中子星状态方程的天文和实验室研究

上一篇

下一篇

李昂. 中子星状态方程的天文和实验室研究[J]. 原子核物理评论, 2024, 41(1): 308-317. doi: 10.11804/NuclPhysRev.41.2023CNPC36
引用本文: 李昂. 中子星状态方程的天文和实验室研究[J]. 原子核物理评论, 2024, 41(1): 308-317. doi: 10.11804/NuclPhysRev.41.2023CNPC36
Ang LI. Astrophysical and Laboratory Studies on the Equation of State of Neutron Stars[J]. Nuclear Physics Review, 2024, 41(1): 308-317. doi: 10.11804/NuclPhysRev.41.2023CNPC36
Citation: Ang LI. Astrophysical and Laboratory Studies on the Equation of State of Neutron Stars[J]. Nuclear Physics Review, 2024, 41(1): 308-317. doi: 10.11804/NuclPhysRev.41.2023CNPC36

中子星状态方程的天文和实验室研究

    作者简介: 李昂(1981–),女,河南南阳人,博士,教授,从事致密星体物理研究;E-mail: liang@xmu.edu.cn .
  • 中图分类号: O571.53

Astrophysical and Laboratory Studies on the Equation of State of Neutron Stars

    Author Bio: E-mail: .
  • MSC: O571.53

  • 摘要: 中子星致密物质的状态方程具有核天体物理、天体物理、致密QCD相结构等多方面的重要研究意义,对星体的结构、形成和演化等起决定作用。LIGO实现引力波直接探测更是开启了中子星研究的黄金时代。本工作介绍结合核物理和天文对中子星奇异相变、超子疑难、温度和频率演化等方面的研究进展,也将基于目前的多信使观测和状态方程微观参数的模型计算简述区分不同类型中子星的可能方法。
  • 加载中
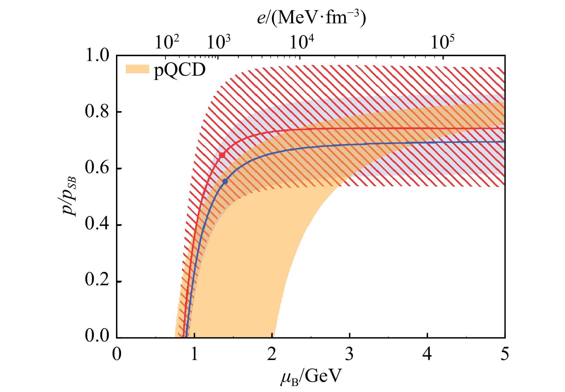
  • 图 1  微扰QCD对冷密QCD物质的计算(以橙色显示)在中子星物质的密度区间(~1 GeV附近)不确定空间大,无法区分不同EoS模型(在线彩图)

    图 2  利用中子星相变g模的动力学潮汐效应限制强子-夸克相变的参数($\varDelta \varepsilon / \varepsilon_{\rm{t}}^{}$, $p_{\rm{t}}^{}/\varepsilon_{\rm{t}}^{}$)空间(在线彩图)

    图 3  典型$ 1.4M_{\odot}^{} $$ 2.0M_{\odot}^{} $中子星结构示意图(并标注中心密度),详见相关文献[5, 9, 27, 44])(在线彩图)

    图 4  中子星(黑线)和混杂星(彩线)的EoS模型与各种引力波多信使观测数据的对比(取自文献[34])(在线彩图)

    图 5  质子流(上图)和超子流(下图)的AMPT模拟结果与RHIC-STAR数据的对比(取自文献[34]) (在线彩图)

    图 6  不同相变机制和不同强子—夸克相变界面时混杂星物质(彩线)和夸克物质(黑线)中的绝热指数$ \varGamma = (\rho+P)({\mathrm{d}}P/{\mathrm{d}}\rho)/P $(上图)和声速$ c_{\mathrm{s}}^{}/c = \sqrt{{\mathrm{d}}P/{\mathrm{d}}\rho} $(c为光速;下图)(取自文献[36])(在线彩图)

    表 1  常用RMF模型和QMF模型下几个关键核物质EoS参数和典型中子星性质的现有结果(90%置信区间)

    参数ASTROASTRO + neutron-skin
    $J_0^{}/ {\rm{MeV}}$RMF$40.315_{-7.253}^{+4.163} $$30.867_{-1.059}^{+1.758}$
    QMF$39.919_{-8.132}^{+4.454} $$30.842_{-1.025}^{+1.851}$
    $K_0^{}/ {\rm{MeV}}$RMF$233.501_{-12.040}^{+33.648} $$230.860_{-9.601}^{+25.270}$
    QMF$246.219_{-15.390}^{+29.475} $$238.606_{-12.161}^{+22.002}$
    $L_0^{}/ {\rm{MeV}}$RMF$36.901_{-14.368}^{+22.028}$$57.015_{-13.372}^{+9.184}$
    QMF$36.723_{-14.595}^{+24.303}$$56.453_{-13.225}^{+10.634}$
    $M_N^*/M_N^{}$RMF$0.755_{-0.022}^{+0.028}$$0.763_{-0.019}^{+0.023}$
    QMF$0.781_{-0.015}^{+0.015}$$0.786_{-0.012}^{+0.012}$
    $R_{1.4}\ ({ {\rm{km}}})$RMF$11.618_{-0.239}^{+0.217}$$11.936_{-0.209}^{+0.167}$
    QMF$11.695_{-0.250}^{+0.225}$$11.974_{-0.233}^{+0.155}$
    $\varLambda_{1.4}^{} $RMF$292.187_{-37.133}^{+29.647}$$323.711_{-35.490}^{+26.277}$
    QMF$306.259_{-41.607}^{+30.381}$$332.145_{-43.056}^{+26.443}$
    注:ASTRO的分析计入GW170817/AT2017gfo + NICER,neutron-skin的分析计入PREX-II 实验和ab initio理论计算。RMF和QMF的计算采用统一的多体拉氏量,核物质饱和性质(如$K_0^{},J_0^{},L_0^{}$)的先验(prior)范围详见文献[24]。
    下载: 导出CSV
  • [1] HASELTINE E. 2002. The 11 greatest unanswered questions of physics. Discover [EB/OL].[2023-07-01]. https://www.discovermagazine.com/thesciences/the-11-greatest-unanswered-questions-of-physics
    [2] 李昂, 胡金牛, 鲍世绍, 等. 原子核物理评论, 2019, 36(1): 1. doi: 10.11804/NuclPhysRev.36.01.001 LI Ang, HU Jinniu, BAO Shishao, et al. Nuclear Physics Review, 2019, 36(1): 1. (in Chinese) doi: 10.11804/NuclPhysRev.36.01.001
    [3] AZIZ A A, AHMAD N S, AHN S, et al. AAPPS Bulletin, 2021, 31: 18. doi: 10.1007/s43673-021-00018-z
    [4] 赖东. 现代物理知识, 2021, 33(5-6): 51. LAI Dong. Modern Physics, 2021, 33(5-6): 51. (in Chinese)
    [5] MIAO Z, JIANG J L, LI A, et al. The Astrophysical Journal, 2021, L22. doi: 10.3847/2041-8213/ac194d
    [6] 马余刚, 许怒, 刘峰. 中 国科学: 物理学 力学 天文学, 2020, 50(11): 112009. MA Y G, XU N, LIU F. 2020, Science China Physics, Mechanics, and Astronomy, 2020, 50(11): 112009. (in Chinese)
    [7] GUO D, et al. European Physical Journal A, 2024, 60: 36. doi: 10.1140/epja/s10050-024-01245-2
    [8] LIU X J, et al. The Astrophysical Journal, 2024, 962: 80. doi: 10.3847/1538-4357/ad17c9
    [9] LI A, MIAO Z, HAN S, et al. The Astrophysical Journal, 2021, 913: 27. doi: 10.3847/1538-4357/abf355
    [10] Watts A L, et al. Science China Physics, Mechanics, and Astronomy, 2019, 62: 29503. doi: 10.1007/s11433-017-9188-4
    [11] MIAO Z, QI L, ZHANG J, et al. arXiv: 2402.02799
    [12] ZHOU E P, ZHOU X, LI A. Phys Rev D, 2018, 97: 083015. doi: 10.1103/PhysRevD.97.083015
    [13] MIAO Z, ZHOU E, LI A. The Astrophysical Journal, 2024, 964: 31. doi: 10.3847/1538-4357/ad27cd
    [14] ZHU Z, LI A, REZZOLLA L. Phys Rev D, 2020, 102: 084058. doi: 10.1103/PhysRevD.102.084058
    [15] ZHU Z, REZZOLLA L. Phys Rev D, 2021, 104: 083004. doi: 10.1103/PhysRevD.104.083004
    [16] MIAO Z, LI A, DAI Z G. Monthly Notices of the Royal Astronomical Society, 2022, 515: 5071. doi: 10.1093/mnras/stac2015
    [17] LI A, MIAO Z Q, JIANG J L, et al. Monthly Notices of the Royal Astronomical Society, 2021, 506: 5916. doi: 10.1093/mnras/stab2029
    [18] LI A. Chin Phys Lett, 2015, 32: 079701. doi: 10.1088/0256-307X/32/7/079701
    [19] LI A, DONG J M, WANG J B, et al. The Astrophysical Journal Supplement Series, 2016, 223: 16. doi: 10.3847/0067-0049/223/1/16
    [20] SHANG X L, LI A. The Astrophysical Journal, 2021, 923: 108. doi: 10.3847/1538-4357/ac2e94
    [21] ZHU Z, LI A, LIU T. The Astrophysical Journal, 2023, 943: 163. doi: 10.3847/1538-4357/acac1f
    [22] LI A, et al. Phys Rev D, 2016, 94: 083010. doi: 10.1103/PhysRevD.94.083010
    [23] LI A, ZHU Z Y, ZHOU X. The Astrophysical Journal, 2017, 844: 41. doi: 10.3847/1538-4357/aa7a00
    [24] ZHU Z, LI A, HU J, et al. Phys Rev C, 2023, 108: 025809. doi: 10.1103/PhysRevC.108.025809
    [25] LI A, HU J N, SHANG X L, et al. Phys Rev C, 2016, 93: 015803. doi: 10.1103/PhysRevC.93.015803
    [26] ZHU Z Y, LI A. Phys Rev C, 2018, 97: 035805. doi: 10.1103/PhysRevC.97.035805
    [27] ZHU Z Y, ZHOU E P, LI A. The Astrophysical Journal, 2018, 862: 98. doi: 10.3847/1538-4357/aacc28
    [28] ZHU Z Y, LI A, HU J N, et al. Phys Rev C, 2019, 99: 025804. doi: 10.1103/PhysRevC.99.025804
    [29] LI A, ZHU Z Y, ZHOU E P, et al. Journal of High Energy Astrophysics, 2020, 28: 19. doi: 10.1016/j.jheap.2020.07.001
    [30] LI A, BURGIO G F, LOMBARDO U, et al. Phys Rev C, 2006, 74: 055801. doi: 10.1103/PhysRevC.74.055801
    [31] LI A, ZUO W, SCHULZE J H, et al. Chin Phys Lett, 2008, 25: 4233. doi: 10.1088/0256-307X/25/12/013
    [32] LI A, ZHOU X R, BURGIO G F, et al. Phys Rev C, 2010, 81: 025806. doi: 10.1103/PhysRevC.81.025806
    [33] ZHU Z Y, LI A, HU J N, et al. Phys Rev C, 2016, 94: 045803. doi: 10.1103/PhysRevC.94.045803
    [34] LI A, YONG G C, ZHANG Y X. Phys Rev D, 2023, 107: 043005. doi: 10.1103/PhysRevD.107.043005
    [35] LI A, ZUO W, PENG G X. Phys Rev C, 2015, 91: 035803. doi: 10.1103/PhysRevC.91.035803
    [36] XIA C, ZHU Z, ZHOU X, et al. Chin Phys C, 2021, 45: 055104. doi: 10.1088/1674-1137/abea0d
    [37] ZHOU X, LI A, LI B A. The Astrophysical Journal, 2021, 910: 62. doi: 10.3847/1538-4357/abe538
    [38] YUAN W L, CHAO J, LI A. Phys Rev D, 2023, 108: 043008. doi: 10.1103/PhysRevD.108.043008
    [39] WITTEN E. Phys Rev D, 1984, 30: 272. doi: 10.1103/PhysRevD.30.272
    [40] YUAN W L, LI A, MIAO Z, et al. Phys Rev D, 2022, 105: 123004. doi: 10.1103/PhysRevD.105.123004
    [41] MIAO Z, LI A, ZHU Z, et al. The Astrophysical Journal, 2020, 904: 103. doi: 10.3847/1538-4357/abbd41
    [42] LI A. European Physical Journal Web of Conferences, 2022, 260: 04001. doi: 10.1051/epjconf/202226004001
    [43] LI A, ZUO W, MI A J, et al. Chin Phys, 2007, 16: 1934. doi: 10.1088/1009-1963/16/7/021
    [44] SUN X, MIAO Z, SUN B, et al. The Astrophysical Journal, 2023, 942: 55. doi: 10.3847/1538-4357/ac9d9a
    [45] MIAO Z, ZHU Y, LI A, et al. The Astrophysical Journal, 2022, 936: 69. doi: 10.3847/1538-4357/ac8544
  • 加载中
图( 6) 表( 1)
计量
  • 文章访问数:  1113
  • HTML全文浏览数:  1113
  • PDF下载数:  5
  • 施引文献:  0
出版历程
  • 收稿日期:  2023-07-20
  • 网络出版日期:  2024-03-15
  • 刊出日期:  2024-03-20

中子星状态方程的天文和实验室研究

    作者简介: 李昂(1981–),女,河南南阳人,博士,教授,从事致密星体物理研究;E-mail: liang@xmu.edu.cn
  • 厦门大学天文学系,福建 厦门 361005

摘要: 中子星致密物质的状态方程具有核天体物理、天体物理、致密QCD相结构等多方面的重要研究意义,对星体的结构、形成和演化等起决定作用。LIGO实现引力波直接探测更是开启了中子星研究的黄金时代。本工作介绍结合核物理和天文对中子星奇异相变、超子疑难、温度和频率演化等方面的研究进展,也将基于目前的多信使观测和状态方程微观参数的模型计算简述区分不同类型中子星的可能方法。

English Abstract

  • 中子星是宇宙中最致密的可观测天体。它诞生于大质量恒星死亡之时,既拥有极强的引力,又有着极高的密度,远超我们在实验室中创造出的任何物质。“在超高温高密下有怎样的新物态?”(What Are the New States of Matter at Exceedingly High Density and Temperature?)属《从夸克到宇宙:新世纪的11个科学问题》之一[1]。中子星致密物质状态方程(EoS,即压强随密度的依赖关系)是核天体物理交叉学科领域的前沿研究,不论是对揭秘非微扰量子色动力学(QCD),还是对理解和预言中子星的多信使辐射,都具有重要科学意义和价值[23]。美国、欧洲最近的核物理长期规划(Long Range Plan)都明确提出将其作为主要研究内容之一。2020年Nature主页刊文“中子星物理学的黄金时代已经到来”(The golden age of neutron-star physics has arrived)。

    人们虽然可基于实验室原子核提取核饱和密度($ n_0^{} = 0.16\;\text{fm}^{-3} $$ \rho_0^{} = 157.065\;\text{MeV} {\boldsymbol{\cdot}} \text{fm}^{-3} $)附近物质的基态,但在$ n_0^{} $之上,由于费米动量高,已知的核多体有效理论遭遇高密外推的模型依赖,QCD的格点计算也受到符号问题的限制。如图1,除了在渐近自由允许微扰计算的极高密度的情况下,提取致密物质的QCD预测非常困难,几乎不可能直接通过求解QCD得到中子星EoS。在当前中子星研究的引力波多信使年代,日益累积的观测对中子星的结构提出了越来越严格的限制,中子星的观测也有望成为了解高重子数密度物质物理性质的一个独特窗口。然而,现阶段中子星结构和EoS的研究依然困难重重,需要采用“大科学”的方法,依赖不同领域科学家之间的合作 1

    本文将对我们近些年关于中子星EoS的研究做一个小结。该文将遵循以下结构:第1节介绍相关的实验室和天文观测数据;第2节利用这些数据来限制几种中子星EoS,报告几个关键问题的研究进展;第3节加以总结并展望。

    • 中子星属极端富中子物质。EoS同位旋对称部分的关键参数(如不可压缩系数,记作K)已有基于原子核巨共振(ISGMR)和重离子碰撞(HIC)实验的相关限制;EoS同位旋非对称部分的核物质对称能(记作J)和对称能斜率(记作L)也可通过HIC、偶极共振、电偶极极化率、中子皮厚度等实验研究得到。国内兰州重离子研究装置-冷却储存环(HIRFL-CSR)和即将建成的强流重离子加速器装置(HIAF)会产生重子密度约750~850 MeV的重离子束流,开展的核力、核对称能、致密QCD相结构等研究,为研究中子星EoS提供了巨大的机遇[67]

    • 广义相对论将致密物质EoS与中子星的质量-半径关系之间的关系联系起来。旋转、磁场和有限温度仅对中子星的质量和半径关系有小幅修正。

      人们已比较精确地测得了一些在双星系统中的脉冲星的质量,并且不断刷新了脉冲星的最大质量。中国天眼FAST有望发现极大或极小质量及亚毫秒极端快转的脉冲星[8]。目前为止,人们观测到的最重的脉冲星是PSR J0740+6620,它的质量一开始报道为$ M = 2.14_{-0.10}^{+0.09} \, M_\odot^{} $,接着又被更新为$ M = (2.08 \pm 0.07) M_\odot^{} $。人们通常采用脉冲星质量测量值的中值(如对于PSR J0740+6620取为$ 2.08M_\odot^{} $)或68%下限(如对于PSR J0740+6620取为$ 2.01M_\odot^{} $)作为致密星的最大质量的下限,也就是说如果一个EoS持不了这么大的质量将会被排除。不过实际测量都是带有误差的,脉冲星质量的真实值也可能小于我们设置的下限,因此这种做法可能会带来一些统计上的偏差。一个更自然的做法是全面地考虑质量测量的分布[9]

      NICER合作组对脉冲星的质量半径测量基于对脉冲星表面X射线辐射的脉冲轮廓建模(Pulse Profile Modeling, PPM)。脉冲星表面存在一块热斑,随着脉冲星转动,热斑辐射的X射线会呈现周期性变化,光变曲线表现为正弦函数。当星体自转频率较大时,多普勒效应、相对论效应(引力红移、时间延迟、光线偏折等)会使得光变曲线偏离正弦函数 2。由于这些效应依赖于脉冲星的质量半径,可通过对光变曲线的细致建模,并结合实测的数据,就能提取星体的质量半径信息。至目前为止,利用PPM技术,NICER合作组成功测得了大小两颗脉冲星的半径:PSR J0030+0451(质量$ M \sim 1.4M_{\odot}^{} $)和PSR J0740+6620(质量$ M \sim 2.0 M_{\odot}^{} $),并公布了质量半径测量的完整数据 3。高动态范围和高信噪比的高能天文观测设备(比如由中国发起和主导的重大国际合作空间科学项目−eXTP空间天文台)将在空间运行,eXTP的甚大探测面积、高时间分辨以及良好的能量分辨能力,有助于实现远优于NICER对中子星质量半径的精确测量[1011]

    • 中子星双星在旋近阶段的引力波波形携带着双星的质量和潮汐形变(tidal deformability)信息,可从引力波信号中提取这些信息。在准平衡潮汐近似下(即认为潮汐场变化缓慢),其对引力波波形的影响可以用潮汐形变参数来描述(由偶宇称四极潮汐形变主导,记作$ \varLambda $)。截至目前,LIGO/Virgo已经探测到了两例双中子星并合事件GW170817和GW190425 4。对于GW170817,LIGO/Virgo对GW170817并和致密系统的潮汐形变给了一个干净的观测限制,可有效排除过硬的EoS;而对于GW190425,由于其低信噪比以及组合潮汐形变较小,因而潮汐形变的测量精度不高,可作为附加限制。特别地,在夸克星(quark star)情形,其最大质量和潮汐形变存在着很好的幂指数相关性[12],为将来通过脉冲星和引力波观测进一步限制夸克物质模型提供便利。

      但是在双星旋近阶段的后期(late inspiral),轨道频率逐渐开高到几百乃至上千赫兹,此时潮汐场的变化频率可能会接近中子星的某个模式的本征频率,轨道运动与星体振荡将产生共振,这一过程将极大地提高星体的振荡幅度并将一部分轨道能量转移到星体振荡上来,从而影响轨道的衰减以及引力波辐射,这种潮汐效应为动力学潮汐(dynamical tide)。最近,Miao等[13] 对核心存在强相互作用一阶相变的中子星的潮汐激发g模进行首次自洽的广义相对论计算,并进一步得到其对引力波波形的影响,揭示了动力学潮汐有望被新一代aLIGO和第三代引力波探测器(ET和CE)探测到 5,助力研究中子星最不清楚的高密核心物态[13]图2显示了第三代引力波探测器对上述g模共振信号的探测能力。既然下一代引力波探测器能够更精确地测量潮汐形变(甚至可以检测并合后铃宕阶段的千赫兹高频引力波信号),那么研究潮汐形变的高阶项贡献是有必要的。比如,Zhu等[14] 对磁场潮汐形变的研究,显示其有可能被第三代引力波探测器测出,并有望帮助中子星和夸克星的辨别。

      对于后并合时期(post-merger)的引力波,其过程非常复杂,无法用解析的或微扰的方法对其进行分析,只能借助于数值相对论的模拟。相关有趣的发现比如:双星并合时的瞬时频率 及在后并合引力波信号的频谱中找到的三个频率峰值,与潮汐形变存在某种对EoS不敏感的准普遍性关系(universal relation),而发生相变的中子星结果显著偏离该准普遍性关系。对于双夸克星的并合情况,由于夸克星的有限表面密度使数值模拟面临困难,更是鲜有这方面的研究工作。近期,Zhu等[15]在完全的广义相对论的基础上成功模拟了双夸克星的并合,并分析了后并合相引力波信号以及抛射物的性质。相对于强子星,夸克星并合的动力学外流的略小于强子星的(约20%);而且夸克星的抛射物分布中,高速或高熵的尾巴缺失,这或许对应着一些千新星(kilonova)(见1.6节)的观测现象,也能帮助人们区分中子星和夸克星。

    • PSR J0737-3039A/B是首个被发现的脉冲双星系统,其轨道周期只有2.4 h,因而相对论效应显著。通过对该系统脉冲到达时间(TOA)的观测,可以得到表征该系统相对论性轨道运动的后开普勒参数。对后开普勒参数的拟合可以精确测定A、B两颗星的质量。长时间的TOA数据使得人们能将相对论的自旋-轨道耦合(Lense-Thirring效应)从总的轨道相对论效应中分离出来,以此可测得脉冲星的转动惯量(moments of inertia,记作I)。目前利用脉冲星计时得到最新的转动惯量测量结果为$ I_A^{}<3\times10^{45}\,{ {\rm{g}}\cdot {\rm{cm}}^2} $,这个结果的误差依然很大,因此对限制EoS无益。相关模拟研究表明,到2030年,基于平方公里阵列射电望远镜(SKA)对A星转动惯量的测量误差有望降至约10%。

      基于两个引力波事件(GW170817和GW190425)和NICER观测对两颗脉冲星(PSR J0030+0451和PSR J0740+6620)质量半径的测量对混杂星(hybrid star)和夸克星EoS给出的限制,Miao等[16] 预研了如果A星是混杂星和夸克星情况下的转动惯量,作为相关纯中子星结果的补充和对比。那么未来可能的10%精度的转动惯量测量会对中子星EoS、内部结构和微观物理带来什么样的新认识?基于Miao等[16] 中中子星/混杂星与夸克星相关结果的比较,也许未来确能结合脉冲星的半径和转动惯量的测量来区分夸克星和中子星/混杂星。

      此外,在十年前左右,人们也发现了 中子星转动惯量与潮汐形变之间的准普遍关系(又称I–Love关系)(详见文献[15] 中的相关讨论)。I–Love关系主要依赖于低密度壳层部分的EoS(文献中常采用BPS+NV模型),所以有夸克物质核心的中子星(即混杂星)与中子星的I–Love关系一致,而夸克星由于其自束缚的特性,相同的致密度下夸克星物质分布更均匀而混杂星的物质分布更集中于星体内层,从而与中子星呈现出不同的$ \bar I- {\cal{C}} $关系(其中$ {\cal{C}} = M/R $为致密度),可作为鉴别两者的理论依据。这里也顺便提及:夸克星与中子星在结构上有一个本质的不同,即夸克星没有处于中子滴出密度(~0.24 MeV fm−3)和核饱和密度的内壳层。Li等[17] 假设NICER脉冲星具有与中子星类似的外壳层。这一薄层围绕其夸克物质核心,可能由静电力支撑,浮在星体表面。结果发现,壳层会使其典型半径的分析结果略有增加(约小于2%),而对夸克星最大质量的影响或可忽略。

    • 脉冲星通常被简单地描述为巨型的旋转偶极子,由于辐射损失能量,一般会自转减慢(spin down),然而旋转频率偶尔会突然增加(周期跃变,glitch),再经历数天或数月恢复至跃变前的频率值。脉冲星周期跃变目前被解释为其内部存在超流(superfluid)成分的证据。在一个简化的模型中,周期跃变是由脉冲星中某些超流区域与星体(内)壳层的角动量快速交换引起的。超流涡旋(vortex)因被钉扎(pinned)在壳层的原子核晶格中,所以不随星体自转减慢,允许存储角动量。涡旋与晶格的相互作用(mutual friction)可使两者耦合,超流成分与其余部分的解耦和重新耦合对应观测到的周期跃变和恢复。地面实验室里He II超流体的跃变现象为超流涡旋的跃变机制提供了一定支持。脉冲星的跃变观测提供了一种独特的方式来探测中子星的内部结构和动力学演化[1819]

      若要基于跃变观测对脉冲星类天体进行计算,至关重要的是采用对星体物质状态和结构的微观描述。最近一个对脉冲星周期跃变的计算[20]基于两个代表性的微观Brueckner和相对论Brueckner多体理论(即BHF和RBHF),以现实(realistic)核力作为基本输入,没有任何可调参数,且已通过地面核实验和天文观测数据的检验。Shang等[20]主要审视了船帆座(Vela)脉冲星2000年跃变的跃变幅度和跃变约1分钟后的短期恢复数据,发现跃变观测支持船帆座脉冲星是一颗小质量的中子星,典型半径为约12.5 km,且中子的超流能隙受核介质的极化(polarization)程度较大。期待将来高精度设备(比如SKA)对脉冲星的计时观测获得更多信息,进一步深入研究脉冲星结构和验证跃变理论。

    • 双中子星并合的光学/近红外对应体(如在GW170817引力波探测后10 h探测到千新星事件AT2017gfo)辐射来自从双星并合抛射出的富中子物质的r过程核合成衰变。

      千新星的观测不仅丰富了我们对宇宙中重元素丰度的认识,有助于揭示并合致密天体的类型,还可有效地约束并合中子星内部的致密核物质性质和EoS:EoS决定着中子星的半径和潮汐形变,其大小与双中子星并合时的碰撞强度相关,并因此决定了碰撞后的抛射物的质量、速度和电子比率等性质。比如,软EoS(即小的星体半径)意味着更剧烈的碰撞和更有效的加热,进而产生更多更高速高温的抛射物,进一步引发弱相互作用和中微子发射,对抛射物的电子比率产生影响。而抛射物的性质是计算其后续的r过程核合成和千新星辐射的关键输入量。一般认为,主要集中在轨道平面上的低电子比率($ Y_e^{}<0.1-0.2 $)的抛射物质将进行充分r过程核合成,产生大量镧系元素,镧系元素导致的高不透明度导致轨道平面上的抛射物成为“红”成分;另一方面,沿极向抛射的物质主要由激波加热贡献,具有高电子比率($ Y_e^{}>0.25 $),只会经历部分r过程核合成,其镧系元素合成受到抑制。因此,极向抛射物的不透明度相对较低,被称为“蓝”成分。为了解释AT2017gfo的观测数据,需要引入多个不同的辐射成分。

      文献中通常采用参数化EoS模型来分析千新星,例如分段多方(piecewise polytropes)或谱参数化(spectral parametrization)。这些方法限制了研究者仅能探讨其物质系统$ P \text{-} \rho $函数,而无法研究致密核物质的物态。Zhu等[21] 基于千新星模型将抛射物特性(抛射质量、速度、不透明度或电子比率)和双星参数(质量比和潮汐形变)及星体EoS联系起来,通过重现AT2017gfo光变曲线的重要特性,结合LIGO/Virgo的引力波观测以及NICER对中子星质量和半径的X波段测量,直接对关键核物理参数(包括核不可压缩性K、核对称能J及介质中单核子有效质量$ M_N^* $)进行推断。从AT2017gfo分析中发现,潮汐形变的后验分布显示出双峰结构,第一个峰值被GW170817的引力波数据增强,而第二个峰的取值因不被核实验得到的经验核物质性质支持而直接排除。

    • 伽马暴(Gamma-Ray Burst, GRB)是人们观测到的最为极端相对论性的天体源之一,是来自宇宙空间的伽马射线波段的瞬时增亮现象。按持续时间可分为长、短两类。双致密星并合模型作为短暴的起源已有30多年的研究历史。自2010开始SWIFT卫星在短暴中观测到主暴之后的X射线平台相,持续时间约300 s,随即极速衰减。目前还缺乏理论模型来解释这一观测结果。

      双中子星并合是短暴一种可能的物理解释。并合后的产物可能有三种:黑洞、稳定的中子星、短寿命中子星(包括由较差旋转支撑的hypermassive中子星和由均匀旋转支撑的supramassive中子星)。短寿命超大中子星以接近开普勒极限快速旋转,会在一定时标内(比如秒的量级)塌缩成为黑洞,这一过程可能对应着在一些短暴余辉中观测到的平台相。Li等[22] 通过严格求解广义相对论下快速转动中子星结构方程,基于SWIFT卫星2005/01至2015/10期间21个具有平台的短暴样本,计入引力波辐射的能耗,通过模拟全部三个观测量(爆发时标,光度,电磁辐射能),得到了对星体椭率、初始自转、表面磁场的自洽描述。特别地,通过将中子星和夸克星两类物态输入的计算对比,发现这种X波段平台很可能是双星并合产生一个夸克星的信号。短暴X射线平台可以作为区分中子星和夸克星的一种可能途径。另外,千新星的产生也可能与此并合图像有关,而三种并合产物所占的相对比例与中子星最大质量(见2.3.1节)和初始频率有密切关系[23],所以可以通过今后更好的千新星和短暴观测统计研究帮助解开致密物质EoS的谜团。

    • 在最简单的假设下,中子星核心是由中子、质子、轻子在弱相互作用下处于平衡状态的电中性均匀流体。即使如此简化,从基本的核相互作用微观确定中子星EoS仍然是一个艰巨的理论问题。表1展示了几个关键核物质EoS参数和典型中子星性质的现有结果[24]

      值得一提的是,单核子的性质在自由空间和核介质中应有所不同[2526],然而大多数核物理模型都是基于类点状核子建立起来的。因此为了更微观地描述核物质性质,需要能自洽处理核子性质的核物理模型,即从夸克层次出发的模型[27]。Zhu等[28] 尝试结合已有的两种夸克层次模型−袋模型和势模型 6。基于这个夸克层次的新模型,Zhu等[28] 发现袋的引入能降低结合能并增加核物质对称能,进而影响典型中子星的半径。更详细的讨论可查看最近的综述文章[29]

    • 高重子数密度下的物质性质是核物理学和天体物理学一个关键的未解问题,也是长期以来与中子星物理直接相关的难题。在数倍核密度的中子星高密核心,可能存在超子、介子凝聚、核子共振态 7,甚至是夸克物质。各种典型中子星结构如图3所示。由于非微扰难题,该密度区间的物态性质也无法直接由强相互作用第一性原理QCD理论进行计算。目前,物理和天文学界正做出大量努力对此基础科学问题进行攻克。

      Li等[34] 从两个方面分析了提取致密物质奇异相变参数的可能性:一方面是HIC实验,另一方面是中子星及其并合观测(大混杂星[35]的可能性已被人们接受)。为此,相变密度及其强度计算要一方面重现HIC实验中产生的粒子直接流和椭圆流,另一方面重现天体物理学中的引力波多信使观测数据(已在图4中显示)。初步分析显示了(夸克退禁闭)相变参数在两类致密核物质中的一致性:β平衡下丰中子的冷中子星物质和近同位旋对称的热密HIC物质。如图5所示,3 GeV/n金-金碰撞的各向异性质子流的测量可有效约束相变临界性质,而4.5 GeV/n更高能量下的质子流数据可有效约束高密度夸克物质状态方程的硬度;另外,超子流在限制EoS方面不如质子流有效。

    • 近期,人们发现了越来越多质量介于中子星和黑洞质量间隙(mass gap)的致密天体。尽管已有许多研究工作,但区分这两类天体仍具有挑战性。这主要由于中子星的EoS不确定,从而其最大质量未知。中子星的最大质量也对具有质量间隙天体的双星系统的形成及其并合率、千新星探测、中子星质量谱以及通过其旋近后期及并后的引力波和电磁波信号对两者的鉴别等很多方面具有重要意义。

      理论上,可以基于中子星EoS求解Tolman-Oppenheimer-Volkoff (TOV)方程(爱因斯坦方程在球对称和流体静力学平衡下的方程)构造相对论星体的稳定构型,从而自然求得中子星的最大质量。由于中子星的核心密度可高达数倍核饱和密度,因此描述中子星中致密物质时仅考虑强子和轻子自由度是不够的。另外,是否在中子星EoS的先验假设里考虑强相互作用相变也会导致观测数据不同的贝叶斯分析结果。特别需要指出的是,LIGO/Virgo和NICER工作组的分析通常采用分段多方的参数化EoS,未包含可能的相变。

      Li等[9] 在中子星EoS中引入强子-夸克相变,使用LIGO/Virgo和NICER的已有数据对具有夸克核心的中子星的最大质量进行贝叶斯分析,并采用了软硬两种代表性强子EoS(QMF和DD2)进行分析以测试低密度强子物质的影响。结果显示对强子物质EoS依赖性不大。在90%的置信度下得到的最大质量为$ \sim 2.2M_{\odot}^{} $[16]。鉴于此分析的先验空间只受一些最一般的物理条件(比如星体稳定性、因果率等)所限制,分析结果应可适用于其他形式的高密相变(比如2.3.3节对超子相变的分析也得到了类似的结果)。此最大质量的研究结果对黑洞的最小质量有重要意义,也有助于确定mass gap致密天体的本质。比如,它支持GW170817的并后产物是快转的超大质量中子星,而GW190425并后应该更可能产生黑洞。后续对恒星演化的研究有望澄清这些结果。进一步考虑的话,如果GW170817并后确实产生大质量中子星,可能表明存在一个长寿命的短暴引擎,为暴后的延展辐射供能,这样相当大部分的中子星并合事件将伴随明亮的X射线辐射,这样中子星最大质量的相关结果可进一步通过(比如爱因斯坦探针EP)对双星并合引力波源X射线对应体的监测来进行验证[11]

      2019年4月1日,升级后的LIGO/Virgo开始第三轮探测工作。探测到$ 26M_{\odot}^{} $的黑洞与$ 2.6M_{\odot}^{} $的天体并合成$ 25M_{\odot}^{} $(GW190814),这对致密天体的研究提供了宝贵的案例。一个未解之谜是:这颗$ 2.6M_{\odot}^{} $的天体是大质量的中子星还是小质量的黑洞?Zhou等[37] 采用满足所有目前已知核物理和天体物理约束条件的中子星EoS,利用19个低质量X射线双星(LMXB)的已有观测对中子星r模稳定性条件进行限制,推出GW190814的$ 2.6M_{\odot}^{} $神秘天体是一颗超大质量、超快转脉冲星的可能物理参数空间:温度应低于约3.9×107 K,相应旋转频率高于870.2 Hz(0.744倍其开普勒频率1169.6 Hz),帮助人们进一步了解恒星演化和大质量中子星的形成机理。

    • 对于QCD物质的相图,人们知道核饱和密度附近的自由度是强子,在超高密度是色味锁定相(color-flavor locked, CFL)的夸克物质,但中等密度(数倍于核饱和密度)的相态未知(有关该领域最新进展,可参考文献[38])。

      表征致密物质的一种方法是通过声速,其定义是$ c_{\mathrm{s}}^{}/c = \sqrt{{\mathrm{d}}P/{\mathrm{d}}\rho} $(c为光速)。对于无质量(massless)超相对论(ultrarelativistic)粒子构成的气体,$ c_{\mathrm{s}}^{}/c = \sqrt{1/3} $:因此值适用所有具有共形对称的系统,一般也称共形极限(conformal limit);进一步计入粒子的有限质量和粒子间的(微扰)相互作用就会将声速降至低于$ \sqrt{1/3} $:这就是QCD在渐近高密度(或温度)下允许微扰计算的情况。人们继而很自然地推测:中等密度(数倍核饱和密度)物质中的声速值将处于光速和共形极限这两个极限值之间,然而,前人的理论计算显示致密物质中声速的密度依赖可能会因为发生相变产生特定的形状,与复杂的非微扰QCD性质密切相关。

      根据1970年代基于简单MIT袋模型的定量研究[39],中子星甚至可能完全由奇异夸克物质(uds夸克物质)组成;也有学者提出,考虑夸克气体的味依赖反馈,两味夸克物质(ud夸克物质)会比uds夸克物质更稳定。区别于通过引力束缚的中子星,这种ud或uds夸克星通过强相互作用自束缚稳定存在(Witten hypothesis)。夸克物质的绝对稳定性(即夸克物质是重子物质的真正基态),可能对诸多天体物理学和宇宙学的热点问题产生关键影响(例如宇宙线、超新星、短伽马暴、快速射电暴、脉冲星glitch)。

      鉴于高密下存在非微扰难题,而从头算量子蒙特卡罗模拟会遇到费米子符号问题的困难,无法从第一性原理QCD直接进行计算。自束缚夸克物质星(简称夸克星)自Witten hypothesis以来几十年间未被证实或排除,研究进展也比较缓慢。Yuan等[40]采用具备QCD基本对称性的唯象Nambu-Jona-Lasinio (NJL)模型,在原来拉氏量的基础上通过引入Fierz transformation考虑费米子的重排效应,将夸克交换道中的贡献纳入其中,进而,在平均场近似的基础上得到夸克物质EoS,寻找自束缚夸克物质能够稳定存在的物理参数空间。在ud和uds夸克物质稳定存在的参数窗口,利用TOV方程构建处于流体静力学平衡的质量-半径稳定构型,并且与目前的观测结果(PSR J0030+0451和PSR J0740+6620的热X射线观测及GW170817双中子星并合事件的引力波观测)相比较。结果表明,ud夸克星和uds夸克星都可与目前的质量、半径和潮汐形变限制相协调;ud夸克星允许的最大质量大于uds夸克星,最高可达$ 2.7M_{\odot}^{} $,所以具有更高的不可压缩性。进一步与中子星中的密度和声速性质作比较,我们发现:ud和uds夸克星中的声速都是单调上升的,并在高密超过(微扰QCD)共形极限,这与基于简单MIT模型中在假设夸克近自由的情况下得到的近共形极限的常声速结果有显著不同;而中子星中的声速可远超共形极限的特征行为可自然基于其和夸克星在结构上的巨大差异来理解。比如,从两类星体的密度分布可以看出:ud和uds夸克星都具有接近核密度的巨大表面密度,核心密度仅比表面高几倍,而中子星从表面和核心有14个量级的密度变化。

      我们进而系统研究了中子星、夸克星、混合星中致密物质的声速和绝热指数的性质[36]。具体地,核物质的研究采用了RMF (relativistic mean-field)、QMF (quark mean-field)、BHF (Brueckner-Hartree-Fock)和变分 (variational)法,夸克物质的研究采用了MIT袋模型、微扰(perturbation)模型、价粒子(equivparticle)模型和准粒子(quasiparticle)模型,计算也同时考虑了不同相变机制和不同强子—夸克相变界面的影响(如图6所示)。主要结论是:除了夸克退禁闭相变之外,还可以通过非微扰QCD相互作用来实现前人提出的声速的特征行为,即声速和绝热指数这些物态的微观参数并不能有效地表征致密物质在致密星相关中等密度下的物态组成。更详细的讨论可查阅文献[4142]。

    • 超子(hyperon)是含奇异夸克的重子。超子可以在粒子加速器中通过核子和介子之间或核子之间的碰撞产生。它们是短寿命粒子,在大约10−10 s的时间内衰变为核子和介子。超子可以与质子和中子结合,形成奇异的不稳定原子核,称为超核(hypernuclei),其研究对超子和核子之间的相互作用极具价值。另一方面,在数倍核饱和密度下,超子预计会出现在中子星物质中[43]。超子形成的原因很简单:主要是由于核子和轻子的费米子性质,这使得它们的化学势随密度迅速增加。一旦核子和轻子的化学势变得足够大,能量最高的中子(即费米表面的中子)就可以通过弱相互作用衰变成超子,形成新的超子费米海。超子的存在可能强烈影响中子星的结构、冷却、自旋演化及中子星并合的动力学和引力波多信使辐射。比如,包含超子的模型计算都预言了中子星内较低的超子阈值,这造成超子的出现使中子星最大质量很可能无法满足$ \sim 2M_{\odot}^{} $观测限制,称为“超子疑难”(hyperon puzzle)。

      理论上,自手性有效场论中QCD对称性出发的重子相互作用理论近年来取得了重大进展。然而,有奇异数(strangeness)的重子相互作用仍然很不确定。为了研究中子星中的超子出现及性质,Sun等[44]特别结合了最近由超核单超子分离能得到的超子耦合参数间的强相关关系,使用LIGO/Virgo检测到的GW170817双中子星并合的潮汐形变测量值和NICER对PSR J0030+0541和PSRJ0740+6620的质量半径测量值,对超子-核子相互作用进行贝叶斯推断。结果发现:超子间不仅有大质量中子星观测要求的大矢量排斥,也需有足够大的标量吸引以满足单Λ超核的实验约束。超子阈值可以低至$ \sim 1.5n_0^{} $;超子星的最大质量最多为$ 2.176^{+0.085}_{-0.202}M_{\odot}^{} $(68%置信区间)。这种结合超核的实验室测量及中子星的多信使观测的新研究策略有望提供对奇异重子相互作用的准确和可靠的描述,无疑有助于中子星超子疑难的解决。

    • 现代天文学与宇宙学的观测表明,暗物质约占宇宙总物质能量的25%,而我们常见的普通重子物质占比只有不到5%。暗物质主导了宇宙大尺度结构的形成与演化,然而暗物质的质量范围、参与的相互作用形式与强度等粒子属性仍有待于观测上的进一步的限制。中子星是宇宙中最致密的天体,其强引力场和极端致密的物理环境为我们研究暗物质提供了一个特别的场所。一方面,中子星可以通过引力俘获、中子暗衰变、超新星爆发中的热产生等方式积聚一定质量的暗物质(依赖暗物质粒子属性和具体的物理过程)。另一方面,这些富集的暗物质也会对中子星的一些性质产生影响。因此,通过对中子星的天文观测,我们可以反过来推测暗物质的相关性质。

      暗物质在中子星内的分布有两种构型:暗物质晕和暗物质核(取决于暗物质和普通物质的半径大小)。Miao等[45]发现可以通过比较暗物质和普通物质的中心焓来区分这两种构型。暗物质晕/核对中子星的性质影响的差异可以很大。对暗物质核而言,暗物质聚集在星体内部,其引力会更早地引起整个星体的塌缩,从而显著降低中子星的极限质量。相反,对于暗物质晕,其主要弥散地分布在星体外部,星体内部暗物质含量很小,此时不会降低反而会增加极限质量。从普通重子物质半径的角度来看,暗物质核的引力效应会导致重子半径有一定的收缩;而暗物质晕则不会对重子物质半径有显著影响。

      特别地,暗物质晕的引力势会对中子星表面的光线弯曲有额外贡献,可能会影响人们用PPM技术反推质量半径。Miao等[45]进一步求解了有暗物质晕情况下中子星的引力场,并通过光线追踪方法计算了接收到的X射线辐射流量随时间的变化,得到了存在晕时的脉冲轮廓。通过与没有晕的情况对比,结果发现,暗物质晕的引力势对光线弯曲的额外贡献取决于暗物质晕的质量($ M_{\rm{halo}} $)和暗物质晕的半径($ R_{\rm{D}} $)的比值。对于比较致密的暗物质晕,如$ M_{\rm{halo}}/R_{\rm{D}} \sim 0.01 $,X射线流量的改变约为10%,未来更精确的X射线观测有可能能探测到这样的强度改变。基于目前NICER合作组基于PPM测得的两颗中子星的质量半径测量数据,在自相互作用费米型的非对称暗物质模型框架下,考虑这两颗中子星是暗物质晕的构型,可给出暗物质粒子质量上限为1.5 GeV。

    • 中子星是现代物理和天体物理学的一个经典主题。它的发现被授予1974年诺贝尔物理学奖。英国女科学家乔瑟琳·贝尔·伯奈尔(Jocelyn Bell Burnell)也因发现脉冲星获得了2018年基础物理学特别突破奖(Special Breakthrough Prize in Fundamental Physics)。中子星致密物质EoS这一核天体物理交叉领域的难题,目前还有诸多问题需要澄清。但是,随着核物理学和多信使天文学多样化新数据的出现及不同领域科学家的共同努力,答案必将最终浮出水面。

    参考文献 (45)

目录

/

返回文章
返回