxo-PCE under EI-MS mode

    名称
    Name
    分子式
    Molecular formula
    保留时间
    tR/min
    主要特征碎片离子
    Main characteristic fragment ion (m/z)
    未知物C15H21NO7.695587791104117132146160174203
    2-oxo-PCEC14H19NO7.165447791104117132146160189
    下载: 导出CSV

    表 2  未知物和2-oxo-PCE的ESI-MS特征碎片离子

    Table 2.  Characteristic fragment ions of unknown and 2-oxo-PCE under ESI-MS mode

    名称
    Name
    保留时间
    tR/min
    化学式
    Chemical formula
    理论值
    Theoretical mass (m/z)
    实测值
    Experimental mass (m/z)
    误差
    Error/×10−6
    未知物 3.105 C15H22NO+ 232.1696 232.1695 −0.43
    C15H20N+ 214.1590 214.1591 0.47
    C12H13O+ 173.0961 173.0960 −0.58
    C12H11+ 155.0855 155.0855 0.00
    C11H13+ 145.1012 145.1009 −2.07
    C10H9+ 129.0699 129.0699 0.00
    C9H9+ 117.0699 117.0696 −2.56
    C7H7+ 91.0542 91.0540 −2.20
    C5H7+ 67.0542 67.0543 1.49
    C3H10N+ 60.0808 60.0810 3.33
    2-oxo-PCE 2.961 C14H20NO+ 218.1539 218.1536 −1.38
    C14H18N+ 200.1434 200.1428 −3.00
    C12H13O+ 173.0961 173.0962 0.58
    C12H11+ 155.0855 155.0861 3.87
    C11H13+ 145.1012 145.1013 0.69
    C10H9+ 129.0699 129.0698 −0.77
    C9H9+ 117.0699 117.0699 0.00
    C7H7+ 91.0542 91.0543 1.10
    C5H7+ 67.0542 67.0544 2.98
    C2H8N+ 46.0651 46.0652 2.17
    下载: 导出CSV
  • [1] 王跨陡, 袁晓亮, 何思阳, 盛振海, 刘文斌, 曹芳琦. 合成卡西酮类新精神活性物质4-F-3-Me-ɑ-PVP的检测[J]. 药物分析杂志, 2023, 43(6): 950 - 956 . WANG Kuadou, YUAN Xiaoliang, HE Siyang, SHENG Zhenhai, LIU Wenbin, CAO Fangqi. Identification of a new psychoactive substance of synthetic cathinone named 4-F-3-Me-ɑ-PVP[J]. Chinese Journal of Pharmaceutical Analysis, 2023, 43(6): 950 - 956 (in Chinese).
    [2] 郭颖, 吴波, 杨乔, 王学虎, 崔明伟, 苏梦翔. 缴获电子烟油中新型合成大麻素ADB-BUTINACA和4-Fluoro ABUTINACA的鉴定分析[J]. 中国司法鉴定, 2023(3): 53 - 60 . doi: 10.3969/j.issn.1671-2072.2023.03.007 GUO Ying, WU Bo, YANG Qiao, WANG Xuehu, CUI Mingwei, SU Mengxiang. Identification of new synthetic cannabinoids psychoactive substances ADB-BUTINACA and 4-fluoro ABUTINACA in the seized electronic cigarette oil[J]. Chinese Journal of Forensic Sciences, 2023(3): 53 - 60 (in Chinese). doi: 10.3969/j.issn.1671-2072.2023.03.007
    [3] 钱振华, 杨虹贤, 刘翠梅. 苯二氮卓类新精神活性物质Flubromazolam的快速检测[J]. 分析试验室, 2018, 37(10): 1 133-1 136. QIAN Zhenhua, YANG Hongxian, LIU Cuimei. Rapid detection of designer benzodiazepine flubromazolam by GC-MS and UPLC-Q-TOF MS[J]. Chinese Journal of Analysis Laboratory, 2018, 37(10): 1 133-1 136(in Chinese).
    [4] 胡庆坤, 刘昕, 郭靖, 徐若沦. 新型苯环己哌啶衍生物溴胺酮的表征与分析[J]. 刑事技术, 2024, 49(1): 31 - 37 . HU Qingkun, LIU Xin, GUO Jing, XU Ruolun. Characterization and identification of Br-ketamine: a novel phenyclohexidine derivative[J]. Forensic Science and Technology, 2024, 49(1): 31 - 37 (in Chinese).
    [5] 庄顺, 叶树海, 林葭, 林坚, 李航麒. 疑似毒品中新型麻醉活性物质氟胺酮的GC/MS检验[J]. 中国法医学杂志, 2020, 35(5): 508 - 509, 513 . ZHUANG Shun, YE Shuhai, LIN Jia, LIN Jian, LI Hangqi. Identification of F-ketamine in suspected drugs by GC/MS[J]. Chinese Journal of Forensic Medicine, 2020, 35(5): 508 - 509, 513 (in Chinese).
    [6] 陈乐, 蒙卫宁. GC-MS法检测氟胺酮和N-乙基氟胺酮[J]. 化工技术与开发, 2024, 53(11): 56 - 60 . doi: 10.3969/j.issn.1671-9905.2024.11.012 CHEN Le, MENG Weining. Determination of fluamine and N-ethylfluamine by GC-MS[J]. Technology & Development of Chemical Industry, 2024, 53(11): 56 - 60 (in Chinese). doi: 10.3969/j.issn.1671-9905.2024.11.012
    [7] 聂宗炀, 胡伟, 李玲玉, 章青波, 黄欣, 李波. 3种新精神活性物质的结构确证及未知毒品的定性鉴定[J]. 法医学杂志, 2024, 40(4): 340 - 351 . doi: 10.12116/j.issn.1004-5619.2023.330101 NIE Zongyang, HU Wei, LI Lingyu, ZHANG Qingbo, HUANG Xin, LI Bo. Structure confirmation of three new psychoactive substances and qualitative identification of unknown substances[J]. Journal of Forensic Medicine, 2024, 40(4): 340 - 351 (in Chinese). doi: 10.12116/j.issn.1004-5619.2023.330101
    [8] 范一雷, 陈显鑫, 薛锦锋, 吴昊, 柯星, 徐雨. 新型靛红腙类合成大麻素质谱裂解规律研究[J]. 分析试验室, 2024, 43(1): 57 - 63 . FAN Yilei, CHEN Xianxin, XUE Jinfeng, WU Hao, KE Xing, XU Yu. Investigation of mass spectrometry-based fragmentation patterns of new “OXIZID” synthetic cannabinoids[J]. Chinese Journal of Analysis Laboratory, 2024, 43(1): 57 - 63 (in Chinese).
    [9] KAPUR S, SEEMAN P. NMDA receptor antagonists ketamine and PCP have direct effects on the dopamine D2 and serotonin 5-HT2 receptors-implications for models of schizophrenia[J]. Molecular Psychiatry, 2002, 7(8): 837 - 844 . doi: 10.1038/sj.mp.4001093
    [10] MORRIS H, WALLACH J. From PCP to MXE: a comprehensive review of the non-medical use of dissociative drugs[J]. Drug Testing and Analysis, 2014, 6(7/8): 614 - 632 .
    [11] 公安部, 国家卫生健康委员会, 国家药品监督管理局. 关于将合成大麻素类物质和氟胺酮等18种物质列入《非药用类麻醉药品和精神药品管制品种增补目录》的公告[EB/OL]. (2021-03-15)[2024-12-30]. https://www.mps.gov.cn/n6557558/c7881251/content.html.
    [12] 范一雷, 陈显鑫, 张宏建, 吴昊, 徐雨. 质谱识别新型合成苯环己哌啶类物质氟胺酮异构体[J]. 分析试验室, 2023, 42(3): 338 - 343 . FAN Yilei, CHEN Xianxin, ZHANG Hongjian, WU Hao, XU Yu. Differentiation of novel synthetic phenylcyclohexyl piperidines fluamine isomers by mass spectrometry[J]. Chinese Journal of Analysis Laboratory, 2023, 42(3): 338 - 343 (in Chinese).
    [13] 王学虎, 花镇东. 疑似毒品“甲基胺酮” 的检验[J]. 中国药物依赖性杂志, 2023, 32(4): 257 - 261 . WANG Xuehu, HUA Zhendong. Rapid identification of “2-methyl-deschloro-ketamine” of suspected drug by mass spectrometry[J]. Chinese Journal of Drug Dependence, 2023, 32(4): 257 - 261 (in Chinese).
    [14] 公安部, 国家卫生健康委, 国家药监局. 关于将溴啡等46种物质列入《非药用类麻醉药品和精神药品管制品种增补目录》的公告[EB/OL]. (2024-06-16)[2024-12-30]. https://www.mps.gov.cn/n6557558/c9621723/content.html.
    [15] XU F, WEI W, SHAN X, WANG R, LIU L. Identification and characterization of novel synthetic cannabinoid ethyl-2-(1-(5-fluoropentyl)-1H-indole-3-carboxamido)-3, 3-dimethylbutanoate (5F-EDMB-PICA)[J]. Forensic Toxicology, 2022, 40(1): 163 - 172 . doi: 10.1007/s11419-021-00605-7
    [16] FRANKENFELD F, WAGMANN L, ABELIAN A, WALLACH J, ADEJARE A, BRANDT S D, MEYER M R. In vivo and in vitro metabolic fate and urinary detectability of five deschloroketamine derivatives studied by means of hyphenated mass spectrometry[J]. Metabolites, 2024, 14(5): 270 . doi: 10.3390/metabo14050270
  • 加载中
图( 9) 表( 2)
计量
  • 文章访问数:  19
  • HTML全文浏览数:  19
  • PDF下载数:  2
  • 施引文献:  0
出版历程
  • 收稿日期:  2025-01-03
  • 录用日期:  2025-05-16
  • 刊出日期:  2025-09-30

缴获电子烟油中苯环己哌啶类新精神活性物质2-丙氨基-2-苯基环己酮的鉴定分析

    通讯作者: 王瑞花; 
    通讯作者: 徐仿敏
  • 1. 江阴市公安局物证鉴定室,江苏 江阴 214431
  • 2. 内蒙古自治区公安厅物证鉴定中心,内蒙古 呼和浩特 010051
  • 3. 江苏省公安厅物证鉴定中心,江苏 南京 210012
  • 4. 公安部鉴定中心,北京 100038

摘要: 本研究建立了气相色谱-质谱(GC-MS)和液相色谱-四极杆飞行时间质谱(LC-QTOF MS)检测电子烟油中苯环己哌啶类新精神活性物质(NPSs)的方法。将缴获的电子烟油经提取后进行GC-MS和LC-QTOF MS分析,获得相应的质谱图,并分析特征离子和裂解规律。结果表明,在电子烟油中检出一种未知物成分,其质谱特征碎片离子及裂解规律与2-乙氨基-2-苯基环己酮(2-oxo-PCE)相似;通过质谱解析,推断该未知物为苯环己哌啶类新精神活性物质2-丙氨基-2-苯基环己酮(2-oxo-PCPr)。本方法在缺少标准物质或参考物质,且样品量较少的情况下,成功鉴定出未知物成分,可为新精神活性物质的鉴定提供参考。

English Abstract

  • 近年来,我国对非药用类麻醉药品和精神药品的管控力度不断加大,管控速度不断加快,但一些不法分子为逃避法律制裁,通过保留管制毒品的骨架结构,改变烷基的碳链长度[1-3]、变换卤素取代[4-6]等方式进行简单的结构修饰,制造出新精神活性物质(NPS),给毒品检验工作带来了极大挑战[7-8]

    苯环己哌啶类新精神活性物质属于解离性精神药物,主要通过与中枢神经系统中N-甲基-D-天冬氨酸(NMDA)受体的拮抗作用产生麻醉、镇痛等作用[9],如苯环己哌啶(PCP)、氯胺酮(ketamine)、乙环利定(PCE)、氟胺酮(2-FDCK)等[10]。2021年,我国发布公告,将2-FDCK列入《非药用类麻醉药品和精神药品管制品种增补目录》[11]。随后,市面上开始陆续出现溴胺酮(2-BDCK)、甲基胺酮(2-MDCK)、乙基氟胺酮(2-FXE)、2-乙氨基-2-苯基环己酮(2-oxo-PCE)等苯环己哌啶类NPS来代替管制的2-FDCK[12-13]。2024年,2-BDCK、2-MDCK、2-FXE等被列入管控目录[14],毒品市场上又开始出现新的替代品。为打击新型毒品犯罪,亟需建立一种快速鉴定NPS的方法。

    目前,鉴别新出现的NPS有气相色谱-质谱(GC-MS)、液相色谱-四极杆飞行时间质谱(LC-QTOF MS)、核磁共振波谱(NMR)、傅里叶变换红外光谱(FT-IR)等方法[1-7,15]。其中,GC-MS和LC-QTOF MS需要标准物质或参考物质进行比对;NMR和FT-IR则需要较高纯度的样品。

    本研究在缺少标准物质或参考物质,且样品量较少,无法进行NMR分析的情况下,利用已知相似结构物质的质谱特征和裂解规律,采用GC-MS和LC-QTOF MS法对新出现的未知NPS进行结构推断,旨为毒品实验室在分析此类案件时提供技术参考。

    • GC-2030/GCMS-TQ8040 NX GC-MS:日本Shimadzu公司产品,配有电子电离(EI)源;LC40-X500R LC-QTOF-MS:美国SCIEX公司产品,配有电喷雾电离(ESI)源。

    • 2-oxo-PCE(纯度≥99%):上海原思标物科技有限公司产品;水为超纯水;甲醇、乙腈、甲酸均为色谱级,其他试剂均为分析纯。

    • 色谱条件:VF-5MS色谱柱(30 m×0.25 mm,0.25 μm);升温程序为初始温度80 ℃,保持1 min,以20 ℃/min升至280 ℃,保持4 min;载气(99.99%He)流速1.0 mL/min;进样口温度280 ℃;分流进样,分流比20:1。

      质谱条件:EI源;传输线温度280 ℃;离子源温度300 ℃;电子能量70 eV;质量扫描范围m/z 45~450;溶剂延迟3.5 min; Full scan扫描模式。

    • 色谱条件:Luna Omega Polar C18色谱柱(2.1 mm×100 mm,1.6 μm);流动相A为0.1%甲酸-水溶液,B为乙腈;柱温40 ℃;流速0.3 mL/min;进样量5 μL;梯度洗脱条件为0~1 min(5%B),1~7 min(5%~70%B),7~10 min(70%~98%B), 10~12 min(98%B),12~15 min(5%B)。

      质谱条件:ESI源,正离子检测模式;离子喷雾电压5 500 V;离子源温度550 ℃;离子源气体1(雾化器气体,gas1)压强379.2 kPa;离子源气体2(辅助加热气体,gas2)压强344.7 kPa;气帘气压强241.3 kPa;去簇电压60 V;一级全扫描碰撞能量(CE)10 eV,质量扫描范围m/z 80~1 000;子离子扫描CE为35 eV,碰撞能量扩展(CES)15 eV,质量扫描范围m/z 30~1 000;信息依赖性扫描(IDA)模式,选择响应值超过100 cps进行二级质谱扫描,并开启动态背景扣除(DBS)以减少干扰。

    • 将缴获的电子烟油(示于图1)混合均匀,吸取10 μL于10 mL离心试管中,加入2 mL甲醇超声溶解,涡旋混匀,然后加入适量的无水硫酸钠去除水分,过0.2 μm有机滤膜。取1 mL滤液于样品瓶中进行GC-MS分析;另取10 μL滤液至样品瓶中,加入990 μL甲醇,混匀后进行LC-QTOF MS分析。

    • 将缴获的电子烟油按1.4节方法处理后进行GC-MS分析,其总离子流图示于图2。可以发现,在保留时间7.69 min处出现一未知色谱峰,主要特征碎片离子有m/z 174(基峰)、203、104、160等,其质谱图示于图3。通过与自建标准物质谱库、SWGDRUG谱库、NIST谱库等数据库进行谱库检索,匹配结果为1-苯基-N-丙基环戊胺,分子式为C14H21N,分子质量为203,匹配度为88%。进一步分析该未知物的质谱图发现,其特征碎片离子m/z 77、91、104、117、132、146与2-oxo-PCE的特征碎片离子基本相同,但m/z 174、203与2-oxo-PCE的m/z 160、189相差14 u,相当于1个−CH2−,推测该未知物的结构与2-oxo-PCE相似,属于同一类物质。为进一步确认该未知物的结构,继续对电子烟油和2-oxo-PCE进行LC-QTOF MS分析。

    • 将缴获的电子烟油按1.4节方法处理后进行LC-QTOF MS分析,采用非靶向未知物筛查数据处理方法,发现在保留时间3.099 min处出现强度较大的色谱峰,同时得到其一级和二级高分辨质谱图,分别示于图45。经仪器自带的质谱谱库和自建标准物质谱库检索未得到结果,但利用分子式拟合软件Formula Finder对一级高分辨质谱准分子离子[M+H]+ m/z 232.168 9拟合得到该未知物的分子式为C15H21NO,理论质量数[M+H]+为232.169 6,质量偏差为−3.01×10−6,与2-oxo-PCE(C14H19NO)相差1个−CH2−。因此,确定GC-MS谱库检索结果不正确,目标物并非1-苯基-N-丙基环戊胺。进一步分析该未知物的二级高分辨质谱图,除准分子离子峰外,未知物的主要特征碎片离子有m/z 91.054 0、145.100 9、173.096 0、 117.069 6、 129.069 9、 67.054 3、155.085 5,与2-oxo-PCE的主要特征碎片离子基本一致,由此推断,该未知物的骨架结构与2-oxo-PCE一致。

    • GC-MS和LC-QTOF MS分析结果分别列于表12。可以得出,未知物与2-oxo-PCE的骨架结构基本一致,且其分子质量与2-oxo-PCE相差14 u,部分特征碎片离子也相差14 u,相当于1个−CH2−,只能通过改变2-oxo-PCE结构中N上的乙基为丙基来形成。结合文献[16]报道,推断该未知物为2-丙氨基-2-苯基环己酮,即2-oxo-PCPr,其结构示于图6

      在EI-MS条件下,未知物的分子离子峰[M]m/z 231,其强度较小,主要裂解途径与2-oxo-PCE相似。分子离子先失去CO后生成特征碎片离子[M−CO],再经过电子转移,分别失去C2H5·、C3H7·、C4H9·、C5H11·或C6H13·,形成[M−CO−C2H5·]+、[M−CO−C3H7·]+、[M−CO−C4H9·]+、[M−CO−C5H11·]+或[M−CO−C6H13·]+等特征碎片离子,然后进一步形成䓬鎓离子m/z 91[C7H7]+和苯环离子m/z 77[C6H5]+,同时还形成亚胺正离子m/z 44[C2H6N]+m/z 58[C3H8N]+,可能的裂解途径示于图7

      在ESI-MS条件下,未知物的准分子离子峰[M+H]+m/z 232.169 5,主要裂解途径与2-oxo-PCE相似。准分子离子失去H2O(18 u)生成特征碎片离子[C14H18N]+,继续发生C−N键断裂,失去NH2CH2CH3或NH2CH2CH2CH3(45 u或59 u),生成特征碎片离子[C12H11]+;或者准分子离子先发生C−N键断裂,失去NH2CH2CH3或NH2CH2CH2CH3,生成特征碎片离子[C2H8N]+或[C3H10N]+和[C12H13O]+,[C12H13O]+继续失去CO(28 u)和C2H4O(44 u),生成特征碎片离子[C11H13]+和[C10H9]+,并进一步生成特征碎片离子[C7H7]+,可能的裂解途径示于图8

    • 本文采用GC-MS和LC-QTOF MS法检验真实案件缴获的电子烟油中苯环哌啶类NPS,通过LC-QTOF MS确定精确分子质量,并推断分子式,结合EI-MS和ESI-MS谱图的特征碎片离子和裂解规律,采用结构类似物质2-oxo-PCE进行对比,成功分析出电子烟油中含有新出现的苯环哌啶类2-oxo-PCPr,并推测可能的裂解途径。该方法可为类似案件的毒品分析提供思路。

    参考文献 (16)

目录

/

返回文章
返回