高性能La-Co共替代M型永磁铁氧体的磁各向异性增强机理研究进展

上一篇

下一篇

刘若水, 王利晨, 俞翔, 孙洋, 何诗悦, 赵同云, 沈保根. 高性能La-Co共替代M型永磁铁氧体的磁各向异性增强机理研究进展[J]. 物理学报, 2024, 73(12): 126101-1. doi: 10.7498/aps.73.20240190
引用本文: 刘若水, 王利晨, 俞翔, 孙洋, 何诗悦, 赵同云, 沈保根. 高性能La-Co共替代M型永磁铁氧体的磁各向异性增强机理研究进展[J]. 物理学报, 2024, 73(12): 126101-1. doi: 10.7498/aps.73.20240190
Ruo-Shui Liu, Li-Chen Wang, Xiang Yu, Yang Sun, Shi-Yue He, Tong-Yun Zhao, Bao-Gen Shen. Research progress of magnetic anisotropy enhancement mechanism of high-performance La-Co co-substituted M-type permanent magnet ferrites[J]. Acta Physica Sinica, 2024, 73(12): 126101-1. doi: 10.7498/aps.73.20240190
Citation: Ruo-Shui Liu, Li-Chen Wang, Xiang Yu, Yang Sun, Shi-Yue He, Tong-Yun Zhao, Bao-Gen Shen. Research progress of magnetic anisotropy enhancement mechanism of high-performance La-Co co-substituted M-type permanent magnet ferrites[J]. Acta Physica Sinica, 2024, 73(12): 126101-1. doi: 10.7498/aps.73.20240190

高性能La-Co共替代M型永磁铁氧体的磁各向异性增强机理研究进展

    作者简介: 刘若水: liuruoshui@nimte.ac.cn .
    通讯作者: E-mail: shenbaogen@nimte.ac.cn.
  • 中图分类号: 61.05.F-, 68.55.Ln, 75.30.Gw, 75.47.Lx

Research progress of magnetic anisotropy enhancement mechanism of high-performance La-Co co-substituted M-type permanent magnet ferrites

    Corresponding author: E-mail: shenbaogen@nimte.ac.cn.
  • MSC: 61.05.F-, 68.55.Ln, 75.30.Gw, 75.47.Lx

  • 摘要: 自20世纪末以来, La-Co共替代的M型铁氧体备受关注, 已成为高性能永磁铁氧体的基础材料. Co2+的未淬灭轨道矩被认为是增强铁氧体单轴各向异性的原因, 但其微观作用机理尚未完全解释清楚. 为了满足铁氧体材料日益增长的性能需求, 理解其磁各向异性增强机理至关重要, 并寻求从根源上的提升、低成本和高效的方法, 以制定开发高性能产品的指导原则. 本文综述了一系列研究工作, 旨在确定Co离子在晶格中的取代位置, 这是增强磁各向异性的关键. 这些研究为进一步提高永磁铁氧体的磁性能提供了重要的材料设计参考.
  • 加载中
  • 图 1  从1950年代至2023年关于铁氧体作为永磁材料的科学论文发表量的历史演变(来源: Scopus-以关键词“Ferrite permanent magnet”搜索获得的结果)

    Figure 1.  Historical evolution of the number of scientific papers published on ferrite as a permanent magnet material from the 1950 s to 2023 (Source: Scopus- search results by keyword “Ferrite permanent magnet”).

    图 2  TDK公司铁氧体磁体的磁特性变化[23]

    Figure 2.  Changes in magnetic properties of ferrite magnets in TDK corporation[23].

    图 3  2021—2025年三大领域永磁铁氧体需求预测(数据来源: 中国电子材料协会磁性材料分会华经产业研究院[25])

    Figure 3.  Forecast of ferrite magnets demand in three major fields, 2021—2025 (Data source: Huajng Industrial Research Institute of Magnetic Materials Branch, China Electronic Materials Association[25]).

    图 4  BaFe12O19单位晶胞的晶体结构和各Fe晶位示意图

    Figure 4.  Crystal structure of the unit cell of BaFe12O19 and the schematic diagrams of each Fe crystal site.

    图 5  (a) Sr1–xLaxCoxFe12–xO19在1200 ℃烧结温度下的磁性能[9]; (b)各向同性Sr铁氧体经La-Co添加后的磁性能变化(空心符号表示La-Co添加样品, 实心符号表示Cr2O3添加样品)[62]; (c)在–100—+140 ℃温度范围内, x = 0.0—0.2的La-Co替代Sr铁氧体的Br[α(Br)]和HcJ[β(HcJ)]的温度系数[62]

    Figure 5.  (a) Magnetic properties of Sr1–xLaxCoxFe12–xO19 at a sintering temperature of 1200 ℃[9]; (b) variation of magnetic properties of isotropic Sr ferrite with La-Co addition (hollow symbols denote the La-Co added samples and solid symbols denote the Cr2O3 added samples)[62]; (c) in the temperature range of –100 ℃ to +140 ℃, the temperature coefficients of Br[α(Br)] and HcJ[β(HcJ)] for La-Co substituted Sr ferrites with x = 0.0–0.2[62].

    图 6  离子RE替代SrM铁氧体的(a)饱和磁化强度和(b)磁各向异性[89]

    Figure 6.  (a) Saturation magnetization and (b) magnetic anisotropy of RE-substituted SrM[89].

    图 7  在四面体和八面体配位环境中晶体场分裂和Co2+ (3d7)的占据[49]

    Figure 7.  Crystal field splitting and Co2+ (3d7) occupation in tetrahedral and octahedral coordination environments[49].

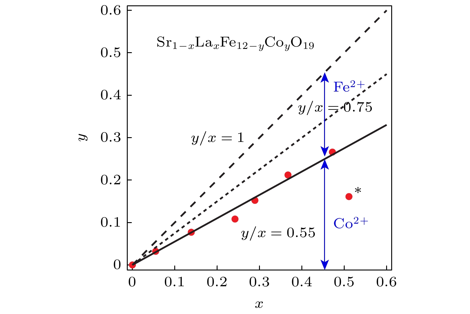
    图 8  对于Sr1–xLaxFe12–yCoyO19, WDX测定的Co浓度y与La浓度x的比值(虚线分别代表x = yy/x = 0.75)[140], x > y样品中的La3+电荷补偿由Co2+和Fe2+完成

    Figure 8.  Ratio of Co concentration y to La concentration x determined by WDX for Sr1–xLaxFe12–yCoyO19 (dashed lines represent x = y and y/x = 0.75, respectively) [140]. Charge compensation for La3+ in the sample x > y is accomplished by Co2+ and Fe2+.

    图 9  Na2O助熔剂法制备的(a) La-SrM和(b) La-Co SrM单晶的难、易轴磁化曲线[140]; (c) (Na/Ca-)La-Co替代SrM系列样品在5 K下的磁各向异性场HA随Co替代浓度的变化[140,142145](图中直线帮助判断HA增长趋势)

    Figure 9.  Hard- and easy-axis magnetization curves of (a) La-SrM and (b) La-Co SrM single crystals prepared by the Na2O flux method[140]; (c) variation of the magnetic anisotropy field HA with the concentration of Co substitution for a series of samples of (Na/Ca-)La-Co substituted SrM at 5 K [140,142145] (the straight line helps to determine the trend of the HA growth).

    图 10  (a) SrFe12–xCoxO19在5 K下的磁各向异性场HA随Co浓度x的变化, 与文献[140]中La-Co SrM单晶(蓝色方块)的数据进行对比, 高亮区域表明, 在该Co浓度范围内, Co-SrM的HA高于La-Co SrM, 插图是Co-SrM和La-Co SrM晶格参数c/a比值; (b)所有样品HA的温度依赖性[151]

    Figure 10.  (a) Variation of the magnetic anisotropy field HA of SrFe12–xCoxO19 as a function of Co concentration x at 5 K, compared with data for La-Co SrM single crystals (blue squares) from the literature[140]. The highlighted regions indicate that the HA of Co-SrM is higher than that of La-Co SrM in this Co concentration range. And the inset is the ratio of the lattice parameters c/a for Co-SrM and La-Co SrM. (b) Temperature dependence of HA for all samples[151].

    图 11  (a) (La, Co)0.4共替代M型锶铁氧体单晶的零场59Co NMR谱; (b)高频区放大的单晶59Co NMR谐振S2和S3[115]

    Figure 11.  (a) Zero-field 59Co NMR spectrum of (La, Co)0.4 substituted M-type ferrite single crystal; (b) amplified 59Co NMR resonances S2 and S3 in the high-frequency region[115].

    图 12  La-Co SrM中Co的电荷和自旋态以及替代晶位的总结[115], 说明了S1的两种情况, Co2+的主要替代晶位发生在(a)八面体4f2晶位, (b)四面体4f1晶位

    Figure 12.  Charge and spin states of Co in La-Co SrM and summary of alternative crystal sites[115]. Two cases of S1 are illustrated: The main alternative sites for Co2+ occur in (a) the octahedral 4f2, (b) the tetrahedral 4f1.

    图 13  Co浓度(y)对S1信号恢复场(Hr)的依赖性. 作为参考, 5 K时各向异性场HA的Co浓度依赖性如红点所示. 插图为S2和S3的Hr[116]

    Figure 13.  Dependence of Co concentration (y) on the recovery field (Hr) of S1signal. As a reference, the Co concentration dependence of the anisotropic field HA at 5 K is shown in red dots. The insets show the Hr of S2 and S3[116] .

    图 14  当前La-Co SrM中Co占位的主流观点

    Figure 14.  Current view of Co occupnacy in La-Co SrM.

    表 1  国内外永磁铁氧体产品的最高性能

    Table 1.  Top performance of domestic and international ferrite magnets.

    公司 国家 牌号 Br/mT Hcb/(kA·m–1) HcJ/(kA·m–1) (BH )max/(kJ·m–3)
    TDK[23] 日本 FB13B 475 340 380 44.0
    FB14H 470 355 430 43.1
    日立金属[31] NMF-15 480 342 382 44.0
    横店东磁[27] 中国 DM4748 460 328 368 41.5
    北矿磁材[28] BMS-9.3 420 318 398 33.5
    江益磁材[29] JPM-12B 450 310 350 38.2
    龙磁科技[30] SM13N 450 278 298 38.1
    下载: 导出CSV

    表 2  磁铅石型铁氧体AFe12O19A和Fe晶位的相对磁矩方向

    Table 2.  Relative magnetic moment orientations of A and Fe sites in AFe12O19.

    元素Wyckoff晶位氧配位数晶位形状磁矩方向
    A2d12
    Fe2a6八面体
    2b5双锥体
    4f14四面体
    4f26八面体
    12k6八面体
    下载: 导出CSV

    表 3  各国研究者用不同测量方法关于La-Co SrM中Co占据晶位的研究结论(●: 肯定或很可能; ▲: 可能, 但值得怀疑)

    Table 3.  Conclusions of researchers from various countries on the occupation of crystalline sites by Co in La-Co SrM using different measurements (●: certain or very likely; ▲: possible, but doubtful).

    样品 作者和年份 国家 检测方法 Co2+占位
    2a 2b 4f1 4f2 12k
    多晶 Pieper等, 2002[100] 澳大利亚 57Fe-NMR
    Pieper等, 2002[101] 57Fe, 139La和 59Co-NMR
    Moral等, 2002[102] 法国 57Fe-Mössbauer, Raman
    Le Breton等, 2002[103] 57Fe-Mössbauer
    Wiesinger等, 2002[104] 澳大利亚 57Fe-Mössbauer, 57Fe和59Co-NMR
    Lechevallier等, 2003[97] 法国 57Fe-Mössbauer
    Lechevallier等, 2004[105] 57Fe-Mössbauer
    Choi等, 2006[106] 韩国 57Fe-Mössbauer
    Kobayashi等, 2011[107] 日本 Neutron Diffraction, EXAFS, XMCD
    Kouřil, 2013[109] 捷克 57Fe-NMR
    Wu等, 2015[110] 中国 Raman, XPS
    Ohtsuka等, 2016[111] 日本 TEM-EDXS
    Mahadevan等, 2020[112] 印度 57Fe-Mössbauer, Raman
    单晶 Nagasawa等, 2016[113] 日本 57Fe-Mössbauer
    Oura等, 2018[114] 57Fe-Mössbauer, XES
    Sakai等, 2018[115] 57Fe和59Co-NMR
    Nakamura等, 2019[116] 59Co-NMR
    Nagasawa等, 2020[117] 外场作用下的57Fe-Mössbauer
    下载: 导出CSV

    表 4  (Na/Ca-)La-Co替代SrM系列样品在5 K下的磁各向异性场HA

    Table 4.  Magnetic anisotropy field HA at 5 K for (Na/Ca-)La-Co substituted SrM series samples.

    样品 制备方法 替代浓度 5 K时的磁各向异性场 HA/kOe
    x y
    Sr1–xLaxFe12–yCoyO19[140] Na2O助熔剂法生长的单晶 0 0 17.50
    0.055 0.032 17.22
    0.139 0.077 19.46
    0.242 0.108 18.62
    0.289 0.152 21.57
    0.367 0.212 24.36
    0.511 0.161 22.17
    0.472 0.266 25.57
    Sr1–xLaxFe12–yCoyO19[142] 高氧压移动溶剂浮区法生长的单晶 0.2 0.2 21.77
    0.4 0.4 27.96
    Sr1–xLaxFe12–yCoyO19[143] 高氧压固相反应法合成的多晶 0.21 0.21 21.18
    0.30 0.30 21.76
    0.39 0.39 24.41
    0.41 0.41 27.06
    0.72 0.72 34.12
    0.93 0.93 42.35
    1.00 1.00 56.76
    Ca13–nxLaxFenyCoyO19
    (n = 11.87—11.93,
    根据不同Co替代量
    而改变)[144]
    CaO助熔剂法生长的单晶 0.52 0.07 15.26
    0.52 0.10 17.35
    0.56 0.17 23.15
    0.48 0.16 25.65
    0.59 0.27 28.31
    0.37 0.17 26.89
    0.56 0.36 31.54
    NaaxLaxFenyCoyO19 (a = 0.25—0.41,
    n = 11.84—11.97, 根据不同Co
    替代量而改变)[145]
    Na2O助熔剂法生长的单晶 0.82 0.12 25.72
    0.79 0.21 25.61
    0.83 0.31 29.61
    下载: 导出CSV

    表 5  通过中子衍射和Rietveld分析得到7个候选模型, 显示了Co的占据晶位[107]

    Table 5.  Seven candidate models obtained by neutron diffraction and Ritveld analysis showing Co occupied sites[107].

    模型2a2b4f14f212k
    11.00
    21.00
    30.350.65
    40.310.69
    50.880.12
    60.470.53
    70.220.380.40
    下载: 导出CSV

    表 6  Co2+和Co3+的高、低自旋值, 其中给出了八面体、四面体和双锥体对称的低自旋值, 而其中具有$ {{\mathrm{e}}}_{{\mathrm{g}}}^{4}{{\mathrm{t}}}_{2{\mathrm{g}}}^{3} $构型的四面体Co2+只有S = 3/2的单自旋态

    Table 6.  High and low spin values of Co2+ and Co3+. The low spin values of octahedral, tetrahedral and bipyramidal symmetries are given, where the tetrahedron Co2+ with $ {{\mathrm{e}}}_{{\mathrm{g}}}^{4}{{\mathrm{t}}}_{2{\mathrm{g}}}^{3} $ configuration has only S = 3/2 single spin states.

    类别高自旋低自旋
    八面体四面体双锥体
    Co2+(d7)3/21/21/2
    Co3+(d6)2011
    下载: 导出CSV

    表 7  Sr1–xLaxFe12–yCoyO19 (x = 0.289, y = 0.152)的59Co共振[155]

    Table 7.  59Co resonances of Sr1–xLaxFe12–yCoyO19 (x = 0.289, y = 0.152)[155].

    记号中心频率/MHz局域场大小/T相对丰度
    S1868.60.73
    S230730.60.16
    S338638.50.11
    S452952.7<0.002
    下载: 导出CSV
  • [1] Went J, Rathenau G, Gorter E, Van Oosterhout G 1952 Phy. Rev. 86 424 doi: 10.1103/PhysRev.86.424.2
    [2] Went J J, Rathenau G W, Gorter E W, Oosterhout G W V 1952 Philips Tech. Rev. 13 194
    [3] Granados-Miralles C, Jenuš P 2021 J. Phys. D Appl. Phys. 54 303001 doi: 10.1088/1361-6463/abfad4
    [4] Coey J M D 2002 J. Magn. Magn. Mater. 248 441 doi: 10.1016/S0304-8853(02)00335-9
    [5] Pullar R C 2012 Prog. Mater. Sci. 57 1191 doi: 10.1016/j.pmatsci.2012.04.001
    [6] Gutfleisch O, Willard M A, Bruck E, Chen C H, Sankar S G, Liu J P 2011 Adv. Mater. 23 821 doi: 10.1002/adma.201002180
    [7] de Julian Fernandez C, Sangregorio C, de la Figuera J, Belec B, Makovec D, Quesada A 2020 J. Phys. D Appl. Phys. 54 153001 doi: 10.1088/1361-6463/abd272
    [8] Bollero A, Rial J, Villanueva M, Golasinski K M, Seoane A, Almunia J, Altimira R 2017 ACS Sustain. Chem. Eng. 5 3243 doi: 10.1021/acssuschemeng.6b03053
    [9] Iida K, Minachi Y, Masuzawa K, Kawakami M, Nishio H, Taguchi H 1999 J. Magn. Soc. Jpn. 23 1093 doi: 10.3379/jmsjmag.23.1093
    [10] Coey J M 2014 J. Phys. Condens. Matter 26 064211 doi: 10.1088/0953-8984/26/6/064211
    [11] Cochardt A 1966 J. Appl. Phys. 37 1112 doi: 10.1063/1.1708357
    [12] Taguchi H 1998 KONA Powder Part. J. 16 116 doi: 10.14356/kona.1998014
    [13] Goldman A 2006 Modern Ferrite Technology (New York: Springer Science & Business Media
    [14] Went J 1952 Philips Tech. Rev. 13 361
    [15] Stuijts A, Rathenau G, Weber G 1954 Philips Tech. Rev. 16 209
    [16] Deshpande U S 2003 IEEE International Electric Machines and Drives Conference IEMDC'03 Madison, WI, USA, June 1-4, 2003 p509
    [17] Chen C H, Yi P 2014 Proceedings of 2014 International Conference on NdFeB Magnets: Supply Chain, Critical Properties, & Applications Ningbo, China, March 2−5, 2014 p126
    [18] Tech-Mag T https://www.tdk.com/en/tech-mag/ferrite02/012#section3 [2021-12-3]
    [19] Coey J M D 2020 Engineering 6 119 doi: 10.1016/j.eng.2018.11.034
    [20] Bollero A, Palmero E M 2022 Modern Permanent Magnets Chapter 3-Recent Advances in Hard-Ferrite Magnets ( Woodhead Publishing
    [21] TDK https://product.tdk.com/en/system/files?file=dam/doc/product/magnet/magnet/ferrite/datasheets/magnet_fb_summary_en.pdf [2021-12-3]
    [22] Hitachi Metals L http://www.hitachi-metals.co.jp/e/products/auto/el/p03_01_g.html [2021-12-3]
    [23] TDK Ferrite Magnets Catalog https://product.tdk.com/en/products/magnet/magnet/ferrite/index.html [2021-12-3]
    [24] 翁兴园 2021 新材料产业 4 32 doi: 10.19599/j.issn.1008-892x.2021.04.009 Weng X Y 2021 Adv. Mater. Indus. 4 32 doi: 10.19599/j.issn.1008-892x.2021.04.009
    [25] 华经产业研究 https://baijiahao.baidu.com/s?id=1749074365467103880&wfr=spider&for=pc [2023-2-13]
    [26] 陈羽峰, 徐斌 2022 磁性材料及器件 54 108 doi: 10.19594/j.cnki.09.19701.2023.01.018 Chen Y F, Xu B 2022 J. Mag. Mater. Dev. 54 108 doi: 10.19594/j.cnki.09.19701.2023.01.018
    [27] 横店东磁磁性产品 http://www.chinadmegc.com/product/1.html [2024-1-28]
    [28] 北矿磁材科技有限公司-烧结永磁铁氧体磁粉(BGRIMM Magnetic Materials & Technology Co. , Ltd) http://www.magmat.com/cpysc/yctytcf/index.htm [2022-11-15]
    [29] 江益磁材湿式异方性铁氧体永磁产品结构http://www.jpmf.com.cn/displayproduct.html?id=3806471777899840 [2022-11-15]
    [30] 安徽龙磁科技股份有限公司永磁铁氧体磁性能牌号表https://www.sinomagtech.com/cpzx/yctyt/ [2024-1-28]
    [31] Hitachi catalogue http://www.hitachi-metals.co.jp/e/products/auto/el/p03_05.html [2022-11-15]
    [32] 翁兴园 2013 新材料产业 4 31 doi: 10.3969/j.issn.1008-892X.2013.08.007 Weng X Y 2013 Adv. Mater. Indus. 4 31 doi: 10.3969/j.issn.1008-892X.2013.08.007
    [33] Smit B J, Wijn H P 1959 Ferrites, Philips Technical Library (The Netherlands: Eindhoven
    [34] Aminoff G 1925 Geologiska Fö reningen i Stockholm Fö rhandlingar 47 283 doi: 10.1080/11035892509448164
    [35] Adelsköld V 1938 Arkiv. Kemi. Min. Geol. 12a 1
    [36] Harris V G, Geiler A, Chen Y, Yoon S D, Wu M, Yang A, Chen Z, He P, Parimi P V, Zuo X, Patton C E, Abe M, Acher O, Vittoria C 2009 J. Magn. Magn. Mater. 321 2035 doi: 10.1016/j.jmmm.2009.01.004
    [37] Kojima H 1982 Handb. Ferromagn. Mater. 3 305 doi: 10.1016/S1574-9304(05)80091-4
    [38] Kreisel J, Vincent H, Tasset F, Paté M, Ganne J P 2001 J. Magn. Magn. Mater. 224 17 doi: 10.1016/S0304-8853(00)01355-X
    [39] Townes W, Fang J, Perrotta A 1967 Z. Krist. -Cryst. Mater. 125 437 doi: 10.1524/zkri.1967.125.16.437
    [40] Braun P B 1957 Philips Res. Rep. 12 491
    [41] Bilovol V, Martínez-García R 2015 J. Phy. Chem. Solids 86 131 doi: 10.1016/j.jpcs.2015.07.006
    [42] Harris V G 2012 IEEE T. Magn. 48 1075 doi: 10.1109/TMAG.2011.2180732
    [43] Cullity B D, Graham C D 2011 Introduction to Magnetic Materials (Hoboken: John Wiley & Sons
    [44] Jahn L, Müller H G 1969 Phys. Status Solidi B 35 723 doi: 10.1002/pssb.19690350222
    [45] Coey J M 2010 Magnetism and Magnetic Materials (Cambridge: Cambridge University Press
    [46] Stäblein H 1982 Handb. Ferromagn. Mater. 3 441 doi: 10.1016/S1574-9304(05)80093-8
    [47] Cui J, Kramer M, Zhou L, Liu F, Gabay A, Hadjipanayis G, Balasubramanian B, Sellmyer D 2018 Acta Mater. 158 118 doi: 10.1016/j.actamat.2018.07.049
    [48] Selvaraj S, Gandhi U, Berchmans L J, Mangalanathan U 2021 Mater. Tech. 36 36 doi: 10.1080/10667857.2020.1723832
    [49] Waki T 2022 J. Jpn. Soc. Powder Powder Metall. 69 149 (in Japanese doi: 10.2497/jjspm.69.149
    [50] Mahmood S H, Abu-Aljarayesh I 2016 Hexaferrite Permanent Magnetic Materials (Materials Research Forum LLC
    [51] Lisjak D, Mertelj A 2018 Prog. Mater. Sci. 95 286 doi: 10.1016/j.pmatsci.2018.03.003
    [52] 任延英, 李雅宁, 柳洪盛, 徐楠, 郭坤, 徐朝辉, 陈鑫, 高峻峰 2024 物理学报 73 066104 doi: 10.7498/aps.73.20231744shu Ren Y Y, Li Y N, Liu H S, Xu N, Guo K, Xu Z H, Chen X, Gao J F 2024 Acta Phys. Sin. 73 066104 doi: 10.7498/aps.73.20231744shu
    [53] Rhein F, Helbig T, Neu V, Krispin M, Gutfleisch O 2018 Acta Mater. 146 85 doi: 10.1016/j.actamat.2017.12.010
    [54] Trukhanov A V, Kostishyn V G, Panina L V, Jabarov S H, Korovushkin V V, Trukhanov S V, Trukhanova E L 2017 Ceram. Int. 43 12822 doi: 10.1016/j.ceramint.2017.06.172
    [55] Trukhanov S V, Trukhanov A V, Turchenko V A, Kostishyn V G, Panina L V, Kazakevich I S, Balagurov A M 2016 J. Alloy Compd. 689 383 doi: 10.1016/j.jallcom.2016.07.309
    [56] Li J, Hong Y, He S, Li W K, Bai H, Xia Y H, Sun G A, Zhou Z X 2022 J. Adv. Ceram. 11 263 doi: 10.1007/s40145-021-0529-3
    [57] Nguyen H H, Jeong W H, Phan T L, Lee B W, Yang D S, Tran N, Dang N T 2021 J. Magn. Magn. Mater. 537 168195 doi: 10.1016/j.jmmm.2021.168195
    [58] Albanese G, Deriu A 1979 Ceram. Int. 5 3 doi: 10.1016/0390-5519(79)90002-4
    [59] Dionne G F 2009 Magnetic Oxides (New York: Springer
    [60] Summergrad R N, Banks E 1957 J. Phys. Chem. Solids 2 312 doi: 10.1016/0022-3697(57)90076-8
    [61] Le Roux D, Vincent H, Joubert J C, Vallet-Regi M 1988 Mater. Res. Bull. 23 299 doi: 10.1016/0025-5408(88)90001-3
    [62] Ogata Y, Kubota Y, Takami T, Tokunaga M, Shinokara T 1999 IEEE T. Magn. 35 3334 doi: 10.1109/20.800516
    [63] Tenaud P, Morel A, Kools F, Le Breton J M, Lechevallier L 2004 J. Alloy Compd. 370 331 doi: 10.1016/j.jallcom.2003.09.106
    [64] Kools F, Morel A, Grössinger R, Le Breton J M, Tenaud P 2002 J. Magn. Magn. Mater. 242-245 1270 doi: 10.1016/S0304-8853(01)00988-X
    [65] Nishio H, Minachi Y, Yamamoto H 2009 IEEE T. Magn. 45 5281 doi: 10.1109/TMAG.2009.2026044
    [66] Kikuchi T, Nakamura T, Yamasaki T, Nakanishi M, Fujii T, Takada J, Ikeda Y 2010 J. Magn. Magn. Mater. 322 2381 doi: 10.1016/j.jmmm.2010.02.041
    [67] Nishio H, Yamamoto H 2011 IEEE T. Magn. 47 3641 doi: 10.1109/TMAG.2011.2144571
    [68] Kobayashi Y, Hosokawa S, Oda E, Toyota S 2008 J. Jpn. Soc. Powder Powder Metall. 55 541 doi: 10.2497/jjspm.55.541
    [69] Du Y B, Liu Y, Lian L X, Du J 2019 J. Magn. Magn. Mater. 469 189 doi: 10.1016/j.jmmm.2018.08.043
    [70] Chen Z, Wang F, Yan S, Nie Y, Feng Z, Chen Y, Harris V G, Zhang S 2014 J. Am. Ceram. Soc. 97 1873 doi: 10.1111/jace.12862
    [71] Chen Z, Wang F, Yan S, Feng Z 2014 Mat. Sci. Eng. B 182 69 doi: 10.1016/j.mseb.2013.11.027
    [72] Zhu D, Geng Z, Liu R S, Zhou X, Jia L, Hu G, Wang Q, Li B 2020 Rare Metals 39 89 doi: 10.1007/s12598-019-01260-z
    [73] Li X, Yang W G, Bao D X, Meng X D, Lou B Y 2013 J. Magn. Magn. Mater. 329 1 doi: 10.1016/j.jmmm.2012.10.004
    [74] Huang X, Liu X S, Yang Y J, Huang K, Niu X F, Jin D L, Gao S, Ma Y Q, Huang F, Lv F R, Feng S J 2015 J. Magn. Magn. Mater. 378 424 doi: 10.1016/j.jmmm.2014.09.049
    [75] Yang Y J, Wang F H, Shao J X, Huang D H, Liu X X, Feng S J, Wen C E 2015 J. Magn. Magn. Mater. 384 64 doi: 10.1016/j.jmmm.2015.02.016
    [76] Kang Y M, Moon K S 2015 Ceram. Int. 41 12828 doi: 10.1016/j.ceramint.2015.06.119
    [77] Lotgering F K 1974 J. Phys. Chem. Solids 35 1633 doi: 10.1016/S0022-3697(74)80176-9
    [78] Deschamps A, Bertaut F 1957 Compt. Rend. 244 3069
    [79] Wang J F, Ponton C B, Harris I R 2001 J. Magn. Magn. Mater. 234 233 doi: 10.1016/S0304-8853(01)00366-3
    [80] Lechevallier L, Le Breton J M, Wang J F, Harris I R 2004 J. Magn. Magn. Mater. 269 192 doi: 10.1016/S0304-8853(03)00591-2
    [81] Wang J F, Ponton C B, Grössinger R, Harris I R 2004 J. Alloys Compd. 369 170 doi: 10.1016/j.jallcom.2003.09.097
    [82] Sharma P, Verma A, Sidhu R K, Pandey O P 2003 J. Alloys Compd. 361 257 doi: 10.1016/S0925-8388(03)00390-6
    [83] Grossinger R, Kupferling M, Tellez Blanco J C, Wiesinger G, Muller M, Hilscher G, Pieper M W, Wang J F, Harris I R 2003 IEEE T. Magn. 39 2911 doi: 10.1109/TMAG.2003.815745
    [84] Mocuta H, Lechevallier L, Le Breton J M, Wang J F, Harris I R 2004 J. Alloys Compd. 364 48 doi: 10.1016/S0925-8388(03)00545-0
    [85] Wang J F, Ponton C B, Harris I R 2005 J. Alloys Compd. 403 104 doi: 10.1016/j.jallcom.2005.05.025
    [86] Ounnunkad S 2006 Solid State Commun. 138 472 doi: 10.1016/j.ssc.2006.03.020
    [87] Litsardakis G, Manolakis I, Efthimiadis K 2007 J. Alloys Compd. 427 194 doi: 10.1016/j.jallcom.2006.02.044
    [88] Lechevallier L, Le Breton J M, Morel A, Tenaud P 2008 J. Phys. Condens. Mat. 20 175203 doi: 10.1088/0953-8984/20/17/175203
    [89] Seifert D, Töpfer J, Stadelbauer M, Grössinger R, Le Breton J M 2011 J. Am. Ceram. Soc. 94 2109 doi: 10.1111/j.1551-2916.2010.04363.x
    [90] Waki T, Inoue G, Tabata Y, Nakamura H 2020 IEEE T. Magn. 56 6702304 doi: 10.1109/TMAG.2019.2961991
    [91] Lucchini E, Slokar G 1980 J. Magn. Magn. Mater. 21 93 doi: 10.1016/0304-8853(80)90492-8
    [92] Blanco A M, Gonzalez C 1991 J. Phys. D Appl. Phys. 24 612 doi: 10.1088/0022-3727/24/4/013
    [93] Lechevallier L, Le Breton J M, Morel A, Tenaud P 2007 J. Magn. Magn. Mater. 316 e109 doi: 10.1016/j.jmmm.2007.02.042
    [94] Chlan V, Kouřil K, Uličná K, Štěpánková H, Töpfer J, Seifert D 2015 Phys. Rev. B 92 125125 doi: 10.1103/PhysRevB.92.125125
    [95] Sauer C, Köbler U, Zinn W, Stäblein H 1978 J. Phys. Chem. Solids 39 1197 doi: 10.1016/0022-3697(78)90096-3
    [96] Le Breton J M, Seifert D, Töpfer J, Lechevallier L 2015 Physica B 470 33 doi: 10.1016/j.physb.2015.05.003
    [97] Lechevallier L, Le Breton J M, Teillet J, Morel A, Kools F, Tenaud P 2003 Physica B 327 135 doi: 10.1016/S0921-4526(02)01712-X
    [98] Graetsch H, Leckebusch R, Sahl K, Haberey F, Rosenberg M S 1984 IEEE T. Magn. 20 495 doi: 10.1109/TMAG.1984.1063119
    [99] Lee H B, Chun S H, Shin K W, Jeon B G, Chai Y S, Kim K H, Schefer J, Chang H, Yun S N, Joung T Y, Chung J H 2012 Phys. Rev. B 86 094435 doi: 10.1103/PhysRevB.86.094435
    [100] Pieper M W, Morel A, Kools F 2002 J. Magn. Magn. Mater. 242-245 1408 doi: 10.1016/S0304-8853(01)00963-5
    [101] Pieper M W, Kools F, Morel A 2002 Phys. Rev. B 65 184402 doi: 10.1103/PhysRevB.65.184402
    [102] Morel A, Le Breton J M, Kreisel J, Wiesinger G, Kools F, Tenaud P 2002 J. Magn. Magn. Mater. 242-245 1405 doi: 10.1016/S0304-8853(01)00962-3
    [103] Le Breton J M, Teillet J, Wiesinger G, Morel A, Kools F, Tenaud P 2002 IEEE T. Magn. 38 2952 doi: 10.1109/TMAG.2002.803177
    [104] Wiesinger G, Mller M, Grssinger R, Pieper M, Morel A, Kools F, Tenaud P, Le Breton J M, Kreisel J 2002 Phys. Status Solidi A 189 499 doi: 10.1002/1521-396X(200202)189:2<499::AID-PSSA499>3.0.CO;2-H
    [105] Lechevallier L, Le Breton J M, Wang J F, Harris I R 2004 J. Phys. Condens. Mat. 16 5359 doi: 10.1088/0953-8984/16/29/025
    [106] Choi D H, Lee S W, Shim I B, Kim C S 2006 J. Magn. Magn. Mater. 304 e243 doi: 10.1016/j.jmmm.2006.01.151
    [107] Kobayashi Y, Oda E, Nishiuchi T, Nakagawa T 2011 J. Ceram. Soc. Jpn. 119 285 doi: 10.2109/jcersj2.119.285
    [108] Langhof N, Göbbels M 2009 J. Solid State Chem. 182 2725 doi: 10.1016/j.jssc.2009.07.024
    [109] Kouřil K 2013 Ph. D. Dissertation (Prague: Charles University
    [110] Wu C J, Yu Z, Yang Y, Sun K, Guo R D, Jiang X N, Lan Z W 2015 J. Appl. Phys. 118 103907 doi: 10.1063/1.4930066
    [111] Ohtsuka M, Muto S, Tatsumi K, Kobayashi Y, Kawata T 2016 Microscopy 65 127 doi: 10.1093/jmicro/dfv356
    [112] Mahadevan S, Sathe V, Raghavendra Reddy V, Sharma P 2020 IEEE T. Magn. 56 1800106 doi: 10.1109/TMAG.2020.3014071
    [113] Nagasawa N, Ikeda S, Shimoda A, Waki T, Tabata Y, Nakamura H, Kobayashi H 2016 Hyperfine Interact. 237 39 doi: 10.1007/s10751-016-1272-y
    [114] Oura M, Nagasawa N, Ikeda S, Shimoda A, Waki T, Tabata Y, Nakamura H, Hiraoka N, Kobayashi H 2018 J. Appl. Phys. 123 033907 doi: 10.1063/1.5011244
    [115] Sakai H, Hattori T, Tokunaga Y, Kambe S, Ueda H, Tanioku Y, Michioka C, Yoshimura K, Takao K, Shimoda A, Waki T, Tabata Y, Nakamura H 2018 Phys. Rev. B 98 064403 doi: 10.1103/PhysRevB.98.064403
    [116] Nakamura H, Waki T, Tabata Y, Mény C 2019 J. Phys. Mater. 2 015007 doi: 10.1088/2515-7639/aaf540
    [117] Nagasawa N, Oura M, Ikeda S, Waki T, Tabata Y, Nakamura H, Kobayashi H 2020 J. Appl. Phys. 128 133901 doi: 10.1063/5.0019954
    [118] Balbashov A M, Egorov S K 1981 J. Cryst. Growth 52 498 doi: 10.1016/0022-0248(81)90328-6
    [119] Morishita H, Amano A, Ueda H, Michioka C, Yoshimura K 2014 J. Jpn. Soc. Powder Powder Metall. 61 S64 doi: 10.2497/jjspm.61.S64
    [120] Gambino R J, Leonhard F 1961 J. Am. Ceram. Soc. 44 221 doi: 10.1111/j.1151-2916.1961.tb15364.x
    [121] Shirk B T, Buessem W R 1969 J. Appl. Phys. 40 1294 doi: 10.1063/1.1657636
    [122] Goto Y, Takahashi K 1972 J. Ceram. Soc. Jpn. 80 358 doi: 10.2109/jcersj1950.80.925_358
    [123] Obradors X, Solans X, Collomb A, Samaras D, Rodriguez J, Pernet M, Font-Altaba M 1988 J. Solid State Chem. 72 218 doi: 10.1016/0022-4596(88)90025-4
    [124] Vinnik D A, Tarasova A Y, Zherebtsov D A, Gudkova S A, Galimov D M, Zhivulin V E, Trofimov E A, Nemrava S, Perov N S, Isaenko L I, Niewa R 2017 Materials 10 578 doi: 10.3390/ma10060578
    [125] Vinnik D A, Gudkova S A, Zherebtsov D A, Trofimov E A, Mashkovtseva L S, Trukhanov A V, Trukhanov S V, Nemrava S, Blaschkowski B, Niewa R 2019 J. Magn. Magn. Mater. 470 97 doi: 10.1016/j.jmmm.2017.12.041
    [126] Vincent H, Sugg B, Lefez V, Bochu B, Boursier D, Chaudouet P 1991 J. Magn. Magn. Mater. 101 170 doi: 10.1016/0304-8853(91)90717-O
    [127] Takaoka H, Suito H 1994 J. Cryst. Growth 137 493 doi: 10.1016/0022-0248(94)90989-X
    [128] Eraky M R, Beslepkin A A, Kuntsevich S P 2003 Mater. Lett. 57 3427 doi: 10.1016/S0167-577X(03)00092-2
    [129] Jalli J, Yang-Ki H, Sung-Hoon G, Seok B, Jaejin L, Sur J C, Abo G S, Lyle A, Sung-Ik L, Hwachol L, Mewes T 2008 IEEE T. Magn. 44 2978 doi: 10.1109/TMAG.2008.2001339
    [130] Pavlova S G, Balbashov A M, Rybina L N 2012 J. Cryst. Growth 351 161 doi: 10.1016/j.jcrysgro.2011.12.053
    [131] Vinnik D A, Zherebtsov D A, Mashkovtseva L S, Nemrava S, Semisalova A S, Galimov D M, Gudkova S A, Chumanov I V, Isaenko L I, Niewa R 2015 J. Alloys Compd. 628 480 doi: 10.1016/j.jallcom.2014.12.124
    [132] Shlyk L, Vinnik D A, Zherebtsov D A, Hu Z, Kuo C Y, Chang C F, Lin H J, Yang L Y, Semisalova A S, Perov N S, Langer T, Pöttgen R, Nemrava S, Niewa R 2015 Solid State Sci. 50 23 doi: 10.1016/j.solidstatesciences.2015.10.005
    [133] Vinnik D A, Tarasova A Y, Zherebtsov D A, et al. 2015 Ceram. Int. 41 9172 doi: 10.1016/j.ceramint.2015.03.051
    [134] Vinnik D A, Zherebtsov D A, Mashkovtseva L S, et al. 2015 Mater. Chem. Phys. 155 99 doi: 10.1016/j.matchemphys.2015.02.005
    [135] Vinnik D A, Semisalova A S, Mashkovtseva L S, Yakushechkina A K, Nemrava S, Gudkova S A, Zherebtsov D A, Perov N S, Isaenko L I, Niewa R 2015 Mater. Chem. Phys. 163 416 doi: 10.1016/j.matchemphys.2015.07.059
    [136] Gudkova S A, Vinnik D A, Zhivulin V E, et al. 2019 J. Magn. Magn. Mater. 470 101 doi: 10.1016/j.jmmm.2017.11.114
    [137] Hassner M, Vinnik D A, Niewa R 2020 Materials 13 858 doi: 10.3390/ma13040858
    [138] Vinnik D A, Prosvirin I P, Zhivulin V E, et al. 2020 J. Alloys Compd. 844 156036 doi: 10.1016/j.jallcom.2020.156036
    [139] Zhivulin V E, Trofimov E A, Zaitseva O V, Zherebtsov D A, Uchaev D A, Vinnik D A 2020 Crystals 10 264 doi: 10.3390/cryst10040264
    [140] Shimoda A, Takao K, Uji K, Waki T, Tabata Y, Nakamura H 2016 J. Solid State Chem. 239 153 doi: 10.1016/j.jssc.2016.04.031
    [141] Liu R S, Wang L C, Xu Z, Qin C, Li Z, Yu X, Liu D, Gong H, Zhao T Y, Sun J, Hu F, Shen B G 2022 Mater. Today Commun. 32 103996 doi: 10.1016/j.mtcomm.2022.103996
    [142] Ueda H, Tanioku Y, Michioka C, Yoshimura K 2017 Phys. Rev. B 95 224421 doi: 10.1103/PhysRevB.95.224421
    [143] Waki T, Okazaki S, Tabata Y, Kato M, Hirota K, Nakamura H 2018 Mater. Res. Bull. 104 87 doi: 10.1016/j.materresbull.2018.03.057
    [144] Waki T, Uji K, Tabata Y, Nakamura H 2019 J Solid State Chem. 270 366 doi: 10.1016/j.jssc.2018.11.036
    [145] Waki T, Takao K, Tabata Y, Nakamura H 2020 J. Solid State Chem. 282 121071 doi: 10.1016/j.jssc.2019.121071
    [146] Waki T, Hani K, Tabata Y, Nakamura H 2023 Mater. Trans. 64 564 doi: 10.2320/matertrans.MT-Y2022008
    [147] Küpferling M, Novák P, Knížek K, Pieper M W, Grössinger R, Wiesinger G, Reissner M 2005 J. Appl. Phys. 97 10 doi: 10.1063/1.1855710
    [148] Küpferling M, Grössinger R, Pieper M W, et al. 2006 Phys. Rev. B 73 144408 doi: 10.1103/PhysRevB.73.144408
    [149] Komabuchi M, Urushihara D, Kimata Y, Okabe M, Asaka T, Fukuda K 2019 Phys. Rev. B 100 094406 doi: 10.1103/PhysRevB.100.094406
    [150] Komabuchi M, Urushihara D, Kimata Y, Okabe M, Asaka T, Fukuda K, Nakano K, Yamamoto K 2020 J. Magn. Magn. Mater. 498 166115 doi: 10.1016/j.jmmm.2019.166115
    [151] Liu R S, Wang L C, Yu X, Xu Z, Gong H, Zhao T Y, Hu F, Shen B G 2023 Ceram. Int. 49 1888 doi: 10.1016/j.ceramint.2022.09.153
    [152] Williams J M, Adetunji J, Gregori M 2000 J. Magn. Magn. Mater. 220 124 doi: 10.1016/S0304-8853(00)00458-3
    [153] Kobayashi Y, Oda E, Nakagawa T, Nishiuchi T 2016 J. Jpn. Soc. Powder Powder Metall. 63 101 doi: 10.2497/jjspm.63.101
    [154] Kobayashi Y, Oda E, Kawata T, Nakagawa T 2017 Hitachi Metal Tech. Rev. 33 34 (in Japanese
    [155] Nakamura H, Shimoda A, Waki T, Tabata Y, Meny C 2016 J. Phys. Condens Mat. 28 346002 doi: 10.1088/0953-8984/28/34/346002
    [156] Nishikubo T, Motizuki K 1962 J. Phys. Soc. Jpn. 17 871 doi: 10.1143/JPSJ.17.871
    [157] Tsuda T, Okada K, Yasuoka H 1974 J. Phys. Soc. Jpn. 37 1713 doi: 10.1143/JPSJ.37.1713
    [158] Jung H, Lee S J, Song M, Lee S, Lee H J, Kim D H, Kang J S, Zhang C L, Cheong S W 2009 New J. Phys. 11 043008 doi: 10.1088/1367-2630/11/4/043008
    [159] Miyatani K, Kohn K, Kamimura H, Iida S 1966 J. Phys. Soc. Jpn. 21 464 doi: 10.1143/JPSJ.21.464
    [160] Itoh M, Nawata Y, Kiyama T, Akahoshi D, Fujiwara N, Ueda Y 2003 Physica B 329 751 doi: 10.1016/S0921-4526(02)02490-0
    [161] Ghoshray A, Bandyopadhyay B, Ghoshray K, Morchshakov V, Bärner K, Troyanchuk I O, Nakamura H, Kohara T, Liu G Y, Rao G H 2004 Phys. Rev. B 69 064424 doi: 10.1103/PhysRevB.69.064424
    [162] Julien M H, de Vaulx C, Mayaffre H, et al. 2008 Phys. Rev. Let. 100 096405 doi: 10.1103/PhysRevLett.100.096405
    [163] Park J, Hong Y K, Lee W, Choi B C, Choi C J 2016 IEEE Magn. Lett. 7 5500403 doi: 10.1109/lmag.2015.2501285
    [164] Dixit V, Kim S G, Park J, Hong Y K 2017 AIP Adv. 7 115209 doi: 10.1063/1.4995309
    [165] Hui Y J, Cheng W M, Lin G Q, Miao X S 2014 IEEE T. Magn. 50 2800904 doi: 10.1109/tmag.2013.2296931
    [166] Hou Y H, Chen X, Guo X L, Li W, Huang Y L, Tao X M 2021 J. Magn. Magn. Mater. 538 168257 doi: 10.1016/j.jmmm.2021.168257
    [167] Ravindran P, Delin A, James P, Johansson B, Wills J, Ahuja R, Eriksson O 1999 Phys. Rev. B 59 15680 doi: 10.1103/PhysRevB.59.15680
    [168] Feng M, Shao B, Wu J, Zuo X 2013 J. Appl. Phys. 113 17D909 doi: 10.1063/1.4795821
    [169] Ahn K, Ryu B, Korolev D, Jae Kang Y 2013 Appl. Phys. Lett. 103 242417 doi: 10.1063/1.4850517
    [170] Halilov S, Perlov A Y, Oppeneer P, Yaresko A, Antonov V 1998 Phys. Rev. B 57 9557 doi: 10.1103/PhysRevB.57.9557
    [171] Wang G Y, Yang K, Ma Y Z H, Liu L, Lu D, Zhou Y X, Wu H 2023 Chin. Phys. Lett. 40 077301 doi: 10.1088/0256-307X/40/7/077301
    [172] 蒋有为 2020 硕士学位论文 (成都: 电子科技大学) Jiang Y W 2020 M. S. Thesis (Chengdu: University of Electronic Science and Technology of China
    [173] Inoue J, Onoda H, Yanagihara H 2020 J. Phys. D Appl. Phys. 53 195003 doi: 10.1088/1361-6463/ab7324
    [174] Inoue J, Nakamura H, Yanagihara H 2019 T. Magn. Soc. Jpn. (Special Issues) 3 12 doi: 10.20819/msjtmsj.19TR303
    [175] Silva L M, da Silva R B, Silva R L, et al. 2022 Ceram. Int. 48 23224 doi: 10.1016/j.ceramint.2022.04.306
  • 加载中
图( 15) 表( 7)
计量
  • 文章访问数:  786
  • HTML全文浏览数:  786
  • PDF下载数:  10
  • 施引文献:  0
出版历程
  • 收稿日期:  2024-01-29
  • 刊出日期:  2024-06-20

高性能La-Co共替代M型永磁铁氧体的磁各向异性增强机理研究进展

    通讯作者: E-mail: shenbaogen@nimte.ac.cn.
    作者简介: 刘若水: liuruoshui@nimte.ac.cn
  • 1. 中国科学院宁波材料技术与工程研究所, 宁波 315201
  • 2. 中国科学院物理研究所, 北京凝聚态物理国家研究中心, 北京 100190
  • 3. 中国科学院赣江创新研究院, 赣州 341119
  • 4. 中国科学技术大学稀土学院, 合肥 230026

摘要: 自20世纪末以来, La-Co共替代的M型铁氧体备受关注, 已成为高性能永磁铁氧体的基础材料. Co2+的未淬灭轨道矩被认为是增强铁氧体单轴各向异性的原因, 但其微观作用机理尚未完全解释清楚. 为了满足铁氧体材料日益增长的性能需求, 理解其磁各向异性增强机理至关重要, 并寻求从根源上的提升、低成本和高效的方法, 以制定开发高性能产品的指导原则. 本文综述了一系列研究工作, 旨在确定Co离子在晶格中的取代位置, 这是增强磁各向异性的关键. 这些研究为进一步提高永磁铁氧体的磁性能提供了重要的材料设计参考.

English Abstract

    • 在全球制造业日趋发达的时代, 永磁材料的消耗已成为一个衡量国家发展水平的标志. 近年来, 随着汽车的轻量化和电子产品的微型化、高功能化, 对永磁体的性能要求也越来越高, 开发竞争日趋激烈. 铁氧体永磁材料是所有磁性材料中市场容量最大、产量最高, 且应用最广泛的永磁材料之一. 图1显示了自20世纪50年代六角铁氧体被发现[1,2]以来至2023年发表的有关铁氧体作为永磁材料的研究论文(数据来源于Scopus). 可以看出, 论文发表数量逐年增加, 尤其是2011年来, 由于稀土永磁市场价格出现大幅度波动, 永磁铁氧体相关论文数量的增长变得更为明显, 呈指数型增长. 人们开始关注含有少量或不含稀土的新型永磁体, 更是致力于推动永磁铁氧体在科学与技术层面的发展. 通过寻找新的无稀土替代品或优化已知磁体的性能, 研究者们付出了巨大的努力来缩小含稀土和无稀土磁体之间的差距, 因此永磁铁氧体也一直被认为是占领中间应用市场的“过渡磁体”[3].

      M型六角铁氧体, 特别是钡铁氧体(BaFe12O19)和锶铁氧体(SrFe12O19)近年来得到了科学界和工业界广泛的研究, 包括磁体制造商和汽车、可再生能源技术、家电和电子等部门. 虽然M型六角铁氧体的最大磁能积相比稀土基永磁体较小, 但一直以来能够占据永磁体主要市场份额, 是因为它们具有不可替代的优势[47]:

      1)铁氧体是化学惰性材料, 能够抗腐蚀和抗氧化, 无需使用任何涂层, 从而降低了制造成本;

      2)铁氧体具有较高的居里温度(通常在700 K以上), 同时它们具有正温度系数的矫顽力, 成为高温应用的一个强有力选择;

      3)铁氧体的组成元素来源丰富且成本低廉;

      4)从提取到后处理, 铁氧体对环境的影响较小[8];

      5)铁氧体是电绝缘体, 从而避免了涡流影响(与动态操作有关, 例如在电动机中).

      尽管M型铁氧体具有70余年的研究历史, 但对于高性能永磁铁氧体的研究仍然日久弥新, 也是当代节能型社会面临的重要技术挑战之一. 即使将铁氧体磁体的性能提高10%, 也将对节能和应用产生巨大贡献. 作为高性能铁氧体的代表, La-Co离子共替代M型锶铁氧体(以下简记为La-Co SrM), 在改善固有磁性结构方面取得了巨大进展. 自1999年首次报道以来, 它能够将磁体的矫顽力提升20%[9], 主要原因归结于Co2+的未淬灭角动量对磁晶各向异性的贡献, 使其成为迄今为止唯一商用化的高性能铁氧体永磁材料. 但自发现以来, 关于La-Co SrM的磁各向异性增强机理争议不断, 至今尚未明确. 我国作为永磁铁氧体的生产大国, 产量长期居世界第一, 但在高性能铁氧体的研究和生产方面与国际领先水平还存在差距. 因此, 加强高性能铁氧体永磁材料的基础与应用研究势在必行.

      本文针对高性能La-Co SrM铁氧体的磁各向异性机制进行回顾和探讨. 首先, 将概述M型铁氧体在国内外的发展概况和离子替代对改善铁氧体固有磁性结构的研究现状, 并解释La-Co SrM为何成为高性能永磁铁氧体的代表材料. 接着, 追溯过去20余年来研究者们为阐明“为什么Co2+在La-Co SrM中表现出增强的单轴磁各向异性”所做出的历史努力, 并展望未来研究的方向. 最后, 基于Co2+在La-Co SrM中占据晶位的当前研究结果, 探讨高性能铁氧体材料未来的发展建议.

    • 提高M型铁氧体性能最普遍也最有效的方式之一就是离子替代. 以高性能La-Co替代锶铁氧体(La-Co SrM)为代表, 本节首先介绍了M型锶铁氧体的历史起源和国内外发展现状. 然后, 通过对其基本性质的了解, 重点介绍了离子替代技术的进展, 以阐明La-Co SrM的发现以及研究的重要性和必要性.

    • 在20世纪, 随着永磁材料制造方面科学和技术的进步, 磁体开始了大规模的发展和提升. 日本研究者通过添加合金制造出了具有改进性能的钢材, 随后的20世纪30年代开始, 人们将铁磁性Co-Fe针状的纳米结构嵌入到非磁性Ni-Al基体中, 开发了被称为铝镍钴的全新永磁材料并将其商业化, 这种材料提供了更强的退磁能力和更好的性能, 促进了微波发生器的发展[10]. 1930年, 东京工业大学的Kato和Takei等首次发现了由钴铁氧体和磁铁矿的固溶体合成的铁磁体[11,12] , 被命名为“OP磁体”, 这种主要由氧化铁组成的烧结陶瓷表现出永磁特性的现象, 在当时磁体被普遍认为是金属时代背景下的一种突破性的发现, 促成了1935年东京电气工业公司(即现在的日本TDK公司)的成立, 由此拉开了将获得专利的铁氧体磁芯进行商业化的帷幕.

      然而, 该领域真正的革新发生在20世纪50年代, 荷兰的飞利浦研究实验室报道了基于六角钡铁氧体的各向同性永磁体的制造, 将M型六角铁氧体(AFe12O19, A = Ba, Sr)用作扬声器的永磁材料, 后来又用于便携式设备的电机[10,13], 其最大磁能积((BH )max)约为6.8 kJ/m3(0.85 MGOe, 1 MGOe = 7.96 kJ/m3)[1,14]. 在之后的几年内, 飞利浦又陆续以最初各向同性的铁氧体为起点进行开发, 在施加外部磁场的情况下进行研磨和压制, 制造出了适合特定应用范围的各向异性永磁体——Ferroxdure II和Ferroxdure III, 其沿易轴方向的(BH)max为27.9 kJ/m3(3.5 MGOe), 比各向同性材料高3—4倍, 被用于需要高感应以及具有强退磁场或在运行期间工作点变化的应用中, 如扬声器、发电机和磁轭磁体[15]. 到1957年, 具有这种最大磁能积和矫顽力为159.2 kA/m (2 kOe, 1 kOe = 79.6 kA/m)的钡铁氧体已在市场上销售. 当时, 所有的铁氧体磁体都是基于钡铁氧体, 然而在1962年, 它们开始被锶铁氧体磁体所替代.

      M型锶铁氧体比钡铁氧体有更大的磁各向异性, 在施加外部磁场的情况下, 压制技术的发展将剩余磁通密度提升为原来的2倍[11], 这些优势使锶铁氧体成为大规模生产中的主要磁体. 到20世纪70年代, 永磁铁氧体产量高达8万吨, 在世界市场中领先于其他类型的永磁材料. 在20世纪80—90年代, 铁氧体研究的重点开始转变为改进制造方法和探索各种成分, 制造了各向异性的锶铁氧体磁体, 达到了比永磁钢材更高的永磁特性, 并与铝镍钴永磁合金相近. 至此, 铁氧体永磁体开始被广泛用于家用电器、工业设备和汽车应用的电机中. 尽管与稀土永磁体如钕铁硼相比, 铁氧体磁体的磁性能和退磁温度都比较低, 这限制了其在操作温度低于–40 ℃的汽车中的应用[16]. 但M型铁氧体的居里温度(TC ~ 740 K)远高于钕铁硼磁体的居里温度(TC ~ 580 K), 并且内禀矫顽力(HcJ)的温度系数为正, 能够减小高温下的磁通损耗, 使其在高温下表现出良好的性能. 随着温度从25 ℃升至200 ℃时, 铁氧体磁体的HcJ从199 kA/m(2.5 kOe)增大到302.48 kA/m(3.8 kOe)[17].

      在20世纪90年代和21世纪的第1个十年, 进一步加强铁氧体磁体的磁性能和提高其在低温下的性能成为研究的重点. 这一领域的突破始于1997年TDK公司开发了一种牌号为FB9的新材料, 是在铁氧体的基础粉末中加入镧(La)和钴(Co), 能够同时增强矫顽力和剩余磁感应强度(Br), 相比传统铁氧体具有更好的性能[9]. 此后在2007年, TDK公司推出了FB12铁氧体材料, 它是通过优化FB9的材料组成和微观结构来进一步提高磁性能, 将(BH )max提高了20 %, 有助于减少电机的尺寸和重量. 同时, 它消除了铁氧体磁体特有的低温退磁问题, 显示出较低的负温度系数, 能在宽温度范围内保持稳定的功率, 适用于在恶劣温度条件下(–40—+120 ℃)运行的车载小型电机[18].

      如今, 基于六角铁氧体的磁体年产量为100万吨[19], 其中最高等级的商业铁氧体磁体是由日本TDK公司和日立金属有限公司开发的. 2008年, TDK公司通过湿法成型工艺开发了FB12B磁体, 其Br为470 mT, HcJ为380 kA/m, 以及(BH )max为43.1 kJ/m3. 用这种工艺制作的各向异性的锶铁氧体磁体在性能上优于磁钢, 如KS钢和MK钢, 并达到了铝镍钴磁体的水平[20]. 除此之外, 传统的制造方法如烧结或粘结法, 很难获得厚度低于3 mm的铁氧体磁体. 而在减小电机尺寸和重量的不断要求下, 在2010年, TDK公司开发了一种名为NS1方法的新技术(即高密度填充法), 创造了厚度为1—2 mm 的高性能薄型各向异性铁氧体磁体(FB13B和FB14H材料), 它们是结合先进的材料、成型和烧结技术而开发的世界顶级铁氧体磁体[18], 其中FB13B的Br为475 mT, HcJ为380 kA/m, (BH )max为44 kJ/m3[21]. 图2显示了TDK公司在20—21世纪开发铁氧体磁体的历史演变过程. 与此同时, 日立金属在2014年宣布了新的NMFTM-15系列烧结磁体, 其最大的Br为480 mT, (BH )max为44 kJ/m3(~5.53 MGOe)[22], 表现出与TDK公司先进产品相当的磁性能.

      在国际市场中, 高端永磁铁氧体产品的竞争之前主要在日本、美国的生产厂家之间展开, 而我国的高端产品主要依赖进口. 但近年来, 随着技术水平与国际先进水平之间差距的缩小, 以及21世纪以来磁性材料产业阵地向发展中国家转移, 中国已经加入到高端产品的竞争中.

    • 我国的永磁铁氧体行业需求增长率普遍高于全球其他国家的平均水平, 尤其在汽车、家用电器、智能计算设备等领域的需求占比较大. 另一方面, 稀土永磁材料市场以及价格的大幅波动, 也导致了铁氧体永磁材料需求量的增加. 国内的永磁铁氧体材料以电机、音响、传感器、微波炉等设备为主要应用市场, 其中需求最大的是电机市场, 占比高达62%左右[24]. 图3为近几年国内市场对永磁铁氧体的需求预测(数据来源: 中国电子材料协会磁性材料分会华经产业研究院[25]), 随着汽车动力与环保技术、安全性和稳定性的发展以及智能化、自动化水平的提高, 永磁铁氧体直流电动机也大量运用到了汽车发电机中, 预计2025年仅汽车领域永磁铁氧体的需求将达到61.4万吨[25].

      截至2021年底, 我国永磁铁氧体生产企业约有350家, 行业呈现出小型企业居多、竞争激烈的特点, 主要分布在我国江浙、广东、安徽、四川地区, 代表性的公司为: 横店东磁、北矿磁材、江粉磁材、中钢天源、安徽龙磁等, 产品以各式永磁电机中的磁瓦部件为主, 其中新能源汽车、节能电机、直流变频空调和电动工具等为主要市场. 表1列出了目前国内外永磁铁氧体产品的最高性能, 包括Br、磁感矫顽力(Hcb)、HcJ和(BH )max, 目前国内永磁铁氧体的生产仅能达到与日本FB9产品相当的水平[26], 而日本TDK公司FB13B系列产品的最大磁能积已达44 kJ/m3 (5.5 MGOe). 根据国内各大企业公布的产品目录[2730]来看, 我国大部分企业的最高性能产品还达不到这一级别.

      自2013年开始, 我国在直流变频空调中采用高性能铁氧体磁瓦代替钕铁硼材料[32], 极大地增加了高性能铁氧体材料的市场需求, 进而推动了我国高性能铁氧体材料的发展. 如今, 高性能永磁铁氧体材料的基础研究得到重视, 厘清永磁铁氧体内禀磁性能增强的基本规律对我国高性能永磁铁氧体产品的规模化生产和应用具有重要意义.

    • 尽管自1930年代起M型六角钡铁氧体BaFe12O19(BaM)就被知晓, 但其晶体结构直到1950年代初飞利浦实验室研究和分析其磁行为时才被确定[1,14], 之后在由Smit和Wijn合著的Ferrites (1959)[33]一书中, 它被确认为与六角磁铅石同构. 磁铅石的晶体结构由Aminoff[34]首次确定为六角形, 成分为PbFe7.5Mn3.5Al0.5Ti0.5O19, 该样品通过使用硝酸盐作为前驱体进行共沉淀热处理获得[35], 于是磁铅石的分子式被确定为PbFe12O19, 属于六方空间群P63/mmc. 而M型铁氧体化合物的六角形结构由两个晶胞参数定义: 六边形的平面宽度a和晶体高度c. 由于易磁化方向平行于c轴, 即垂直于六角形晶体的基面, M型铁氧体表现出显著的单轴磁晶各向异性[5]. 六角锶铁氧体SrFe12O19 (SrM)显示出与BaM相同的晶体结构, 但钡原子被锶原子所替代, 由于后者的原子尺寸较小, 原子质量较轻, SrM显示出较低的密度(5.101 g/cm3)和相对分子质量(1062). 相比之下, BaM的密度和相对分子质量分别为5.295 g/cm3和1112 [5].

      具体来说, M型六角铁氧体的骨架是由氧离子O2–的密包围结构组成, 金属阳离子填充在密闭的氧晶格间隙中[36], 显示出复杂的晶体结构. 如图4所示, 以BaM为例, 单元格有两个单位化学式BaFe12O19, O2–离子形成一个六角形的紧密晶格, 其层序垂直于[0 0 1]方向, 每隔5个氧层, 1个O2–离子被Ba2+离子替代(或者在SrM和PbM中分别被Sr2+和Pb2+替代)[37]. 而Fe3+离子占据了氧晶格的间隙位置, 并分布在5种不同的晶位上: 3个八面体(12k, 4f2和2a), 1个四面体(4f1)和1个三角双锥体晶位(2b)[38]. 通过使用X射线细化结构, 确定了双锥体部位的一个Fe3+离子在离镜面(4e)0.156 Å的地方被分成了半个原子, 而八面体部位的一些Fe3+成对出现, 共用一个面, 形成Fe2O9配位团[37,39]. M型六角铁氧体的分子单元还被分为两个结构单元(或称为“块”)的序列: 尖晶石S块(Fe6O8)2+被包含Ba2+R块(BaFe6O11)2–分割, 其中六边形和立方体层重叠在一起[40,41]. 包含Ba原子的基底面是一个镜像平面, R块的上下两个S块相互围绕c轴旋转180°. 为了延续这个结构, 还需要一个镜像R块, 所以有两个BaM分子单元, 则单元格沿c轴的叠加序列可以象征性地描述为SRS *R* (*号代表围绕c轴旋转180°的区块). BaM的晶胞参数为c = 23.17 Å, a = 5.86 Å[40], c/a比为3.93, 导致其较大的磁晶各向异性. 尽管SrM显示出与BaM相同的结构和单元格序列[42], 但由于Sr2+离子的尺寸较小, SrM的晶胞参数略微缩减, c = 23.03 Å, a = 5.86 Å, 显示出与BaM相似的c/a[5].

      M型六角铁氧体显示出亚铁磁结构, 其中Fe3+离子的磁矩方向沿c轴相互反平行排列. 磁离子的排列是通过氧离子的超交换作用实现的. 晶体结构中的S块包含4个八面体晶位的Fe3+离子, 指向自旋向上的方向, 而四面体晶位的2个Fe3+离子指向自旋向下的方向. R块包含3个八面体晶位的Fe3+离子自旋向上, 其中2个自旋向下, 另外1个在双锥体晶位的Fe3+离子自旋向上, 如表2所示. 其中Fe磁矩自旋向上晶位也称多数自旋晶位, 而自旋向下晶位称为少数自旋晶位. 考虑到每个亚晶格的晶位占有率, 以及一个Fe3+离子在0 K时的磁矩为5 μB, 可以得到BaM和SrM每个分子在0 K时的理论总磁矩分别为20 μB和20.6 μB[5,37]. M型六角铁氧体的饱和磁化强度(Ms)比其他铁磁性氧化物如磁铁矿略低, BaM和SrM室温下的饱和磁化强度分别为72.0 A·m2/kg和74.5 A·m2/kg, 而块状磁体则是92 A·m2/kg[43], 然而与稀土永磁Nd2Fe14B(165 A·m2/kg)相比是相当低的.

      但另一方面, BaM和SrM表现出相当高的居里温度(分别为740 K和746 K), 显著高于Nd2Fe14B的居里温度(588 K). 与此同时, 六角铁氧体显示出较大的单轴磁晶各向异性, 这会导致高矫顽力[44,45], 弥补其较低的磁化强度, 产生具有尽可能大的磁能积和抗退磁能力强的产品. M型六角铁氧体沿着c轴的单轴磁晶各向异性源于位于双锥体2b晶位的Fe3+离子的强大贡献, 以及四面体和八面体的扭曲晶位[37]. 在室温下, BaM的各向异性常数(K1)的数值为0.32—0.33 MJ/m3, SrM为0.35—0.36 MJ/m3. 考虑到各向异性是单轴的, 各向异性场(HA)可以通过表达式2K1/μBMs来确定, 对于BaM和SrM, HA分别达到1.34—1.35 MA/m和1.47—1.59 MA/m[3,37]. 另外, BaM和SrM内禀矫顽力的温度系数为正, 导致高温下矫顽力的数值增大[46,47]. 矫顽力的温度依赖性关系到铁氧体磁体温度操作范围的关键点, 受到各向异性常数和饱和磁化的相对温度依赖性的影响[37].

      诚然, 目前的研究清楚地表明, 矫顽力受外部和内部因素的同时影响且更多地取决于外部因素[48], 如晶粒尺寸、形状、取向度和分布等[49]. 近年来也有不少关于制备方法革新的研究[3], 但La和Co离子替代更多地是在晶体结构和磁结构等微观层面改善铁氧体的磁性能. 因此, 弄清离子替代所占晶位及增强磁各向异性的原理, 在La和Co替代量有限的情况下提高磁性能是非常必要的. 这不仅有助于稀土资源的高效利用, 还能降低材料成本, 因此, 接下来介绍内禀磁性改善的离子替代技术.

    • M型六角铁氧体的离子替代已被证明是进一步提升其永磁特性的有效途径, 因为离子替代可以改变晶体的固有磁性结构[5,7,37,5052]. 如前文所提到的, M型六角铁氧体的磁性是由5个晶位的占有率和它们通过氧离子超交换相互作用的磁耦合决定的. 考虑到阳离子的自旋和轨道矩取决于占位和电荷分布, 通过自旋构型(高自旋、低自旋或中自旋)来决定离子的净磁矩和局部各向异性, 因此, 在晶体结构中的特定晶位替换阳离子会导致铁氧体磁性能的改变. 从材料设计角度来说, M型铁氧体AFe12O19中阳离子替代的基本原理可以大致分为以下几类:

      1)在Fe位替代非磁性离子. 如果非磁性离子如Al3+[53], Ga3+[54], In3+[55], Ti4+[56], Zn2+[57]等在自旋向下晶位替代Fe, 获得增大的净磁矩, 则可使磁化强度增加. 然而, 这往往会导致铁氧体内的磁相互作用减弱, 使居里温度、室温磁化强度降低, 甚至有可能减弱各向异性对称性[37,54,55,58].

      2)在Fe位替代磁性离子. Fe3+和Mn3+是具有最大磁矩的3d过渡金属离子, 重稀土离子的磁矩甚至更大[45,59], 如果这些离子占据自旋向上的晶位, 与其他离子共替代可以增大总磁化强度. 而关于磁晶各向异性的增加, 具有自旋轨道贡献的离子替代可能是主要策略. 此外, 根据单离子模型分析, 最终导致任何晶位占据的各向异性, 取决于阳离子的自旋-轨道耦合和电子配置以及晶位电荷分布的联系. 例如, Co2+在Co-Ti SrM中的替代将各向异性从单轴变为平面, 从而产生了具有软磁特性的铁氧体[38]. 一般来说, 高对称性晶位对各向异性的贡献也不能被忽视.

      3) A位离子的替代. 非磁性的La3+, Ca2+, Na+离子或稀土离子RE3+等能够改变晶体结构, 从而改变交换相互作用和磁各向异性. 例如, 与BaM相比, SrM的磁各向异性稍大, 这与Sr2+的离子半径小于Ba2+有关, 较小的晶胞尺寸意味着2b晶位的Fe-O距离减小, 增大了Fe3+的晶体场和零场分裂以及磁各向异性. 4f2和2b晶位附近有3个Sr2+离子, 因此Ba2+或Sr2+离子被其他离子替代后, 这些晶位周围的对称性和电荷密度都发生了变化. A晶位一般由二价离子直接替代, 三价的镧系稀土离子RE3+替代时会引起Fe3+的还原. 除此之外, 还可以同时用三价和一价离子同时替代, 如Na-La离子组合[60,61].

      而离子替代技术的突破正是前文提到的基于稀土元素La以La3+的形式部分替代Ba2+或Sr2+离子, 同时用过渡金属Co以Co2+的形式替代Fe3+形成的La-Co替代铁氧体[9], 即Sr1–xLaxFe12–xCoxO19(La-Co SrM), 在20世纪末首次提出, 可以显著改善铁氧体的硬磁性能并增加其热稳定性[62], 如图5所示. 磁性能的改善与磁晶各向异性场的根本改变有关, 在0 ≤ x < 0.4的范围内, 饱和磁化强度和剩磁都随着x的增大而略微增大[63], 然而当x > 0.4时, 磁化强度会大大降低. 随着合成和加工方法的不同, x在0.2—0.4之间时, 矫顽力达到最大. 居里温度在x = 0和导致最大矫顽力的x值之间下降约20 K[64,65]. 通过对La-Co SrM进行热处理优化, 可以获得最佳的永磁性能[65], 达到Kikuchi等[66]报道的高达640 kA/m (8.0 kOe)的矫顽力, 但同时也伴随着饱和磁化强度下降至~63 A·m2/kg. 此外, La-Co SrM增强的矫顽力热稳定性被认为与各向异性场和晶粒大小直接相关[67].

      目前La-Co SrM是唯一由日本TDK和日立金属有限公司商业化的高性能离子替代的永磁铁氧体, 其最高的磁性能(BH )max为44 kJ/m3 [23,31]. 在此基础上, 又通过继续添加其他元素, 如Ca[68]和Al[69], 来进一步提高La-Co SrM的磁性能. Du等[69]提出用溶胶-凝胶法合成的La-Co SrM颗粒中掺入Al, 随着Al替代量的增加, 由于净磁矩的减小和结构中超交换作用的减弱, 饱和磁化和剩磁磁化值下降. 相反, 矫顽力随着Al的掺入从509.44 kA/m(6.4 kOe)增大到748.24 kA/m (9.4 kOe). 成分为Sr0.8La0.2Co0.2Fe11.6Al0.2O19的La-Co-Al替代铁氧体实现了矫顽力为565.16 kA/m (7.1 kOe)、居里温度为707 K、饱和磁化为61.8 A·m2/kg的磁性能. 而Ca-La-Co是将Sr-La-Co体系M型铁氧体磁体中的Sr2+全部替换为Ca2+, 并增加了La3+和Co2+的替代量, 开发了Ca-La-Co体系的M型铁氧体永磁体(Ca1–xLaxFe2nyCoyO19, n = 10.0—10.8), 有助于进一步提高铁氧体磁体的性能[68]. 目前Ca-La-Co已经通过不同的方法合成, 如微波烧结[70,71], 在预烧结铁氧体上采用湿压和干压相结合后取向的方法[72], 以及由研磨、干燥、煅烧、掺杂和烧结等不同步骤组成的陶瓷工艺[7375]. Li等[73]研究了成分为Sr0.55–xCaxLa0.45Fe11.65Co0.35O19的铁氧体的磁性能, 当x < 0.25, 饱和磁化强度没有明显的变化, 而矫顽力随着Ca的替代而增大, 原因是Sr2+被较小的Ca2+所替代, 晶胞常数a基本不变, c下降, 这种晶胞的紧缩使得铁氧体的交换作用增强, 导致磁晶各向异性场的增加. 此外, 当x = 0.25时取得的最大矫顽力和饱和磁化值分别为246.76 kA/m (3.1 kOe)和73.3 A·m2/kg. Chen等[71]研究了在样品加工过程中产生的杂质(Ca2Fe2O5, CoFe2O4α-Fe2O3)与Sr2+之间的关系, 这些杂质可以通过调整热处理参数被消除. 在此工作中获得的最高磁性能是由成分为Sr0.41La0.39Ca0.2Fe11.7Co0.3O19的铁氧体获得的, 显示出68 A·m2/kg的比饱和磁化强度、423.4 kA/m (5.32 kOe)的矫顽力, 以及39.8 kJ/m3 (5 MGOe)的最大磁能积. 最近, 研究者们还试图使用来源更丰富和成本更低廉的稀土金属, 如铈(Ce)来替代La-Co组合. 2015年, 韩国三星电子开发了通过固相反应法合成的Ce-Mn替代的SrM, 得到了高于398 kA/m (5 kOe)的高矫顽力, 与纯SrM相比, 对饱和磁化强度没有不利影响, 而且矫顽力的热稳定性增强[76].

      出于进一步优化微观形貌和降低材料成本的考虑, 优化La-Co替代离子组合的研究一直在延续. 1974年Lotgering[77]报道了La完全替代的铁氧体LaFe12O19(LaM)在低温下的磁各向异性场HA高达4 T, 是SrFe12O19的2倍. 从此LaM引起了巨大的研究兴趣, 研究者们不遗余力地探索过比La磁矩更大的镧系稀土离子RE3+替代策略, 期望获得更高的磁晶各向异性. 早在1957年BaM的稀土离子替代研究就被报道过, Dechamps和Bertaut[78]提出轻稀土的溶解度随原子序数的增加而降低. 尽管如今在稀土离子替代的制备方法上取得了一些进展, 如水热法粉末制备以优化材料合成[7981], 但单相稀土替代铁氧体Sr1–xRExFe12O19的合成仍是一个不小的挑战. 与此同时, 不同稀土离子在SrM中的溶解度得以系统研究[8290], 分别是Ce(0.24), Pr(0.46), Nd(0.45), Sm(0.17), Eu(0.15), Gd(0.11). 可以看出, 对SrM(Sr2+离子半径0.144 nm)来说, 完全被相对大的离子替代是有可能的, 例如La3+(离子半径0.136 nm), 但被离子半径较小的离子替代是完全不可能的, 如Ca2+(离子半径0.134 nm)替代的CaFe12O19化合物就不存在且Ca的溶解度极其有限[91,92]. 这些稀土离子的溶解度显然与离子半径有关, 随着原子序数的增大, 半径减小, 导致O–A结构的不匹配, 使得带有较小阳离子的M型结构不稳定[89]. 另外Lechevallier等[88]提出了稀土离子4f电荷分布对溶解度的附加效应. 尽管这些稀土离子的替代使磁各向异性都得到了一定程度的提升, 但稀土离子的引入会导致二次相的形成. Lechevallier等[93]还研究了在RE-Co同时替代的样品中稀土离子的溶解度, 发现二次相出现的比例整体都比不含Co2+的样品低, 说明在同样的制备条件下, Co2+能提高稀土离子在M相中的固溶度.

      尽管在M型铁氧体中, 电荷补偿可以在没有Co2+存在的情况下发生, 比如在LaFe12O19中, 2a晶位的Fe3+完全转变为Fe2+, 但引入Co2+替代Fe3+离子可以补偿由于RE3+替代Sr2+而产生的多余正电荷. 其次, 有研究认为Co2+离子的引入改变了稀土离子的周围环境, 因为一些Co2+离子占据了靠近Sr2+的Fe3+晶位如12k, 4f2和2b, 其中2b晶位与Sr2+离子位于同一平面上(距离0.340 nm), 4f2和12k晶位位于相邻平面上, 与Sr2+离子的距离大致相同(分别为0.366和0.365 nm), 因此Co2+离子进入4f2晶位可能与稀土在M型相中的溶解度增大有关[93]. 然而这是基于当时主流观点认为Co2+在La-Co SrM中主要占据4f2晶位, 如今关于Co2+主要占据晶位的研究结论发生了变化, 因此这一观点的支撑性可能会被重新考虑.

      更进一步地, 稀土离子替代M型铁氧体的电荷补偿机和磁性能也被系统研究. 对于电荷补偿机制, 已经通过穆斯堡尔谱、57Fe核磁共振和理论计算手段[94]同时确认, 不管是哪种稀土离子, RE3+离子的引入都使得八面体2a晶位的Fe3+还原为Fe2+. 另外, 不论是La-SrM[95,96], RE-SrM[89]还是La-Co SrM[97], 它们的穆斯堡尔谱超精细参数的变化规律都一致, 其中4f2和2b晶位变化显著, 因为这两个晶位附近有3个Sr的近邻晶位, 而12k晶位的变化较为细微, 因为只有一个Sr的近邻晶位, 说明稀土的不同性质对SrM的Fe亚晶格没有明显影响, 而在La-Co SrM中, La对Fe亚晶胞的作用很大, 甚至起主要作用[96]. 对于磁性能, 如图6所示, 由于引起了自旋向上2a晶位上Fe2+的出现, 净磁矩略微减少, 稀土离子本身的磁矩或许会弥补这种缺失, 但在低温下磁各向异性会增强[95]. 然而, 除了La以外的RE-SrM的磁晶各向异性都不如LaM高, 且会随着温度升高而降低.

      从上述研究结果中不难看出, 尽管很多稀土离子的磁矩贡献比La大, 但它们的固溶度极其有限, 且稀土离子对SrM中Fe亚晶格的影响并不随稀土的性质发生变化, 发挥不出比La更大的优势. 时至今日La-Co共替代的M型铁氧体仍被称为高性能铁氧体磁体, 并作为电机应用的高附加值材料而备受关注. 另一方面, Co2+能显著地改变铁氧体的磁各向异性, 例如钴铁氧体CoFe2O4, 即“OP磁体”的基础材料, 其各向异性的改善是由于Co2+的轨道自由度造成的[49]. 在La-Co共替代的M型铁氧体磁体中, Co2+也改善了基体材料的单轴磁各向异性, 使得矫顽力增大. 然而, 考虑到同为六角铁氧体的Co2W[98]和Co2Y[99]表现出软磁性, Co2+在M型铁氧体中是否表现出单轴磁各向异性并不明晰, 仍然需要进行微观研究.

    • 由于实验中难以直接获得SrM中单个Fe亚晶格的磁晶各向异性贡献, 因此Fe亚晶格对总体磁晶各向异性的影响尚不明确, 只能通过其他方式进行间接估计. 例如, 通过离子替代铁氧体进行的磁各向异性变化测量, 可以进一步地澄清La-Co SrM铁氧体中Co2+离子对主要磁晶各向异性变化的作用. 因此, 本小节主要综述了一系列旨在阐明La-Co SrM磁各向异性机制的研究, 包括对Co2+在La-Co SrM晶格中占位的研究结果的演变和争议、单相材料磁各向异性的变化规律, 以及基于不同检测手段对铁氧体微观结构进行识别的研究.

    • 众所周知, 3d过渡金属离子的轨道角动量在晶体场中消失, 但如果由于晶场分裂而存在剩余轨道退缩的情况, 部分轨道自由度可能会恢复, 显示出磁各向异性. Co2+的电子构型是3d7, 如图7所示, 四面体和八面体构型之间的晶场分裂不同, 高自旋态的电子构型显示, 在四面体构型中, 二重简并的e轨道被电子对填充, 三重简并的t2轨道 被电子逐一平行填充, 从而形成一个半封闭的壳, 没有剩余的轨道自由度. 而在八面体构型中, t2g 轨道保留了电子构型的自由度, 即使进一步低对称化, 也有可能是简并的. 根据其分裂方式, 表 现出单轴或面内各向异性, 无论是哪一种, 都可以很自然地认为八面体配位的Co2+表现出磁各向异性.

      Iida等[9]第1次报道了La-Co SrM的磁性能之后, 陆续有一些关于Co替代晶位的研究展开, 作为探究Co离子磁各向异性机制的依据. 然而, 如表3所列, 不同的测量方式得到了不同的实验结论[97,100107], 关于Co在La-Co SrM占据晶位的统一观点还没有得到, 同时可以看出我国在这方面的研究相对较少. 关于这些分歧的主要原因是除了未经证实的假设外, 还有大量的未知参数需要在实验分析中确定. 例如, La3+替代所产生的额外电荷通常被认为由Co2+完全补偿, 然而, Sr-La-Co-Fe-O体系的相图研究结果表明[108], 即使从等量的La和Co原料开始制备, 也会产生第2相Fe2O3和LaFeO3. 而一般情况下, 第2相往往因为结晶性差、含量太少而无法被X射线衍射技术(XRD)检测到, 因此在之前的研究中, 所用到的样品极可能含有杂质而对研究结果造成影响. 同时, La-Co SrM的实际化学式应为Sr1–xLaxFe12–yCoyO19(xy), 在这种情况下, 与La3+替代相关的电荷变化不仅由Co2+替代补偿, 还由部分Fe3+还原为Fe2+来补偿, 因此, 将原料的标称值作为La-Co SrM的实际组成是不合适的.

      此外, 早期(2002—2004年)使用穆斯堡尔谱、核磁共振等手段识别Co占位的研究中[97,100103,105], 八面体配位的少数晶位4f2被推测为Co的主要占位, 以解释“磁化增大和磁各向异性增强”的宏观实验结果, 而不是基于微观结构的识别. 因此, Co2+的局部环境并不清楚, 但这是Co的磁各向异性的一个关键问题, 如果不能从微观上了解Co2+的磁性, 就无法进行合理的材料设计来进一步提高La-Co共替代M型铁氧体的性能.

    • 对于二次相、晶界等干扰因素, 生长质量优异的单晶样品是解决此问题的有效方法, 并且有助于确定基体相的真实化学成分, 获得本征磁各向异性, 以及研究La-Co SrM中Co的作用. SrM相关单晶的合成方法多样, 如高氧压浮区法[118]、移动溶剂浮区法[119]、助熔剂法[120125]等, 其中最常见的制备方法是助熔剂法. 在此之前, 已经有一些关于SrM中Sr或Fe晶位被另一种离子替代的单晶样品合成的报道[61,126139], 而La-Co SrM单晶(Sr1–xLaxFe12–yCoyO19)首次由Shimoda等[140]通过Na2O助熔剂法在常压下成功获得, 作为对比, 此研究中用同样的方法制备了La替代SrM铁氧体(以下简记为La-SrM)单晶样品以确定La3+对SrM的磁各向异性作用. 图8显示了利用波长色散X射线荧光法(WDX)测定的M相中Co的成分与La成分之间的关系(x >y). 在传统的La-Co SrM制备中, 材料设计时引入了等量的La和Co, 其中Fe3+部分被Co2+替代, La3+部分替代Sr2+作为电荷补偿. 然而, 成分分析结果表明, 在常压制备条件下, La和Co的含量并不相等, Co的含量一直低于La的含量, 且Co和La的成分比Co/La保持在0.55左右. 此前在关于La-Co SrM的多晶样品研究中, 已经有了一些关于La和Co非等量替代的建议[63,97], 例如与La成分相比, 当Co的含量略微降低时, 磁体的性能更好. Liu等[141]对145组La-Co SrM多晶样品的实验数据进行机器学习, 研究了La和Co的成分与磁体性能之间的关系, 结果也表明当La的含量大于Co含量时矫顽力更大. 此外, 57Fe穆斯堡尔谱和化学滴定法[104]表明La-Co SrM中存在Fe2+, 很显然电荷补偿不仅发生在La3+和Co2+之间, 还发生在Co2+和Fe2+之间, 这是由Fe3+还原为Fe2+产生的.

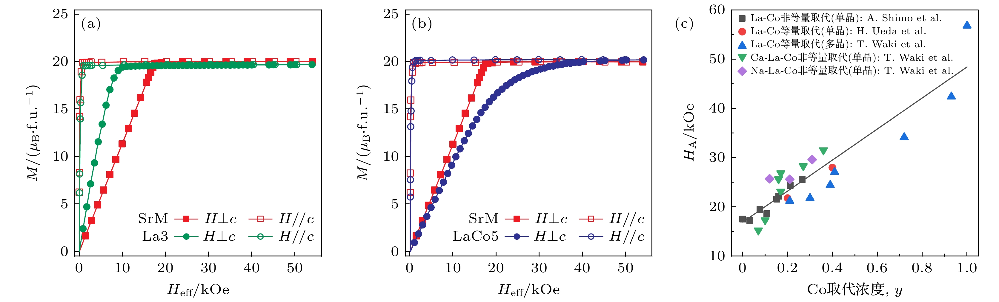
      不难发现, La-Co SrM在常压制备条件下一般为非等量替代, 也就是说, Fe2+和Co2+同时对其磁各向异性起作用. 为了得到全面而系统的结论, 应当分别从Fe2+, Co2+的单离子作用, 以及Fe2+和Co2+在SrM中的共同作用来探讨La-Co SrM中的磁各向异性增强机制. 图9(a), (b)分别显示了La-SrM和La-Co SrM单晶测量的易轴和难轴方向的磁化曲线[140]. 在纯SrM中, 两个方向都在分子磁矩为20 μB时饱和, 与易轴方向很快饱和不同的是, 难轴方向的磁化曲线线性增加, 且达到饱和时需要一定的外磁场(H = 17.5 kOe), 显示出明显的单轴磁晶各向异性. 而在离子替代的单晶样品中, 达到饱和所需要的磁场大小各不相同. 从易轴和难轴磁化曲线所包围的区域S, 各向异性场HA可以由HA = 2S/MS估算大小, 所有样品的HA值都总结在表4中. 从图9(a)可以明显看出, 在La替代浓度x≤0.4范围内, La-SrM的磁各向异性场HA随La浓度增大而减小, 说明此范围内La3+对SrM的磁各向异性具有抑制作用. 然而, 图9(b), (c)中(Na/Ca-)La-Co SrM系列样品的磁各向异性随Co替代浓度的依赖性显示, 各向异性场HA和Co2+的浓度y之间存在正相关关系, 可以确定La-Co SrM磁各向异性的增强与Co2+直接相关.

      另一方面, 长期以来Co在SrM中的固溶度非常有限, 这也为Co的占位研究增加了不少困难. 在商业产品中, Co仅占据约2.5%的Fe晶位[9], 而在固相反应制备的Sr1–xLaxFe12–yCoyO19多晶样品中, 当x = 0.65时, Co替代量的上限为y = 0.47[108]; 而前文提到的Na2O助熔剂制备的单晶中, 当x = 0.47时, Co替代量达到上限y = 0.27[140]. 换句话说, La和Co在常压制备条件下不平衡替代导致还原的Fe2+限制了Co2+的固溶度范围. Ueda等[142]报道了在氧气压力为10 atm的条件下, 采用移动溶剂浮区法(TSFZ)生长出x = 0.65, y = 0.45即y/x = 0.69的单晶样品(如图9(c)红色圆点所示), 表明高氧压的应用有望抑制Fe2+的形成, 提高Co2+的固溶度范围. 基于此发现, 研究者们开始致力于在超高氧压下合成La-Co替代样品. 图9(c)蓝色三角形显示了Waki等[143,146]进行的氧分压对La-Co SrM中Co固溶度影响的研究结果, 采用固相反应在不同氧分压($ {{p}}_{{\text{O}}_{2}} $= 0.2, 1和387 atm)条件下制备x = y的多晶样品. 结果显示La的含量与标称量几乎相同, 但随着浓度的增大, x = y的关系向低端移动, 即Co含量减小, 此时在样品中出现了第2相(Co铁氧体). 当氧分压增大时, Co替代的上限增加, 当$ {{p}}_{{\text{O}}_{2}} $= 1 atm时, 发现x = 0.92时y = 0.75; 当$ {{p}}_{{\text{O}}_{2}} $= 387 atm时, xy的关系保持在x = y = 1, 得到LaFe11CoO19. 特别是在$ {{p}}_{{\text{O}}_{2}} $= 387 atm时, 即使从x >y的低Co含量开始合成, 最终在样品中La和Co的含量是相等的, 并且确认由于抑制了Fe2+的生成, Co2+的替代量增大. 该研究还通过使用磁场取向的样品测量难轴方向的磁化曲线, 用奇点探测法(SPD), 即以磁化曲线上使d2M/dH 2最小的场作为各向异性场HA, 评估了高Co浓度多晶样品的磁各向异性, 发现磁各向异性随着Co浓度的增大而单调增大, 表明Co在很宽的浓度范围内对改善单轴磁各向异性有正向贡献, LaFe11CoO19HA甚至增大到SrFe12O19的3倍.

      然而, 尽管在图9中所有(Na/Ca-)La-Co SrM体系的HA都随Co浓度的增大单调递增, Co2+浓度却不是影响La-Co SrM磁各向异性的唯一因素, 一个例子是在La-Co替代的CaM中, 磁各向异性不仅取决于Co2+浓度, 还取决于Ca/La的比例[144]; 另一个例子是在Sr1–xLaxFe11.6Co0.4O19中, 其磁各向异性对La3+浓度x的依赖性[142]. 在这两个例子中, 除了磁性离子Co2+的存在, 还存在着由于电荷补偿机制引起的磁性离子Fe2+, 这两种磁性离子共同对铁氧体的磁各向异性起作用. 在AFe12O19中, 由于A晶位阳离子是无磁性的, 不直接影响磁各向异性, 但有可能产生Fe2+来间接影响磁各向异性. 正如2.3A位阳离子替代的研究进展 所述, Küpferling等[147,148]利用La对SrM进行了0≤x≤1范围内的替代, 研究表明, La-SrM的磁各向异性随La浓度和温度的改变表现出非线性变化, 换句话说, 在La-SrM中磁性离子Fe2+对SrM的磁各向异性作用具有复杂的浓度和温度依赖性. 随后, Waki等[144,145]又通过制备各种A离子和Co联合替代的M型铁氧体如Ca-La-Co和Na-La-Co体系, 通过比较它们的磁各向异性为揭示A离子对磁各向异性的影响机理提供了参考价值. 如图9(c)中绿色三角和紫色菱形所示, Co2+对Ca-La-Co体系磁各向异性的贡献甚至比对Sr-La-Co体系的贡献更大, 初步发现Ca-La-Co体系的 c/a比Sr-La-Co体系小, 也就是说, M型铁氧体的局部应变也可能导致了Co2+在特殊晶位的占据.

      通过上述讨论, 我们不难发现, 不管Fe2+单离子的作用如何, Co2+的未淬灭轨道角动量都是La-Co SrM的单轴磁各向异性增强的原因. 然而, 在六角铁氧体中, Co2+的替代不一定增强单轴各向异性, 例如Co-Ti共替代的M型铁氧体[38]和Co替代的Y型铁氧体SrFe12Co2O22[99]、W型铁氧体SrFe16Co2O27[98]、X型铁氧体Sr2Fe28Co2O46[149,150]中主要表现为平面各向异性. 而Co2+单离子对M型铁氧体的磁各向异性影响一直是研究空白, 因此, Liu等[151]通过Na2CO3助熔剂法在常温下制备了Co单离子替代SrM单晶(以下简记为Co-SrM), 从浓度和温度角度分别讨论了Co2+对Co-SrM的磁各向异性作用, 如图10所示. 结果发现Co单离子在Co替代浓度y ≤ 0.31范围内对SrM的磁各向异性短暂增强之后, 也表现出抑制作用, 且随着替代浓度的增大出现了平面各向异性的趋势. 在温度依赖性方面, 与Fe2+的局域性不同, Co2+在全温度范围内影响Co-SrM的磁各向异性. 这种磁各向异性的差异显然也与Co晶位的选择有关, 可以肯定的是, Co-SrM中Co的替代晶位与La-Co SrM中Co替代晶位不一致.

      综合以上研究, 我们可以得出结论, 在La-Co SrM中La3+的小离子尺寸在将Co2+聚集到负责单轴磁各向异性增强的晶位上发挥了关键作用, 只有La3+和Co2+共同替代才使得M型永磁铁氧体的磁性能增强, 成就了La-Co SrM高性能铁氧体的发展. 也因此, 从La-Co SrM中Co的占位入手, 了解铁氧体的结构变化和进行微观检测对于未来进一步提高铁氧体磁体性能的材料开发非常重要.

    • 制备单晶样品为明确Co在La-Co SrM中的占据晶位, 和进行微观检测提供了有效途径. 而面对La-Co SrM复杂的局部环境, 在着手解决Co占据晶位的问题之前, 以下问题也应该同时考虑.

      1) Co的价态和自旋态. 在之前的研究中, 通常假设替代的Co处于二价高自旋状态(S = 3/2; 3 μB). 既然La-Co的不等量替代中, 部分Fe3+会还原为Fe2+, 即Fe的价态就是不稳定的, 那么Co的价态也有可能是不稳定的, 而且Co的价态取决于占据晶位. 此外, 决定轨道分裂和自旋状态的晶体场的对称性和大小也取决于所占晶位. 事实上, 59Co NMR的研究已经揭示了异常低频信号的存在[100], 表明存在Co磁矩很小或无磁矩的情况, 同时还有来自高自旋Co2+的高频信号[109]. 因而, 低频59Co信号的来源应该首先被阐明, 如果存在Co3+, 则之前的电荷平衡机制中Fe2+的存在也应该被重新考虑.

      2) Fe2+的占据晶位. 如果Fe2+的存在是毋庸置疑的, Fe2+的晶位也应该被确定. Fe2+的单离子各向异性取决于局部对称性, 与Co2+同样重要. 在之前的57Fe穆斯堡尔谱研究中声称Fe2+占据La-Co SrM中的2a晶位[104]. 但在对单晶La-Co SrM样品进行的57Fe穆斯堡尔谱测量中, 却没有观察到Fe2+的存在[113]. 但显然, Fe2+的数量和占据晶位与总磁化强度也显著相关.

      3)磁性结构. 很多实验的讨论是建立在假设La-Co SrM为共线铁磁结构的基础上, 而在很多情况下, 离子替代会使SrM的磁结构出现非共线倾斜. 若La-Co SrM中存在这种情况, 则实验分析得出的结论将受到严重影响. 此外, 在大多数情况下, 替代Co的磁矩被假设与基体Fe3+磁矩平行. Williams等[152]指出, 在La-Co SrM中, 占据4f2和2b的Co磁矩与基体反平行的可能性被忽略了. 因此La-Co SrM中Co磁矩相对于基体Fe磁矩的方向也有待确定.

      在以上问题中, 部分问题已在近些年的研究中被解决, 下面就对使用不同检测手段对La-Co SrM的局部微观结构进行观测的文献进行综述.

    • 中子衍射(neutron diffraction, ND)是一种中子被原子核散射的现象, 与X射线衍射不同的是, 中子衍射可以区分原子序数相邻的元素, 因此对含有Fe和Co的材料的结构分析很有用. 但中子衍射的磁散射叠加使结构因子复杂化, 在细化衍射谱分析时增加了任意性.

      Kobayashi等[107]首次利用中子衍射和Rietveld分析法研究了La-Co SrM中的Co占位, 并得到了7种可能的情况, 如表5所列. 由于这7种模型的拟合精度相近, 显然单独使用中子衍射手段很难得出确切的结论. 于是又结合其他两种手段对结果进行综合分析. 首先是宽范围X射线吸收精细结构(EXAFS), 这是一种基于原子吸收X射线产生的光电子波和相邻原子散射的光电子波之间的干涉的元素选择光谱, 能够确定目标元素周围的原子距离和配位数等局部结构参数. 其次是同步辐射X射线磁性圆二色分析法(XMCD), 利用同步辐射光子能量连续可调的特点, XMCD方法具有优异的元素分辨能力, 能够辨别材料中各种元素对其宏观磁性能的影响. 最终通过这3种方法的综合分析选出了最可能的第7种模型, 即Co2+以1∶2∶2的比例占据2a, 4f1和12k晶位, 当Co替代浓度达到0.35, 在4f1晶位的占据比其他晶位都多. 该结论颠覆了当时延续了十年之久以4f2为Co主要占据晶位的主流观点, 首次肯定地提出4f1为La-Co SrM中Co的主要占据晶位, 并得到了后续部分研究的支持.

      随后, 中子衍射手段也被用于对Ca-La-Co替代的铁氧体(Ca1–xLaxFe10.40–yCoyOa, x = 0.50)中的离子占位分布研究[153]. 结果表明La3+仅占据Sr位, 也就是2d晶位; Ca2+除了占据2d晶位外, 还占据4f1晶位, 且在4f1的分配率大约在10%—20%, 与Co的替代量y无关; Co2+则始终以60%—80%的分配率占据4f1晶位, 其余的占据2a晶位(y = 0.2)或12k晶位(y = 0.25, 0.35), 或者同时占据2a和12k晶位(y = 0.3). 经过分析, Ca-La-Co体系中Co2+在4f1晶位的分布率更大, 这是Ca-La-Co比Sr-La-Co的饱和磁化强度更高的原因; 同时, 在相同的Co替代量下, Ca-La-Co的各向异性场比Sr-La-Co更高, 可见, Co对4f1晶位的优先占据是改善饱和磁化强度和磁晶各向异性的原因[154].

    • 通过核磁共振(nuclear magnetic resonance, NMR)现象可以研究核能级的超精细结构, 这种结构是通过电磁相互作用提升2I+1(I为核自旋)核基态简并而产生的. 核磁共振利用射频(radiofrenquency, rf)磁场B1使核自旋系统脱离平衡, 并以时间相关的核磁化形式观察响应, 对记录的响应进行处理后得到核磁共振谱. 光谱包含了导致超精细结构的底层相互作用的信息, 这种相互作用又由所研究的系统决定. 核磁共振是局域性的, 即任何单个核的贡献在很大程度上取决于其邻近环境(在10–1 nm范围内). 对于前文提到的研究问题, 59Co核磁共振手段主要用于明确La-Co SrM中Co离子的价态和自旋态, Co的可能价态和对应的高、低自旋值都在表6中列出.

      Nakamura等[155]和Sakai等[115]都使用59Co核的NMR对化学性质良好的La-Co SrM单晶体在宽频率范围内进行了检测, 涵盖了早期分别被独立报道的约80 MHz的低频共振[101]和250 MHz的高频共振[109]. 在强磁性体系中, 由于存在内部磁场, 不需要外部磁场就可以观察到NMR信号, 信号的频率与被观察的核位置的内部磁场大小相对应. 在La-Co SrM中, 普遍观察到3个不同信号(~80, 310, 380 MHz), 如图11所示, 这几种信号分别用记号S1, S2和S3表示, 它们的中心频率和相对丰度在表7中列出. 内部磁场的差异可以被认为是占位的差异, 表明存在3个磁性不同的Co种类. 信号强度与所占晶位的数量相对应, S1的信号强度最大, 表明这是主要的Co替代晶位. 从信号在磁场中的移动方式, 甚至可以确定该信号属于少数自旋(↓)晶位. 由于高自旋的Co2+和Co3+的磁矩分别为3 μB和4 μB, 则相应的局域场大小为36 T和56 T, 另外, S2和S3信号在(La0.24—0.3, Co0.11—0.15)和(La, Co)0.1—0.4的几个不同替代浓度的样品上被观察到几乎相同[115], 则S2和S3被分配为Co2+. 而S4是在(La0.289, Co0.152)替代的样品中强度极弱(< 0.2 %)的高频信号, 被分配为Co3+[155], 并且S4的存在取决于样品制备条件, 有时可能不被观察 到[116]. 因而关于S2, S3和S4上Co的价态和自旋态已基本达成共识.

      59Co NMR检测中最关键的问题是低频S1组分的分配, 它对应的Co离子数量最多, 如果S1固定了, 则可以半自动地去认定S2和S3的分配. 而S1的分配主要考虑以下3种情况: 1)低自旋态S = 1/2的八面体Co2+; 2)低自旋态S = 0 (非磁性)的八面体Co3+; 3)高自旋态S = 3/2的八面体/四面体的Co2+. 其中情况1)被早期的Piper等[101]采用, S1中的低自旋Co2+(S=1/2)被假设在八面体4f2晶位上. 然而, 具有$ {{\mathrm{t}}}_{2{\mathrm{g}}}^{6}{{\mathrm{e}}}_{{\mathrm{g}}}^{1} $构型的八面体低自旋Co2+是非常罕见的, 已报道的一个例子是尖晶石铁氧体CoFe2O4中的Co离子可能作为Co2+部分处于低自旋八面体B晶位上[156,157]. 但值得注意的是, 在低自旋Co2+中, eg单轨道的单一占据会导致Jahn-Teller不稳定性, 因此通常来说, 八面体氧配位容易变形. 但在Sakai等[115]的观测中, 对应的S1态在不同La-Co替代水平下都非常稳定, 因而可以排除情况1).

      对于情况2), 有一些非磁性Co3+离子在八面体配位中的例子, 如Co0.6Fe0.9Mn1.5O4[158], Co3O4[159], YBaCo2O5.5[160], Nd1–xSrCoO3[161], Na0.75CoO2[162]等. 然而情况2)并不适用于La-Co SrM. 在Co单独替代的M型SrFe11.93Co0.07O19铁氧体中, 顺磁性Co3+出现在59Co NMR的50 MHz左右的频率范围内, 而La-Co SrM的S1态出现在86 MHz. 另外, 假设有73%的Co离子为三价, 相应地应该有相当大数量的Fe2+出现, 但实际上Sr1–xLaxFe12–yCoyO19化学式中用Ce4+滴定法确定了Fe2+数量为xy [108], 即在xy的情况下, Fe2+离子一定非常少, 然而在59Co NMR的观测中, S1并不随替代水平的变化显著减少, 因此也可以排除情况2).

      所以可以得出结论, 情况3)是最合理的, 如果假设大多数Co离子在La-Co共替代的铁氧体中是二价的, 那么S = 3/2的高自旋态在八面体配位和四面体配位中都是常见的, Pieper等[100]之前就将S1分配给八面体配位4f2的高自旋Co2+. 根据之前La-Co SrM单晶样品中饱和磁矩的观测, 超过一半的Co替代发生在少数自旋晶位, 故S1的分配应有两种可能性: 八面体4f2(↓)或四面体4f1晶位(↓). 根据这两种可能性, S2和S3的晶位分配可能性如图12所示. 若S1被分配到4f2晶位, 在图12(a)中, 八面体12k和2a上的高自旋Co2+离子导致了信号S2和S3的产生, 其频率集中在~350 MHz, 与类似的八面体4f2的S1~80 MHz的频率范围相差极大. 因此Sakai等[115]认为将S1分配给四面体4f1更为合理, 即为图12(b)中的情况, 此情况与57Fe NMR谱中观测的结果具有一致性.

      根据上述情况可以得出结论, La-Co SrM中, Co2+在多个晶位替代Fe3+, 其中4f1是主要的替代晶位, 其次是2a和12k. 59Co NMR观测到的80 MHz左右的信号对应四面体晶位4f1, 在300—400 MHz左右的两个信号峰可以分别归属于八面体晶位2a或12k. 其次, 所有的Co都处于二价高自旋状态. 总体来说, 自旋-轨道相互作用引起的部分上升的轨道矩是四面体Co2+态的一个重要特征, 同时, 小部分的八面体Co2+有未淬灭轨道矩, 这是La-Co共替代提高M型铁氧体饱和磁化强度、矫顽力和各向异性场等磁性能参数的原因.

    • 利用穆斯堡尔谱效应(Mössbauer effect)中原子核辐射的无反冲共振吸收, 可以研究材料中原子核与周围环境的超精细相互作用. 在实验中, 无反冲分数(f )代表原子核在吸收或发射光子时的无反冲概率. 通常在金属和金属间化合物中, 由于在整个样品中存在一种各向同性的均相键, f是恒定的, 与晶格内的位置无关, 因而从某一特定位置产生的亚光谱强度与晶格中的占位数成正比. 然而, 当面对M型铁氧体这类离子化合物时, 会使得情况更加复杂, 即使是在液氦温度下的纯三元化合物SrFe12O19, 其光谱强度也与Fe位的占位(4f2, 2a, 4f1, 12k, 2b位分别为4∶2∶4.4∶12∶1.5)有一定的偏差, 这与各向异性因子或层错有关. 尽管如此, 57Fe穆斯堡尔谱仍是一种通过超精细相互作用研究化合物中Fe电子态的有效实验技术, 其中57Fe核的超精细场是磁有序化合物中重要的超精细相互作用参数之一.

      早期研究中Le Breton等[103]就用57Fe穆斯堡尔谱研究了La-Co SrM, 通过5个提取的Fe亚光谱中La-Co浓度依赖性的吸收强度确定Co离子占据4f2, 2a和可能的2b晶位. 然而, 在他们的讨论中隐含地假设了5个Fe晶位之间无反冲分数的比例与La-Co浓度无关. 同时, Lechevallier等[97,105]也利用57Fe穆斯堡尔谱得到了Co离子占据八面体4f2和2a晶位的结论, 他们假设Co2+附近的Fe3+受到Fe3+-O2–-Fe3+超交换相互作用的干扰. 然而, 这些研究观察到的穆斯堡尔谱中, 包括一个顺磁亚光谱和一个杂质相的磁光谱, 比从单相样品中获得的光谱更复杂, 极有可能对实验分析造成了误差.

      因此Nagasawa等[113]用SrFe12O19和Sr0.544La0.456Fe11.775Co0.225O19的高纯单晶样品测量了57Fe穆斯堡尔谱, 通过单晶块样品和单晶研磨粉末样品的对比, 研究了5个Fe晶位无反冲分数各向异性的化学组成依赖性. 一般情况下, 57Fe核上的超细相互作用与温度有关, 从较低温度谱得到的超细相互作用参数与化合物中Fe的电子态更直接相关. 由于M型六角铁氧体中, 除了2b晶位外, 其他Fe位的超精细磁场在4.2 K处非常接近, 从观察到的57Fe穆斯堡尔谱中提取与5个Fe晶位相关的亚晶格光谱并不容易. 而在150 K(远低于TC)以上, 可以清晰地提取出5个亚晶格光谱. 在该研究中, Co占位不是由5个亚晶格光谱之间强度的化学成分依赖性决定的, 而是由La-Co SrM的超精细作用参数随化学成分的变化决定的, 其中四极位移(∆EQ)几乎与La和Co的浓度无关, 而超精细场(Hhf)与中心偏移(δcs)之间存在较强的相关性, 因为Co替代Fe3+后, Fe-O-Co杂化的扰动改变了附近Fe3+Hhfδcs. 随着Co浓度增大, 2a和2b晶位的Hhfδcs值降低, 根据临近Fe晶位的统计, 表明Co2+可能替代12k, 4f1和4f2晶位, 但Co浓度对12k晶位的Hhfδcs值影响较小, 这些结果表明, Co2+离子没有占据12k晶位, 而是占据4f1和4f2晶位. 同时, 由于单晶块样品和细磨粉末样品的57Fe穆斯堡尔谱的强度不一致, 表明无反冲分数的化学成分依赖于各向异性. 此外, 在该研究中没有观察到La-Co替代样品中Fe3+到Fe2+的价态变化.

      为明晰M型铁氧体实验分析中存在的一些隐含的和未证实的假设, Oura等[114]结合57Fe穆斯堡尔谱和Co Kβ X射线发射光谱研究了La-Co SrM(x = 0.192, y = 0.152; x = 0.456, y = 0.225)单晶样品中Fe和Co离子的电子态和自旋态, 进一步阐明Co离子占位. 首先该研究进一步证明了多晶和单晶La-Co SrM样品的差异性, 单晶样品的57Fe穆斯堡尔谱结果表明, Co2+降低了Fe晶位附近Fe核的电子密度, 而La3+增大了Fe核的电子密度, 在等量La-Co替代的M型铁氧体中, Fe位的超精细相互作用对La-Co的依赖关系并不简单. 对于这种5个晶位周围局部结构不同的化合物, 利用57Fe穆斯堡尔谱吸收强度的浓度依赖关系提取替代离子的占据晶位是非常困难的, 因此该研究中还加入了La单离子替代SrM样品(x = 0.240, y = 0; x = 0.310, y = 0)的57Fe穆斯堡尔谱作为对比. 其次, 4f2和12k晶位提取的Hhfδcs值不受La和La-Co替代的影响, 而4f1, 2a和2b晶位的Hhfδcs值显示出明显的La-Co和La替代依赖性, 其中2b晶位仅与La替代有关, 因此可以认为Co替代对4f1和2a晶位的Hhfδcs值有影响. 此外还发现在单晶样品的穆斯堡尔谱分辨率范围内, La-Co SrM中Fe亚晶格为共线铁磁结构, Co Kβ X射线发射光谱表明Co2+处于高自旋状态(3 μB), Co离子在4f1晶位的数量多于2a晶位, 未淬灭的Co2+单离子各向异性平行于六角磁铅石的c轴, 以上结果与La-Co SrM的饱和磁化强度和磁各向异性的增强一致.

      至此关于Co2+在La-Co SrM中的占位经过多手段的结合研究基本有了一致的结论, 但是关于Fe离子的价态变化仍然存在争议. 之前在多晶La-Co SrM粉末的57Fe穆斯堡尔谱的研究中[104], 观察到了Fe电子态的异常状态, 被认为是2a晶位部分Fe3+转变为Fe2+所产生的现象, 但与典型的含有Fe2+的化合物中观察到的光谱有很大不同, 且在之后La-Co SrM单晶样品的57Fe穆斯堡尔谱中却没有观察到Fe离子的价态变化[113,114]. 因此Nagasawa等[117]对La-Co SrM单晶样品在高达35 kOe的外加磁场(Hex)作用下的5个晶位上Fe电子的详细状态进行了进一步研究. 在铁磁性材料中, Hhf = Hin + Hdip, 其中Hin是与Fe电子状态直接相关的超精细场, 而Hdip是来自磁偶极相互作用, 由于其对磁矩的方向很敏感, 估计了每个Fe晶位的Hdip是磁化方向的函数, 所以该工作中用提取的Hhf对计算的Hdip进行修正, 评估了Hin的值. 在La-Co SrM的12k, 4f1, 4f2和2b这4个Fe晶位中, Hin的La和La-Co替代依赖性表明这些Fe晶位上Fe3+离子中的4s电子密度发生了轻微变化. 而在2a晶位, La-Co SrM(x = 0.456, y = 0.225)中δcs的Co替代依赖性和HinHex依赖性解释了Fe离子中3d电子的增加. 这是由四面体4f1晶位上的Co2+替代Fe3+引起的, 也就是说2a晶位的Fe离子与4f1晶位上Co离子的杂化导致了2a晶位上Fe离子产生不可忽略的未淬灭轨道角动量, 这与La-Co SrM中Hin和∆EQ的Co替代依赖性是一致的. 此外, Co和Fe离子之间的这种杂交轻微减少了Co离子在4f1晶位的3d电子数量, 在这些Co离子中诱导了未淬灭轨道角动量, 因此, 该研究认为Fe和Co离子的杂化对讨论La-Co替代M型锶铁氧体的磁各向异性增强具有重要意义.

      可以看出, 单晶样品的57Fe穆斯堡尔谱成为观察Fe电子状态的强有力手段, 以上3个工作一脉相承, 共同指出了早起研究中用多晶粉末样品进行57Fe穆斯堡尔谱研究时存在的不足, 因为M型铁氧体中5个Fe晶位周围的局部结构不同, 无反冲分数f是各向异性的, 并依赖于La-Co和La替代浓度. 在150 K利用57Fe穆斯堡尔谱成功建立起关于La-Co SrM的5个亚晶格光谱之后, 通过对5个Fe晶位超精细相互作用的讨论, 最后得到了Co主要占据晶位为4f1和2a晶位的结论, 并通过与外部磁场的依赖关系揭示了4f1晶位的Co离子与2a晶位的Fe离子之间的可感知杂交, 在2a晶位的所有Fe离子上诱导了3d电子态的未淬灭轨道角动量, 这可能是La-Co SrM磁各向异性增强的原因.

    • 除了上述提到的检测手段之外, 拉曼光谱(Raman spectra)也是研究该问题的常见手段, 这是一种可以识别晶体位置上任何动态替代行为的独特技术. 通过分析与入射光频率不同的散射光谱中谱带位置和线宽的变化, 就可以获得离子替代前后晶位的信息, 在文献[102, 110, 112]中通常作为辅助手段综合分析来获得La-Co替代M型铁氧体中Co占位的结论.

      除此之外, 不同于前面的研究方案中需要中子衍射和同步辐射等大科学装置, Ohtsuka等[111]利用常见的TEM-EDXS手段就完成了对Co占据晶位的定量分析. 这是一种通过监测特征X射线发射强度随晶体取向和透射电子显微镜(TEM)中快速入射电子束的变化来确定Co占位的方法, 入射到晶体上的电子通过激发具有不同对称性的驻波(即布洛赫波)优先沿着特定的原子列或平面传播, 取决于入射束相对于晶体的方向. 因此, 在能量色散X射线能谱(EDXS)中, 可以通过改变单个晶体位的权重与入射光束摇摆角同步观察晶位或元素选择性特征X射线发射, 这种技术也叫做高角度分辨率电子通道X射线光谱学(HARECXS). 通过通道增强显微分析(ALCHEMI)方法对原子定位进行了复杂的扩展. 特征X射线峰的二维强度分布称为X射线非相干电离通道(ICP), 包含了有关相关组成元素的占据晶位和浓度信息. 经过对Sr0.8La0.2Fe11.4Co0.2O19样品的表征, 发现La-L ICP和Sr-L ICP十分相似, 说明La仅占据Sr位, 而Co倾向于占据2a, 4f1和12k晶位, 比例为2∶6∶1. 同时该工作中还通过第一性原理对Co的可能占位进行了计算, 结果表明Co替代的理论能量最低值在12k和4f1晶位, 表明这两个晶位是最有可能被替代的晶位. 但是实验中Co的占据晶位倾向性为4f1 > 2a > 12k, 而能量的理论计算中倾向性为12k > 4f1 > 2a, 这种差异可能是计算时单位晶胞中的Co浓度与实际情况不一致造成的.

      同时, 还有不少研究者利用第一性原理计算对La-Co共替代SrM情况下Co的可能占位进行研究, 然而不同的计算方法得到的结果不尽相同, 例如Park等[163]利用密度泛函理论计算La-Co SrM得到的结论为2a晶位; Dixit等[164]利用第一性原理计算方法认为Co单离子替代SrM时占据2a和12k晶位; 而Hui等[165]和Hou等[166]的第一性原理计算结果是2a和4f2晶位.

      另外, 对于各个Fe亚晶格的磁晶各向异性贡献作用不明晰的情况, 利用第一性原理直接计算离子替代对SrM的磁各向异性影响也是较多的一种研究方向[167170]. 使用适当的第一性原理和考虑晶体场的对称性来计算单离子贡献, 是一种间接估计各晶位作用的方法[171]. 尽管不同的计算方法得出的数值上有差异, 但整体趋势是一致的, 目前普遍认为2b晶位的Fe3+主要负责M型六角铁氧体中单轴各向异性贡献, 其他晶位的贡献比2b晶位少一个数量级, 但加起来的贡献也不容小觑, 特别是12k晶位. 另外La3+替代使部分Fe3+转变为Fe2+, 使2a晶位轨道磁矩增加, 进而导致2a, 4f1和4f2晶位的磁各向异性增加, 2a和2b晶位共同形成了磁晶各向异性的主要来源, 使得La替代SrM的磁各向异性能增大. 而Co2+替代对SrM的磁晶各向异性能变化不大, 仅略有增大, 其2b晶位贡献了主要的磁晶各向异性[172].

      正如前面所讨论的, 在La-Co SrM的微观结构尚未达成共识的情况下, 由于研究者对晶体结构和最新研究进展的认知存在差异, 理论计算结果难免存在偏差. 理论计算方法虽然是辅助实验研究的工具, 但也需要结合最新成果与时俱进. 这再次表明, La-Co SrM的磁各向异性增强机制研究仍在不断发展之中.

    • 接下来, 针对Co倾向于占据多个而不是单一晶位这一事实, 产生了新的研究问题. 考虑到Co在某些晶位可能不能有效增强各向异性, 甚至可能是对各向异性不利的, 需要弄清楚分布在几个晶位的Co分别发挥了什么作用, 以及是否有助于提高性能.

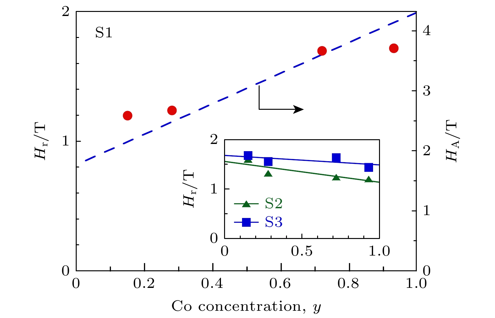
      Nakamura等[116]利用高氧压下合成的高浓度Co样品, 观察到磁各向异性和Co替代晶位在很大范围内的对应关系, 如图13所示. 如3.3.2节所述, 59Co NMR不能直接确定Co替代晶位, 但一旦光谱和晶位被绘制出来, 它就是一个很好的探针, 可以以良好的分辨率评估晶位占用情况. 通过观察几个不同Co浓度的样品的光谱, 发现每个晶位的占有率并不总是恒定的, 对于y(~x) = 0.9的样品, Co2+几乎占据了所有的4f1晶位, 并且宏观磁化测量中磁各向异性大幅增强, 则4f1晶位的Co2+表现出单轴磁各向异性. 这似乎是第一次证明Co2+和4f1晶位的磁各向异性之间有直接的关联. Co2+(S = 3/2, 3 μB)对少数自旋向下晶位4f1的高占有率与磁体的饱和磁化强度的增大有关, 这与剩磁的增大是一致的.

      然而, 从磁各向异性的角度来看, 问题仍然存在. 如3.1所述, 从晶体场考虑, 很难接受4f1晶位的Co2+是磁各向异性的起源, 因为四面体配位的Co2+没有轨道自由度存在, 而在八面体配位的2a和12k晶位上替代的Co2+的磁各向异性却不可忽视, 这种理解需要高水平的理论支持. Inoue等[173]对包括Co2+周围的O2–在内的电子轨道集群进行了计算, 表明单轴磁各向异性是由4f1晶位的局部四面体畸变引起的, 而在八面体配晶位, 任何畸变只能诱发易面(或稳定在中间角度)的磁各向异性. 此研究结果再次确认了Co2+在4f1晶位对磁晶各向异性具有贡献作用, 同时也可以看出, 3d过渡族离子周围局部晶格结构的变化对磁性氧化物的单轴磁晶各向异性起着至关重要的作用.

      综合以上分析, 我们可以暂时认为, 在La-Co共替代的M型铁氧体中, Co2+主要占据的四面体配位的4f1晶位, 是造成单轴磁各向异性的原因. 但是未来还需要结合详细的具有局部晶格弛豫的磁各向异性第一性原理计算, 建立起精确测量局部晶格形变和单轴磁各向异性的实验方法.

    • 本文综述了为探究La-Co共替代的M型铁氧体中单轴磁各向异性增强的来源而进行的一系列研究, 并最终得出结论. 无论是在Sr-La-Co还是Ca-La-Co体系中, 少量的Co2+替代就能同时改善饱和磁化强度和单轴磁晶各向异性场, 应该是由于Co2+占据了少数自旋晶位. 但在各向异性增强机制方面存在一些困惑, 主要分歧表现为Co究竟优先占据少数自旋晶位中四面体配位的4f1还是八面体配位的4f2, 但实际上还伴随着一系列细节问题如Co的自旋态与价态、Fe2+是否存在以及La-Co SrM的磁结构变化等有待关注与解决, 这为下一代高性能铁氧体磁体的材料设计增添了阻碍. 为了找到这些问题的答案, 二十余年来人们结合中子衍射、核磁共振(NMR)和穆斯堡尔谱等多种手段对La-Co替代M型铁氧体进行了一系列基础研究, 其中NMR方法主要解决了Co的自旋态与价态问题, 指出La-Co SrM中的Co离子主要为高自旋态的二价Co2+, 但不排除存在极少数Co3+的可能性; 而在外场作用下的57Fe穆斯堡尔谱研究则主要证实了La-Co SrM中2a晶位的Fe离子与4f1晶位上Co离子的杂化导致了2a晶位上Fe离子产生不可忽略的未淬灭轨道角动量; 与此同时, 中子衍射是分辨材料中的Fe和Co原子以及研究磁结构的重要手段, 能够直观地对La-Co SrM中Co占位进行拟合. 总的来说, 有两项重要进展不可忽视.

      首先是证明了M型铁氧体磁体AFe12O19的性能有进一步改进的余地, 并指明了未来性能发展的前景. 最初在商业化的La-Co替代M型铁氧体中, Co在常压合成条件下具有固溶极限, 与单位分子内的12个Fe相比, Co的最大替代量为0.3. 与此同时, Co的固溶度取决于A元素的类型. 在Sr-La-Co体系中, 当氧压较低时, Fe3+倾向于还原为Fe2+, 即使利用La3+替换了部分Sr2+, Co2+的替代量也不会有效增加. 然而, 如果在样品制备过程中增加氧压, Co替代的数量可以大大增加, 至少可以将Co的固溶极限提高到所有Sr可以被La替代的程度, 即Co替代量达到1, 各向异性和饱和磁化强度也随着Co浓度的增加而几乎呈线性增长. 这表明La-Co替代铁氧体磁体的性能几乎完全由Co浓度决定, 如果忽略原材料和生产成本, 高性能是完全可能的, 并且高浓度替代的La-Co SrM样品有利于进行磁结构的进一步研究, M型铁氧体作为磁体有进一步的应用潜力.

      其次, Co2+在La-Co SrM中的占位基本已经确定. 2011年以前的普遍理论是Co主要占据晶位为八面体4f2, 然而Kobayashi等[107]根据结合XAFS和中子衍射的实验观测, 发现Co占据的晶位为四面体4f1, 其次是多数自旋晶位2a和12k, 并得到占据比例为2a∶4f1∶12k = 1∶2∶2. 这一结果得到了最近单晶样品经NMR[115,116,155], 穆斯堡尔谱[113,114,117]和理论计算[173,174]等研究结果的支持, 如图14示意图所示, 这三种晶位都位于尖晶石(S)层中. 同时, 通过对不同Co浓度La-Co SrM样品的59Co NMR观测, 初步确认了在四面体晶位4f1替代的Co2+对单轴磁各向异性增强有贡献, 而在八面体晶位2a和12k的少量Co2+对单轴磁各向异性和饱和磁化强度的增强是不利的. 也就是说, 仅在4f1晶位上的Co对增强单轴各向异性是有效的, 然而这一观点仍然需要高水平的理论支持.

      关于La-Co SrM中单轴磁各向异性的增强机制, 得出这两大结论并非仅凭单一的突破性结果, 而是基于许多新的发展和认知层面的革新. 然而, Co并非仅占据4f1晶位, 而是倾向于占据多个晶位, 尽管在4f1晶位的Co离子数量最多, 但相比于标称Co替代浓度, 其对磁各向异性贡献仍然有限. 另一方面, 本课题组在多晶和单晶样品中观察到了Co次要占位的差异, 最近的其他研究也提出了不同的占位结果[112,175], 这表明掌握调控Co占位分布的方法应该引起我们的关注. 为进一步提高La-Co SrM的性能, 未来的研究方向应该集中于“将替代的Co2+集中在4f1晶位”. 通过对不同离子替代体系如Sr-La-Co和Ca-La-Co的进一步研究, 以及微观磁结构改变的精细观测, 完善目标晶位占据的控制因素, 有助于将高性能M型永磁铁氧体的发展推向新的高度.

    参考文献 (175)

目录

/

返回文章
返回