2024 Volume 33 Issue 3
Article Contents

Zi Wang, Xin Peng, Shengnan Zhang, Yahui Su, Shaodong Lai, Xuan Zhou, Chunxiang Wu, Tingyu Zhou, Hangdong Wang, Jinhu Yang, Bin Chen, Huifei Zhai, Quansheng Wu, Jianhua Du, Zhiwei Jiao, Minghu Fang. Negative magnetoresistance in the antiferromagnetic semimetal V1/3TaS2[J]. Chinese Physics B, 2024, 33(3): 037301. doi: 10.1088/1674-1056/ad18aa
Citation: Zi Wang, Xin Peng, Shengnan Zhang, Yahui Su, Shaodong Lai, Xuan Zhou, Chunxiang Wu, Tingyu Zhou, Hangdong Wang, Jinhu Yang, Bin Chen, Huifei Zhai, Quansheng Wu, Jianhua Du, Zhiwei Jiao, Minghu Fang. Negative magnetoresistance in the antiferromagnetic semimetal V1/3TaS2[J]. Chinese Physics B, 2024, 33(3): 037301. doi: 10.1088/1674-1056/ad18aa

Negative magnetoresistance in the antiferromagnetic semimetal V1/3TaS2

通讯作者: 陈斌, bchen63@163.com
  • 1. 

    沈阳化工大学材料科学与工程学院 沈阳 110142

  1. 本站搜索
  2. 百度学术搜索
  3. 万方数据库搜索
  4. CNKI搜索

Figures(5)

Article Metrics

Article views(19) PDF downloads(0) Cited by(0)

Access History

Negative magnetoresistance in the antiferromagnetic semimetal V1/3TaS2

Abstract: Intercalated transition metal dichalcogenides (TMDCs) attract much attention due to their rich properties and potential applications. In this article, we grew successfully high-quality V1/3TaS2 crystals by a vapor transport method. We measured the magnetization, longitudinal resistivity ρxx(T, H), Hall resistivity ρxy(T, H), as well as performed calculations of the electronic band structure. It was found that V1/3TaS2 is an A-type antiferromagnet with the Neel temperature TN = 6.20 K, and exhibits a negative magnetoresistance (MR) near TN. Both band structure calculations and Hall resistivity measurements demonstrated it is a magnetic semimetal.

1.   Introduction
  • The recent discoveries of both long-range magnetic ordering in the atomically thin layers of Cr2Ge2Te6,[1] CrI3,[2] and Fe3GeTe2,[3,4] and the chiral solitons in Cr1/3NbS2[5,6] and Fe1/4TaS2[7] rekindle interest in the intercalated transition metal dichalcogenides (TMDCs). TMDCs are a class of layered materials, whose structure can be classified into 1H (triangular prismatic), 1T (octahedral), 2H (hexagonal), 3R (rhombic), and so on, depending on the local coordination of atoms around the central transition metal atoms. The intercalation (or doping) of atoms (or molecules) can modulate the physical properties of materials,[810] such as, the Cu intercalation in TiSe2, leads to superconductivity,[11] the Fe, Cr intercalations of TaS2 or NbS2 result in long-range magnetic order.[12,13] More interestingly, the Cr intercalation in NbS2 leads to the chiral soliton lattice formation due to the antisymmetric Dzyaloshinskii–Moriya (DM) interactions. TMDCs become a material platform for exploring various exotic physical properties.

    In these TMDCs, the MxTS2 (M = 3d transition metal, T = Ta, Nb) family[14] with x = 1/3 exhibit unique properties, due to the inserted ionic arranging in a stacked 3×3 superlattice, reducing the crystal symmetry.[15] For example, a chiral helical magnetic order was observed in Cr1/3NbS2,[5] a large anomalous Hall effect occurs in Co1/3NbS2.[16] In this article, on the basis of growing successfully high-quality V1/3TaS2 crystals, we carried out the magnetization, longitudinal, and Hall resistivity measurements, combined with the electronic band structure calculations. It was found that V1/3TaS2 is an A-type antiferromagnet (AFM) with the Neel temperature TN = 6.20 K, a single magnetic transition, which is different from the multi-transitions due to the existence of impurities or disorder, reported in the previous literature.[17] We also observed the negative magnetoresistance (MR) occurring near TN, resulting from the suppression of spin-scattering by an external magnetic field. It is interesting that both band structure calculations and Hall resistivity measurements demonstrate it is a magnetic semimetal.

2.   Methods
  • V1/3TaS2 single crystals were grown by a chemical vapor transport method with two steps. First, polycrystalline samples were prepared by using a stoichiometric of V (99.9%), Ta (99.9%), and S (99.99%) powders, whose mixtures were sealed in an evacuated silica tube and heated at 1073 K for a week. Second, the evacuated silica tube containing the polycrystalline powders with iodine as transport agent (10 mg/cm3) was placed in a tube furnace, and heated for 7 days with a temperature gradient from 1223 K to 1123 K. The hexagonal crystals were obtained at the cold end, whose typical dimensions are 2 mm × 1 mm × 0.2 mm (see the inset of Fig. 1(d)). The composition of crystals was determined by the energy-dispersive x-ray (EDX) technique, as shown in Fig. 1(c), to be of V:Ta: S = 1:3:6. The crystal structure was checked by both polycrystalline (not shown) and single crystal x-ray diffraction (XRD), as shown in Fig. 1(d). The (00l) peaks with a small width at half maximum were observed, indicating that the obtained crystals have high quality. The length of the c-axis was estimated to be 11.19 Å, which is similar to that reported previously.[17]

    The longitudinal and Hall resistivity and magnetization measurements were carried out on the quantum design physical property measurement system (PPMS-9T) and magnetic property measurement system (MPMS-7T), respectively. To calculate the electronic band structure, and Fermi surface of bulk V1/3TaS2, the Vienna ab initio simulation package (VASP)[18,19] with the generalized gradient approximation of Perdew, Burke, and Ernzerhof for the exchange–correlation potential[20] was employed to perform the first-principles calculations based on the density functional theory (DFT). The projector-augmented wave (PAW) potentials were adopted for the inner electrons[21] and the cores of S:(Ne, 3s23p4), Ta:(Xe, 6s15d4), and V:(Ar, 4s13d4) have been used in the calculations. The kinetic energy cut off was chosen as 360 eV for the wave function, and the Γ-centered mesh 6 × 6 × 4 was used to calculate the electronic structures. The tolerance of energy convergence was chosen to be 10−6 eV.

3.   Results and discussion
  • Figures 1(a) and 1(b) show the crystal structure of V1/3TaS2, a hexagonal non-centrosymmetric structure, where the V3+ ions occupy the octahedral position and intercalate between the triangular prismatic layers of the parent 2H-TaS2, forming a superlattice of 3×3 structure with lower symmetry. The host TaS2 layer provides conduction electrons, while the orbital moment of V3+ is usually quenched due to the octahedral crystal fields of neighboring S2−, and the localized moment of V3+ mainly originates from the spins of the unpaired electrons.

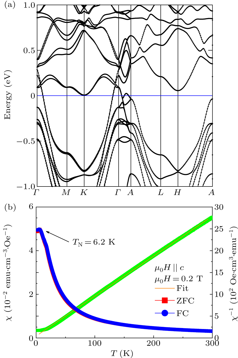
    In order to understand well the physical properties of V1/3TaS2 compound, we calculate its electronic band structure. Figure 2(a) shows the band structure of the A-type AFM phase with considering spin–orbit coupling (SOC). It is clear that the Fermi energy level (EF) locates in the conduction band, indicating a metallic behavior, there are three hole pockets (the left, near the Γ and A points) and one electron pocket (near the K point), and the results reveal that it is antiferromagnetic out-of-plane and ferromagnetic in-plane. These results demonstrate that V1/3TaS2 is a magnetic semimetal.

    Next, we discuss the results of magnetization measurements. Figure 2(b) shows the temperature dependence of magnetic susceptibility, χ = M/H, measured at a magnetic field of H = 2000 Oe applied along the c-axis with zero-field-cooling (ZFC) and field-cooling (FC) processes. Although the χ(T) curves measured with ZFC and FC processes seem to overlap with each other, small differences at low temperatures can be recognized in the magnified χ(T) curves (not shown). With decreasing temperature, the susceptibility increases continuously for both processes. A sharp peak occurs at TN = 6.2 K in the χ(T) curves, corresponding to an antiferromagnetic transition. The susceptibility above TN follows the Curie–Weiss law

    where C is the molar Curie constant and θ is the Weiss temperature. Figure 2(b) (the right axis) shows the temperature dependence of inverse susceptibility, χ−1(T), exhibiting a linear temperature dependence. We obtained that C ≈ 0.11 cm3⋅K⋅mol−1, corresponding to the effective moment μeff ≈ 2.7 μB/V3+, and θ ≈ 3.8 K, close to TN value, by fitting the χ−1(T) data between 10 K–300 K. Different from the observations that two magnetic transitions emerge in the polycrystalline or as-grown V1/3TaS2 single crystals, only one transition was observed in our crystals, implying our crystal has high quality (no impurities or disorders). Early, V1/3TaS2 was identified as a ferromagnet by Parkin et al.,[22] similar to that suggested for other intercalated TMDCs, such as, Cr1/3TaS2, a soliton candidate;[13] Mn1/3NbS2, a ferromagnet with a long period spin modulation.[23] Recently, based on their magnetization and neutron diffraction results on a single crystal of V1/3TaS2, Lu et al.[17] suggested that V1/3TaS2 is an A-type antiferromagnet, composed of a staggered stacking of ferromagnetic planes, with a small out-of-plane canted (2°) of XY spins and the Neel temperature TN = 32 K. Although the TN value here is different from that reported by Lu et al.,[17] we believe that the magnetic structure at low temperatures is the same as that determined by their neutron diffraction and the exchange interaction analysis, i.e., an antiferromagnetic stacking of ferromagnetic planes with a small canting of V3+ spins (A-type AFM).

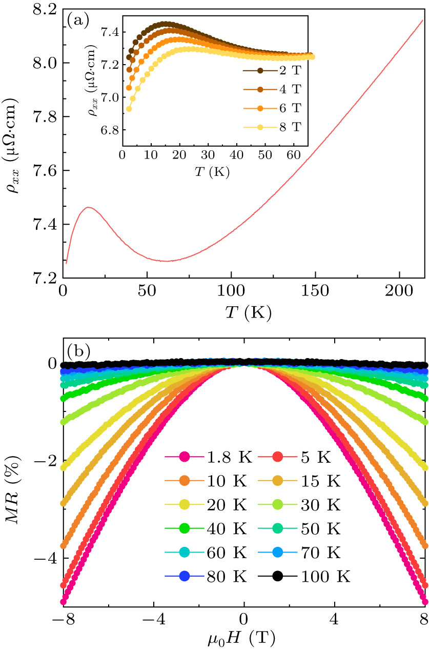
    Third, we discuss the influence of magnetic transition on electronic transport properties. Figure 3(a) presents the temperature dependence of longitudinal resistivity, ρxx(T), measured at zero field. With decreasing temperature, the resistivity decreases at first, reaches a minimum at about 60 K, then increases before dropping again below TN. The resistivity exhibiting a maximum at TN is usually due to the scattering of local spins to the conduction electrons, which is also confirmed by the resistivity data measured at magnetic fields. As shown in the inset of Fig. 3(a), with increasing magnetic field, the resistivity around TN is suppressed, and its maximum at TN almost disappears. Figure 3(b) shows the magnetoresistance (MR) as a function of magnetic field measured at various temperatures, here MR is defined as

    where ρ(H) and ρ(0) are the resistivities measured at a magnetic field H applied along the c-axis and zero-field, respectively. Below 50 K, the resistivity decreases with increasing magnetic field H, i.e., exhibiting a negative magnetoresistance behavior, and MR reaches −5%, at μ0H = 8 T, T = 1.8 K, which can be ascribed to reducing spin scattering by the applied magnetic field.

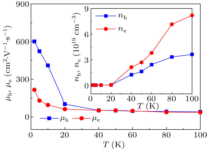
    Finally, as mentioned above, the band structure calculations demonstrate that V1/3TaS2 is a magnetic semimetal, which is also confirmed by the Hall resistivity measurements. Figure 4(a) shows the Hall resistivity as a function of the magnetic field applied along the c-axis, ρyx(H,T), measured at various temperatures (1.8 K–100 K). Both the nonlinear field dependence of ρyx(H,T) below 20 K and the change in the slope of ρyx(H,T) from a positive value below 10 K to negative one above 40 K imply the existence of multi-band structure. To parameterize the Hall data, we analyze the longitudinal and Hall resistivity using a two-carrier model, as we discuss for other semimetals.[2429] In this model, the conductivity tensor in its complex representation is given as[30]

    where ne (nh) and μe (μh) denote the carrier concentrations and mobilities of electrons (holes), e is the elementary charge, respectively. To appropriately evaluate the carrier densities and mobilities, we calculate the Hall conductivity σxy=ρyx/(ρxx2+ρyx2) using the original experimental ρyx(H,T) data. Then, as shown in Fig. 4(b), we fit σxy(H,T) data using the fitting parameters and the field dependence given by[31]

    The obtained ne (nh) and μe (μh) as a function of temperature are plotted in Fig. 5 and the inset. It is clear that both the ne and nh are almost independent of temperature below 20 K, such as ne(1.8 K) = 0.22 × 1019 cm−3, ne(20 K) = 0.34 × 1019 cm−3, nh(1.8 K) = 0.21 × 1019 cm−3, nh(20 K) = 0.54 × 1019 cm−3, and enhance markedly with increasing temperature, such as ne(100 K) = 8.2 × 1019 cm−3, nh(100 K) = 3.6 × 1019 cm−3. On the contrary, the mobility of the hole, μh, increases rapidly with decreasing temperature and is much larger than the μe at lower temperatures, although they are almost the same at higher temperatures. These behaviors are similar to those occurring in many other semimetals.[27,32]

4.   Conclusion
  • We performed electronic structure calculations and measured the longitudinal resistivity, Hall resistivity, and susceptibility on V1/3TaS2 crystals with a hexagonal non-centrosymmetric structure (space group P6322). It was found that V1/3TaS2 is an A-type antiferromagnet with TN = 6.20 K, and exhibits a negative MR near TN. Both band structure calculation and Hall resistivity measurement demonstrated it is a magnetic semimetal.

Figure (5)  Reference (32)

Catalog

    /

    DownLoad:  Full-Size Img  PowerPoint
    Return
    Return