非正弦电流-相位关系约瑟夫森结动力学行为的分析

上一篇

下一篇

杨亮亮, 何楷泳, 戴根婷, 常金琳, 姜临盼, 孙振源, 刘建设, 陈炜. 非正弦电流-相位关系约瑟夫森结动力学行为的分析[J]. 物理学报, 2025, 74(18): 187401-1. doi: 10.7498/aps.74.20250723
引用本文: 杨亮亮, 何楷泳, 戴根婷, 常金琳, 姜临盼, 孙振源, 刘建设, 陈炜. 非正弦电流-相位关系约瑟夫森结动力学行为的分析[J]. 物理学报, 2025, 74(18): 187401-1. doi: 10.7498/aps.74.20250723
Liangliang YANG, Kaiyong HE, Genting DAI, Jinlin CHANG, Linpan JIANG, Zhenyuan SUN, Jianshe LIU, Wei CHEN. Numerical analysis of dynamical behavior in Josephson junctions with non-sinusoidal current-phase relations[J]. Acta Physica Sinica, 2025, 74(18): 187401-1. doi: 10.7498/aps.74.20250723
Citation: Liangliang YANG, Kaiyong HE, Genting DAI, Jinlin CHANG, Linpan JIANG, Zhenyuan SUN, Jianshe LIU, Wei CHEN. Numerical analysis of dynamical behavior in Josephson junctions with non-sinusoidal current-phase relations[J]. Acta Physica Sinica, 2025, 74(18): 187401-1. doi: 10.7498/aps.74.20250723

非正弦电流-相位关系约瑟夫森结动力学行为的分析

    作者简介: E-mail: yangll21@mails.tsinghua.edu.cn .
    通讯作者: E-mail: weichen@mail.tsinghua.edu.cn
  • 中图分类号: 74.50.+r, 85.25.Dq, 85.25.Am, 85.25.Cp

Numerical analysis of dynamical behavior in Josephson junctions with non-sinusoidal current-phase relations

    Corresponding author: E-mail: weichen@mail.tsinghua.edu.cn
  • MSC: 74.50.+r, 85.25.Dq, 85.25.Am, 85.25.Cp

  • 摘要: 约瑟夫森结作为超导电子学中的核心非线性元件, 其电流-相位关系(current-phase relation, CPR)直接决定了器件的动力学行为与应用潜力. 传统约瑟夫森结通常表现出标准正弦型CPR, 而近年来非正弦CPR的新型约瑟夫森结引起广泛关注. 本文基于实验测量的Nb/Al-AlOx/Nb结的电流电压(I-V )特性曲线, 结合阻容并联约瑟夫森结模型, 构建了适用于非正弦CPR的数值计算模型, 系统分析了CPR倾斜对约瑟夫森结动力学特性的影响. 研究表明: 欠阻尼约瑟夫森结的临界电流随CPR倾斜度增加而显著降低, 从而表现出类似直流超导量子干涉器件的临界电流可调的特性; 而在过阻尼结中, CPR倾斜对I-V曲线的影响不明显. 进一步通过计算微波辐照下的I-V特性, 发现非正弦CPR在过阻尼结中易于形成半整数夏皮洛台阶, 验证了CPR倾斜是半整数夏皮洛台阶原因之一. 此外, 借助ADS (advanced design system)建立非线性谐振器与直流超导量子干涉器件电路仿真模型, 深入探讨了非正弦CPR对约瑟夫森电感及磁通调制行为的影响. 研究结果表明, 不同CPR的约瑟夫森结显著扩展了超导量子比特、参量放大器以及无磁非互易器件的设计自由度, 展示了开发新型超导电子器件的广阔前景.
  • 加载中
  • 图 1  约瑟夫森结示意图 (a) Nb/Al-AlOx/Nb约瑟夫森结典型的三明治结构示意图; (b)约瑟夫森结RCSJ电路模型示意图

    Figure 1.  Schematic diagram of a Josephson junction: (a) Schematic diagram of a typical sandwich structure of a Nb/Al-AlOx/Nb Josephson junction; (b) Josephson junction RCSJ circuit model diagram.

    图 2  欠阻尼结和过阻尼结约瑟夫森相位随时间的变化 (a)正弦型CPR约瑟夫森结相位随时间的变化; (b)正弦型CPR约瑟夫森结相位导数随时间的变化; (c)非正弦型CPR约瑟夫森结相位随时间的变化($ T_{n} $ = 0.999); (d)非正弦型CPR约瑟夫森结相位导数随时间的变化($ T_{n} $ = 0.999)

    Figure 2.  Time evolution of the Josephson phase for underdamped and overdamped junctions: (a) Time evolution of the phase for a sinusoidal CPR Josephson junction; (b) time evolution of the phase derivative for a sinusoidal CPR Josephson junction; (c) time evolution of the phase for a non-sinusoidal CPR Josephson junction ($ T_{n} $ = 0.999); (d) time evolution of the phase derivative for a non-sinusoidal CPR Josephson junction ($ T_{n} $ = 0.999).

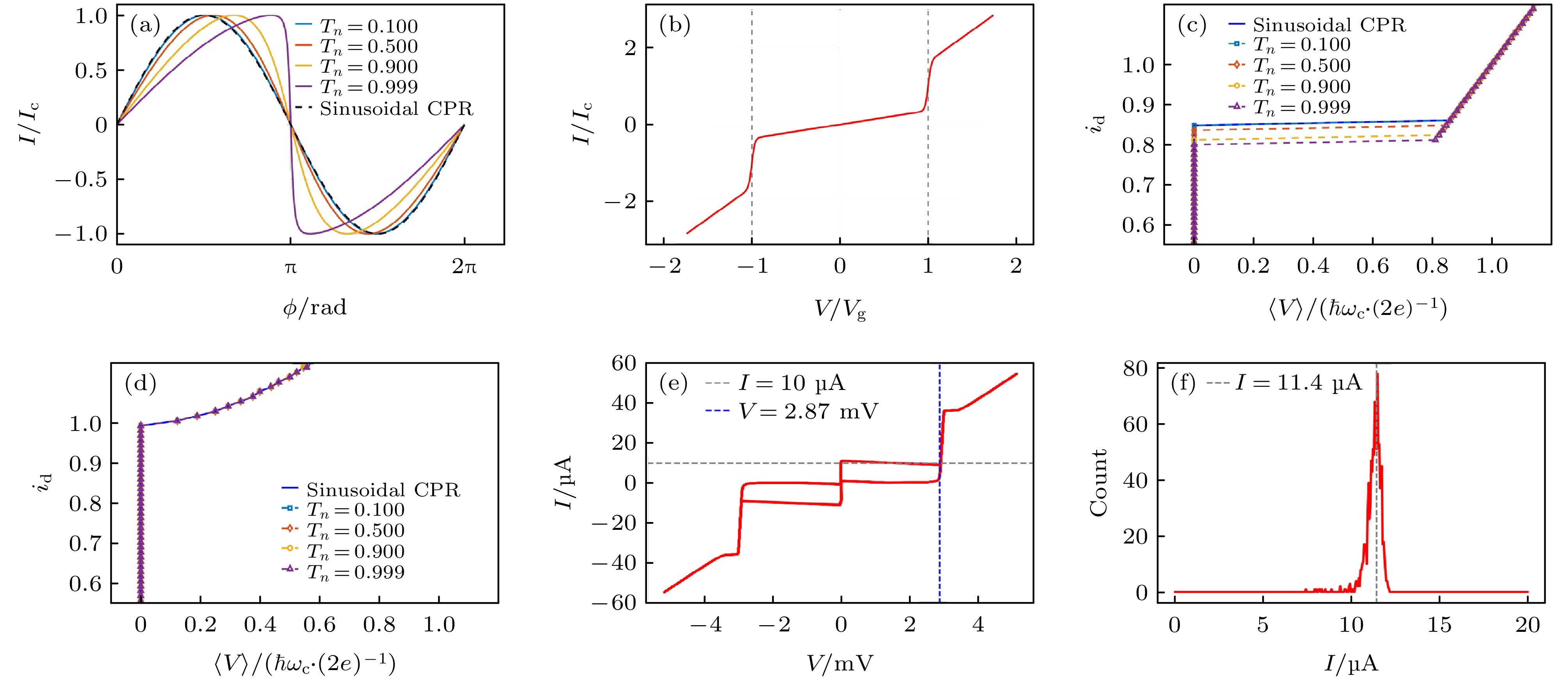
    图 3  约瑟夫森结I-V曲线 (a)约瑟夫森结电流-相位关系曲线; (b)欠阻尼约瑟夫森结迟滞I-V曲线的数值模拟; (c)基于RCSJ模型数值计算欠阻尼结在不同CPR时的I-V曲线; (d)基于RCSJ模型数值计算过阻尼结在不同CPR时的I-V曲线; (e)实验测量的Nb/Al-AlOx/Nb约瑟夫森结的I-V曲线; (f) Nb/Al-AlOx/Nb约瑟夫森结的临界电流多次扫描结果

    Figure 3.  Josephson-junction I-V curves: (a) Josephson junction current-phase relation curves; (b) numerical simulation of the hysteretic I-V characteristics of an underdamped Josephson junction; (c) I-V characteristics for various CPRs, numerically computed using the RCSJ model in the underdamped regime; (d) I-V characteristics for different CPRs, numerically computed in the overdamped regime using the RCSJ model; (e) experimentally measured I-V characteristics of a Nb/Al-AlOx/Nb Josephson junction; (f) repeated $ I_{\mathrm{c}} $ sweeps demonstrating consistent, time-stable critical current

    图 4  约瑟夫森结夏皮洛台阶数值计算结果 (a)正弦CPR过阻尼结的夏皮洛台阶; (b)正弦CPR欠阻尼结的夏皮洛台阶; (c) 非正弦CPR过阻尼结的夏皮洛台阶; (d)非正弦CPR欠阻尼结的夏皮洛台阶

    Figure 4.  Numerically calculated Shapiro-step responses of Josephson junctions: (a) Overdamped junction with sinusoidal CPR; (b) underdamped junction with sinusoidal CPR; (c) overdamped junction with non-sinusoidal CPR; (d) underdamped junction with non-sinusoidal CPR

    图 5  正弦CPR约瑟夫森结微分电阻数值计算结果 (a)过阻尼结微分电阻和相应夏皮洛台阶; (b)欠阻尼结微分电阻和相应的夏皮洛台阶; (c)过阻尼结微分电阻和偏置电路以及微波幅值的伪彩色三维图; (d)欠阻尼结微分电阻和偏置电路以及微波幅值的伪彩色三维图

    Figure 5.  Numerically calculated differential resistance of Josephson junctions with sinusoidal CPR: (a) Overdamped junction—differential resistance and corresponding Shapiro steps; (b) underdamped junction—differential resistance and corresponding Shapiro steps; (c) pseudocolor three dimensional (3D) map of differential resistance versus bias current and microwave amplitude for the overdamped junction; (d) same 3D map for the underdamped junction

    图 6  非正弦CPR约瑟夫森结微分电阻和偏置电流以及微波幅值的伪彩三维图 (a) $ T_{n} $ = 0.01; (b) $ T_{n} $ = 0.5; (c) $ T_{n} $ = 0.9; (d) $ T_{n} $ = 0.999

    Figure 6.  Pseudocolor three-dimensional maps of differential resistance versus bias current and microwave amplitude for Josephson junctions with non-sinusoidal CPR: (a) $T_n = 0.01$; (b) $T_n = 0.5$; (c) $T_n = 0.9$; (d) $T_n = 0.999$

    图 7  ADS中构建的基于约瑟夫森结的非线性谐振器S11参数随频率和结临界电流变化的伪彩色三维图 (a)正弦型CPR约瑟夫森结; (b) $T_n = 0.01$; (c) $T_n = 0.9$; (d) $T_n = 0.999$

    Figure 7.  Pseudocolor three-dimensional maps of the $S_{11}$ parameter versus frequency and junction critical current for ADS-simulated Josephson-junction nonlinear resonators: (a) Sinusoidal CPR; (b) $T_{n} = 0.01$; (c) $T_{n} = 0.9$; (d) $T_{n} = 0.999$

    图 8  ADS中构建的DC-SQUID电压和偏置磁通以及DC-SQUID电流关系的伪彩色三维图 (a)基于正弦CPR约瑟夫森结的DC-SQUID; (b) $T_n = 0.01$; (c) $T_n = 0.9$; (d) $T_n = 0.999$

    Figure 8.  Pseudocolor three-dimensional maps of DC-SQUID voltage versus bias flux and SQUID current from ADS simulations: (a) DC-SQUID with sinusoidal-CPR Josephson junctions; (b) $T_{n} = 0.01$; (c) $T_{n} = 0.9$; (d) $T_{n} = 0.999$

  • [1] Arute F, Arya K, Babbush R, Bacon D, Bardin J C, Barends R, Biswas R, Boixo S, Brandao F G S L, Buell D A, Burkett B, Chen Y, Chen Z, Chiaro B, Collins R, Courtney W, Dunsworth A, Farhi E, Foxen B, Fowler A, Gidney C, Giustina M, Graff R, Guerreiro T, Habegger S, Harrigan M P, Hartmann M J, Ho A, Hoffmann M, Huang T, Humble T S, Isakov S V, Jeffrey E, Jensen K, Jiang Z, Kelly J, Klimov P V, Knysh S, Korotkov A N, Kostritsa F, Landhuis D, Lindmark M, Lucero E, MacKay D, Martin O, McClean J R, McEwen M, Megrant A, Mi X, Morvan A, Neeley M, Neill C, Neven H, Niu M Y, O'Brien T, Ostby E, Petukhov A, Putterman H, Quintana C, Redd C, Rieffel E G, Sank D, Satzinger K J, Smelyanskiy V, Sung K J, Trevithick M D, Vainsencher A, Villalonga B, White T, Yao Z J, Yeh P, Zalcman A, Zhang Y, Zhong Y, Martinis J M 2019 Nature 574 505 doi: 10.1038/s41586-019-1666-5
    [2] Wu Y, Bao W S, Cao S, Chen F, Chen M C, Chen X, Chung T H, Deng H, Du Y, Fan D, Gong M, Guo C, Guo Q, Han L, Hong L, Huang T, Huo Y H, Li C, Li L, Li N, Li S, Li Y, Liang H, Lin J, Lin Z, Qian H, Rong H, Su H, Sun Y, Wang H, Wang S, Wu D, Xu Y, Yan Z, Yang F, Ye Y, Ying C, Yu J, Zha C, Zhai H, Zhang H, Zhang K, Zhang L, Zhang Y, Zhao P, Zhao Y, Zheng D, Zhou H, Zhu Q, Pan J W 2021 Phys. Rev. Lett. 127 180501 doi: 10.1103/PhysRevLett.127.180501
    [3] Renger M, Pogorzalek S, Chen Q, Nojiri Y, Inomata K, Nakamura Y, Partanen M, Marx A, Gross R, Deppe F, Fedorov K G, Wulf M, Goetz J, Wulschner F, Eder P, Fischer M, Haeberlein M, Schneider A, Wegscheider W, Menzel E P, Rotzinger H, Fowler A G, Wilhelm F K, Michler P 2021 npj Quantum Information 7 160 doi: 10.1038/s41534-021-00495-y
    [4] Yang L, He K, Dai G, Cheng M, Liu J, Chen W 2025 J. Supercond. Nov. Magn. 38 101 doi: 10.1007/s10948-025-06946-3
    [5] He K, Dai G, Yu Q, He Y, Zhao C, Liu J, Chen W 2023 Supercond. Sci. Technol. 36 045010 doi: 10.1088/1361-6668/acb468
    [6] Xue H, Lin Z, Jiang W, Niu Z, Liu K, Peng W, Wang Z 2021 Chin. Phys. B 30 068503 doi: 10.1088/1674-1056/abeee6
    [7] Choi G, Kim B, Choi J, Park K, Chong Y, Lee Y H 2023 IEEE Trans. Appl. Supercond. 33 1 doi: 10.1109/TASC.2023.3266305
    [8] Qiu J Y, Grimsmo A, Peng K, Kannan B, Lienhard B, Sung Y, Krantz P, Bolkhovsky V, Calusine G, Kim D, Oliver W D 2023 Nat. Phys. 19 706 doi: 10.1038/s41567-022-01929-w
    [9] Macklin C, O'Brien K, Hover D, Schwartz M E, Bolkhovsky V, Zhang X, Oliver W D, Siddiqi I 2015 Science 350 307 doi: 10.1126/science.aaa8525
    [10] Krylov G, Friedman E G 2021 IEEE Trans. Appl. Supercond. 31 1 doi: 10.1109/TASC.2021.3065287
    [11] Clarke J, Braginski A I 2006 The SQUID Handbook: Applications of SQUIDs and SQUID Systems (Weinheim: Wiley-VCH) pp29–40
    [12] Yao Y, Cai R, Yang S H, Xing W, Ma Y, Mori M, Ji Y, Maekawa S, Xie X C, Han W 2021 Phys. Rev. B 104 104414 doi: 10.1103/PhysRevB.104.104414
    [13] Stoutimore M J A, Rossolenko A N, Bolginov V V, Oboznov V A, Rusanov A Y, Baranov D S, Pugach N, Frolov S M, Ryazanov V V, Van Harlingen D J 2018 Phys. Rev. Lett. 121 177702 doi: 10.1103/PhysRevLett.121.177702
    [14] Raes B, Tubsrinuan N, Sreedhar R, Guala D S, Panghotra R, Dausy H, de Souza Silva C C, Van de Vondel J 2020 Phys. Rev. B 102 054507 doi: 10.1103/PhysRevB.102.054507
    [15] Basset J, Kuzmanović M, Virtanen P, Heikkilä T T, Estève J, Gabelli J, Strunk C, Aprili M 2019 Phys. Rev. Res. 1 032009 doi: 10.1103/PhysRevResearch.1.032009
    [16] Kalantre S S, Yu F, Wei M T, Watanabe K, Taniguchi T, Hernandez-Rivera M, Amet F, Williams J R 2020 Phys. Rev. Res. 2 023093 doi: 10.1103/PhysRevResearch.2.023093
    [17] Ueda K, Matsuo S, Kamata H, Sato Y, Takeshige Y, Li K, Samuelson L, Xu H, Tarucha S 2020 Phys. Rev. Res. 2 033435 doi: 10.1103/PhysRevResearch.2.033435
    [18] Hart S, Cui Z, Ménard G, Deng M, Antipov A E, Lutchyn R M, Krogstrup P, Marcus C M, Moler K A 2019 Phys. Rev. B 100 064523 doi: 10.1103/PhysRevB.100.064523
    [19] Spanton E M, Deng M, Vaitiekėnas S, Krogstrup P, Nygård J, Marcus C M, Moler K A 2017 Nat. Phys. 13 1177 doi: 10.1038/nphys4224
    [20] Nanda G, Aguilera-Servin J L, Rakyta P, Kormányos A, Kleiner R, Koelle D, Watanabe K, Taniguchi T, Vandersypen L M K, Goswami S 2017 Nano Lett. 17 3396 doi: 10.1021/acs.nanolett.7b00097
    [21] English C D, Hamilton D R, Chialvo C, Moraru I C, Mason N, Van Harlingen D J 2016 Phys. Rev. B 94 115435 doi: 10.1103/PhysRevB.94.115435
    [22] Borzenets I V, Amet F, Ke C T, Draelos A W, Wei M T, Seredinski A, Watanabe K, Taniguchi T, Bomze Y, Yamamoto M, Finkelstein G 2016 Phys. Rev. Lett. 117 237002 doi: 10.1103/PhysRevLett.117.237002
    [23] Lee G H, Kim S, Jhi S H, Lee H J 2015 Nat. Commun. 6 6181 doi: 10.1038/ncomms7181
    [24] Yu W, Pan W, Medlin D L, Rodriguez M A, Lee S R, Bao Z Q, Zhang F 2018 Phys. Rev. Lett. 120 177704 doi: 10.1103/PhysRevLett.120.177704
    [25] Snyder R A, Trimble C J, Rong C C, Folkes P A, Taylor P J, Williams J R 2018 Phys. Rev. Lett. 121 097701 doi: 10.1103/PhysRevLett.121.097701
    [26] Li C, de Boer J C, de Ronde B, Ramankutty S V, van Heumen E, Huang Y, de Visser A, Golubov A A, Golden M S, Brinkman A 2018 Nat. Mater. 17 875 doi: 10.1038/s41563-018-0158-6
    [27] Wiedenmann J, Bocquillon E, Deacon R S, Hartinger S, Herrmann O, Klapwijk T M, Maier L, Ames C, Brüne C, Gould C, Molenkamp L W 2016 Nat. Commun. 7 10303 doi: 10.1038/ncomms10303
    [28] 侯延亮, 王翔, 孙晓培, 吕力 2023 物理学报 72 037401 doi: 10.7498/aps.72.20222072 Hou Y L, Wang X, Sun X P, Lü L 2023 Acta Phys. Sin. 72 037401 doi: 10.7498/aps.72.20222072
    [29] Wiedenmann J 2018 Ph. D. Dissertation (Würzburg: Julius-Maximilians-Universität Würzburg
    [30] Bordin A, Liu C X, Dvir T, et al. 2025 Nat. Nanotechnol. 20 726 doi: 10.1038/s41565-025-01894-4
    [31] Tanaka Y, Tamura S, Cayao J 2024 Prog. Theor. Exp. Phys. 2024 08C105 doi: 10.1093/ptep/ptae065
    [32] Zhu P, Feng S, Wang K, Xiang T, Trivedi N 2025 Nat. Commun. 16 2420 doi: 10.1038/s41467-025-56789-8
    [33] Yang L, He K, Dai G, Cheng M, Geng X, Jiang L, Chang J, Liu J, Chen W 2025 Phys. Lett. A 540 130401 doi: 10.1016/j.physleta.2025.130401
    [34] Kamal A, Clarke J, Devoret M H 2011 Nat. Phys. 7 311 doi: 10.1038/nphys1893
    [35] Kumar N P, Le D T, Pakkiam P, Stace T M, Fedorov A 2025 Phys. Rev. Res. 7 013075 doi: 10.1103/PhysRevResearch.7.013075
    [36] Khaira N K 2022 Ph. D. Dissertation (Waterloo: University of Waterloo
    [37] Ingla-Aynés J, Hou Y, Wang S, et al. 2025 Nat. Electron. 8 411 doi: 10.1038/s41928-025-01375-5
    [38] Nadeem M, Fuhrer M S, Wang X 2023 Nat. Rev. Phys. 5 558 doi: 10.1038/s42254-023-00632-w
    [39] Hou Y, Nichele F, Chi H, Lodesani A, Wu Y, Ritter M F, Haxell D Z, Davydova M, Ilić S, Glezakou-Elbert O 2023 Phys. Rev. Lett. 131 027001 doi: 10.1103/PhysRevLett.131.027001
    [40] Castellani M, Medeiros O, Buzzi A, Foster R A, Colangelo M, Berggren K K 2024 Nat. Electron. 8 417 doi: 10.1038/s41928-025-01376-4
    [41] Kayyalha M, Kazakov A, Miotkowski I, Khlebnikov S, Rokhinson L P, Chen Y P 2020 npj Quantum Mater. 5 7 doi: 10.1038/s41535-020-0209-5
    [42] Huang Z, Elfeky B H, Taniguchi T, Watanabe K, Shabani J, Shahrjerdi D 2023 Appl. Phys. Lett. 122 262601 doi: 10.1063/5.0153646
    [43] Panghotra R, Raes B, de Souza Silva C C, Cools I, Van de Vondel J 2020 Commun. Phys. 3 169 doi: 10.1038/s42005-020-00437-8
    [44] Frattini N E, Vool U, Shankar S, Narla A, Sliwa K M, Devoret M H 2017 Appl. Phys. Lett. 110 222603 doi: 10.1063/1.4984142
    [45] Ranadive A, Esposito M, Planat L, Bonet E, Naud C, Buisson O, Guichard W, Roch N 2022 Nat. Commun. 13 1737 doi: 10.1038/s41467-022-29375-5
    [46] Bergeal N, Schackert F, Metcalfe M, Vijay R, Manucharyan V E, Frunzio L, Prober D E, Schoelkopf R J, Girvin S M, Devoret M H 2010 Nature 465 64 doi: 10.1038/nature09035
    [47] Bergeal N, Vijay R, Manucharyan V E, Siddiqi I, Schoelkopf R J, Girvin S M, Devoret M H 2010 Nat. Phys. 6 296 doi: 10.1038/nphys1516
    [48] Josephson B D 1962 Phys. Lett. 1 251 doi: 10.1016/0031-9163(62)91369-0
    [49] Prance J R, Thompson M D 2023 Appl. Phys. Lett. 122 222602 doi: 10.1063/5.0151607
  • 加载中
图( 8)
计量
  • 文章访问数:  34
  • HTML全文浏览数:  34
  • PDF下载数:  2
  • 施引文献:  0
出版历程
  • 收稿日期:  2025-06-04
  • 刊出日期:  2025-09-20

非正弦电流-相位关系约瑟夫森结动力学行为的分析

    通讯作者: E-mail: weichen@mail.tsinghua.edu.cn
    作者简介: E-mail: yangll21@mails.tsinghua.edu.cn
  • 1. 清华大学集成电路学院, 超导量子信息处理实验室, 北京 100084
  • 2. 北京国家信息科学技术研究中心, 北京 100084
  • 3. 清华大学北京未来芯片创新中心, 北京 100084

摘要: 约瑟夫森结作为超导电子学中的核心非线性元件, 其电流-相位关系(current-phase relation, CPR)直接决定了器件的动力学行为与应用潜力. 传统约瑟夫森结通常表现出标准正弦型CPR, 而近年来非正弦CPR的新型约瑟夫森结引起广泛关注. 本文基于实验测量的Nb/Al-AlOx/Nb结的电流电压(I-V )特性曲线, 结合阻容并联约瑟夫森结模型, 构建了适用于非正弦CPR的数值计算模型, 系统分析了CPR倾斜对约瑟夫森结动力学特性的影响. 研究表明: 欠阻尼约瑟夫森结的临界电流随CPR倾斜度增加而显著降低, 从而表现出类似直流超导量子干涉器件的临界电流可调的特性; 而在过阻尼结中, CPR倾斜对I-V曲线的影响不明显. 进一步通过计算微波辐照下的I-V特性, 发现非正弦CPR在过阻尼结中易于形成半整数夏皮洛台阶, 验证了CPR倾斜是半整数夏皮洛台阶原因之一. 此外, 借助ADS (advanced design system)建立非线性谐振器与直流超导量子干涉器件电路仿真模型, 深入探讨了非正弦CPR对约瑟夫森电感及磁通调制行为的影响. 研究结果表明, 不同CPR的约瑟夫森结显著扩展了超导量子比特、参量放大器以及无磁非互易器件的设计自由度, 展示了开发新型超导电子器件的广阔前景.

English Abstract

    • 约瑟夫森结(Josephson junction, JJ)作为超导电子学中关键的非线性元件, 在量子计算、超导探测器、低噪声放大器等前沿领域发挥着重要作用[15]. 其中铝(Al)结和铌(Nb)结是传统的约瑟夫森结, 当前火热的超导量子比特以及超导参量放大器都是Al结制备的, Nb结同样可以制备参量放大器[6,7], 但是更多是在快速单磁通量子(rapid single flux quantum, RSFQ)中使用Nb结以及约瑟夫森行波参量放大器[810], 因为Nb的制备工艺更加稳定, 适合制备成千上万个几乎相同的约瑟夫森结, 行波参量放大器需要这样几乎相同的结. 对于传统的约瑟夫森结动力学行为的描述常用阻容并联约瑟夫森结(resistively and capacitively shunted Josephson junction, RCSJ)模型, 有时候为了描述过阻尼结的情况, 直接忽略电容采用电阻并联约瑟夫森结(resistively shunted Josephson junction, RSJ)模型[11]. 虽然已经广泛得到应用, 但是关于约瑟夫森结的研究并没有停下. 传统的约瑟夫森结由超导-绝缘体-超导结构组成, 和其相关的是直流约瑟夫森效应和交流约瑟夫森效应, 如(1)式和(2)式描述. 当前针对约瑟夫森结的研究, 科研人员更多关注于将中间绝缘层换成其他材料去构建新型的约瑟夫森结, 并观察其特性. 目前超导-铁磁-超导约瑟夫森结[12,13] 、超导-正常金属-超导约瑟夫森结[14,15]、超导-半导体-超导约瑟夫森结[1623]以及超导-拓扑绝缘体-超导约瑟夫森结[2428]的研究深受科研人员的关注. 科研人员热衷于在制备的约瑟夫森结中寻找不同于传统约瑟夫森结的CPR存在, 并试图解释其中的物理意义, 原因主要有以下四个方面. 一是揭示新奇凝聚态物理: CPR由Andreev束缚态[29]能谱决定, 若结界面具有高透射、自旋-轨道耦合、磁交换场或拓扑表面态, 会出现π结、$ \varphi_0 $结、4π周期等非常规形式. 精确测量CPR可用作分析拓扑超导、长程三重态配对、Majorana零模[3032]等现象的“指纹”. 二是优化量子电路性能: CPR决定约瑟夫森能$ U(\varphi) = \displaystyle \int I(\varphi){\rm d}\varphi $, 进而决定非线性电感. 通过工程化非正弦CPR, 可提升势阱非谐性、抑制漏激发, 从而可能构建高保真超导量子比特、低噪声参数放大器与超导无磁非互易器件[3336]. 三是实现新型器件功能: 带$ \varphi_0 $位移或强高次谐波的CPR能在零磁场下提供可控相差, 发展超导相电池、自偏置SQUID 及具有整流效应的“超导二极管”[3740]; 4π周期CPR则为拓扑量子计算提供拓扑保护的读出手段. 四是精细表征界面与材料质量: 非正弦成分大小对透射系数$ T_n $、界面粗糙度、掺杂等参数高度敏感, 可作为分析制程质量和材料本征特性的灵敏探针.

      在最近的约瑟夫森结的工作中, 超导体-铁磁体-超导体结中观察到以二次约瑟夫森谐波为主导的电流-相位关系. 这种奇异的电流-相位关系是在温控0-π结跃迁附近实现的, 而半整数阶跃仅出现在该附近[13]. 预计与超导体接近的三维拓扑绝缘体 (topological insulators, TI) 将表现出奇异的现象, 如拓扑超导 (topological superconductivity, TSC) 和马约拉纳束缚态 (Majorana-bound states, MBS), 这些现象可能在拓扑量子计算中得到应用. 对于拓扑绝缘体BiSbTeSe2基JJ中的CPR, 观察到CPR高度正向倾斜, 表明通过TI结拓扑表面态(topological surface states, TSS)的传输接近弹道传输[41]. 超导-半导体-超导约瑟夫森结中通过InAs纳米线的栅极电压控制结的传输, 并得出半整数阶跃是由短弹道约瑟夫森结中出现的CPR偏度引起的结论. 对短弹道结CPR的数值计算也重现了半整数阶跃[17]. 高迁移率六方氮化硼封装石墨烯约瑟夫森结在射频辐射下观察到明显的半整数夏皮洛台阶[42]. 超导-正常金属-超导结(superconductor-normal metal-superconductor, SNS)阵列在低温下具有高阶谐波产生的倾斜的CPR, 在T = 400 mK时倾斜参数$ T_n $ = 0.5[43].

      本文基于上述新型约瑟夫森结中得到的非正弦电流-相位关系以及传统的RCSJ模型, 构建了用于分析非正弦电流-相位关系约瑟夫森结的电路模型, 并讨论了CPR倾斜给约瑟夫森结动力学行为带来的影响. 根据实验中制备并测量的Nb/Al-AlOx/Nb结的I -V曲线, 详细讨论了在数值计算中RCSJ模型构建的细节, 在保证模型合理的情况下, 对比了欠阻尼结和过阻尼结在不同CPR倾斜下的I -V曲线. 结果表明过阻尼结中不同CPR的I -V曲线没有明显差异, 但是欠阻尼结中随着倾斜度越高, 临界电流变小. 这种临界电流可调的行为, 让单个约瑟夫森结类似直流超导量子干涉器件(direct current superconducting quantum interference device, DC-SQUID)一样. 进一步分析了在约瑟夫森结中添加微波信号下的I -V曲线, 即夏皮洛台阶(Shapiro steps)特性. 通过计算发现, 夏皮洛台阶在过阻尼结中很容易实现, 在欠阻尼结中是困难的, 例如在计算中虽然在某些条件下, 欠阻尼结也可以得到台阶, 但是使用的微波信号幅值远大于结的临界电流, 这在实际实验中需要进一步观察验证. 另外, 在非正弦CPR中发现了明显的半整数夏皮洛台阶, 这也和之前实验中观察到的结果类似. 从理论计算上证明了倾斜的CPR可以带来半整数夏皮洛台阶, 而且这样的结都是过阻尼的. 通过计算结的微分电阻, 观察其和微波幅值以及偏置电流关系, 发现欠阻尼结中存在混沌行为. 接着计算了不同CPR倾斜给约瑟夫森结电感效应带来的影响, 这也是量子比特以及参量放大器设计中最关注的特性. 这里根据参考文献[5]中的方法, 基于RCSJ模型在ADS (advanced design system)中构建了非正弦CPR约瑟夫森结电路模型, 使用谐波平衡仿真计算约瑟夫森结和固定电容构成的非线性谐振器的谐振点随频率的变化曲线, 可以间接观察到非正弦CPR对约瑟夫森结的电感的影响. 最后同样在ADS中构建了由非正弦CPR约瑟夫森结构建的一个DC-SQUID电路模型, 计算发现不同CPR的DC-SQUID电压被外界偏置电流的调制后表现出不同的行为. 可见非正弦CPR带来约瑟夫森结不同的动力学行为, 这可能为量子比特、超导放大器、超导非线性元件如SNAIL[44,45], JRM[46,47]等, 以及超导无磁非互易器件在核心非线性元件的设计上带来更多的自由度, 显示了开发新型超导电子学器件的潜力.

    • 约瑟夫森结由两个超导体之间夹杂一个极薄绝缘层(厚度通常为几个纳米)形成, 电子对(库珀对)能够量子隧穿此绝缘势垒, 产生超导电流(又称为约瑟夫森电流). 约瑟夫森效应分为直流约瑟夫森效应和交流约瑟夫森效应, 分别如(1) 式和(2)式所示[48]:

      其中I是约瑟夫森电流; $ I_{\mathrm{c}} $是结的临界电流, 取决于材料与结构; φ是结的超导相位差; V是施加在约瑟夫森结两端的电压; $ \varPhi_0 $是磁通量子, $ \varPhi_0 = {h}/({2 e}) \approx 2.0678 \times 10^{-15}\;\text{Wb} $; f是约瑟夫森交流电流频率, 单位为赫兹(Hz); e是电子电荷量, $ e \approx 1.602\;\times 10^{-19}\;\text{C} $; h是普朗克常数, $ h\approx6.626\times10^{-34}\, \text{J}\cdot\text{s} $. 图1所示是Nb/Al-AlOx/Nb约瑟夫森结典型的三明治结构的示意图. 上、下电极层(Nb层): 厚度为100—200 nm, 提供良好的超导导电性. 隧道势垒(Al-AlOx层): 厚度为1—2 nm, 通常先蒸镀一层极薄的铝膜, 随后通过氧化工艺形成氧化铝(AlOx)隧道结.

      约瑟夫森结的RCSJ模型是描述约瑟夫森结动态行为的经典电路模型. 它通过等效电路的形式, 结合量子效应与经典电路理论, 解释了约瑟夫森结在电压和电流作用下的非线性响应、相位动力学及微波辐射等现象(如图1(b)). 根据基尔霍夫电流定律, 总电流I为三个支路电流之和:

      其中R是约瑟夫森结寄生电阻, C是约瑟夫森结寄生电容, 如图1(b)所示. 结合约瑟夫森关系$ V = \dfrac{\varPhi_0}{2\pi}\dfrac{{\mathrm{d}}\varphi}{{\mathrm{d}}t} $, 代入后得到RCSJ方程:

      采用无量纲形式的RCSJ方程进行分析, 这能够将原始RCSJ方程中的多个物理参数整合为更少的无量纲组合参数, 减少参数冗余, 使分析更加清晰, 揭示系统的本质特征. 定义特征时间:

      $ \tau = t/\tau_{\rm{c}} $可得到无量纲时间. 约瑟夫森结总电流由直流和交流分量组成, 且归一化电流定义为

      则可以得到无量纲形式的RCSJ方程为

      其中Ω是归一化频率, 用于将$ \omega_{\rm{ac}} $与系统固有响应进行比较, 使得系统动力学行为便于跨系统对比; $ \omega_{\rm{ac}} $是外加交流信号的角频率(如微波频率); $ \omega_{\rm{c}} $是约瑟夫森结的特征频率, 决定了相位响应的固有 频率尺度, 与临界电流$ I_{\rm{c}} $、结电阻R、磁通量子$ \varPhi_0 $有关((9)式); $ \beta_{\rm{c}} $是无量纲阻尼参数(Stewart-McCumber参数), 衡量系统的阻尼特性. $ \beta_{\rm{c}} < 1 $时为过阻尼, 惯性项(即忽略电容, RCSJ模型变为RSJ模型)可忽略, 系统快速趋于稳态; $ \beta_{\rm{c}} > 1 $时为欠阻尼, 惯性主导, 系统易振荡, I -V曲线呈现回滞. 在约瑟夫森结的理论与实验中, $ \omega_{\rm{p}} $(等离子体频率)和$ \omega_{\rm{c}} $(临界电流相关频率或特征阻尼频率)是两个关键参数, 它们描述了结的不同动力学特性. 等离子体频率是约瑟夫森结在无阻尼(忽略电阻R)情况下的固有振荡频率, 类似于LC谐振电路的共振频率. $\omega_{\rm{p}} $表达式为

      其中$ \hbar = {h}/({2\pi}) $是约化普朗克常数. 同时Stewart- McCumber参数和$ \omega_{\rm{p}} $关系为

    • Runge-Kutta法是一种常用的数值积分方法, 适用于求解一阶或高阶常微分方程. 对于二阶非线性常微分方程, 可以通过引入变量, 将其转化为一阶方程组, 再使用经典的四阶Runge-Kutta方法进行求解. 下面是完整的介绍. Runge-Kutta四阶法(RK4) 考虑一般形式的二阶非线性常微分方程:

      为将二阶微分方程降阶, 首先引入状态变量进行替换: $ y_1 = y, \; y_2 = {{\rm{d}}y}/{{\rm{d}}t} $, 从而可将原始二阶方程转化为一阶方程组. 则原方程可转化为一阶方程组:

      对于一阶系统:

      设步长为h, RK4法迭代公式为

      对于约瑟夫森结RCSJ方程((7)式)则可得一阶系统:

    • 首先对(7)式进行数值计算, 观察欠阻尼和过阻尼约瑟夫森相位随时间的变化规律, 从而能够帮助理解两种类型约瑟夫森结的动力学特征. 图2(a)图2(b)所示为正弦CPR约瑟夫森结在欠阻尼($ \beta_{\mathrm{c}} = 20 > 1 $)和过阻尼($ \beta_{\rm{c}} = 0.1 < 1 $)时约瑟夫森相位和相位导数的动力学行为. 本文中如果没有特别说明, 欠阻尼结$ \beta_{\rm{c}} = 20 $, 过阻尼结$ \beta_{\rm{c}} = 0.1 $. 可见过阻尼结相位(图中红色曲线)很快达到稳态, 而欠阻尼结经过振荡后逐渐达到稳态. 这是符合我们对两种约瑟夫森结的物理直觉的, 欠阻尼结I -V曲线的突然跳变现象就是来源于相位建立稳态需要更久的时间. 进一步地, 为了研究非正弦CPR约瑟夫森结相位的动力学行为, 使用(18)式对本文中非正弦CPR电流-电压关系进行描述. 这里的CPR关系是根据参考文献[22]中的结果进一步归一化后得到的, 此处归一化的目的是和正弦型CPR约瑟夫森结计算结果进行对比, $ T_n $越大, CPR越倾斜, 即透射率越高, 如图3(a)所示. 从图2(c)图2(d)可以看到, $ T_n $ = 0.999时约瑟夫森结的相位行为和正弦CPR约瑟夫森结类似, 不同的是在幅值上会有差别, 这可能会带来约瑟夫森结的I -V关系和电感效应等特性的不同. 下面进一步计算并观察非正弦CPR约瑟夫森结动力学特点.

      约瑟夫森结I -V特性曲线是实验上用来表征约瑟夫森结的重要手段. 这里我们希望通过求解(7)式来观察不同CPR约瑟夫森结的特征. 计算时没有给结施加微波信号, 即$ i_{\mathrm{ac}} = 0 $, 实际根据(7)式计算得到的不同CPR约瑟夫森结的I -V曲线见图3(c)图3(d). 其中图3(c)是欠阻尼结的I -V曲线, 图3(d)是过阻尼结的I -V曲线. 同时可以发现, 不同$ T_n $值, 即不同倾斜CPR约瑟夫森结中, 欠阻尼结的临界电流是不同的, 并且随着CPR透射率增大, 即$ T_n $越大, 临界电流越小, 说明改变约瑟夫森结的透射率可以对其临界电流进行调制, 这个行为类似DC-SQUID的临界电流可以被外界磁通调制. 但是在过阻尼结中, 没有发现因$ T_n $的不同带来的I -V曲线的变化. 在计算中发现, 根据(7)式并没有得到类似实验中欠阻尼结I-V曲线明显的迟滞现象. 图3(e)是本文制备的Nb/Al-AlOx/Nb约瑟夫森结的I -V曲线实验测量结果. 可见实验中测得的欠阻尼结具有明显的迟滞效应. 欠阻尼约瑟夫森结I -V曲线的迟滞现象本质源于结电容的储能效应(惯性), 导致结状态切换的不可逆性; 准粒子电流和非线性电阻是电阻态的必要组成部分, 它们塑造了I -V曲线的非线性背景并调制迟滞的宽度, 但并非迟滞的物理起源. 因此准粒子电流相关的非线性电阻让迟滞效应更加明显.

      为了在仿真中模拟这种行为, 根据参考文献[23]得到(19)式:

      式中右边第1项$ I_1(V) = \dfrac{V}{2 R_\mathrm{nn}} \left[1 + \tanh\left( \dfrac{|V| - V_{\mathrm{g}}}{V_\mathrm{gpW}} \right) \right] $, 其中$ R_\mathrm{nn} $表示约瑟夫森结正常态电阻; $ V_{\mathrm{g}} $是超导能隙电压, 如Nb结约为2.87 mV, 图3(e)中蓝色虚线标志的位置; $ V_\mathrm{gpW} $为平滑过渡参数. 这一项表示准粒子电流的主导部分, 当$ |V| < V_{\rm{g}} $(能隙区), $ \tanh \approx -1 $, 此项几乎为$ 0 $; 当$ |V| > V_{\rm g} $, $ \tanh \approx +1 $, 恢复为$ V / R_\mathrm{nn} $. 说明超导能隙区内电流被抑制, 超出后开始线性导电行为. 第2项$ I_2(V) = {V}/{R_\mathrm{sbg}} $表示亚间隙泄漏电流, 近似为线性通道, 主要考虑实际器件中因缺陷/温度等造成的非理想泄漏通道. (19)式用于模拟约瑟夫森结中非线性电阻的I -V曲线. 归一化后的仿真结果如图3(b)所示, 可以看到出现了类似实验中的约瑟夫森结迟滞现象. 通过以上计算可见, 要想在数值计算中完整模拟欠阻尼结的I -V曲线, RCSJ模型中对于电阻的建模需要引入一个非线性电阻, 用于模拟准粒子电流的行为, 传统的RCSJ模型只能描述超导电流, 是不完整的. 图3(f)是对制备的Nb/Al-AlOx/Nb约瑟夫森结临界电流多次扫描的结果, 临界电流稳定分布在$11.4\; \text{μ}{\mathrm{A}} $附近, 这比单个I-V曲线中提取的临界电流更加准确. 补充材料图S1和图S2 (online)展示了Nb结的详细工艺流程和SEM表征.

      下面针对约瑟夫森结夏皮洛台阶进行数值分析, 观察非正弦CPR对夏皮洛台阶的影响. 这是约瑟夫森结另外一个关键特征. 图4(a)图4(b)分别展示了正弦CPR约瑟夫森结过阻尼结和欠阻尼结的夏皮洛台阶数值计算结果. 过阻尼结情况下, 施加的微波信号归一化频率$ \varOmega = 1 $, 归一化的幅值$ i_{\mathrm{ac}} = 2 $. 图4(a)展示了$ \beta_{\mathrm{c}} = 0.1 $时过阻尼结具有清晰的夏皮洛台阶. 夏皮洛台阶的出现源于约瑟夫森相位差与外加微波信号之间的同步现象(即phase-locking), 根据约瑟夫森第二关系式$ V(t) = \dfrac{\varPhi_0}{2\pi} \dfrac{{\mathrm{d}}\varphi(t)}{{\mathrm{d}}t} $, 相位差φ的演化速率和微波信号同步会产生稳定的平均电压, 如(20)式:

      图4(a)图4(b)给出了n从–6到6对应的台阶并用灰色虚线表示台阶位置, 这和我们基于RCSJ方程计算的夏皮洛台阶位置符合, 说明本文数值计算的过程是合理的. 对于欠阻尼结在实际计算中发现其建立夏皮洛台阶是很困难的, 具体是需要很大的微波幅值, 如图4(b)中的欠阻尼结的夏皮洛台阶$ i_{\mathrm{ac}} = 10 $, 说明需要使用远大于约瑟夫森结临界电流的微波信号才能激励欠阻尼结的夏皮洛台阶, 并且台阶中会有一些不稳定的波形存在, 如图4(b)中红色小方块部分. 计算中发现稍微改动一下参数如$ i_{\mathrm{ac}} $的大小, 都会对欠阻尼结的夏皮洛台阶带来很大影响. 这表明若想在实验上观察夏皮洛台阶, 需要制备过阻尼约瑟夫森结. 更进一步, 计算了非正弦CPR约瑟夫森结的夏皮洛台阶. 对应的$ T_n $ = 0.999, 如图4(c)所示. 可以很清晰地观察到半整数夏皮洛台阶, 图中绿色虚线标注了理论半整数夏皮洛台阶的位置, 可以看到n在–3到3之间的基于RCSJ模型计算的半整数夏皮洛台阶和绿色虚线台阶位置基本符合, 说明了数值计算是合理的. 这里基于RCSJ模型计算得出非正弦CPR会带来约瑟夫森结半整数夏皮洛台阶. 从理论上解释了约瑟夫森结出现半整数夏皮洛台阶的原因. 通过改变约瑟夫森结参数, 预计可以得到三分之一整数等更多分数台阶[14]. 图4(d)是非正弦CPR约瑟夫森结欠阻尼下的夏皮洛台阶, 并没有观察到半整数夏皮洛台阶的出现, 这再次表明半整数等分数夏皮洛台阶需要在过阻尼结中才能被清晰地观察到.

      为了进一步研究约瑟夫森结夏皮洛台阶的规律, 计算了结相应的微分电阻, 如图5(a)图5(b)所示. 微分电阻很清晰地显示了具有夏皮洛台阶的位置, 即电阻瞬时降为零的位置. 这里数值计算的夏皮洛台阶对应的参数是$ \varOmega = 0.5 $, $ i_{\mathrm{ac}} = 2 $, 欠阻尼结的参数同上. 图5(c)图5(d)是通过参数扫描的方法绘制的微分电阻和施加的微波信号幅值$ i_{\mathrm{ac}} $以及直流偏置电流的关系, 这种网状结构的微分电阻, 更加充分地显示了夏皮洛台阶和施加在结上的信号的关系. 然而当采用相同的方法去观察欠阻尼结的微分电阻时, 如图5(d)所示, 并没有出现规律性的夏皮洛台阶, 欠阻尼结的夏皮洛台阶展示了一种混沌状态. 关于这种动力学行为的研究, 需要进一步的计算, 这超出了本文的研究范围. 对于非正弦CPR约瑟夫森结的微分电阻计算, 如图6所示, 分别展示了$ T_n $ = 0.01, 0.5, 0.9和0.999时过阻尼结下的微分电阻随着$ i_{\mathrm{ac}} $$ i_{\mathrm{d}} $的变化. 可以看到在$ T_n $ = 0.01时, 夏皮洛台阶变化规律和正弦CPR约瑟夫森结几乎相同; 随着透射率增加即$ T_n $增大, 在$ T_n $ = 0.999的夏皮洛台阶图中观察到明显的分数夏皮洛台阶, 图6(d)中红色椭圆显示了微小的零微分电阻的状态, 对应的就是分数夏皮洛台阶. 这里非正弦CPR约瑟夫森结在过阻尼状态下微分电阻同样表现出网状结构. 这和一些实验上观察到的结果类似[37,42,45], 说明了我们计算结果是合理的.

      为了进一步研究约瑟夫森结的动力学行为受到的非正弦CPR的影响. 对不同CPR约瑟夫森结的电感效应进行了分析. 这里正弦型CPR条件下的约瑟夫森电感可写为$ L_{\mathrm{J }}= \dfrac{\varPhi_0}{2\pi I_{\rm{c}} \cos\varphi} $. 根据约瑟夫森方程消除相位项, 得到约瑟夫森电感的归一化形式为$ L_{\mathrm{J }}= \dfrac{\varPhi_0}{2\pi I_{\rm{c}}} \dfrac{1}{\sqrt{1 - (I/I_{\rm{c}})^2}} $. 这里也可以得到约瑟夫森结在零偏置下的电感(又称为小信号电感)为$ L_{\mathrm{J}} = \dfrac{\varPhi_0}{2\pi I_{\rm{c}}} $. 对于非正弦CPR约瑟夫森结的电感没法作出类似消除相位项后的结果. 为了研究约瑟夫森电感的差别, 根据参考文献[5]在ADS中构建约瑟夫森结电路模型的方法, 构建了本文中的非正弦CPR约瑟夫森结模型. 并将约瑟夫森结和固定电容$ C = 4 {\mathrm{pF}} $并联构成一个集总参数的LC谐振腔, 结构类似约瑟夫森参量放大器, 这里的约瑟夫森结起到一个非线性电感的作用. 通过谐波平衡仿真, 计算谐振器的谐振频率与约瑟夫森结临界电流和频率的关系, 如图7(a)(d)所示. 图中蓝色部分代表的是谐振器的谐振点, 可见不同的CPR会给约瑟夫森结的非线性电感带来不同. 可以想象, 这种非正弦CPR约瑟夫森结构建的量子比特和约瑟夫森参量放大器等超导器件可能会有不同, 这需要进一步的研究. 关于仿真的电路图, 可以查阅补充材料图S3—图S5 (online).

      最后在ADS中构建了DC-SQUID模型, 这里的DC-SQUID模型构建是根据RCSJ模型完成的. 需要强调的是, 此处设置的约瑟夫森结的临界电流是$ 100\;\text{μA} $. 仿真构建的是一个过阻尼结, 因此在RCSJ模型基础上, 我们并联了一个小电阻, 电阻值为$ 2 \;\Omega $. 约瑟夫森结寄生电容$ C_{\mathrm{J}} = 1\, \text{pF} $, 非线性电阻采用(19)式建模. 更加具体的电路实现请参考补充材料图S3—图S5 (online). 需要特别指出, 这里的DC-SQUID模型是一个估算, 尤其是对于约瑟夫森结寄生参数以及电路互感和自感大小的估算. 控制这些变量相同, 从而研究不同CPR对外界偏置磁通对DC-SQUID电压的调制. 外界偏置磁通大小采用电流大小的方法表达, 两者可以通过互感这个中间物理量进行转换. 通过瞬态分析观察DC-SQUID的电压和外界偏置电流以及DC-SQUID的偏置电流$ I_0 $的关系, 如图8所示. 可见CPR越倾斜, 即$ T_n $越大, 外界偏置电流即外界偏置磁通对DC-SQUID电压的调制深度具有明显不同. 该结果和文献[49]结果具有相同趋势, 说明我们的模型可以用来定性描述不同CPR对DC-SQUID电压和外界偏置磁通的影响.

    • 本文通过结合Nb/Al-AlOx/Nb结的I -V特性和传统RCSJ模型, 成功构建了适用于非正弦CPR约瑟夫森结的数值计算模型, 系统分析了CPR倾斜对约瑟夫森结动力学特性的影响. 研究表明, 非正弦CPR显著改变了欠阻尼约瑟夫森结的临界电流, 使其表现出类似DC-SQUID的临界电流可调特性, 而在过阻尼结中, CPR倾斜对I -V曲线的影响较小. 此外, 非正弦CPR在过阻尼结中容易产生半整数夏皮洛台阶, 验证了CPR倾斜与半整数夏皮洛台阶之间的理论联系. 同时展示了非正弦CPR对约瑟夫森结电感效应和DC-SQUID磁通调制行为的显著影响, 为量子比特、参量放大器等超导器件提供了新的设计自由度.

      尽管本文深入分析了非正弦CPR对约瑟夫森结动力学特性的影响, 但仍有改进空间. 未来的研究可拓展至不同材料体系, 以验证非正弦CPR的普适性. 此外, 实验验证微波辐照下的半整数夏皮洛台阶及量子比特中的应用潜力将是进一步研究的重点. 总的来说, 本研究为新型超导电子学器件的设计与优化提供了理论支持, 并为未来的器件开发提供了新的方向.

    参考文献 (49)

目录

/

返回文章
返回