-
薄膜晶体管(Thin Film Transistors, TFTs)由于良好的光电特性已广泛应用于各类电子器件,平板显示器、触控屏、传感器及太阳能电池等[1-3]。其较低的生产成本、高的可加工性和柔性,TFTs在电子器件产业中被视为一项关键技术[4]。随着科技的发展,人民对平板显示器的要求越来越高,TFTs在实现高性能和高分辨率显示器中至关重要。为了满足平板显示器不断增长的科技需求,研究人员正在研制新型TFTs,并优化器件结构与电学性能。
薄膜晶体管可以根据沟道层所选半导体材料分为有机薄膜晶体管、金属氧化物薄膜晶体管以及硅基薄膜晶体管等[5]。这些不同类型的TFTs各自具有其独特的性能优势与限制。氢化非晶硅薄膜晶体管(a-Si:H TFTs)具有适用于大面积沉积,可低温制备等特点,但其由于迁移率(~1 cm2V−1s−1)较低,对电力和光照不稳定等缺点,所以不能满足平板显示的需求;传统的多晶硅薄膜晶体管虽然具有较高的场效应迁移率(~100 cm2V−1s−1)和优异的可靠性,但多晶硅材料的晶界处会出现载流子散射和俘获,且制备温度较高,工艺复杂和不适用于大面积显示,也不能满足平板显示的要求[6-7]。而金属氧化物薄膜晶体管具有较高的场效应迁移率,化学成分的多样性,较高的稳定性,大面积性能均匀性较好和较低的工艺温度,且在可见光范围内高透明性等特点,所以在平板显示屏和高帧率的电视等大多数显示器方面具有更好的应用前景[8-10]。在众多氧化物半导体薄膜晶体管中,铟锌氧化物薄膜晶体管(indium zinc oxide thin film transistors, InZnO-TFTs) 因其结构简单、生产过程环保且具有优良的性能,已经成为研究的热点[10-12]。铟锌氧化物 (InZnO) 作为一种混合氧化物,因它结合了氧化铟 (In2O3)和氧化锌(ZnO)的优点,具备较高的电子迁移率、良好的透明性以及稳定的化学性能等优势[13-14]。此外,铟锌氧化物薄膜晶体管的光电特性可以通过调整In与Zn的摩尔比和制备工艺来实现有效控制。这些特性使得InZnO薄膜晶体管成为一种理想的生产柔性显示器、透明传感器和其它光电器件的材料[15]。
采用磁控溅射法制备InZnO薄膜晶体管的过程中,不同的氩等离子溅射功率显著改变了器件的电学性能。因此,溅射功率是制备氧化物薄膜晶体管的关键参数,它直接决定InZnO薄膜晶体管沟道层薄膜沉积质量。溅射功率不仅会影响InZnO薄膜表面的粗糙度,而且影响InZnO薄膜晶体管的沟道层和源漏电极的接触电阻,从而影响器件的迁移率和稳定性[16]。目前虽然大量研究磁控溅射法制备InZnO薄膜晶体管,但是仍缺乏溅射功率对InZnO薄膜晶体管的特性影响。所以本文系统的研究不同的溅射功率如何影响InZnO TFTs的电学参数,采用X射线光电子能谱 (XPS) 和原子力显微镜 (AFM) 表征证实了溅射功率对InZnO TFTs特性的影响。最终获得了制备InZnO TFTs的最佳溅射功率和电学参数,为下一步的研究奠定基础,并且为InZnO薄膜晶体管在未来平板显示器领域中的应用提供了重要的工艺参数。
-
本文利用射频磁控溅射设备,沉积在SiO2(100 nm)/p+-Si衬底上30 nm厚度的InZnO薄膜作为(陶瓷靶-InZnO, 99.99%)晶体管的沟道层,Si衬底作为栅极层,SiO2为栅极绝缘层。射频溅射前,先将腔体内真空度抽至2×10−4 Pa以下,溅射时气压保持1 Pa,氩气流量控制在25 mL/min,衬底温度保持100℃,溅射功率分别设置为25、50、75、100 W四种条件下制备出不同四个InZnO薄膜。最后在InZnO半导体薄膜上使用电极掩膜版,通过利用热蒸发镀上一层Au/Cr(50/15 nm)金属薄膜作为源漏电极,InZnO薄膜器件如图1(a)所示。
-
本文利用X射线衍射(XRD, Bruker D8 ADVANCE)分析不同溅射功率对InZnO薄膜的晶体结构的影响;用原子力显微镜(AFM, Bruker AXS)分析功率大小对InZnO薄膜表面形貌以及表面粗糙度缺陷的影响;采用X射线光电子能谱(XPS, Thermo Fisher ESCALAB 250 Xi)对InZnO薄膜的氧空位缺陷分进行了分析。最后利用Keysight B1500A半导体器件分析仪和Lake Shore TTPX探针台进行测量25、50、75和100 W条件下制备的InZnO TFTs的转移特性曲线和输出特性曲线。InZnO薄膜和晶体管均没有进行退火处理。
-
图1(b)为不同溅射功率制备的InZnO 薄膜X射线衍射(XRD)图谱。从XRD结果可以看出,25、50、75、100 W溅射功率下InZnO 薄膜都出现了(002),(102),(110)的衍射峰,表明InZnO 薄膜具有多晶态结构,并且不同的溅射功率没有影响InZnO薄膜晶体的结构。此外,出现的衍射峰中可以观察到(002)晶面的衍射强度最大,说明InZnO 薄膜沿(002)晶面择优生长,且(002)晶面的半峰宽很窄,说明所制备的InZnO薄膜的晶粒尺寸分布较为均匀。
通过AFM表征得到了InZnO 薄膜的表面粗糙度的结果。图2(a),(b),(c)和(d)给出不同溅射功率制备的InZnO 薄膜的AFM图(2 μm × 2 μm)。结果展示25,50,75,100 W溅射功率制备的InZnO 薄膜的均方根粗糙度(Root Mean Square Roughness, RMS)分别为0.95 nm,0.86 nm,1.26 nm,1.43 nm,如图2所示。结果表明,溅射功率为50 W得到的InZnO 薄膜表面的粗糙度最小最为光滑,光滑的表面有利于沟道层和电极层之间形成良好的界面,避免载流子被表面缺陷捕获,从而减小器件的亚阈值摆幅,并提高载流子浓度,同时有利于形成欧姆接触,进而提高器件的电学特性[17]。InZnO薄膜表面粗糙度的主要是来源是原子沉积过程中的平均涨落,当溅射功率小于50 W时,低能量的氩等离子体不足以使InZnO薄膜表面的原子较好的沉积,所以粗糙度较大;但当溅射功率大于50 W时,氩等离子体又破坏薄膜表面,增大了InZnO薄膜的均方根粗糙度,是因为大功率溅射能量大,容易损害薄膜表面,不利于InZnO薄膜均匀沉积,容易形成缺陷,导致增加载流子捕获和散射的效果,直接影响载流子电输运,最终导致器件的电学性能的下降。
为进一步研究不同溅射功率对InZnO薄膜的氧空位缺陷的变化影响,通过X射线光电子能谱(XPS)分析得到了不同溅射功率的薄膜中氧空位缺陷的百分比,如图3(a),(b),(c)和(d)所示。对XPS中O 1s图谱进行高斯拟合,可以拟合出三个峰,它们分别为:金属与氧的结合峰(O1: In-O, Zn-O)是低结合能峰(529.8 eV),来自于金属锌、铟与氧离子(O2−)之间的键合(M-O);InZnO沟道层的氧空位(O2:Ovac)是中等结合能峰(530.7 eV),即VO;最高结合能形成的是O3:M-OH峰为(531.7 eV),主要与薄膜表面的氧和水分子等(H2O,O2,−CO3)有关[18-21]。结果表明,随着溅射功率从25 W增加到100 W,氧空位占比通过计算Ovac=O2/(O1+O2+O3),薄膜中的氧空位含量从26.1%增加到36.7%。溅射功率的增加导致氧空位增加的原因可能是高溅射功率的氩等离子体具有较高的动能,向InZnO沉积时使In-O键和Zn-O键发生断裂,形成了较多的氧空位[16]。此外,功率增大,溅射粒子的速度越快,容易出现薄膜不均匀,同时薄膜的粗糙度越大。因此,高功率溅射InZnO薄膜的XPS实验表征可以观察到较多的氧空位缺陷,这结果与AFM表面分析得到的高功率溅射的薄膜粗糙度较高结果一致。
-
研究不同溅射功率对InZnO TFTs的电学性能的影响,所得到的InZnO TFTs的输出特性曲线如图4(a),(b),(c)和(d)所示。其中VDS变化的范围为0 ~ 40 V,VGS从0 V增加到40 V,步长为5 V。结果显示,在固定的正栅极偏压下,IDS随VDS的增大先增大后趋近于饱和,IDS随VDS的增大说明InZnO TFTs的沟道层为n型半导体。随后IDS趋近于饱和说明VGS对IDS具有很好的调控作用,InZnO薄膜沟道层的中载流子有正常的耗尽。图4中(a)~(d)的输出特性曲线平滑且均未出现波动,可以看出制备的InZnO TFTs没有出现电流拥挤和性能下降的现象,原因可能是InZnO薄膜晶体管的沟道层和源漏电极间形成了良好的欧姆接触,有利于载流子有序电输运,使增加器件的导电能力[5,15]。
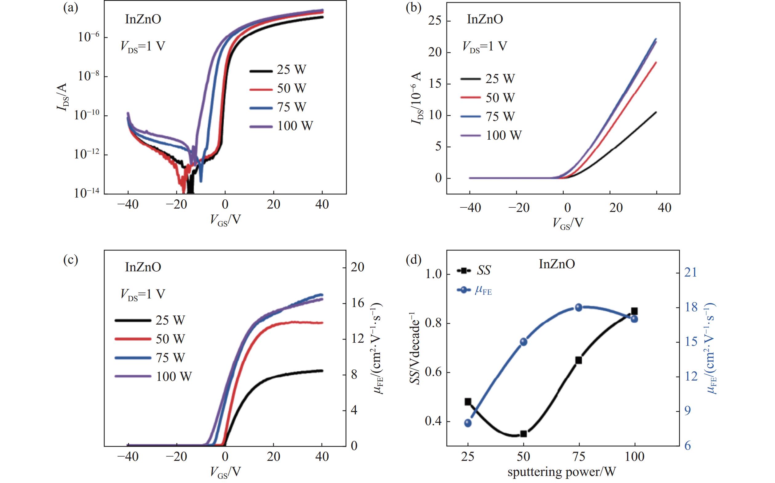
此外,深入分析不同溅射功率下制备的InZnO TFTs的转移(IDS-VGS)特性曲线,如图5(a)所示,VDS=1 V,VGS的测定范围为−40 V到 + 40 V。图5(b)为不同功率制备的InZnO TFTs线性转移特性曲线,测试结果显示IDS随着功率的增大呈现了逐渐增大的趋势。结果表明,随着功率的增大,InZnO器件的导电能力出现先增大后小微减小的趋势。这是因为大功率溅射薄膜时容易形成缺陷,所以溅射功率100 W时电流开始缓慢下降趋势。根据以下公式可以得到InZnO薄膜晶体管的场效应迁移率(μFE),亚阈值摆幅(SS)等主要电学参数[15]:
式中L和W分别为沟道层的长度和宽度分别为150 μm和120 μm,gm为跨导,Cox为单位面积的栅极绝缘层(100 nm, SiO2)的电容,其值为34.5 nF cm−2。
图5(c)描述了不同功率下μFE的大小变化情况,可以看出当功率增大至50 W时,InZnO TFTs的μFE从原来的8.6 cm2V−1s−1增加到了14.8 cm2V−1s−1,随着溅射功率继续增大至75 W时, μFE达到最高值为18.2 cm2V−1s−1,当溅射功率继续从75 增加到100 W时,μFE 开始下降到17.3 cm2V−1s−1,如图5(d)和相应的电学参数列出表1中。这说明,μFE呈现先增大后减小的趋势。这是因为InZnO薄膜溅射功率较大时形成的缺陷增多,载流子输运过程中容易受到散射,粗糙度大的表面和金属接触时也影响载流子的有序输运,因此功率100 W时迁移率开始下降。
通常μFE的变化与薄膜晶体管沟道层中的氧空位缺陷有关,氧空位既可以俘获电子,又可以提供电子的作用[16, 22]。当溅射功率很小时,沟道层中的氧空位的数量较少,提供载流子的数量少,俘获电子的能力大于提供电子的能力,使得场效应迁移率较小;当溅射功率增大时,InZnO 薄膜的氧空位缺陷数量开始增加,氧空位提供电子的能力大于俘获电子的能力,使得InZnO TFTs的场效应迁移率增加。由于溅射功率的继续增加,器件的氧空位的数量越来越多,导致载流子在外加电场时很容易被氧空位吸收和遭到散射的作用,所以InZnO TFTs 的迁移率降低[6,17]。图5(d)展示了SS 的变化趋势,氧化物薄膜晶体管的SS是氧化物TFTs电学性能的另一个重要指标,它与器件的界面缺陷态和稳定性有关,SS 越小,说明界面缺陷态密度小,器件越稳定[23-24]。当功率从25 W增大至50 W时,SS 从0.49 V decade−1减小到 0.38 V decade−1,此时性能较好的原因,考虑是因为随着功率的增大,Ar+的能量增大,使得薄膜的表面相比于25 W时沉积得更加致密,绝缘层-InZnO半导体层界面缺陷态密度较小;随着溅射功率继续增大至75 W,100 W时, SS从0.38 V decade−1增加至0.56 V decade−1和0.87 V decade−1,此时不仅是薄膜体内缺陷增多,而且绝缘层-InZnO 半导体层界面缺陷态密较大,导致稳定性变差。考虑是因为随着功率的继续增大,等离子体能量也继续增大,导致沉积过程中发生了In-O键和Zn-O键断键的现象,造成了更多的空位、裂键等结构缺陷,从而导致界面态变差,最终SS变大或者变差。
通常氧化物薄膜晶体管的SS特性与器件界面缺陷态密度(Dit)有关,InZnO薄膜晶体管的计算利用式(3)[15]:
式中,
$ C\mathrm{_{ox}} $ 为单位面积电容,kBT 和$ q $ 为热能和基本电子电荷。根据式(3)进行计算得出25 W,50 W,75 W和100 W制备InZnO TFTs的Dit值分别为1.5×1012,1.1×1012,1.7×1012和2.8×1012 cm−2eV−1,并列在表1中。结果表明,当50 W时,Dit值是最低的。随着溅射功率的增加Dit先减小后增大;表明器件陷阱态密度先减小后增大,这是因为当溅射功率小于50 W时,较低能量的氩等离子体不足以使InZnO薄膜表面的原子较好的沉积,导致Dit较大;当功率大于50 W时溅射离子的动能较大又破坏薄膜表面,容易出现薄膜不均匀,最终增加绝缘层与沟道层之间的Dit。此外,从器件转移曲线和表1中可以看出,当溅射功率从25增加到50 W 时,Vth由原来的2.3 V 减小到 0.82 V,说明阈值电压控制的很好,原因可能是溅射功率为50 W时,薄膜表面的粗糙度最小,器件的沟道层中的载流子被散射的数量少,更多的载流子可以有序的通过沟道层和源漏电极,使得栅压的控制能力强,所以阈值电压较小[5]。在氧化物半导体薄膜中的载流子浓度与氧空位缺陷有关,许多研究结果认为氧空位可以提供载流子,氧化物薄膜晶体管沟道层很高的载流子浓度耗尽需要较高的电压[15]。随着功率继续增大,其Vth负偏越来越严重,由0.82 V 负偏至−8.6 V,说明Vth控制的能力变弱,是因为氧空位缺陷浓度高,载流子在沟道层中遭到强散射,栅压对载流子的调控能力减弱,很难关闭器件,为了关闭器件需要较大的Vth[25]。在溅射功率为50 W时,器件的开关比达到最大,Ion/Ioff为3×107,开关比越大,器件在很小的栅压范围内就能更好的开启和关闭,因此对器件的调控能力越强。最终,当溅射功率为50 W 时,可以获得InZnOTFTs 的最佳器件电学特性参数。
-
本文研究了射频磁控溅射功率对InZnO薄膜晶体管电学性能的影响。研究结果显示,在溅射功率为50 W时,InZnO薄膜晶体管的亚阈值摆幅为0.38 V decade−1,器件的电流开关比高达3×107,较好的场效应迁移率为14.8 cm2V−1s−1,界面缺陷态密度为1.1×1012 cm−2eV−1,较小的阈值电压为0.82 V等获得最佳器件电学特性参数。这说器件具有更好的栅压调控性能以及器件在较小的栅压就可以开启等良好的电学性能和稳定性。这是因为当溅射功率为50 W时,InZnO薄膜具有较低的表面粗糙度和有效控制氧空位缺陷浓度。总之,通过系统地优化获得了高性能InZnO薄膜晶体管,该器件未来在高分辨率平板显示器领域具有重要的实际应用价值。
溅射功率对InZnO薄膜晶体管电学性能的影响研究
The Influence of Sputtering Power on the Electrical Properties of InZnO Thin-Film Transistors
-
摘要: 采用射频磁控溅射法,在室温下Si/SiO2衬底上制备InZnO薄膜晶体管,并研究不同溅射功率(25,50,75和100 W)对InZnO薄膜晶体管电学性能的影响。XRD表征结果表明,不同溅射功率制备的InZnO薄膜均出现晶面为(002)面的多晶态结构。通过电学特性研究发现,当溅射功率为50 W时,电流的开关比为3×107,场效应迁移率为14.8 cm2V−1s−1,阈值电压为0.82 V,亚阈值摆幅为0.38 V decade−1,界面缺陷态密度为1.1×1012 cm−2eV−1等获得最佳器件参数。这是因为功率50 W时用原子力显微镜测得InZnO薄膜表面粗糙度为0.86 nm,说明薄膜的表面比较平滑,表面缺陷密度较少,使InZnO薄膜沟道层和源漏电极形成了良好的接触。此外,XPS结果表明,当溅射功率为50 W时,能够有效控制氧空位缺陷,最终有效改善和提高InZnO薄膜晶体管的电学性能。Abstract: InZnO thin film transistors (TFTs) were prepared by using the radio frequency magnetron sputtering method on the Si/SiO2 substrates at room temperature. Effects of different sputtering powers (25, 50, 75, and 100 W) on the electrical properties of InZnO TFTs were studied systematically. XRD experimental results show that the InZnO thin film is a poly-crystalline structure with the growth crystal plane of the (002) face. Based on the electrical characterization, it has been found that when the sputtering power is 50 W, the optimal device parameters such as a current on-to-off ratio of 3×107, a field effect mobility of 14.8 cm2V−1s−1, a threshold voltage of 0.82 V, a sub-threshold swing of 0.38 V decade−1, and an interface trap density of 1.1×1012 cm−2eV−1 were obtained. This is because the surface roughness of the InZnO film measured by atomic force microscopy (AFM) at 50 W power is 0.86 nm, which indicates that the surface of the film is relatively smooth, reducing surface defects and making the channel layer of the InZnO film form a good contact with the source and drain electrodes. In addition, XPS results indicate that when the sputtering power is 50 W, oxygen vacancy defects can be effectively controlled, resulting in improving the electrical performance of InZnO TFTs.
-
Key words:
- InZnO /
- Thin-film transistors /
- Mobility /
- Sputtering power .
-
-
图 5 InZnO器件电学性能图。(a)不同溅射功率下制备的InZnO TFTs的转移特性曲线;(b) InZnO TFTs的IDS-VGS线性曲线;(c) InZnO TFTs的场效应迁移率;(d)不同溅射功率下制备的InZnO TFTs的迁移率和亚阈值摆幅变化关系
Figure 5. The electrical performance of InZnO devices. (a) Transfer characteristic curves of InZnO TFTs prepared under different sputtering powers, (b) IDS-VGS linear curve of InZnO TFTs, (c) field effect mobility of InZnO TFTs, (d) the mobility and subthreshold swing of InZnO TFTs prepared under different sputtering powers
表 1 不同溅射功率InZnO TFTs的电学性能参数
Table 1. Electrical performance parameters of InZnO TFTs with different sputtering powers
InZnO薄膜溅射
功率器件参数25 W 50 W 75 W 100 W 电流 IDS /A 1.03×10−5 1.88×10−5 2.32×10−5 2.23×10−5 电流开关比 Ion/Ioff 8×106 3×107 2×107 1×107 场效应迁移率 µFE /cm2V−1s−1 8.6 14.8 18.2 17.3 阈值电压Vth /V 2.3 0.82 −3.1 −8.6 亚阈值斜率 SS /V decade−1 0.49 0.38 0.56 0.87 界面缺陷态密度Dit/cm−2eV−1 1.5×1012 1.1×1012 1.7×1012 2.8×1012 -
[1] Yu X, Marks T J, Facchetti A. Metal oxides for optoelectronic applications[J]. Nature Materials,2016,15(4):383−396 doi: 10.1038/nmat4599 [2] 兰林锋, 张鹏, 彭俊彪. 氧化物薄膜晶体管研究进展[J]. 物理学报,2016,65(12):128504(in chinese) doi: 10.7498/aps.65.128504 Lan L F, Zhang P, Peng J B. Research progress on oxide-based thin film transistors[J]. Acta Physica Sinica,2016,65(12):128504 doi: 10.7498/aps.65.128504 [3] Chen Y F, Geng D, Jang J. Integrated active-matrix capacitive sensor using a-IGZO TFTs for AMOLED[J]. IEEE Journal of the Electron Devices Society,2018,6:214−218 doi: 10.1109/JEDS.2018.2790954 [4] Zhang Y C, He G, Wang L N, et al. Ultraviolet-assisted low-thermal-budget-driven a-InGaZnO thin films for high-performance transistors and logic circuits[J]. ACS Nano,2022,16(3):4961−4971 doi: 10.1021/acsnano.2c01286 [5] Fortunato E, Barquinha P, Martins R. Oxide semiconductor thin-film transistors: a review of recent advances[J]. Advanced Materials,2012,24(22):2945−2986 doi: 10.1002/adma.201103228 [6] Shim G W, Hong W, Cha J H, et al. TFT channel materials for display applications: from amorphous silicon to transition metal dichalcogenides[J]. Advanced Materials,2020,32(35):1907166 doi: 10.1002/adma.201907166 [7] 荆斌, 徐萌, 彭聪等. 高负偏光照稳定性的溶液法像素级IZTO TFT[J]. 物理学报,2022,71(13):138502(in chinese) doi: 10.7498/aps.71.20220154 Jing B, Xu M, Peng C, et al. Sol-gel indium zinc tin oxide thin film transistor pixel array with superior stability under negative bias illumination stress[J]. Acta Physica Sinica,2022,71(13):138502 doi: 10.7498/aps.71.20220154 [8] 康皓清, 傅若凡, 杨建文, 等. 非晶铟锌钨氧化物薄膜晶体管的电学性能和稳定性研究[J]. 真空科学与技术学报,2018,38(9):772−778(in chinese) doi: 10.13922/j.cnki.cjovst.2018.09.06 Kang H Q, Fu R F, Yang J W, et al. Performance and stability of thin film transistors made of amorphous indium zinc tungsten oxides[J]. Chinese Journal of Vacuum Science and Technology,2018,38(9):772−778 doi: 10.13922/j.cnki.cjovst.2018.09.06 [9] Ding X W, Yang B, Xu H Y, et al. Low-temperature fabrication of IZO thin film for flexible transistors[J]. Nanomaterials,2021,11(10):2552−2561 doi: 10.3390/nano11102552 [10] Zhao M J, Zhang Z W, Xu Y C, et al. High-performance back-channel-etched thin-film Transistors with an InGaO/InZnO stacked channel[J]. Physica Status Solidi a, 2020, 217: 1900773 [11] Bussell B C, Gibson P N, Lawton J, et al. The effect of RF plasma power on remote plasma sputtered AZO thin films[J]. Surface & Coatings Technology,2022,442:128402 [12] Shan F, Yoo S, Lee J Y, et al. Analysis of electronic characteristics of plasma-enhanced indium zinc oxide thin film transistors[J]. Journal of Electrical Engineering & Technology,2023,18:509−514 [13] Yang W G, Yang H, Su J B, et al. Preparation and electrical properties of Ni-doped InZnO thin film transistors[J]. Materials Science in Semiconductor Processing,2023,153:107147 doi: 10.1016/j.mssp.2022.107147 [14] Cho S I, Woo N, Jeong H J, et al. Inserting interfacial layer for atomic-scaled hydrogen control to enhance electrical properties of InZnO TFTs[J]. IEEE Electron Device Letters,2023,44(4):650−653 doi: 10.1109/LED.2023.3250439 [15] Park J S, Maeng W J, Kim H S, et al. Review of recent developments in amorphous oxide semiconductor thin-film transistor devices[J]. Thin Solid Films,2011,520(6):1679−1693 [16] Ide K, Nomura K, Hosono H, et al. Electronic defects in amorphous oxide semiconductors: a review[J]. Physica Status Solidi (a),2019,216(5):1800372 doi: 10.1002/pssa.201800372 [17] Liang L Y, Zhang H B, Li T, et al. Addressing the conflict between mobility and stability in oxide thin-film transistors[J]. Advanced Science,2023,10:2300373 doi: 10.1002/advs.202300373 [18] Abliz A, Xu L, Wan D, et al. Effects of yttrium doping on the electrical performances and stability of ZnO thin-film transistors[J]. Applied Surface Science,2019,475:565−570 doi: 10.1016/j.apsusc.2018.12.236 [19] Abliz A, Wan D, Yang L Y, et al. Investigation on the electrical performances and stability of W-doped ZnO thin-film transistors[J]. Materials Science in Semiconductor Processing,2019,95:54−58 doi: 10.1016/j.mssp.2019.01.027 [20] Lu K K, Yao R H, Wang Y P, et al. Effects of praseodymium doping on the electrical properties and aging effect of InZnO thin-film transistor[J]. Journal of Materials Science,2019,54(24):14778−14786 doi: 10.1007/s10853-019-03941-7 [21] Liu Y Y, Zhao J F, Li Y H, et al. Fabrication and characterization of In2O3-SnO2-ZnO thin film transistor[J]. Chinese Journal of Vacuum Science and Technology, 2016, 36(4): 391-396(刘媛媛, 赵继凤, 李延辉, 等. 溅射气压对铟锡氧化物薄膜晶体管性能的影响[J]. 真空科学与技术学报, 2016, 36(4): 391-396 in Chinese) [22] Abliz A, Rusul A, Duan H M, et al. Investigation of the electrical properties and stability of HfInZnO thin-film transistors[J]. Chinese Journal of Physics,2020,68:788−795 doi: 10.1016/j.cjph.2020.09.034 [23] He J W, Li G L, Lv Y W, et al. Defect self-compensation for high-mobility bilayer InGaZnO/In2O3 thin-film transistor[J]. Advanced Electronic Materials,2019,5(6):1900125 doi: 10.1002/aelm.201900125 [24] 张鹤, 王耀功, 王若铮, 等. 快速热处理方法对铟镓锌氧化物薄膜晶体管特性的改善[J]. 真空科学与技术学报,2020,40(3):214−219(in chinese) doi: 10.13922/j.cnki.cjovst.2020.03.06 Zhang H, Wang Y G, Wang R Z, et al. Characteristics improvement of In-Ga-Zn oxide thin film transistors by rapid post annealing[J]. Chinese Journal of Vacuum Science and Technology,2020,40(3):214−219 doi: 10.13922/j.cnki.cjovst.2020.03.06 [25] Su J B, Wang Y, Ma Y B, et al. Preparation and electrical characteristics of N-doped In-Zn-Sn-O thin film transistors by radio frequency magnetron sputtering[J]. Journal of Alloys and Compounds,2018,750:1003−1006 doi: 10.1016/j.jallcom.2018.04.058 -
首页
登录
注册


下载: