大气贮存对激光刻蚀铜二次电子发射的影响

上一篇

下一篇

张文丽, 卞抱元, 葛晓琴, 方键威, 王思慧, 王勇. 大气贮存对激光刻蚀铜二次电子发射的影响[J]. 真空科学与技术学报, 2023, 43(11): 954-959. doi: 10.13922/j.cnki.cjvst.202306001
引用本文: 张文丽, 卞抱元, 葛晓琴, 方键威, 王思慧, 王勇. 大气贮存对激光刻蚀铜二次电子发射的影响[J]. 真空科学与技术学报, 2023, 43(11): 954-959. doi: 10.13922/j.cnki.cjvst.202306001
Wenli ZHANG, Baoyuan BIAN, Xiaoqin GE, Jianwei FANG, Sihui WANG, Yong WANG. Influence of Atmospheric Storage on Secondary ElectronEmission of Laser-Etched Copper[J]. zkkxyjsxb, 2023, 43(11): 954-959. doi: 10.13922/j.cnki.cjvst.202306001
Citation: Wenli ZHANG, Baoyuan BIAN, Xiaoqin GE, Jianwei FANG, Sihui WANG, Yong WANG. Influence of Atmospheric Storage on Secondary ElectronEmission of Laser-Etched Copper[J]. zkkxyjsxb, 2023, 43(11): 954-959. doi: 10.13922/j.cnki.cjvst.202306001

大气贮存对激光刻蚀铜二次电子发射的影响

    通讯作者: E-mail: xqge@ustc.edu.cn
  • 中图分类号: TL503.7;TB741

Influence of Atmospheric Storage on Secondary ElectronEmission of Laser-Etched Copper

    Corresponding author: Xiaoqin GE, xqge@ustc.edu.cn
  • MSC: TL503.7;TB741

  • 摘要: 粒子加速器的工作性能受电子云效应的严重影响,二次电子产额(Secondary electron yield,SEY)是评判电子云效应的重要参数。利用激光刻蚀技术加工真空室内表面可以有效抑制真空室内二次电子发射,缓解电子云效应。无氧铜材料凭借其高电导率、高热导率和良好的辐射屏蔽性能成为建造新一代粒子加速器真空室的首选材料。由于粒子加速器真空室的建造周期长,在其制造、安装、调试过程中,刻蚀部件将不可避免地面临长期储存的问题。为研究大气贮存对刻蚀部件二次电子发射的影响,文章采用激光刻蚀技术对无氧铜材料进行表面处理,测试并分析刻蚀前后样品的表面特性与SEY。在样品贮存期间,定期对刻蚀样品进行SEY测试。结果表明,随着贮存时间的延长,刻蚀无氧铜的SEY逐渐升高。表面化学状态的变化是造成SEY上升的主要原因。文章将为未来加速器的真空室表面处理提供一种可行方法,为激光刻蚀部件的贮存方法提供实验支撑。
  • 加载中
  • 图 1  三维高精度激光刻蚀系统。(a)示意图与(b)实物图

    Figure 1.  (a) Schematic diagram and (b) physical diagram of 3D high-precision laser-etching system

    图 2  SEY 测试。(a)原理图与(b)装置图

    Figure 2.  (a) Schematic diagram and (b) set-up diagram of SEY measurement

    图 3  激光刻蚀前(左)后(右)的OFC表面图像

    Figure 3.  Images of OFC without (left) and with (right) laser-etching

    图 4  各样品表面微观形貌图。(a)、(b)、(c)分别对应样品A、B、C

    Figure 4.  Surface morphology of the samples, where images (a), (b), and (c) correspond to samples A, B and C

    图 5  OFC 表面 XPS 测试结果

    Figure 5.  Spectra of XPS characterization for OFC sample

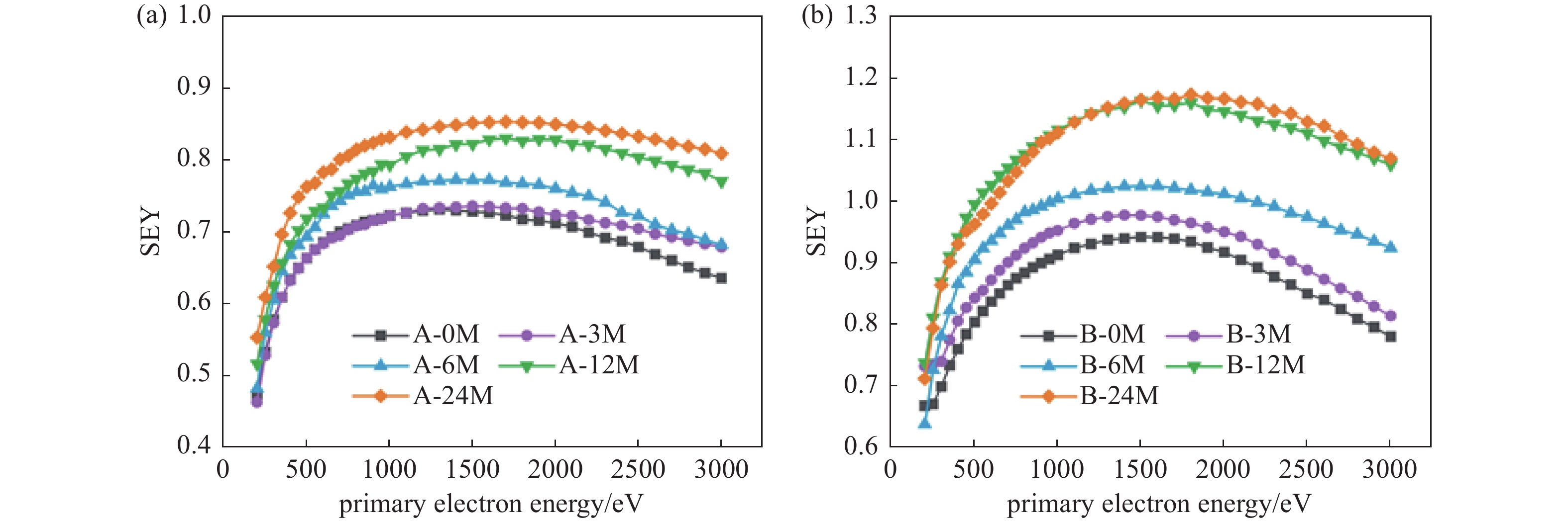
    图 6  样品 A(a) 和 B(b) 的二次电子发射特性曲线

    Figure 6.  SEY as a function of the primary electron energy of sample A(a) and B(b)

    表 1  各样品激光刻蚀参数

    Table 1.  Laser parameters of the samples

    SamplePower/WSpeed/mm·s−1Space/μmPattern
    A3.71020Line
    B3.73020Line
    CPlane
    下载: 导出CSV

    表 2  各样品表面元素相对含量(at %)

    Table 2.  The content of surface compositions of samples (%)

    SampleCOCu
    A27.8443.5428.62
    B30.2444.6825.08
    C58.0132.409.59
    A-24 M33.8843.0723.05
    B-24 M44.4838.0517.47
    下载: 导出CSV

    表 3  样品A、B的最大SEY值

    Table 3.  The maximum SEY values of sample A and B

    Sample0 M3 M6 M12 M24 M
    A0.730.740.770.830.85
    B0.940.981.031.161.18
    下载: 导出CSV
  • [1] Jimenez J, Henrist B, Hilleret N, et al. LHC and SPS electron cloud studies [J]. American Institute of Physics, 2005,773(1): 211-215
    [2] Wang L, Blaskiewicz M, Wei J, et al. Mechanism of electron multipacting with a long-bunch proton beam[J]. Physcal Review E,2004,70:036501 doi: 10.1103/PhysRevE.70.036501
    [3] Fischer W, Blaskiewicz M, Brennan J, et al. Electron cloud observations and cures in the relativistic heavy ion collider[J]. Physical Review Special Topics - Accelerators and Beams,2008,11(4):041002 doi: 10.1103/PhysRevSTAB.11.041002
    [4] Wang J, Guo Z, Liu Y, et al. Electron cloud instability studies in the beijing electron positron collider[J]. Physical Review Special Topics - Accelerators and Beams,2004,7(9):094401 doi: 10.1103/PhysRevSTAB.7.094401
    [5] Furman M. Electron Cloud Effects in Accelerators [C].Proceedings of ECLOUD'12, La Biodola, Isola d'Elba, Italy, 2012
    [6] Pivi M, Furman M. Electron cloud development in the Proton Storage Ring and in the Spallation Neutron Source[J]. Physical Review Special Topics - Accelerators and Beams,2003,6(3):034201 doi: 10.1103/PhysRevSTAB.6.034201
    [7] Suetsugu Y, Kanazawa K, Shibata K, et al. Design and construction of the SuperKEKB vacuum system[J]. Vacuum,2015,30(3):031602
    [8] Suetsugu Y, Fukuma H, Ohmi K, et al. Mitigating the electron cloud effect in the SuperKEKB positron ring[J]. Physical Review Accelerators and Beams,2019,22(2):023201 doi: 10.1103/PhysRevAccelBeams.22.023201
    [9] Baglin V, Bojko J, Grbner O, et al. The Secondary Electron Yield of Technical Materials and its Variation with Surface Treatments [C]. Proceedings of EPAC 2000, Vienna, Austria, 2000:217-221
    [10] Suetsugu Y, Kanazawa K, Shibata K, et al. Continuing study on the photoelectron and secondary electron yield of TiN coating and NEG (Ti–Zr–V) coating under intense photon irradiation at the KEKB positron ring[J]. Nuclear Instruments & Methods in Physics Research,2006,556(2):399−409
    [11] Costa P, Calatroni S, Neupert H, et al. Carbon coatings with low secondary electron yield[J]. Vacuum,2013,98:29−36 doi: 10.1016/j.vacuum.2013.03.001
    [12] Henrist B, Hilleret N, Scheuerlein C, et al. The secondary electron yield of TiZr and TiZrV non-evaporable getter thin film coatings[J]. Applied Surface Science,2001,172(1-2):95−102 doi: 10.1016/S0169-4332(00)00838-2
    [13] Suetsugu Y, Fukuma H, Shibata K, et al. Experimental Studies on Grooved Surfaces to Suppress Secondary Electron Emission [C]. Proceedings of IPAC'10, Kyoto, Japan, 2010
    [14] Yang J, Cui W, Li Y, et al. Investigation of argon ion sputtering on the secondary electron emission from gold samples[J]. Applied Surface Science,2016,382:88−92 doi: 10.1016/j.apsusc.2016.03.060
    [15] 蓝正龙, 田泽, 陈彦宾. 工业领域的激光清洗技术[J]. 激光与光电子学进展,2018,55(3):030005(in chinese) Lei Z, Tian Z, Chen Y. Laser Cleaning Technology in Industrial Fields[J]. Laser & Optoelectronics Progress,2018,55(3):030005
    [16] Valizadeh R, Malyshev O, Wang S, et al. Low secondary electron yield engineered surface for electron cloud mitigation[J]. Applied Physics Letter,2014,105(23):231605 doi: 10.1063/1.4902993
    [17] Salemme R, Baglin V, Calatroni S, et al. First beam test of Laser Engineered Surface Structures (LESS) at cryogenic temperature in CERN SPS accelerator [C]. Journal of Physics: Conference Series,2018,1067(8):082017
    [18] Bellafont I, Morrone M, Mether L, et al. Design of the future circular hadron collider beam vacuum chamber[J]. Physical Review Accelerators and Beams,2020,23(3):033201 doi: 10.1103/PhysRevAccelBeams.23.033201
    [19] Brown M, Diaz L, Aslan A, et al. Carbon-oxygen surface formation enhances secondary electron yield in Cu, Ag and Au[J]. Scientific Reports,2022,12:15808 doi: 10.1038/s41598-022-19924-9
  • 加载中
图( 6) 表( 3)
计量
  • 文章访问数:  435
  • HTML全文浏览数:  435
  • PDF下载数:  4
  • 施引文献:  0
出版历程
  • 收稿日期:  2023-06-03
  • 刊出日期:  2023-11-30

大气贮存对激光刻蚀铜二次电子发射的影响

    通讯作者: E-mail: xqge@ustc.edu.cn
  • 中国科学技术大学国家同步辐射实验室 合肥 230029

摘要: 粒子加速器的工作性能受电子云效应的严重影响,二次电子产额(Secondary electron yield,SEY)是评判电子云效应的重要参数。利用激光刻蚀技术加工真空室内表面可以有效抑制真空室内二次电子发射,缓解电子云效应。无氧铜材料凭借其高电导率、高热导率和良好的辐射屏蔽性能成为建造新一代粒子加速器真空室的首选材料。由于粒子加速器真空室的建造周期长,在其制造、安装、调试过程中,刻蚀部件将不可避免地面临长期储存的问题。为研究大气贮存对刻蚀部件二次电子发射的影响,文章采用激光刻蚀技术对无氧铜材料进行表面处理,测试并分析刻蚀前后样品的表面特性与SEY。在样品贮存期间,定期对刻蚀样品进行SEY测试。结果表明,随着贮存时间的延长,刻蚀无氧铜的SEY逐渐升高。表面化学状态的变化是造成SEY上升的主要原因。文章将为未来加速器的真空室表面处理提供一种可行方法,为激光刻蚀部件的贮存方法提供实验支撑。

English Abstract

  • 为满足科学研究的需要,设计和建造具有高能量、高亮度、高流强和高稳定性等特点的加速器已成为发展趋势。加速器真空室内运动粒子与真空室壁面的相互作用是影响加速器正常运行、制约加速器性能提升的重要因素。将由同步辐射光照射真空室内壁产生的光电子和由真空室内粒子束流与残余气体相互电离产生的电子统称为初级电子,这些初级电子会在束流尾场作用下加速,进一步轰击真空室壁,导致二次电子发射。用二次电子产额(Secondary electron yield,SEY),即二次电子数与初级电子数的比值,来评判材料发射二次电子的能力。当二次电子数多于初级电子数时(SEY > 1),真空室内的电子数量就会成倍增加。在谐振条件下,初级电子与二次电子会不断与束流和真空室壁发生碰撞,导致大量电子聚集,形成电子云。自1965年在前苏联核物理研究所的质子储存环上首次观测到的电子云现象以来,研究者们在多台装置上均观测到了电子云现象[1-3]及其引发的各种危害[4-6],如真空动态压力上升、热负载增加、束流不稳定性、束流损失和发射度增加等。因此,抑制二次电子发射,降低电子云密度对维持加速器的稳定性和可靠性至关重要。

    为解决电子云问题,研究者们提出并应用了多种方法,如设计特殊的真空室形状[7],真空室外加装磁场约束电子[8],选择具有低SEY值的真空室材料[9]等,其中,改变材料表面形貌和化学成分使其SEY值下降是最常用的方法,包括在材料表面镀制TiN薄膜[10]、碳系薄膜[11]、非蒸散形吸气剂(Non-evaporable getter,NEG)薄膜[12],在内表面加工凹槽[13],采用离子轰击[14]等。研究表明,激活的NEG薄膜的SEY能达到1.1以下,离子轰击后的表面SEY能降低到1.1左右,机械加工处理后的表面SEY为1.2左右。

    激光表面处理技术一直被用来清洗真空室和降低材料放气率[15]。2014 年,Reza Valizadeh等[16]首次将激光表面处理技术用于降低真空室结构材料的SEY ,成功将材料表面SEY降低到1以下。当SEY <1时,理论上可以完全抑制电子倍增现象的产生。与其他表面处理技术相比,激光刻蚀技术不需要大型设备,加工时不需要真空环境,加工过程稳定性高、可重复性高。因此,激光刻蚀技术在大型强子对撞机(Large Hadron Collider,LHC)的升级改造和未来环形对撞机(Future Circular Collider,FCC)的建设中均被认为是能有效解决电子云效应的方案。2018年,欧洲核子中心(European Organization for Nuclear Research,CERN)在超级质子同步加速器(Super Proton Synchrotron,SPS)装置上对激光刻蚀的2.2米长束屏(Beam screen,BS)进行了测试,结果表明,激光刻蚀有效抑制了低温条件下的电子倍增[17]。2020年,CERN为未来环形强子对撞机(Future Circular Hadron Collider ,FCC-hh)设计了一种新的真空室结构并用激光刻蚀技术处理BS,结果表明,新型真空室在保持了真空环境的稳定的同时有效抑制了电子云效应[18]

    然而,上述研究均在激光刻蚀处理后短期内完成,实际上,在加速器建造过程中,真空部件的制造周期长,整体的安装、调试也不能在短期内完成,因此研究激光刻蚀部件的贮存方法及贮存时间对刻蚀部件二次电子发射的影响尤为重要。本文利用三维高精度激光刻蚀系统对无氧铜材料进行表面处理,测试并分析了刻蚀前后无氧铜的表面形貌、表面化学状态与SEY。初次测试后,将样品置于干燥柜中贮存,在贮存的两年间定期测量其SEY,分析贮存时间对刻蚀无氧铜二次电子发射的影响。

    • 用于样品表面处理的激光刻蚀系统如图1所示,该系统由激光发生器、聚束系统、三维移动平台、计算机控制系统和水冷系统组成。激光发生器用于产生波长为355 nm的紫外光,激光功率在1.2 W - 3.7 W可调,光束质量M2 < 1.1。聚束系统用于减少光束的发射角,提高光束质量。制样时,样品被固定在三维移动平台上,通过调节平台高度使光束焦点位于样品表面,通过调节平台移动参数实现扫描速度与扫描间距的变化。水冷系统用于激光器的冷却,保证其正常运行。本文中所用OFC尺寸为15 mm × 15 mm × 1 mm,为去除其表面有机污染物,在激光蚀刻前先将样品用丙酮超声清洗15 min,然后用去离子水冲洗,最后用酒精脱水并吹干。本文样品的刻蚀参数如表1所示,A、B为刻蚀OFC,C为未刻蚀OFC。刻蚀时,激光器功率恒定为3.7 W,对应重复频率为40 kHz,脉冲宽度为18.6 ns。

    • 本文采用样品电流法测量SEY,其测量原理与装置如图2所示。SEY测试系统由前室与测试室组成,前室的存在可以减少测试室的抽气时间,避免电子枪暴露大气,保持电子枪与测试室的洁净。根据SEY定义,用电流的大小表示电子数的多少,则有以下计算公式:

      式中,Is表示二次电子电流,Ip表示入射电子电流,It表示流经样品的电流。采用样品电流法测试SEY时,先在样品表面施加正偏压+70 V,以吸引所有电子,测得总电流Ip;再施加负偏压−40 V,以促使产生的二次电子逃离表面,避免其再次撞击表面,测得样品电流It。电子枪发射电子能量为200 eV−3000 eV,电流保持在600 nA,真空室压力保持在3×10−7 Pa以下。

    • 采用Gemini 500扫描电子显微镜(Scanning electron microscope,SEM)获得样品表面形貌。采用X射线光电子能谱(X-ray photoelectron spectroscopy,XPS)获得样品表面化学状态。

    • 刻蚀后的样品在经过初次测试后立即放入干燥柜中保存,干燥柜温度设为25℃,相对湿度(Relative humidity,RH)设为20%。

    • 激光刻蚀前后OFC表面如图3所示,样品A、B、C的微观形貌如图4所示。OFC薄片由压延工艺制造,放大1000倍后可见其初始表面有轻微划痕。刻蚀后样品表面失去金属光泽,呈现黑色,SEM图像显示刻蚀后OFC表面产生规则沟槽与球状纳米结构。激光刻蚀过程以熔体流动为主,当光束照射样品表面时,瞬间的能量让光照中心的铜材熔化,中心铜材与周围铜材产生温度梯度,在表面张力的作用下,熔化的铜材向周围流动,直至温度降低重新凝固,形成沟槽。由激光与铜材碰撞而飞溅的液滴则凝固成球状纳米颗粒。铜材的熔化与凝固使其表面形貌发生巨大改变,由此改变表面对光的吸收与反射方式,因此,刻蚀后OFC表面呈现黑色。从图4可以看出,刻蚀表面沟槽深度、沟槽张口大小与扫描速度有关。扫描速度越低,单位面积接收的激光能量越大,铜材熔化程度越高,呈现更深的沟槽深度与更大的沟槽张口。

    • 刻蚀前、后与贮存后OFC样品的XPS测试结果如图5所示。样品表面主要元素均为C、O、Cu,其元素比例如表2所示。Cu LMM峰位置向高结合能方向移动,说明激光刻蚀过程中Cu元素的价态发生了变化。分峰拟合结果显示,刻蚀前,OFC表层以金属碳化物为主,一价铜与二价铜共存;刻蚀后,OFC表层金属氧化物含量上升,以二价铜形式存在。激光刻蚀虽然在一定程度上会破坏OFC表面污染层,暴露新鲜铜层,但铜在高温下接触空气会被迅速氧化,导致氧化物含量增加。大气贮存两年后(24M)刻蚀OFC的表面化学状态与元素相对含量均发生了改变,贮存后样品表面Cu元素含量下降,C元素和O元素含量上升,C-O键、C=O键的相对含量上升,金属碳化物的相对含量上升。

    • 激光刻蚀处理后立即对刻蚀OFC进行SEY测试,此后在贮存3个月(3 M)、6个月(6 M)、12个月(12 M)和24个月(24 M)时重复测试。样品A、B的二次电子发射特性曲线如图6所示,不同阶段的最大SEY值(δmax)如表3所示。激光刻蚀处理前,OFC表面δmax 为1.75,刻蚀后,样品SEY显著降低,样品A、B的δmax分别为0.73、0.94。上述结果表明低速刻蚀更有利于降低SEY。贮存3个月后,两样品的SEY均略有上升。随着贮存时间的延长,SEY逐渐上升。贮存两年后,样品A和B的δmax增加至0.85和1.18,但仍远低于未处理OFC样品的δmax

      刻蚀后OFC表面的沟槽结构较稳定,贮存期间不易发生变化,因此刻蚀样品SEY上升的主要原因是表面化学状态的变化。由于材料暴露在大气中,大气贮存两年后刻蚀OFC表面元素相对含量的变化可以归因于贮存过程中表面的吸附作用。表面吸附层通常包括水、碳化合物、氧、氮[19]。研究表明,Cu氧化物的SEY低于清洁Cu的SEY,因此,暴露大气的Cu的SEY增加主要由表面的水吸附层与碳质污染层导致的。贮存一年时,样品A和B的δmax比贮存前分别增加了13.7%和23.4%,贮存两年时则分别增加了16.4%和25.5%。贮存初期,当暴露大气时间增加时,表面吸附层厚度也不断增加,表现为SEY的逐渐增加。当继续增加暴露大气时间,表面吸附趋于饱和时,SEY则趋于稳定。

    • 作为一种能有效降低加速器真空室内二次电子发射,抑制电子云效应的方法,激光刻蚀技术具有其独特的优势。本文利用激光刻蚀系统处理真空室材料OFC,分析刻蚀前后OFC表面形貌、表面化学状态与二次电子发射的变化。激光刻蚀OFC的表面由规则沟槽结构与纳米球状结构构成,以铜的二价氧化物与二价碳化物为主。较低的扫描速度会产生更深的沟槽结构与更小的纳米颗粒,相应的SEY也更低。大气贮存会使刻蚀OFC的SEY上升,且SEY随贮存时间的延长而增加。由于刻蚀表面形貌比较稳定,贮存期间不易发生变化,刻蚀样品SEY增加的主要原因为表面化学状态的变化。即便如此,贮存后的刻蚀样品SEY仍远低于刻蚀前,表明激光刻蚀对材料二次电子发射的抑制效果长期有效。本文研究成果将为激光刻蚀在加速器的应用提供理论支持,为合理安排刻蚀部件的贮存方式与贮存时间提供实验支撑。

    参考文献 (19)

目录

/

返回文章
返回