一种基于频率可重构的超宽带1比特相移超表面

上一篇

下一篇

廖嘉伟, 杨欢欢, 李桐, 季轲峰, 张芷昀, 吴天昊, 邹靖, 孙代飞. 一种基于频率可重构的超宽带1比特相移超表面[J]. 物理学报, 2025, 74(18): 184101-1. doi: 10.7498/aps.74.20250636
引用本文: 廖嘉伟, 杨欢欢, 李桐, 季轲峰, 张芷昀, 吴天昊, 邹靖, 孙代飞. 一种基于频率可重构的超宽带1比特相移超表面[J]. 物理学报, 2025, 74(18): 184101-1. doi: 10.7498/aps.74.20250636
Jiawei LIAO, Huanhuan YANG, Tong LI, Kefeng JI, Zhiyun ZHANG, Tianhao WU, Jing ZOU, Daifei SUN. A frequency-reconfigurable ultra-wideband 1-bit phase-shifting metasurface[J]. Acta Physica Sinica, 2025, 74(18): 184101-1. doi: 10.7498/aps.74.20250636
Citation: Jiawei LIAO, Huanhuan YANG, Tong LI, Kefeng JI, Zhiyun ZHANG, Tianhao WU, Jing ZOU, Daifei SUN. A frequency-reconfigurable ultra-wideband 1-bit phase-shifting metasurface[J]. Acta Physica Sinica, 2025, 74(18): 184101-1. doi: 10.7498/aps.74.20250636

一种基于频率可重构的超宽带1比特相移超表面

    作者简介: 廖嘉伟: davy20230809@163.com .
    通讯作者: E-mail: jianye8901@126.com.;  E-mail: tongli8811@sina.com.; 
  • 中图分类号: 41.20.Jb, 78.67.Pt, 73.20.Mf

A frequency-reconfigurable ultra-wideband 1-bit phase-shifting metasurface

    Corresponding authors: E-mail: jianye8901@126.com.;  E-mail: tongli8811@sina.com.; 
  • MSC: 41.20.Jb, 78.67.Pt, 73.20.Mf

  • 摘要: 提出了一种频率和相位复合可重构的超表面设计方法. 该方法在超表面单元引入N个PIN二极管, 借由其通断改变单元的谐振特性, 形成2N个可调控的反射相位, 选择适当的结构参数, 可以使2N个反射相位在不同频带内呈现出180°相位差, 综合利用频率和相位调控特性, 即可有效扩展可重构相移超表面的工作带宽. 采用该方法, 设计了一款超宽带1比特相移超表面单元, 其1比特相位的调控频段覆盖5.4—13.0 GHz, 相对带宽为82.6%, 通过引入集总电容和优化其位置, 精准改变电流分布, 实现了单元的低损耗性能. 该单元的厚度仅为0.09λ, 其具有低剖面、低成本、低损耗特点. 进一步利用该单元构造了16 × 16单元的超表面, 通过不同的阵列编码, 超表面能够产生散射可控波束和轨道角动量涡旋波, 并在超宽带范围内实现了10 dB以上的雷达散射截面减缩效果, 展现出动态灵活的波束调控和低散射性能.
  • 加载中
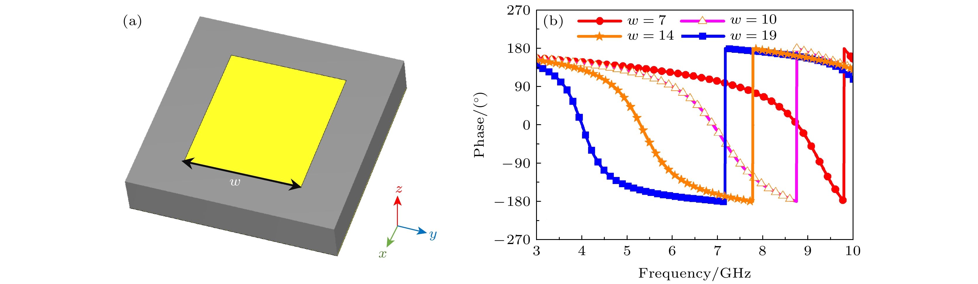
  • 图 1  矩形贴片超表面单元 (a) 单元侧视图; (b) 单元不同金属贴片尺寸的反射相位

    Figure 1.  Metasurface element with rectangular patch: (a) Isometric view; (b) reflection phases of the element with different patch sizes.

    图 2  超表面基本单元演变过程 (a) 1比特单元; (b) 频率可重构1比特单元; (c) 低损耗频率可重构1比特单元

    Figure 2.  Design process of the metasurface element: (a) 1 bit element; (b) frequency-reconfigurable 1 bit element; (c) low-loss and frequency-reconfigurable 1 bit element.

    图 3  单元结构示意图 (a) 单元透视图; (b) 单元俯视图; (c) 单元仰视图

    Figure 3.  Structure of the metasurface element: (a) Isometric view; (b) top view; (c) bottom view.

    图 4  偏置线对单元反射性能的影响 (a) 幅度; (b) 相位

    Figure 4.  Influence of biasing circuit on reflection performance: (a) Reflection amplitude; (b) reflection phase.

    图 5  10.5 GHz时单元反射幅度分析 (a) 不含电容单元的表面电流分布; (b) 不含电容单元的反射幅度; (c) 含电容单元的表面电流分布; (d) 含电容单元的反射幅度; (e) 电容位置变化时的表面电流分布; (f) 电容位置变化时的反射幅度

    Figure 5.  Reflection amplitude analysis of the element at 10.5 GHz: (a) Surface current distribution and (b) reflection amplitude of the element without capacitors; (c) surface current distribution and (d) reflection amplitude of the element with capacitors; (e) surface current distribution and (f) reflection amplitude of the element with different capacitors locations.

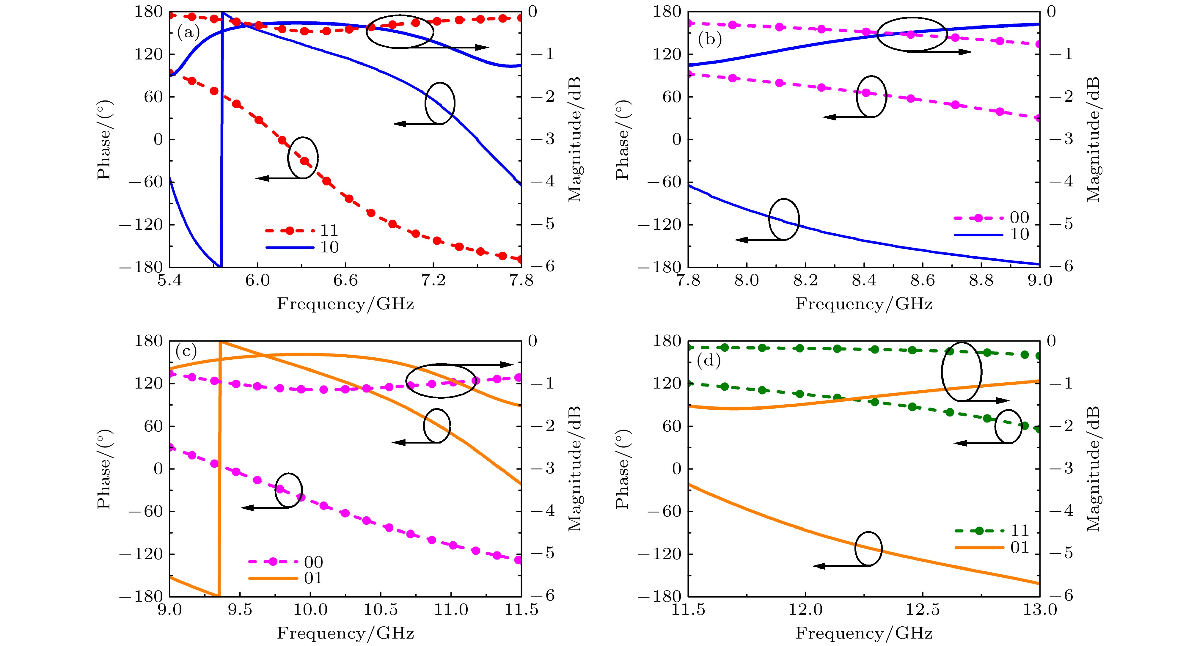
    图 6  单元反射性能曲线 (a) “11”和“10”状态; (b) “00”和10”状态; (c) “00”和01”状态; (d) “11”和“01”状态

    Figure 6.  Reflection characteristic of the element: (a) States of “11” and “10”; (b) states of “00” and “10”; (c) states of “00” and “01”; (d) states of “11” and “01”.

    图 7  超表面在9 GHz时不同的相位编码排布及散射方向图 (a) 单波束; (b) 双波束; (c) 三波束; (d) 漫散射

    Figure 7.  Different scattering patterns of the metasurface at 9 GHz: (a) Single beam; (b) double beam; (c) triple beam; (d) diffuse scattering.

    图 8  散射方向图分析与单站RCS对比 (a) 散射方向图; (b) RCS对比

    Figure 8.  Scattering pattern and monostatic RCS comparison: (a) Scattering pattern; (b) RCS.

    图 9  超表面在棋盘相位编码排布时的散射方向图 (a) 6.9 GHz; (b) 9.0 GHz; (c) 11.2 GHz; (d) 12.2 GHz

    Figure 9.  Scattering pattern of the metasurface with chessboard coding configuration: (a) 6.9 GHz; (b) 9.0 GHz; (c) 11.2 GHz; (d) 12.2 GHz.

    图 10  超表面在不同频率时产生OAM涡旋波及其相位编码排布 (a) 6.9 GHz, θ = 15°; (b) 9.0 GHz, θ = 15°; (c) 11.2 GHz, θ = 15°; (d) 12.2 GHz, θ = 15°; (e) 6.9 GHz, θ = 30°; (f) 9.0 GHz, θ = 30°; (g) 11.2 GHz, θ = 30°; (h) 12.2 GHz, θ = 30°

    Figure 10.  OAM vortex waves generated by the metasurface at different frequencies: (a) 6.9 GHz, θ = 15°; (b) 9.0 GHz, θ = 15°; (c) 11.2 GHz, θ = 15°; (d) 12.2 GHz, θ = 15°; (e) 6.9 GHz, θ = 30°; (f) 9.0 GHz, θ = 30°; (g) 11.2 GHz, θ = 30°; (h) 12.2 GHz, θ = 30°.

    图 11  超表面在6.9 GHz处OAM散射波束俯仰角θ = 30°时的相位分布及模式纯度分析 (a) l = 1的相位分布; (b) l = –1的相位分布; (c) l = 1的模式纯度

    Figure 11.  Phase and mode purity analysis of OAM vortex waves at 6.9 GHz (θ = 30°): (a) Phase distribution for l = 1; (b) phase distribution for l = –1; (c) mode purity for l = 1.

    图 12  同尺寸金属板与超表面在各频带内产生不同OAM涡旋波时的RCS (a) θ = 15°; (b) θ = 30°

    Figure 12.  Monostatic RCS of the metal plate and the metasurface in the state of generating different OAM vortex waves: (a) θ = 15°; (b) θ = 30°.

    图 13  8 × 8超表面样件及测试 (a) 样件正面; (b) 样件背面; (c) 微波暗室测试示意图

    Figure 13.  Picture and test of the metasurface with 8 × 8 elements: (a) Top view; (b) back view; (c) test in the anechoic chamber.

    图 14  仿真与测试的超表面RCS减缩效果 (a) 棋盘相位编码排布; (b) 左右对称相位编码排布

    Figure 14.  Simulated and measured monostatic RCS reduction of the metasurface: (a) Chessboard coding configuration; (b) symmetrtic coding configuration.

    图 15  仿真与测试的超表面yoz面散射方向图 (a) 单波束; (b) 双波束; (c) 三波束

    Figure 15.  Simulated and measured scattering pattern of the metasurface at yoz plane: (a) Single beam; (b) double beam; (c) triple beam.

    表 1  本文设计的可重构超表面单元与已有文献比较

    Table 1.  Comparison of in this work and metasurface cells in previous work.

    文献 调控类型 调控频带/GHz 相对带宽/% 射频介质层数 厚度 单元大小
    [27] 相位 12.9—16.5 23.8 2 0.12λ 0.47λ×0.47λ
    [28] 相位 6.75—11.25 50 1 0.066λ 0.30λ×0.30λ
    [29] 相位 7.3—13.9 62.3 2 0.14λ 0.35λ×0.35λ
    [30] 相位 5.2—9.4 57.5 2 0.13λ 0.44λ×0.44λ
    [31] 相位 2.75—6.0 74.3 2 0.17λ 0.27λ×0.27λ
    本文 相位+频率 5.4—13.0 82.6 1 0.09λ 0.38λ×0.38λ
    下载: 导出CSV
  • [1] Yu N F, Genevet P, Kats M A, Aieta F, Tetienne J P, Capasso F, Gaburro Z 2011 Science 334 333 doi: 10.1126/science.1210713
    [2] Glybovski S B, Tretyakov S A, Belov P A, Kivshar Y S, Simovski C R 2016 Phys. Rep. -Rev. Sec. Phys. Lett. 634 1 doi: 10.1016/j.physrep.2016.04.004
    [3] Chen Q, Yang S L, Bai J J, Fu Y Q 2017 IEEE Trans. Antennas Propag. 65 4897 doi: 10.1109/TAP.2017.2722875
    [4] Xing Z Y, Yang F, Yang P, Yang J H 2022 IEEE Antennas Wirel. Propag. Lett. 21 1659 doi: 10.1109/LAWP.2022.3176927
    [5] Li B, Liu X B, Shi H Y, Yang C, Chen Q, Zhang A X 2018 IEEE Access 6 78839 doi: 10.1109/ACCESS.2018.2885356
    [6] Huang C X, Zhang J J, Cheng Q, Cui T J 2021 Adv. Funct. Mater. 31 2103379 doi: 10.1002/adfm.202103379
    [7] Xu J, Yang K X, Tian S, Zhao J P 2024 IEEE Antennas Wirel. Propag. Lett. 23 4658 doi: 10.1109/LAWP.2024.3464571
    [8] Zhao S H, Zhang S, Xue H, Li Y C, Zhang K Y, Liu H X, Li L 2024 IEEE Antennas Wirel. Propag. Lett. 23 985 doi: 10.1109/LAWP.2023.3340873
    [9] Li Z H, Li S J, He C Y, Wu Y H, Hu L Q, Zhang Z Y, Li T, Yang H H 2024 Adv. Phys. Res. 6 2400176 doi: 10.1002/apxr.202400176
    [10] Xu P, Tian H W, Jiang W X, Chen Z Z, Cao T, Qiu C W, Cui T J 2021 Adv. Opt. Mater. 9 2100159 doi: 10.1002/adom.202100159
    [11] Yang H H, Li T, Liao J W, Gao K, Li Q, Li S J, Cao X Y 2024 IEEE Antennas Wirel. Propag. Lett. 23 4069 doi: 10.1109/LAWP.2024.3422970
    [12] Li T, Yang H H, Li Q, Jidi L R, Cao X Y, Gao J 2021 IEEE Trans. Antennas Propag. 69 5325 doi: 10.1109/TAP.2021.3061095
    [13] Yang H H, Li T, Jidi L, Gao K, Li Q, Qiao J X, Li S J, Cao X Y, Cui T J 2023 IEEE Trans. Antennas Propag. 71 4075 doi: 10.1109/TAP.2023.3248441
    [14] Li T, Yang H H, Li Q, Zhang C, Han J F, Cong L L, Cao X Y, Gao J 2019 Opt. Mater. Express 9 1161 doi: 10.1364/OME.9.001161
    [15] Yang H H, Li T, Gao K, Guo Z X, Li Q, Li S J, Cao X Y 2024 Microwave Opt. Technol. Lett. 66 33965 doi: 10.1002/mop.33965
    [16] Ji K F, Zhou Y L, Yang H H, Zhang Z Y, Guo Z X, Li T, Liu X B, Cao X Y 2024 IEEE Antennas Wirel. Propag. Lett. 23 2046 doi: 10.1109/LAWP.2024.3378682
    [17] Zhang Z Y, Cao X Y, Yang H H, Li T, Li S J, Ji K F 2023 J. Phys. D: Appl. Phys. 56 015103 doi: 10.1088/1361-6463/ac9c11
    [18] Cui T J, Qi M Q, Wan X, Zhao J, Cheng Q 2014 Light-Sci. Appl. 3 e218 doi: 10.1038/lsa.2014.99
    [19] Pitilakis A, Seckel M, Tasolamprou A C, Liu F, Deltsidis A, Manessis D, Ostmann A, Kantartzis N V, Liaskos C, Soukoulis C M, Tretyakov S A, Kafesaki M, Tsilipakos O 2022 Phys. Rev. Appl. 17 064060 doi: 10.1103/PhysRevApplied.17.064060
    [20] Yin T, Ren J, Chen Y J, Xu K D, Yin Y Z 2024 IEEE Trans. Antennas Propag. 72 6789 doi: 10.1109/TAP.2024.3418138
    [21] Li W H, Qiu T S, Wang J F, Zheng L, Jing Y, Jia Y X, Wang H, Han Y J, Qu S B 2021 IEEE Trans. Antennas Propag. 69 296 doi: 10.1109/TAP.2020.3010801
    [22] Wang P, Wang Y, Yan Z M, Zhou H C 2022 Chin. Phys. B 31 124201 doi: 10.1088/1674-1056/ac8ce0
    [23] Yu H C, Cao X Y, Gao J, Yang H H, Jidi L, Han J F, Li T 2018 Opt. Mater. Express 8 3373 doi: 10.1364/OME.8.003373
    [24] Wang H L, Zhang Y K, Cheng Y T, Zhang T Y, Zheng S, Cui T J, Ma H F 2025 Laser Photonics Rev. 19 202500057 doi: 10.1002/lpor.202500057
    [25] Liu Y, Zhang W B, Jia Y T, Wu A Q 2021 IEEE Trans. Antennas Propag. 69 572 doi: 10.1109/TAP.2020.3004993
    [26] Cao W W, Zhang J W, Dai J Y, Wu L J, Yang H Q, Zhang Z, Li H D, Cheng Q 2025 Chin. Opt. Lett. 23 023603 doi: 10.3788/COL202523.023603
    [27] Zhou S G, Zhao G, Xu H, Luo C W, Sun J Q, Chen G T, Jiao Y C 2022 IEEE Antennas Wirel. Propag. Lett. 21 566 doi: 10.1109/LAWP.2021.3138438
    [28] Li T, Yang H H, Li Q, Tian J H, Gao K, Cong L L, Li S J, Cao X Y 2024 IEEE Antennas Wirel. Propag. Lett. 23 1206 doi: 10.1109/LAWP.2023.3349290
    [29] 卢颖娟, 程强, 王思然, 李会东, 戴俊彦, 张珍, 罗将 2025 光学学报(网络版) 2 0401001 Lu Y J, Cheng Q, Wang S R, Li H D, Dai J Y, Zhang Z, Luo J 2025 Acta Opt. Sin. 2 0401001
    [30] Li P, Yu H, Su J X, Song L W, Guo Q X, Li Z R 2023 IEEE Trans. Antennas Propag. 71 621 doi: 10.1109/TAP.2022.3225588
    [31] Shi H Y, Liu R, Zhang Z Y, Chen X M, Wang L Y, Yi J J, Liu H W, Zhang A X 2024 IEEE Antennas Wirel. Propag. Lett. 23 4613 doi: 10.1109/LAWP.2024.3460398
    [32] Lan C W, Gao Y T, Gao Z H, Wang H Y, Bi K, Lei M, Zhao G N 2025 Chin. Phys. Lett. 42 056303 doi: 10.1088/0256-307X/42/5/056303
    [33] Zhang Z Y, Zhou Y L, Li S J, Tian J H, Cong L L, Yang H H, Cao X Y 2024 ACS Appl. Mater. Interfaces 16 65635 doi: 10.1021/acsami.4c15654
    [34] Zheng Y J, Chen Q, Ding L, Yuan F, Fu Y Q 2023 J. Syst. Eng. Electron. 34 1473 doi: 10.23919/JSEE.2022.000121
    [35] Li Y X, Zhu R C, Sui S, Cui Y N, Jia Y X, Han Y J, Fu X M, Feng C Q, Qu S B, Wang J F 2025 Nanophotonics 14 959 doi: 10.1515/nanoph-2025-0013
    [36] Guo Q X, Hao F S, Qu M J, Su J X, Li Z R 2024 IEEE Antennas Wirel. Propag. Lett. 23 1241 doi: 10.1109/LAWP.2024.3350034
    [37] Chen Q, Chen Y, Yuan F, Bai J J, Zheng Y J, Fu Y Q 2023 Chin. J. Radio Sci. 38 989 doi: 10.12265/j.cjors.2023141
  • 加载中
图( 16) 表( 1)
计量
  • 文章访问数:  27
  • HTML全文浏览数:  27
  • PDF下载数:  2
  • 施引文献:  0
出版历程
  • 收稿日期:  2025-05-15
  • 刊出日期:  2025-09-20

一种基于频率可重构的超宽带1比特相移超表面

    通讯作者: E-mail: jianye8901@126.com.; 
    通讯作者: E-mail: tongli8811@sina.com.; 
    作者简介: 廖嘉伟: davy20230809@163.com
  • 空军工程大学信息与导航学院, 西安 710077

摘要: 提出了一种频率和相位复合可重构的超表面设计方法. 该方法在超表面单元引入N个PIN二极管, 借由其通断改变单元的谐振特性, 形成2N个可调控的反射相位, 选择适当的结构参数, 可以使2N个反射相位在不同频带内呈现出180°相位差, 综合利用频率和相位调控特性, 即可有效扩展可重构相移超表面的工作带宽. 采用该方法, 设计了一款超宽带1比特相移超表面单元, 其1比特相位的调控频段覆盖5.4—13.0 GHz, 相对带宽为82.6%, 通过引入集总电容和优化其位置, 精准改变电流分布, 实现了单元的低损耗性能. 该单元的厚度仅为0.09λ, 其具有低剖面、低成本、低损耗特点. 进一步利用该单元构造了16 × 16单元的超表面, 通过不同的阵列编码, 超表面能够产生散射可控波束和轨道角动量涡旋波, 并在超宽带范围内实现了10 dB以上的雷达散射截面减缩效果, 展现出动态灵活的波束调控和低散射性能.

English Abstract

    • 超表面是一种人工设计的超薄电磁材料[1,2], 它由亚波长结构单元周期排列而成, 能对电磁波的幅度、相位、极化进行调控. 根据超表面对电磁波不同的调控特性, 研究者们提出了频率选择表面[3]、人工磁导体[4]、相位梯度表面[5]、极化转换表面[6]等多种类型的超表面. 这些超表面在波束调控[7,8]、极化控制[911]、电磁隐身[1217]等领域展现出诱人的应用前景. 传统的超表面大多是无源的, 其一旦被制造成形, 功能就被固定, 难以满足未来复杂场景下的动态适应性需求.

      2014年, 东南大学崔铁军教授课题组[18]提出可编程超表面的概念. 这种超表面通过控制每个单元上电子器件的不同工作状态, 产生“数字化”编码, 能够“可编程”地改变超表面的电磁特性, 实现超表面功能的动态重构. 此后, 关于电磁波幅度、相位、极化等多种类型的可重构超表面不断涌现[1923]. 其中, 相位可重构超表面通过控制经其反射或透射电磁波的相位, 能够灵活改变电磁波波前, 实现波束调控、波束赋形等优异性能, 这使其在无线通信、雷达隐身、多功能天线等领域具有广阔应用前景, 因此其研究受到广泛关注. 可重构超表面单元作为超表面构成的“原子”, 其性能直接决定了可编程超表面的性能, 因此, 可重构超表面单元的设计一直是可编程超表面的研究重点. 相位可重构超表面的应用非常广泛, 但受限于超表面的电磁谐振工作特点, 其单元的有效相移带宽十分有限. 例如, 文献[24,25]设计了可编程超表面, 其单元的相位调控带宽为10%. 文献[26]提出的可编程超表面单元相移带宽为20%.

      针对相位可重构超表面单元带宽窄的问题, 研究者们已经提出了一些方法. Zhou等[27]设计的单元使用双层介质基板和金属贴片, 具备多谐振特性, 单元的相对带宽达到23.8%. Li等[28]将两个寄生贴片引入到初始可重构单元的两侧, 通过耦合分流减小了单元损耗, 同时增加了新的谐振点, 使单元的相移带宽达到50%. 卢颖娟等[29]通过在可重构超表面单元金属贴片两侧引入凹槽结构, 巧妙地延长了电流路径, 将相移带宽提升至62.3%. Li等[30]通过引入分流电容, 设计了一种宽带相位可重构超表面单元, 其相移带宽达到72.3%. Shi等[31]提出一种宽带可重构智能表面, 其单元通过控制PIN二极管通断使金属光栅贴片等效为单电偶极子或双电偶极子, 从而具有多谐振特性, 由此获得74.3%的相移带宽. 上述探索性的研究都成功实现了宽带性能, 但也存在一些限制, 比如, 增加了单元的厚度或结构复杂度. 近年来, 超表面的多频工作性能受到了研究者们的关注. 具有多频工作性能的超表面不仅能够扩展自身的工作带宽, 还在多频复用等场景具有应用潜力[3236]. 这些超表面展现出的多带宽性能, 为解决相位可重构超表面工作带宽窄的问题提供了新途径, 但报道中给出的设计结构或控制方式往往相对复杂, 且实现的多频带大多不连续, 无法直接用于实现宽带性能.

      针对上述问题, 本文提出了一种超宽带的频率和相位复合可重构超表面单元设计方法. 该方法在超表面单元中使用多个PIN二极管, 在连续的频带内产生多个1比特反射相位, 结合频率和相位可重构, 扩展了单元的有效相移带宽. 此外, 通过电流分析, 引入集总电容并优化其位置, 精准调控电流分布, 克服了常见PIN二极管易产生的高损耗问题, 实现了单元的宽带低损耗性能. 采用该方法设计了一款超宽带1比特相移超表面单元, 并构造了16 × 16单元的超表面, 在宽频带上验证了其散射场调控能力和宽带低雷达散射截面(radar cross section, RCS)性能.

    • 图1(a)是一个经典的超表面单元, 它由顶部的矩形金属贴片、中间的介质基板和底部金属地板组成. 其同向反射频率随金属贴片边长w的不同而改变. 图1(b)给出了超表面单元的边长w取四个不同值时的反射相位曲线. 可以看出, 在4.5—5.5 GHz, 5.5—7.0 GHz, 7.0—9.0 GHz这3个频带内, 分别存在满足1比特相位的两条相位曲线, 这些曲线使得整个单元的1比特相位频段覆盖4.5—9.0 GHz, 因此, 若能综合利用这4条相位曲线, 将有望扩展1比特调相带宽.

      基于上述想法, 本文提出采用相位和频率可重构相结合的方法扩展1比特相移带宽. 采用该方法, 设计了图2(c)所示的超表面基本单元, 其设计过程如图2(a)(c)所示. 其设计思想为: 1)由图2(a)所示的典型1比特相位可重构单元可知, 当控制PIN二极管通断时, 可以得到两种电流分布, 从而实现在一个频段内的相位可重构; 2)结合图1分析可知, 改变贴片的长度(电流路径长度)可以实现相位可重构频段的频移, 因此, 若使用 两个PIN开关二极管, 结合不对称的结构, 有望 获得4种电流分布, 从而实现在不同频段内的相位可重构, 结合频段和相位可重构, 即可拓展1比特相位对应的带宽; 3)根据上述思想, 采用图2(b)所示的矩形贴片三不等分方式集成二极管, 可以得到宽带1比特相移单元; 4)设计中, PIN二极管可等效为RLC电路, 当电流流经二极管时, 由二极管的等效电阻吸收能量产生了单元损耗, 根据这一损耗机理, 采用“分流”的思路, 即减小流经二极管的电流, 即可减小单元损耗, 因此, 采用隔直流、通 交流的电容与二极管并联, 即得到图2(c)所示的结构.

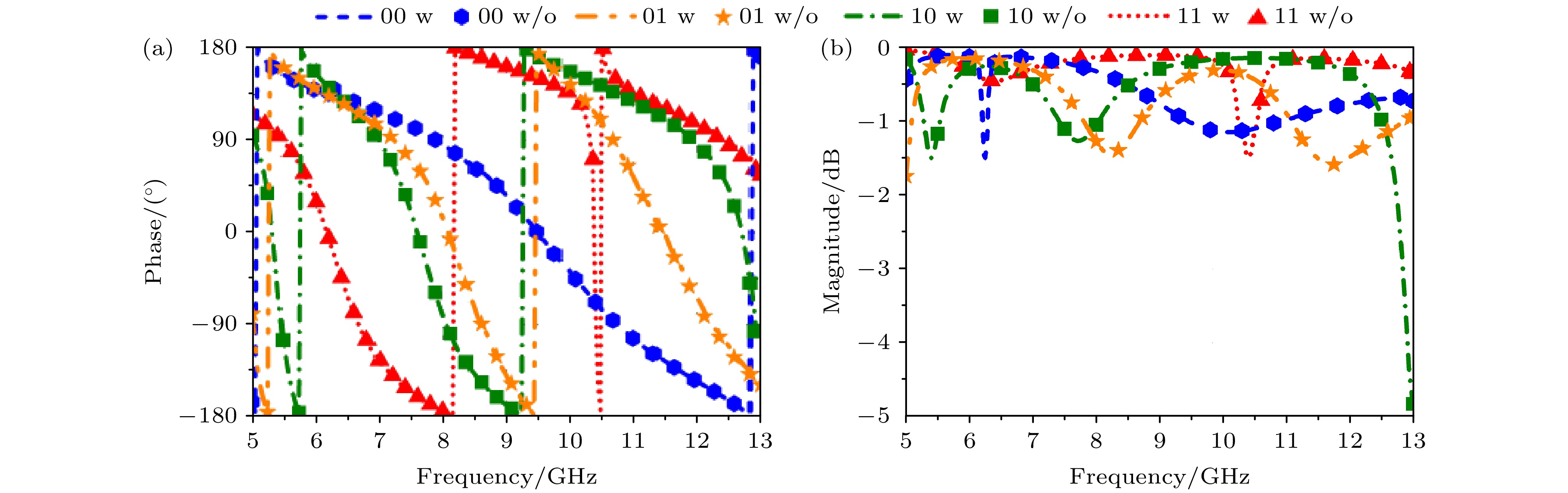
    • 对于图2(c)中的超表面基本单元, 为了实现对PIN二极管的导通或截止控制, 设计了偏置电路结构. 设计时, 偏置电路需满足两个条件: 1)直流偏置电路结构不能对射频性能产生影响; 2)射频信号不能进入直流通路. 根据这些要求, 设计的含偏置电路的单元结构如图3所示. 图3(a)为单元的透视图, 自上而下包括金属贴片、介质基板1、金属地板、介质基板2、直流偏置线. 介质基板1为F4B材料, 相对介电常数为2.65, 损耗正切为0.002, 厚度3 mm. 3个矩形金属贴片位于介质基板1顶部, 贴片间连接有PIN二极管和电容. PIN二极管采用Skyworks公司的SMP1340-040LF, 这里将其作为电子开关使用, 当其处于截止状态时, 等效为R = 10 Ω的电阻、L = 450 pH的电感、C = 0.086 pF的电容串联; 当其处于导通状态时, 等效为R = 1 Ω的电阻、L = 450 pH的电感串联. 偏置电路与上层金属贴片之间通过电感相连. 为了便于金属板后方的直流偏置走线, 将电感置于单元正面且沿相位调控正交的方向放置, 以减小其对单元调相性能的影响. 图3(b)中给出的单元结构参数为: a = 12 mm, l = 8 mm, w1 = 3 mm, w2 = 4 mm, w3 = 1.3 mm. 介质基板2为FR4材料, 相对介电常数4.4, 损耗正切0.02, 厚度0.5 mm, 其底部的直流走线如图3(c)所示. 3个金属过孔贯穿整个单元, 其中上下两个金属过孔作为电压输入端, 与金属地板隔开. 中间贴片上的金属过孔与金属地板相连. 偏置线对单元反射性能的影响如图4所示, 其中w代表有偏置线, w/o代表无偏置线, 可以看出, 增加偏置电路几乎没有改变反射性能.

      为了说明电容对减小单元损耗的作用, 图5对比了超表面单元有无电容时的表面电流分布. 当无电容时, 单元的表面电流分布如图5(a)所示, 金属表面的感应电流沿着两个PIN二极管流动. 此时, 单元的反射幅度如图5(b)所示, 可以看出, 在5—13 GHz出现了多个谐振点, 且在这些频点的反射损耗超过4 dB, 这是由PIN二极管的等效电阻吸收了部分电磁能量造成的. 当对二极管并联电容后, 利用电容隔直流、通交流的特点, 实现了射频电流“分流”, 如图5(c), 减小了流经PIN二极管的电流. 此时, PIN二极管的“损耗”作用将减弱, 结合图5(d)所示, 证实了单元的损耗有明显减小. 当改变电容的位置时, 结合图5(e)图5(f)所示, “分流”作用和损耗性能也会随之改变, 由此, 通过优化电容与二极管的位置, 可以有效地调控流经二极管的电流大小, 进而实现单元的低损耗性能.

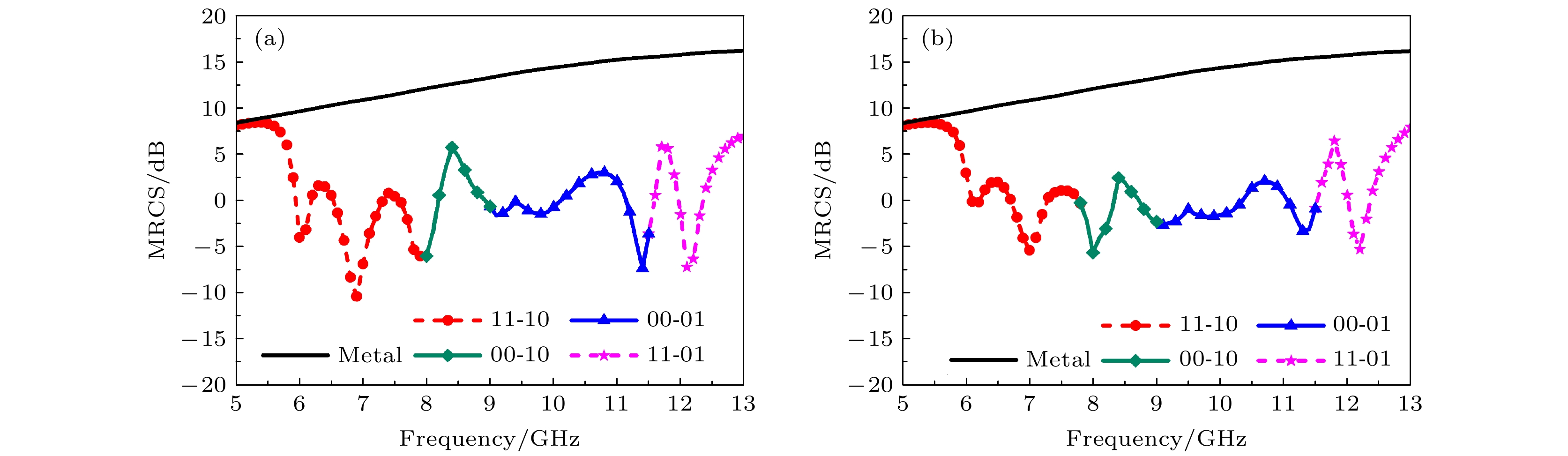
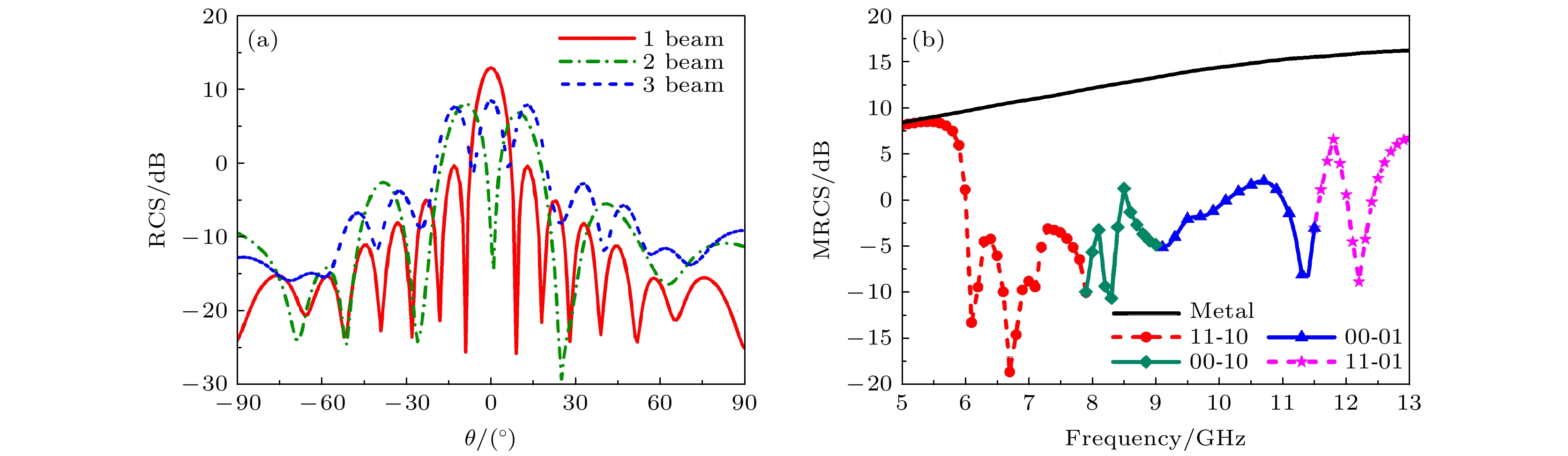
      针对低RCS的设计目标, 当反射相位差满足180° ± 37°且幅度全反射时, 超表面相对金属板的RCS减缩量达到10 dB[37], 本文以RCS减缩10 dB为目标, 确定相移超表面单元的工作频段. 当y极化波垂直入射到图3中的单元时, 单元的反射性能如图6所示. 单元的两个PIN二极管状态编码定义为PIN-2和PIN-1都截止为编码“00”; PIN-2截止、PIN-1导通为编码“01”; PIN-2导通、PIN-1截止为编码“10”; PIN-2和PIN-1都导通为编码“11”. 从图6(a)可以看出, 单元的“11”和“10”两种状态在5.4—7.8 GHz频带内的相位差满足180° ± 37°, 反射幅度大于–2 dB; 在图6(b)所示的7.8—9.0 GHz频带内, 单元的“00”和“10”两种状态的相位差满足180° ± 37°, 反射幅度大致在–1 dB以内; 在图6(c)所示的9.0—11.5 GHz频带内, 单元的“00”和“01”两种状态的相位差满足180° ± 37°, 反射幅度大于–2 dB; 在图6(d)所示的11.5—13.0 GHz频带内, 单元的“11”和“01”两种状态的相位差满足180° ± 37°, 反射幅度大于–2 dB. 因此, 超表面单元结构不变的情况下, 仅通过FPGA控制2个PIN二极管的导通/截止状态, 即可在4个频带内产生1比特反射相位, 具备频率可重构和相位可重构功能.

    • 基于图3的超表面单元, 进一步构造了包含16 × 16个单元的超表面, 分析了超表面对不同类型散射场的调控效果.

    • 超表面单元具有可控的1比特反射相位, 通过控制单元状态实现不同的阵列编码分布, 超表面能够产生不同的散射方向图. 如图7所示, 平面波垂直入射时, 仿真得到了超表面在频率为9 GHz时不同阵列编码分布下的三维散射方向图, 图中黄色单元与含有蓝色突出显示单元分别代表二极管截止、导通. 图7(a)(d)中的散射方向图分别实现了单波束、双波束、三波束、漫散射. 图8(a)进一步对比了图7(a)(c)中的不同波束在yoz面的性能, 其中单波束的RCS峰值为13.3 dB, 半功率波束宽度为8.1°, 第一旁瓣电平为–13.3 dB; 双波束的RCS峰值为7.9 dB, 半功率波束宽度为11.1°; 三波束的RCS峰值为8.2 dB, 半功率波束宽度为8.1°. 这些结果证实了该超表面的散射方向图可重构性.

      针对电磁隐身应用场景, 对设计的超表面在宽频带内的多个频点分别采用棋盘相位编码分布. 如图9所示, 平面波垂直入射时, 仿真了超表面在4个不同频率的三维散射方向图. 由图9可以看出, 对于不同频点, 超表面都产生了沿斜对角线方向的4个散射波束. 而同尺寸金属板的三维散射方向图为沿法向能量集中的单波束, 其法向RCS较高. 因此, 超表面相对金属板可以实现法向RCS的显著降低. 为了进一步分析超表面的单站RCS减缩效果, 超表面的棋盘相位编码排布与同尺寸金属板的单站RCS对比如图8(b)所示. 从图8(b)可以看出, 当不同编码组合的单元按照棋盘排布时, 超表面的RCS在6.0—13.0 GHz具有比金属板低10 dB以上的效果, 即实现了超宽带的低RCS性能.

    • OAM涡旋波具有螺旋形的波前, 其电场等相位面呈螺旋状分布, 其模式具有无限正交性, 可以有效地提升系统通信容量和抗干扰能力, 在无线通信、雷达成像、信息处理等领域具有巨大的应用潜力.

      针对高容量、抗干扰通信且要求电磁隐身的应用场景, 利用设计的超表面产生了不同波束指向的OAM涡旋波束. 当平面波垂直入射到超表面时, 图10(a)(d)展示了超表面在4个不同频率得到的俯仰角θ = 15°的OAM双波束; 图10(e)(h)展示了俯仰角θ = 30°的OAM双波束. 图10中产生的双OAM涡旋波束对能量进行了分散, 使得法线方向波束的能量大大降低, 因此具有低散射特性. 以俯仰角θ = 30°为例, 图11(a)图11(b)给出了OAM双波束的相位图, 可以看出, 两个相位沿逆时针和顺时针呈螺旋分布, 模式数l分别为+1, –1; 图11(c)提取了左波束的模式纯度, l = 1的模式纯度达78%, 进一步证实了OAM的效果. 图12给出了超表面对应法线方向的单站RCS. 图12(a)对比了图10(a)(d)中超表面与同尺寸的金属板的单站RCS; 图12(b)对比了图10(e)(h)中超表面与同尺寸的金属板的单站RCS. 由图12可知, 两种情况下, 超表面在6.0—13.0 GHz相对金属板几乎都达到10 dB以上的RCS减缩效果, 展现出良好的低RCS性能.

      表1比较了本文与文献中的相位可重构表面的单元性能. 相较于已有文献中的超表面单元, 本文提出的1比特相位调控超表面单元有3个突出特点: 一是同时具有相位和频率调控功能, 可以适应更灵活、功能要求更多的应用场景; 二是具有最宽的可重构相移频带, 这为设计宽带相位可重构超表面提供了新思路; 三是使用单层超薄介质实现了宽带特性, 厚度为0.09λ, 具备重量轻、低成本、易集成等优势.

    • 为了验证设计宽带可重构超表面的有效性, 采用印刷电路板技术加工了超表面实物. 与上述分析不同的是, 为节省成本, 实际加工的超表面包含8×8个单元, 样件的正面及背面照片如图13(a)图13(b)所示. 在微波暗室中, 采用空间波法进行测量. 测试环境如图13(c)所示, 两个工作频段为1—18 GHz的喇叭天线分别连接到矢量网络分析仪Agilent P5007A的两个端口上, 其中一个天线发射电磁信号, 另一个接收经待测样品反射的信号, 两个天线的中心都指向待测超表面的中心. 实验中, 使用FPGA控制电路板控制每个PIN管的导通或截止状态, 分别测量超表面和相同尺寸金属板的散射能量. 测试得到超表面相较于金属板的RCS减缩的结果, 如图14所示, 图中还给出了按照8 × 8个单元重新仿真的RCS减缩结果作为对比. 由图14可知, 对于两种相位排布, 测量结果较仿真结果都向低频偏移了约0.4 GHz, 这很可能是由介质材料误差和集总电容误差导致的. 总体上看, 实验测试和仿真得到的RCS减缩量与趋势符合较好. 为了进一步验证设计超表面的波束调控能力, 计入实测结果的频偏效应, 图15将8.1 GHz的实测结果与仿真得到的8.5 GHz的散射方向图进行了对比. 由图15可以看到, 仿真结果与测试结果总体吻合较好. 实测结果验证了提出超宽带可重构超表面的性能, 也证实了单元设计方法的有效性.

    • 针对传统相位可重构超表面工作带宽较窄的问题, 本文提出了一种超宽带的频率和相位复合可重构超表面单元设计方法. 该方法在传统1比特相移单元的基础上, 增加额外的相位调控自由度, 使得单元能在多个连续的频带上具有1比特调相能力, 综合利用频率和相位调控特性, 有效扩展了可重构相移超表面的工作带宽. 采用该方法, 设计了一款包含2个独立可控PIN二极管的超表面单元. 通过控制2个PIN二极管的状态, 该单元能够在4个连续的频带内产生1比特反射相位, 1比特相位频段覆盖5.4—13.0 GHz(相对带宽82.6%). 此外, 通过精准调控电流分布, 克服了常见PIN二极管易产生的高损耗问题, 实现了单元的宽带低损耗性能. 使用该单元构造16 × 16阵列的超表面, 通过不同的阵列编码, 产生了低散射的多波束或OAM涡旋波, 较金属板在宽频带实现了10 dB以上的RCS缩减. 加工了超表面实物, 测量了超表面的低散射性能和波束可控性, 测试结果证实了设计的有效性. 本文提出的宽带设计方法为解决相移超表面单元工作带宽窄的问题提供了新思路, 利用该方法设计的单元具有结构紧凑、控制自由度高、低成本、低损耗的特点. 后续可以在本研究的基础上, 将PIN二极管替换为变容二极管, 提高相位精度, 继续提升超宽带相移超表面的波束控制性能.

    参考文献 (37)

目录

/

返回文章
返回