分数量子霍尔液体中的几何自由度及类引力子元激发

上一篇

下一篇

杨昆. 分数量子霍尔液体中的几何自由度及类引力子元激发[J]. 物理学报, 2024, 73(17): 177801-1. doi: 10.7498/aps.73.20240994
引用本文: 杨昆. 分数量子霍尔液体中的几何自由度及类引力子元激发[J]. 物理学报, 2024, 73(17): 177801-1. doi: 10.7498/aps.73.20240994
Yang Kun. Geometric degrees of freedom and graviton-like excitations in fractional quantum Hall liquids[J]. Acta Physica Sinica, 2024, 73(17): 177801-1. doi: 10.7498/aps.73.20240994
Citation: Yang Kun. Geometric degrees of freedom and graviton-like excitations in fractional quantum Hall liquids[J]. Acta Physica Sinica, 2024, 73(17): 177801-1. doi: 10.7498/aps.73.20240994

分数量子霍尔液体中的几何自由度及类引力子元激发

    通讯作者: E-mail: kunyang@magnet.fsu.edu.
  • 中图分类号: 78.20.-e, 73.43.-f, 04.30.-w, 04.60.-m

Geometric degrees of freedom and graviton-like excitations in fractional quantum Hall liquids

    Corresponding author: E-mail: kunyang@magnet.fsu.edu
  • MSC: 78.20.-e, 73.43.-f, 04.30.-w, 04.60.-m

  • 摘要: 拓扑在凝聚态物理中的应用始于量子霍尔效应的研究, 并逐渐成为现代凝聚态物理的主旋律. 其重要性在于它描述物理系统的普适性质. 但基于拓扑场论的分数量子霍尔液体宏观描述并非完备. 本文从微观角度出发讨论分数量子霍尔液体中的几何自由度及其量子动力学, 揭示其基本元激发为自旋为2的类引力子并据有特定手性, 着重讨论该手征类引力子的实验探测.
  • 加载中
  • 图 1  Laughlin态的两体关联函数 (a)各向异性的Laughlin态的一个代表; (b)各向同性的Laughlin 波函数. 两者关联空穴面积相同, 引自文献[4]

    Figure 1.  Two-body correlation function of the Laughlin state: (a) A representative of the anisotropic Laughlin state; (b) the isotropic Laughlin wave function. The areas of the two correlation holes are the same. From Ref. [4].

    图 2  用Wen[1] 的舞蹈规则类比来说明1/3填充Laughlin 态中的类引力子激发及其手性, 左图为在 Laughlin 基态(或舞蹈规则)中, 一对舞者的最小相对角动量为3, 以确保他们之间有足够的距离; 右图为类引力子激发对应于相对角动量从3变为1的一个电子对(费米子波函数的反对称性只允许奇数相对角动量); 这在 Laughlin 态下是不允许的, 因此, 它对应于一种激发, 即文献[12]检测到的“引力子”, 换句话说, 拉曼过程通过将相对角动量为3的电子对(左图)变成相对角动量为1的电子对(右图)来产生“引力子”; 该激发的角动量为 1 – 3 = –2, 对应引力子手性为–2. 对于2/3及3/5填充的空穴状态, 由于空穴的手性与电子相反, 引力子手性变为 +2, 引自文献[13]

    Figure 2.  Illustration of graviton-like excitation and its chirality in the 1/3 Laughlin state using Wen’s[1] dancing pattern analogy. Left panel: In the Laughlin ground state (or dancing pattern), the minimum relative angular momentum of a pair of dancers is 3, ensuring sufficient separation between them. Right panel: A graviton-like excitation corresponds to a pair whose relative angular momentum changes from 3 to 1 (antisymmetry of fermion wave function only allows for odd relative angular momenta). This is not allowed in the Laughlin state, as a result, it corresponds to an excitation which is the “graviton” detected by Liang et al.[12]. In other words, the Raman process creates a “graviton” by turning a pair with relative angular momentum 3 (left panel) to a pair with relative angular momentum 1 (right panel). The angular momentum of this excitation is 1 – 3 = –2, corresponding to graviton chirality –2. For hole states like 2/3 and 3/5, because the chirality is reversed for holes, graviton chirality becomes +2. From Ref. [13].

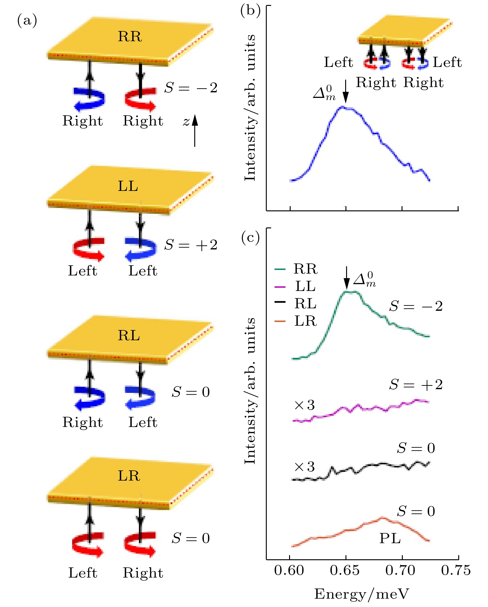
    图 3  圆极化偏振的拉曼散射, 不同入射光与出射光偏振的组合对应于系统不同角动量的元激发, 在1/3填充的Laughlin态中, 只有对应于角动量为–2的组合有共振峰(见右图绿色曲线), 与文献[10]的预言相符, 引自文献[12]

    Figure 3.  Circularly polarized Raman scattering. Different combinations of incident and outgoing light polarization couple to elementary excitations of different angular momentums in the system. In the 1/3 filled Laughlin state, only the combination corresponding to the angular momentum –2 has a resonance peak (see the green curve on the right), which is consistent with the prediction of Ref. [10]. Cited from Ref. [12].

  • [1] Wen X G 2004 Quantum Field Theory of Many-body Systems: From the Origin of Sound to An Origin of Light and Electrons (Oxford: Oxford University Press
    [2] Girvin S M, MacDonald A H, Platzman P M 1986 Phys. Rev. B 33 2481 doi: 10.1103/PhysRevB.33.2481
    [3] Haldane F D M 2011 Phys. Rev. Lett. 107 116801 doi: 10.1103/PhysRevLett.107.116801
    [4] Qiu R Z, Haldane F D M, Wan X, Yang K, Yi S 2012 Phys. Rev. B 85 115308 doi: 10.1103/PhysRevB.85.115308
    [5] Yang K 2013 Phys. Rev. B 88 241105 doi: 10.1103/PhysRevB.88.241105
    [6] Halperin B I, Lee P A, Read N 1993 Phys. Rev. B 47 7312 doi: 10.1103/PhysRevB.47.7312
    [7] Jo I, Rosales K A V, Mueed M A, Pfeiffer L N, West K W, Baldwin K W, Winkler R, Padmanabhan M, Shayegan M 2017 Phys. Rev. Lett. 119 016402 doi: 10.1103/PhysRevLett.119.016402
    [8] Yang K 2016 Phys. Rev. B 93 161302 doi: 10.1103/PhysRevB.93.161302
    [9] Liu Z, Gromov A, Papic Z 2018 Phys. Rev. B 98 155140 doi: 10.1103/PhysRevB.98.155140
    [10] Liou S F, Haldane F D M, Yang K, Rezayi E H 2019 Phys. Rev. Lett. 123 146801 doi: 10.1103/PhysRevLett.123.146801
    [11] Nguyen D X, Haldane F D M, Rezayi E H, Son D T, Yang K 2022 Phys. Rev. Lett. 128 246402 doi: 10.1103/PhysRevLett.128.246402
    [12] Liang J H, Liu Z Y, Yang Z H, Huang Y L, Wurstbauer U, Dean C R, West K W, Pfeiffer L N, Du L J, Pinczuk P 2024 Nature 628 78 doi: 10.1038/s41586-024-07201-w
    [13] Yang K 2024 The Innovation 5 100641 doi: 10.1016/j.xinn.2024.100641
    [14] Nguyen D X, Son D T 2021 Phys. Rev. Res. 3 023040 doi: 10.1103/PhysRevResearch.3.023040
    [15] Haldane F D M, Rezayi E H, Yang K 2021 Phys. Rev. B 104 L121106 doi: 10.1103/PhysRevB.104.L121106
    [16] Ma K K W, Peterson M R, Scarola V W, Yang K 2023 Encyclopedia of Condensed Matter Physics (2nd Ed.) (Academic Press
    [17] 万歆, 王正汉, 杨昆 2013 物理 42 558 Wan X, Wang Z H, Yang K 2013 Physics 42 558
    [18] Ma K K W, Yang K 2022 Phys. Rev. B 105 045306 doi: 10.1103/PhysRevB.105.045306
    [19] Ma K K W 2022 arXiv: 2209.11119
    [20] Ma K K W, Yang K 2024 arXiv: 2408.00058
  • 加载中
图( 4)
计量
  • 文章访问数:  591
  • HTML全文浏览数:  591
  • PDF下载数:  4
  • 施引文献:  0
出版历程
  • 收稿日期:  2024-07-17
  • 刊出日期:  2024-09-05

分数量子霍尔液体中的几何自由度及类引力子元激发

    通讯作者: E-mail: kunyang@magnet.fsu.edu.
  • 佛罗里达州立大学物理系, 塔拉哈西, 佛罗里达 32306, 美国

摘要: 拓扑在凝聚态物理中的应用始于量子霍尔效应的研究, 并逐渐成为现代凝聚态物理的主旋律. 其重要性在于它描述物理系统的普适性质. 但基于拓扑场论的分数量子霍尔液体宏观描述并非完备. 本文从微观角度出发讨论分数量子霍尔液体中的几何自由度及其量子动力学, 揭示其基本元激发为自旋为2的类引力子并据有特定手性, 着重讨论该手征类引力子的实验探测.

English Abstract

    • 分数量子霍尔液体可以说是最强的强关联系统, 并呈现拓扑序[1]. 其最重要的特征是带有分数电荷的准粒子(准空穴)元激发. 但它的电中性元激发的性质直至最近才被完全弄清楚. 有限波长的电中性元激发可以被看作电荷密度波或者准粒子-准空穴的束缚态[2]. 但在长波极限下这样的图像并不适用, 而需要一个新的理论框架. 在这个理论框架中, 一个最基本的自由度是描述电子关联(correlation)的度规张量, 其描述的是电子周围关联空穴的几何形状. 所以这个理论被称为分数量子霍尔效应的几何理论[3]. 由于度规张量也是引力理论的基本自由度, 该理论框架可以被看作某种引力理论. 其基本元激发为自旋为2的类引力子. 本文从微观角度出发讨论量子霍尔液体中的几何自由度及其量子动力学, 揭示其基本元激发为自旋为2的类引力子并据有特定手性, 并着重讨论该手征类引力子的实验探测.

    • 由于电子-电子之间的库仑相互作用, 每个电子周围都存在关联空穴. 由于分数量子霍尔液体是不可压缩的, 关联空穴的面积是固定的, 并可以被看作是一个拓扑不变量. 但Haldane[3]指出这一拓扑限制并不能完全决定关联空穴的形状. 他把这一类面积不变的几何形状称为面积守恒的微分同胚(area-preserving diffeomorphism), 并指出它们可以用模为1的度规张量描述. 以1/3填充的Laughlin态为例, 这意味着各向同性的Laughlin波函数并非唯一, 而存在着一系列各向异性的Laughlin波函数. 我们成功地构造出了这些波函数[4], 由此证明分数量子霍尔液体中的几何自由度确实存在(见图1). 但是普通的输运测量反映的是分数量子霍尔系统的拓扑性质, 无法直接观测到这一几何形状. 我们进一步指出可通过破坏体系的不可压缩性来间接观测这一几何形状[5]. 具体做法是研究1/2填充的可压缩态. 之前的大量研究指出, 在此填充数下电子与系统中的磁通相结合形成复合费米子, 而后者构成一个费米面[6]. 文献[5]通过一个严格可解模型证明费米面的形状就是1/3填充及其他分数量子霍尔液体中关联空穴的形状, 并详细研究了该形状如何依赖于系统的有效质量张量[5]. 我们的定量结果与实验符合得非常好[7].

    • 研究一个自由度动力学最直接的方法是研究其对外界扰动的响应, 而响应函数的共振峰对应于它的元激发, 共振峰的频率则对应于元激发的能量. 由于该几何自由度对应于一个二阶张量, 它只能与其他二阶张量产生耦合. 其中最直接的就是系统的有效质量张量. 文献[8]推导了它们的耦合形式, 并预言引力子模的存在对应于耦合算符谱函数的一个共振峰. 该共振峰在数值计算中被观测到了, 证明引力子模在分数量子霍尔液体中确实存在[9]. 但是文献[8]导出的耦合算符不带手性, 与自旋为+/–2的激发态都有耦合. 因此该共振峰无法区分引力子模的手性, 或者说无法判定引力子的自旋是+2还是–2. 文献[10]引入了两个新的带有特定手性的耦合算符, 分别与自旋为+/–2的激发产生耦合. 通过对它们的谱函数的计算, 我们发现引力子模在电子型分数量子霍尔液体(如1/3填充的Laughlin态)中自旋为–2, 而在空穴型分数量子霍尔液体(如2/3填充态)自旋为+2, 我们把这些带有特定手性的引力子称为手性引力子[10]. 我们还研究了1/2填充的玻色子Laughlin态, 同样看到的是自旋为–2的手性引力子[11]. 由于玻色子系统没有简单的空穴型分数量子霍尔液体, 自旋为 +2的手性引力子只能来自准空穴凝聚导致的高阶分数量子霍尔态, 并与自旋为–2的手性引力子共存. 这种情形在费米子系统中已存在, 值得在玻色子系统中进一步研究.

      引力子的手性可以用一个非常简单的物理图像来理解. 以1/3填充的Laughlin态为例, 原始的Laughlin波函数要求每一对电子的相对角动量至少为3 (见图2). 由于电子是费米子, 波函数的反对称性要求每一对电子的相对角动量必须是奇数. 引力子元激发可以被看作相对角动量为1的电子对(见图2). 要激发引力子最直接的办法就是把在Laughlin基态中已存在的相对角动量为3的电子对变成相对角动量为1的电子对. 这导致系统的总角动量减小了2, 所以引力子的自旋为–2. 在这个意义上Laughlin态可以被看作是引力子的真空态. 而在空穴型分数量子霍尔液体的手性与电子型相反, 如2/3填充态中空穴形成Laughlin态, 其相对角动量都是从–3开始的负奇数. 故引力子的自旋为+2.

    • 尽管文献[10]引入的耦合算符是为了区分引力子的手性, 后续研究[14]表明它们有十分明确的物理意义. 具体说来, 文献[10]计算的谱函数对应于圆偏振光的拉曼散射谱. 拉曼散射是一个双光子过程——入射光子被系统吸收, 而后系统再发射一个光子. 由于光子自旋为1, 不同圆偏振的入射及出射光子的组合可以激发出自旋为0及+2和–2的元激发. Liang等[12]发现在1/3填充的Laughlin态中, 只有在能激发出自旋为–2元激发的组合中有一个共振峰, 见图3. 这表明在1/3填充的Laughlin态中引力子自旋为–2. 他们在2/5填充态(同为电子态)中看到同样的行为, 而在2/3及3/5填充态(同为空穴态)中引力子自旋为+2. 这些与文献[10]的预言完全一致.

    • 文献[12]报道的实验发现意义十分重大.

      首先, 这很可能是实验上首次观测到自旋为2的准粒子(元激发). 众所周知, 自然界存在的基本粒子有自旋为1/2的(如电子), 也有自旋为1的(如光子). 迄今唯一的自旋为零的希格斯粒子是在大约12年前(经过数十年的探索)发现的. 人们普遍认为, 在尚待发现的引力量子理论中一定存在基本引力子, 它们是引力波(仅在9年前才被发现)的量子且自旋为2. 凝聚态系统中的激发通常具有粒子特征, 但它们实际上是基本粒子(主要是电子)集体运动模的量子, 它们被称为准粒子. 文献[12]报道发现的类似引力子的元激发就是这样的准粒子. 与基本粒子一样, 凝聚态系统中的准粒子也大多具有自旋1/2 (如金属中的准电子和准空穴)、自旋1 (如极化子)或自旋为0 (如氦–4 液体中的声子). 自旋为2或四极矩模确实存在, 但它们往往会非常快地衰变为系统中的其他准粒子, 因此不具备准粒子的特征. 在分数量子霍尔液体中, 这种“引力子”变得相当“长寿”, 因为其他准粒子有能隙且是拓扑非平庸的, 从而极大地限制了“引力子”向它们衰变的可能通道, 使得这些“引力子”在实验中变得清晰可见.

      其次, 这样的实验为研究分数量子霍尔液体的拓扑性质开辟了一条全新的道路. 传统上, 这种拓扑性质是通过所谓的体边缘对应[1]在系统的边界探测的. 不幸的是, 边界上存在着各种人们尚未完全理解的复杂情况, 使得这类实验的解释在许多情况下变得困难或模糊. 另一方面, 拉曼散射是一个纯粹的体探测, 不受这些复杂性的影响. 特别是我们[15,14] 提出可以利用引力子手性来探测朗道能级填充因子为5/2的分数量子霍尔液体的拓扑序, 这是目前最有趣的分数量子霍尔态[16], 不仅因为这里有多个可能的态(因此找出哪个态被真正实现了很重要), 而且理论研究表明[16], 候选者中最有可能的态是非阿贝尔的在电子型Moore-Read Pfaffian态和空穴型的anti-Pfaffian态, 而它们在拓扑量子计算中具有潜在的应用前景[17]. 我们发现[15]在电子型的Moore-Read Pfaffian态中引力子模自旋为–2, 而在空穴型的anti-Pfaffian态中引力子模自旋为+2. 这与前文中讨论的阿贝尔态完全一致. 因此, 未来类似于文献[12]报道的实验可能会导致某些非阿贝尔物质态的实验发现.

      最后, 这类工作促进了不同物理学领域之间的对话和协同作用. 不可否认, 这里的“引力子”与量子引力理论中的基本引力子有很大不同. 明显的区别是: i)这里有2个而不是量子引力中的3个(或更高)空间维度; ii)量子霍尔“引力子”背后的几何是纯空间的, 而爱因斯坦广义相对论(量子引力的经典版本)的几何是时空的; iii)也许最重要的是, 这些量子霍尔“引力子”是有能隙的, 而量子引力理论的引力子必须是无能隙(或者说是无质量)的, 这样引力才能长距离传播. 然而, 它们之间的相似性应当引起物理学界的广泛关注. 与此相关的是我们在最近的工作中[1820]还研究了分数量子霍尔液体中和黑洞相关的一些物理性质.

    参考文献 (20)

目录

/

返回文章
返回