层状镍基超导体的电子结构和超快动力学

上一篇

下一篇

李义典, 杨乐仙. 层状镍基超导体的电子结构和超快动力学[J]. 物理学报, 2025, 74(17): 177402-1. doi: 10.7498/aps.74.20250856
引用本文: 李义典, 杨乐仙. 层状镍基超导体的电子结构和超快动力学[J]. 物理学报, 2025, 74(17): 177402-1. doi: 10.7498/aps.74.20250856
Yidian LI, Lexian YANG. Electronic structure and ultrafast dynamics of nickel-based high-temperature superconductors[J]. Acta Physica Sinica, 2025, 74(17): 177402-1. doi: 10.7498/aps.74.20250856
Citation: Yidian LI, Lexian YANG. Electronic structure and ultrafast dynamics of nickel-based high-temperature superconductors[J]. Acta Physica Sinica, 2025, 74(17): 177402-1. doi: 10.7498/aps.74.20250856

层状镍基超导体的电子结构和超快动力学

    通讯作者: E-mail: lxyang@tsinghua.edu.cn.
  • 中图分类号: 74.25.Jb, 78.47.jg

Electronic structure and ultrafast dynamics of nickel-based high-temperature superconductors

    Corresponding author: E-mail:lxyang@tsinghua.edu.cn.
  • MSC: 74.25.Jb, 78.47.jg

  • 摘要: 镍基超导体因其具有与铜基高温超导体相似的电子构型而受到广泛关注. 近期, 压力下双层镍氧化物La3Ni2O7中高达80 K的超导转变不仅引发了新一轮镍基超导研究的热潮, 也为非常规超导体的研究开辟了新方向. 层状镍基超导体在结构特征、超导性质以及电子结构方面与铜基、铁基超导体既具有相似性, 也存在显著差异. 对镍基超导体电子结构的深入研究有望揭示这些异同背后的物理机制, 为构建统一的理论模型提供关键依据, 从而推动非常规超导研究的发展. 此外, 非平衡态超快动力学的研究为非常规超导提供了新的视角和调控手段, 并逐渐成为非常规超导研究的重要手段之一. 本文聚焦于Ruddlesden-Popper相层状镍基超导体的电子结构与超快动力学研究, 系统回顾了角分辨光电子能谱和超快光反射率测量在镍基超导研究中的成功应用. 这些研究进展为理解非常规超导机制及其正常态性质提供了重要的实验信息.
  • 加载中
  • 图 1  常压和高压下R-P相层状镍基氧化物 (a) 单层La2NiO4; (b) 双层La3Ni2O7; (c) 3层La4Ni3O10的晶格结构; 绿色、灰色和红色小球分别代表La, Ni和O原子, 黑色虚线显示了2层和3层体系中Ni—O八面体沿c方向的取向

    Figure 1.  Crystal structures of R-P phase layered nickelate oxides at the ambient and high pressure: (a) Monolayer La2NiO4; (b) bilayer La3Ni2O7; (c) trilayer La4Ni3O10; the green, gray and red spheres represent La, Ni, and O atoms, respectively, the black dashed lines indicate the distortion of the Ni—O octahedra along the c direction in the bilayer and trilayer systems.

    图 2  第一性原理计算的 (a) 常压(AP)和 (b) 高压(HP)下La3Ni2O7的轨道投影的能带结构[125]; (c) 不同轨道上的电子排布构型示意图[2]; AB (antibonding band)为反键带, BB (bonding band)为成键带

    Figure 2.  Orbital-projected band structures of La3Ni2O7 under (a) ambient pressure and (b) high pressure, calculated by density-functional theory (DFT)[125]; (c) schematic illustration of the electron configurations in different orbitals[2]; AB represents antibonding band, BB represents bonding band.

    图 3  ARPES测量的常压下La3Ni2O7的能带结构 (a) La3Ni2O7能带结构的三维图示; 沿(b) $ {\bar \varGamma '}\bar{S} $, (c) $ \bar {\varGamma}\bar{X} $和 (d) $ \bar{X}\bar{S} $方向的能带色散; 黄色曲线为经过5倍重整化处理后的密度泛函理论计算的能带结构, 白色虚线为实验中能带色散的视觉引导线, 用于指示轨道选择性的能带重整化[125], 实验测量温度为18 K

    Figure 3.  Band dispersions of La3Ni2O7 measured by ARPES at ambient pressure: (a) 3D plot of the electronic structure of La3Ni2O7; band dispersions along the (b) $ {{\bar \varGamma}'}\bar{S} $, (c) $ \bar \varGamma\bar{X} $, and (d) $ \bar{X}\bar{S} $ directions. The yellow curves are the DFT calculated band structure after renormalized by a factor of 5. The white dashed lines are guides to eyes for the experimental band dispersions, indicating the orbital-selective band renormalization[125]. The experimental temperature is 18 K.

    图 4  (a) DFT计算的La3Ni2O7的三维费米面; (b) 三维费米面的二维投影; (c) 通过ARPES测量的费米面结构, 橙色线条表示常压下单胞的布里渊区, 实验温度为18 K; (d) 使用7 eV激光测量的费米面, 图中叠加了计算的费米面结果作为比较, 实验温度为40 K[125]

    Figure 4.  (a) DFT calculated three-dimensional Fermi surface (FS) of La3Ni2O7; (b) two-dimensional projected calculation of three-dimensional FS; (c) FS map measured by ARPES at 18 K, the orange lines are the BZ of the conventional unit cell at the ambient pressure; (d) FS measured using a 7 eV laser at 40 K, the calculated FS is overlaid for comparison[125].

    图 5  (a)—(c) 理论模拟的La3Ni2O7的光电子谱的对称性, 距原点的距离表示沿费米面特定角度方向的信号强度, LH和LV分别表示水平和竖直偏振, (a) 仅含Ni的eg轨道的有效紧束缚模型的模拟结果; (b) 实验测得的光电子能谱沿不同方向的强度; (c) 同时包含Ni的eg轨道和O的p轨道的有效紧束缚模型的模拟结果; (d), (f) (上图)费米面特定动量处的波函数示意图(红色与蓝色表示相对相位, 红/银色球体分别代表O/Ni原子); (下图)利用(a), (c)中对应的模型模拟的ARPES二向色性信号(LV-LH); (e) (上图)实验中光偏振矢量与面内轨道的相对取向; (下图)实测的ARPES二向色性信号[159]

    Figure 5.  (a)–(c) Simulated symmetry of photoemission spectra of La3Ni2O7 using linearly vertical (LV) and linearly horizontal (LH) polarization, the distance from the center defines the magnitude of the signal at a given angle along the FS, (a) an effective tight-binding model with only Ni eg orbitals, (b) experiments, and (c) an effective tight-binding model with both Ni eg and O p orbitals; (d), (f) (top) schematic illustration of wavefunctions at the indicated momenta along the FS with relative phases in red and blue (O and Ni sites in red and silver, respectively), along with (bottom) the simulated ARPES dichroism (LV-LH) from the same model as in (a), (c). (e) (top) Experimental geometry, showing the polarization vector of the light with respect to the in-plane orbitals, along with (bottom) the experimental dichroism measured by ARPES[159].

    图 6  (a)—(e) ARPES测量的1313结构的La3Ni2O7高对称方向的能带结构, ARPES谱上方展示了EF附近的动量分布曲线(MDC), 并标注了对应能带穿越EF的峰位; (f) 计算的费米面结构, 带撇符号表示重构出的能带[193]

    Figure 6.  (a)–(e) ARPES measured band structures of 1313-structured La3Ni2O7 along high-symmetry directions, momentum-distribution curves (MDC) near EF are shown on top with Fermi crossings marked; (f) calculated Fermi surface structure, the primed symbols corresponds to the reconstructed bands[193].

    图 7  (a) ARPES测量的La4Ni3O10的费米面结构, 布里渊区以绿色实线标出; (b) 使用7 eV激光测量的费米面, 对应(a)图中蓝色虚线区域; (c), (d) 沿$ \bar \varGamma\bar{X} $(c) 和$ \bar \varGamma\bar{S} $方向(d)的能带色散测量结果, (d)中数据沿(a)图中红色虚线标示的方向采集[144]

    Figure 7.  (a) Experimental FS of La4Ni3O10 measured by ARPES. The BZ is overlaid as indicated by green lines; (b) FS measured with a 7 eV laser corresponding to the blue dashed area in (a); (c), (d) band dispersions along the high-symmetry directions of (c) $ \bar \varGamma\bar{X} $ and (d) $ \bar \varGamma\bar{S} $, data in (d) were collected along the red dashed line in (a)[144].

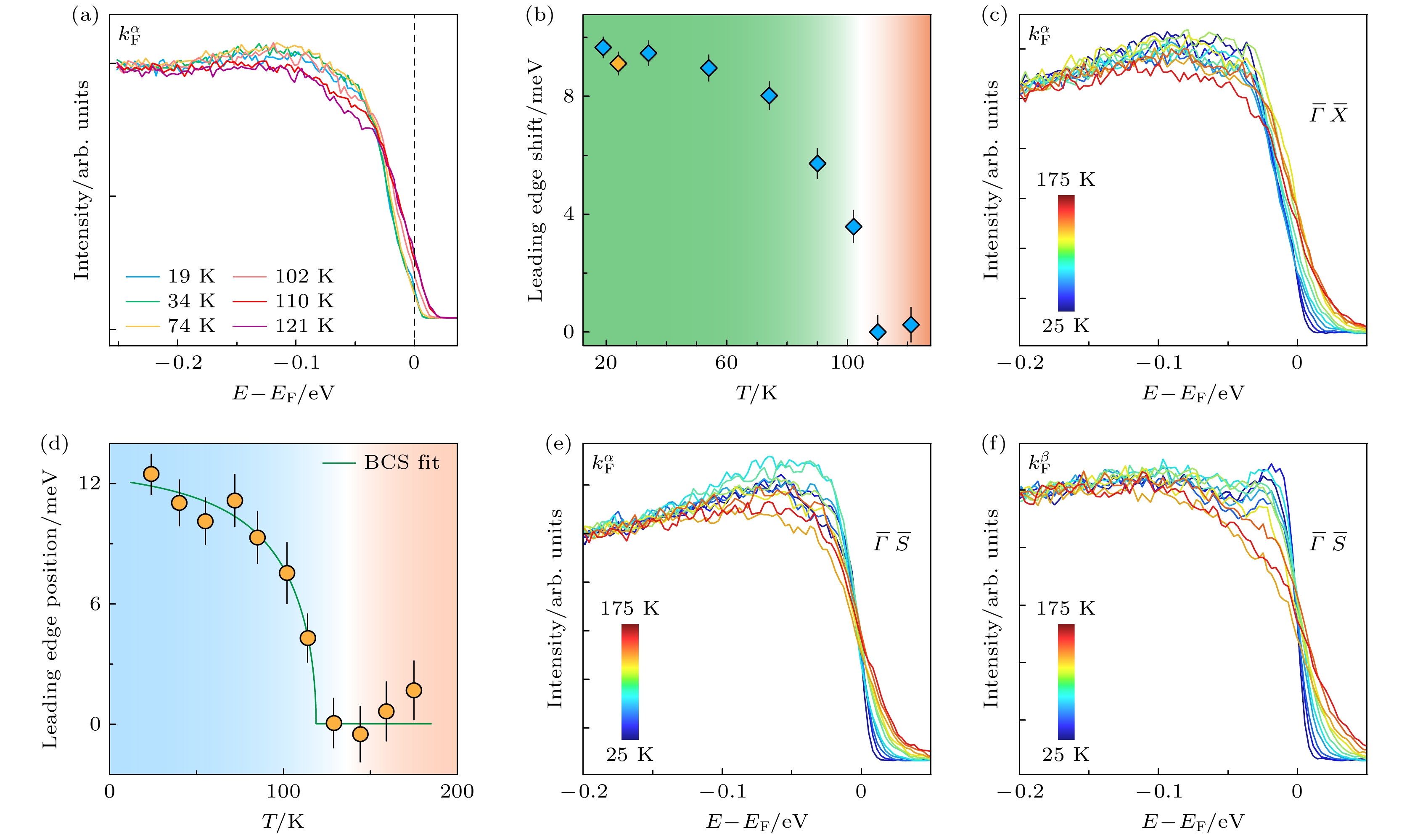
    图 8  (a) ARPES测得La3Ni2O7薄膜(左)和块体(右)的能带结构对比[209]; (b) ARPES测量的La3Ni2O7薄膜不同轨道的能带色散示意图[210]; (c) ARPES测得的沿布里渊区对角线方向的超导能隙[211]; (d) ARPES测得的α带对应的能量分布曲线(EDC)的前沿随温度的移动, 表明有超导能隙打开[212]

    Figure 8.  (a) Comparison between ARPES measured band structure of La3Ni2O7 thin film (left) and bulk crystal (right)[209]; (b) ARPES measured band dispersions of La3Ni2O7 thin film with different orbitals characterized[210]; (c) the superconducting gap along the diagonal of the BZ[211]; (d) the leading edge shift of energy-distribution curves (EDCs) of the α band at selected temperatures indicating the formation of the superconducting gap[212].

    图 9  (a) 在Γ-M-X平面(kz = 0)和 (b) Z-A-R平面(kz = π)测量的无限层镍氧化物超导体La0.8Ca0.2NiO2薄膜的费米面; (c), (d) 利用107 eV的光子测量的沿M-Γ-M方向(c)和M-X-M方向(d)的能带色散, EF处的MDC表明了费米穿越的动量位置[214]

    Figure 9.  (a) Photoemission intensity map of the infinite-layer nickelate superconductor La0.8Ca0.2NiO2 film at EF measured at the (a) Γ-M-X plane (kz = 0) and (b) Z-A-R plane (kz = π); (c), (d) photoemission spectra along the (c) M-Γ-M direction and (d) M-X-M direction measured using 107 eV photons (kz = 0), the MDCs at EF were overlaid to show the Fermi crossings[214].

    图 10  (a) Pr4Ni3O8的费米面, 图中强调了以布里渊区角落为中心的空穴口袋; (b)—(d) 在温度T = 22 K测量的高对称方向的色散, 紫色线条代表费米能位置处的MDCs, 从MDCs的峰值位置(红点)提取的能带色散重叠在图中[216]

    Figure 10.  (a) Fermi surface map of Pr4Ni3O8 which emphasizes the hole pocket centered around the zone corners; (b)–(d) high-symmetry cuts taken at temperature T = 22 K, the purple lines are the MDCs at the Fermi energy, band dispersions extracted from the peak positions of MDCs (red dots) are plotted in the spectra[216].

    图 11  (a) La3Ni2O7费米面示意图; (b) 沿(a)中Cut1方向测量的能带结构; (c) 来自(b)图的平带γ的EDC堆叠图, 动量范围由(b)图顶部箭头线段标出[132]

    Figure 11.  (a) Schematic FS of La3Ni2O7; (b) band structures measured along momentum cuts Cut1 marked in (a); (c) EDC stack of the flat band γ from (b); the momentum region is marked by the arrowed line on top of (b)[132].

    图 12  由DFT+DMFT方法计算出的(a) La3Ni2O7[51]和(b) La4Ni3O10[80]常压相动量依赖的谱函数

    Figure 12.  k-dependent spectral features of (a) La3Ni2O7[51] and (b) La4Ni3O10[80] in the ambient pressure phase from DFT+DMFT calculations.

    图 13  La3Ni2O7沿$ \bar \varGamma\bar{S} $方向在不同温度下测量的能带色散, 数据采用7 eV激光采集[125]

    Figure 13.  Band dispersions of La3Ni2O7 along the $ \bar \varGamma\bar{S} $ direction measured at selected temperatures, data were collected using laser at 7 eV[125].

    图 14  La3Ni2O7(蓝色曲线)和La4Ni3O10(绿色曲线)在常压下随温度依赖的电阻率[124]

    Figure 14.  Temperature-dependent resistivity of La3Ni2O7 (blue curve) and La4Ni3O10 (green curve) at ambient pressure[124].

    图 15  (a) La3Ni2O7不同温度下kF处的EDCs和 (b) EDCs前沿位置的温度演化[125]; (c) La4Ni3O10不同温度下$ \bar \varGamma\bar{X} $方向kF处的EDCs和(d) EDCs前沿位置的温度演化; (e), (f) La4Ni3O10不同温度下$ \bar \varGamma\bar{S} $方向$ {k}_{\mathrm{F}}^{\text{α}} $$ {k}_{\mathrm{F}}^{\text{β}} $处的EDC曲线[144]

    Figure 15.  (a) EDCs of La3Ni2O7 at kF at different temperatures and (b) corresponding leading-edge position of the EDCs as a function of temperature[125]; (c) the EDCs of La4Ni3O10 at kF along $ \bar \varGamma\bar{X} $ at different temperatures and (d) corresponding leading-edge position of the EDCs as a function of temperature; (e), (f) temperature-dependent ARPES spectra of La4Ni3O10 at $ {k}_{\mathrm{F}}^{\text{α}} $ and $ {k}_{\mathrm{F}}^{\text{β}} $ along $ \bar \varGamma\bar{S} $ at different temperatures, respectively[144].

    图 16  La4Ni3O10温度依赖的瞬态反射率变化ΔR/R (a) La4Ni3O10瞬态反射率数据随温度变化的伪色图; (b) 在选定温度下ΔR/R的典型时间演化曲线, 黑色曲线为对实验数据的唯象拟合结果; 从(b)中提取的反射率变化振幅(c)与弛豫时间尺度(d)的温度依赖关系图, 红线为Rothwarf-Taylor模型的拟合[124]

    Figure 16.  Temperature-dependent transient reflectivity changes ΔR/R of La4Ni3O10: (a) The false-color plot of temperature-dependent transient reflectivity data of La4Ni3O10; (b) typical temporal evolution of ΔR/R at selected temperatures. The black curves are the phenomenological fit to the data; temperature dependence of the (c) amplitude and (d) relaxation time of the transient reflectivity change in La3Ni2O7, red lines represent the fitting to the Rothwarf-Taylor model[124].

    图 17  (a) 不同温度下La3Ni2O7的瞬态反射率变化; (b) 在选定温度下ΔR/R的典型时间演化曲线, 黑色曲线为对实验数据的唯象拟合结果; (c), (d) 从(b)中提取的反射率变化振幅(c)与弛豫时间尺度(d)的温度依赖性关系图, (d)图中插图为弛豫时间的倒数随温度的演化[124]

    Figure 17.  (a) Temperature-dependent transient reflectivity data of La3Ni2O7; (b) typical temporal evolution of ΔR/R at selected temperatures, the black curves are the phenomenological fit to the data; (c), (d) temperature dependence of the (c) amplitude and (d) relaxation time (τ) of the transient reflectivity change in La3Ni2O7, the inset of panel (d) shows the temperature dependence of 1/τ[124].

    图 18  (a), (b) La3Ni2O7中提取的反射率变化的振幅(a)和弛豫时间(b)随光通量的变化趋势; (c), (d) La4Ni3O10中提取的反射率变化的振幅(c)和弛豫时间(d)随光通量的变化趋势, 其中(d)图中的红色曲线为实验数据拟合结果; (a)—(d)中所有数据均在80 K温度下测量获得[124]

    Figure 18.  (a), (b) Fluence dependence of the (a) amplitude and (b) relaxation time of the transient reflectivity change in La3Ni2O7; (c), (d) the same as (a) and (b) but for La4Ni3O10; the red curve in (d) is the fit to the data; data in (a)–(d) were measured at 80 K[124]

    图 19  (a) La3Ni2O7和La4Ni3O10在室温下测量的532 nm拉曼光谱; (b) 80 K下La4Ni3O10的ΔR/R变化, 其中可观察到相干声子振荡. 插图显示扣除单指数背景后的信号振荡部分; (c) 信号振荡部分的傅里叶变换谱, 最主要的声子模频率位于3.87 THz处. 插图为对应的原子振动示意图, 红色箭头表示振动方向(为简化图示, 主要在平面内振动的La原子未予显示); (d) 通过超快反射率和拉曼实验测得的La4Ni3O10相干声子频率随温度的变化关系[124]

    Figure 19.  (a) 532 nm Raman spectra of La3Ni2O7 and La4Ni3O10, measured at room temperature; (b) ΔR/R of La4Ni3O10 at 80 K showing the observation of coherent phonon vibrations, the inset shows the oscillatory part of the signal after subtracting the single-exponential background; (c) Fourier transform of the oscillating part of the signal, the most prominent phonon mode locates at 3.87 THz, the inset shows the corresponding vibration of the atoms with the red arrows indicating the vibration directions. For simplicity, La atoms vibrating mainly in the ab plane are not shown; (d) temperature-dependence of the coherent phonon frequency of La4Ni3O10 measured using ultrafast reflectivity and Raman experiments[124].

    图 20  不同压力下测量的温度依赖的泵浦-探测光谱 (a)—(h)分别对应0, 4.2, 8.2, 13.3, 16.7, 19.7, 26和34.2 GPa的压力条件, 各子图中的散点表示提取的弛豫时间常数[127]

    Figure 20.  Temperature dependent pump-probe spectra measured at different pressures: (a)–(h) Corresponds to 0, 4.2, 8.2, 13.3, 16.7, 19.7, 26, and 34.2 GPa, respectively. The scatters in each panel are the extracted relaxation timescales[127].

  • [1] Li D F, Lee K, Wang B Y, Osada M, Crossley S, Lee H R, Cui Y, Hikita Y, Hwang H Y 2019 Nature 572 624 doi: 10.1038/s41586-019-1496-5
    [2] Sun H L, Huo M W, Hu X W, Li J Y, Liu Z J, Han Y F, Tang L Y, Mao Z Q, Yang P T, Wang B S, Cheng J G, Yao D X, Zhang G M, Wang M 2023 Nature 621 493 doi: 10.1038/s41586-023-06408-7
    [3] Xu M Y, Jose G C, Rutherford A, Wang H Z, Zhang S, Cava R J, Zhou H D, Bi W L, Xie W W 2024 arXiv: 2410.18840 [cond-mat.mtrl-sci]
    [4] Hou J, Yang P T, Liu Z Y, Li J Y, Shan P F, Ma L, Wang G, Wang N N, Guo H Z, Sun J P, Uwatoko Y, Wang M, Zhang G M, Wang B S, Cheng J G 2023 Chin. Phys. Lett. 40 117302 doi: 10.1088/0256-307X/40/11/117302
    [5] Chen B W, Zhang H Y, Li J Y, Hu D Y, Huo M W, Wang S Y, Xi C Y, Wang Z S, Sun H L, Wang M, Shen B 2024 Phys. Rev. B 111 054519 doi: 10.1103/PhysRevB.111.054519
    [6] Wang M, Wen H H, Wu T, Yao D X, Xiang T 2024 Chin. Phys. Lett. 41 077402 doi: 10.1088/0256-307X/41/7/077402
    [7] Zhang M X, Pei C Y, Wang Q, Zhao Y, Li C H, Cao W Z, Zhu S H, Wu J F, Qi Y P 2024 J. Mater. Sci. Technol. 185 147 doi: 10.1016/j.jmst.2023.11.011
    [8] Zhang Y N, Su D J, Huang Y N, Shan Z Y, Sun H L, Huo M W, Ye K X, Zhang J W, Yang Z H, Xu Y K, Su Y, Li R, Smidman M, Wang M, Jiao L, Yuan H Q 2024 Nat. Phys. 20 1269 doi: 10.1038/s41567-024-02515-y
    [9] Li F Y, Peng D, Dou J, Guo N, Ma L, Liu C, Wang L Z, Zhang Y L, Luo J, Yang J, Zhang J, Cai W Z, Cheng J G, Zheng Q, Zhou R, Zeng Q S, Tao X T, Zhang J J 2025 arXiv: 2501.14584 [cond-mat.supr-con]
    [10] Wang G, Wang N N, Shen X L, Hou J, Ma L, Shi L F, Ren Z A, Gu Y D, Ma H M, Yang P T, Liu Z Y, Guo H Z, Sun J P, Zhang G M, Calder S, Yan J Q, Wang B S, Uwatoko Y, Cheng J G 2024 Phys. Rev. X 14 011040 doi: 10.1103/PhysRevX.14.011040
    [11] Wang N N, Wang G, Shen X L, Hou J, Luo J, Ma X P, Yang H X, Shi L F, Dou J, Feng J, Yang J, Shi Y Q, Ren Z A, Ma H M, Yang P T, Liu Z Y, Liu Y, Zhang H, Dong X L, Wang Y X, Jiang K, Hu J P, Nagasaski S, Kitagawa K, Calder S, Yan J Q, Sun J P, Wang B S, Zhou R, Uwatoko Y, Cheng J G 2024 Nature 634 579 doi: 10.1038/s41586-024-07996-8
    [12] Liu Y D, Ko E K, Tarn Y J, Bhatt L, Goodge B H, Muller D A, Raghu S, Yu Y J, Hwang H Y 2025 arXiv: 2501.08022 [cond-mat.supr-con]
    [13] Zhang E K, Peng D, Zhu Y H, Chen L X, Cui B K, Wang X Y, Wang W B, Zeng Q S, Zhao J 2025 Phys. Rev. X 15 021008 doi: 10.1103/PhysRevX.15.021008
    [14] Zhang M X, Pei C Y, Peng D, Du X, Hu W X, Cao Y T, Wang Q, Wu J F, Li Y D, Liu H Y, Wen C H P, Song J, Zhao Y, Li C H, Cao W Z, Zhu S H, Zhang Q, Yu N, Cheng P H, Zhang L L, Li Z W, Zhao J K, Chen Y L, Jin C Q, Guo H J, Wu C J, Yang F, Zeng Q S, Yan S C, Yang L X, Qi Y P 2025 Phys. Rev. X 15 021005 doi: 10.1103/PhysRevX.15.021005
    [15] Li J Y, Chen C Q, Huang C X, Han Y F, Huo M W, Huang X, Ma P Y, Qiu Z Y, Chen J F, Hu X W, Chen L, Xie T, Shen B, Sun H L, Yao D X, Wang M 2024 Sci. China Phys. Mech. 67 117403 doi: 10.1007/s11433-023-2329-x
    [16] Li Q, Zhang Y J, Xiang Z N, Zhang Y H, Zhu X Y, Wen H H 2024 Chin. Phys. Lett. 41 017401 doi: 10.1088/0256-307X/41/1/017401
    [17] Nagata H, Sakurai H, Ueki Y, Yamane K, Matsumoto R, Terashima K, Hirose K, Ohta H, Kato M, Takano Y 2024 J. Phys. Soc. Jpn. 93 095003 doi: 10.7566/JPSJ.93.095003
    [18] Zhu Y H, Peng D, Zhang E K, Pan B Y, Chen X, Chen L X, Ren H F, Liu F Y, Hao Y Q, Li N N, Xing Z F, Lan F J, Han J Y, Wang J Y, Jia D H, Wo H L, Gu Y Q, Gu Y M, Ji L, Wang W B, Gou H Y, Shen Y, Ying T P, Chen X L, Yang W G, Cao H B, Zheng C L, Zeng Q S, Guo J G, Zhao J 2024 Nature 631 531 doi: 10.1038/s41586-024-07553-3
    [19] Ko E K, Yu Y J, Liu Y D, Bhatt L, Li J R, Thampy V, Kuo C T, Wang B Y, Lee Y H, Lee K, Lee J S, Goodge B H, Muller D A, Hwang H Y 2024 Nature 638 935 doi: 10.1038/s41586-024-08525-3
    [20] Shen J C, Miao Y, Ou Z P, Zhou G D, Chen Y Q, Luan R Q, Sun H X, Feng Z K, Yong X R, Li P, Li Y Y, Xu L Z, Lv W, Nie Z H, Wang H, Huang H L, Sun Y J, Xue Q K, Chen Z Y, He J F 2025 arXiv: 2502.17831 [cond-mat.supr-con]
    [21] Jung M C, Kapeghian J, Hanson C, Pamuk B, Botana A S 2022 Phys. Rev. B 105 085150 doi: 10.1103/PhysRevB.105.085150
    [22] Christiansson V, Petocchi F, Werner P 2023 Phys. Rev. Lett. 131 206501 doi: 10.1103/PhysRevLett.131.206501
    [23] Huang J K, Wang Z D, Zhou T 2023 Phys. Rev. B 108 174501 doi: 10.1103/PhysRevB.108.174501
    [24] Lechermann F, Gondolf J, Bötzel S, Eremin I M 2023 Phys. Rev. B 108 L201121 doi: 10.1103/PhysRevB.108.L201121
    [25] Liao Z G, Chen L, Duan G J, Wang Y M, Liu C L, Yu R, Si Q M 2023 Phys. Rev. B 108 214522 doi: 10.1103/PhysRevB.108.214522
    [26] Liu Y B, Mei J W, Ye F, Chen W Q, Yang F 2023 Phys. Rev. Lett. 131 236002 doi: 10.1103/PhysRevLett.131.236002
    [27] Luo Z H, Hu X W, Wang M, Wu W, Yao D X 2023 Phys. Rev. Lett. 131 126001 doi: 10.1103/PhysRevLett.131.126001
    [28] Oh H, Zhang Y H 2023 Phys. Rev. B 108 174511 doi: 10.1103/PhysRevB.108.174511
    [29] Qin Q, Yang Y F 2023 Phys. Rev. B 108 L140504 doi: 10.1103/PhysRevB.108.L140504
    [30] Shen Y, Qin M P, Zhang G M 2023 Chin. Phys. Lett. 40 127401 doi: 10.1088/0256-307X/40/12/127401
    [31] Shilenko D A, Leonov I V 2023 Phys. Rev. B 108 125105 doi: 10.1103/PhysRevB.108.125105
    [32] Yang Q G, Wang D, Wang Q H 2023 Phys. Rev. B 108 140505 doi: 10.1103/PhysRevB.108.L140505
    [33] Yang Y F, Zhang G M, Zhang F C 2023 Phys. Rev. B 108 L201108 doi: 10.1103/PhysRevB.108.L201108
    [34] Zhang Y, Lin L F, Moreo A, Dagotto E 2023 Phys. Rev. B 108 L180510 doi: 10.1103/PhysRevB.108.L180510
    [35] Zhang Y, Lin L F, Moreo A, Maier T A, Dagotto E 2023 Phys. Rev. B 108 165141 doi: 10.1103/PhysRevB.108.165141
    [36] Cao Y Y, Yang Y F 2024 Phys. Rev. B 109 L081105 doi: 10.1103/PhysRevB.109.L081105
    [37] Chen J L, Yang F, Li W 2024 Phys. Rev. B 110 L041111 doi: 10.1103/PhysRevB.110.L041111
    [38] Geisler B, Hamlin J J, Stewart G R, Hennig R G, Hirschfeld P J 2024 npj Quantum Mater. 9 38 doi: 10.1038/s41535-024-00648-0
    [39] Heier G, Park K, Savrasov S Y 2024 Phys. Rev. B 109 104508 doi: 10.1103/PhysRevB.109.104508
    [40] Jiang K, Wang Z Q, Zhang F C 2024 Chin. Phys. Lett. 41 017402 doi: 10.1088/0256-307X/41/1/017402
    [41] Kakoi M, Kaneko T, Sakakibara H, Ochi M, Kuroki K 2024 Phys. Rev. B 109 L201124 doi: 10.1103/PhysRevB.109.L201124
    [42] Kaneko T, Sakakibara H, Ochi M, Kuroki K 2024 Phys. Rev. B 109 045154 doi: 10.1103/PhysRevB.109.045154
    [43] Lange H, Homeier L, Demler E, Schollwöck U, Bohrdt A, Grusdt F 2024 Phys. Rev. B 110 L081113 doi: 10.1103/PhysRevB.110.L081113
    [44] Lange H, Homeier L, Demler E, Schollwöck U, Grusdt F, Bohrdt A 2024 Phys. Rev. B 109 045127 doi: 10.1103/PhysRevB.109.045127
    [45] Lechermann F, Bötzel S, Eremin I M 2024 Phys. Rev. Mater. 8 074802 doi: 10.1103/PhysRevMaterials.8.074802
    [46] Lu C, Pan Z M, Yang F, Wu C J 2024 Phys. Rev. B 110 094509 doi: 10.1103/PhysRevB.110.094509
    [47] Lu C, Pan Z M, Yang F, Wu C J 2024 Phys. Rev. Lett. 132 146002 doi: 10.1103/PhysRevLett.132.146002
    [48] Luo Z H, Lv B, Wang M, Wu W, Yao D X 2024 npj Quantum Mater. 9 61 doi: 10.1038/s41535-024-00668-w
    [49] Meier Q N, de Vaulx J B, Bernardini F, Botana A S, Blase X, Olevano V, Cano A 2024 Phys. Rev. B 109 184505 doi: 10.1103/PhysRevB.109.184505
    [50] Ouyang Z F, Gao M, Lu Z Y 2024 npj Quantum Mater. 9 80 doi: 10.1038/s41535-024-00689-5
    [51] Ouyang Z F, Wang J M, Wang J X, He R Q, Huang L, Lu Z Y 2024 Phys. Rev. B 109 115114 doi: 10.1103/PhysRevB.109.115114
    [52] Pan Z M, Lu C, Yang F, Wu C J 2024 Chin. Phys. Lett. 41 087401 doi: 10.1088/0256-307X/41/8/087401
    [53] Qu X Z, Qu D W, Chen J L, Wu C J, Yang F, Li W, Su G 2024 Phys. Rev. Lett. 132 036502 doi: 10.1103/PhysRevLett.132.036502
    [54] Rhodes L C, Wahl P 2024 Phys. Rev. Mater. 8 044801 doi: 10.1103/PhysRevMaterials.8.044801
    [55] Sakakibara H, Kitamine N, Ochi M, Kuroki K 2024 Phys. Rev. Lett. 132 106002 doi: 10.1103/PhysRevLett.132.106002
    [56] Sakakibara H, Ochi M, Nagata H, Ueki Y, Sakurai H, Matsumoto R, Terashima K, Hirose K, Ohta H, Kato M, Takano Y, Kuroki K 2024 Phys. Rev. B 109 144511 doi: 10.1103/PhysRevB.109.144511
    [57] Schlömer H, Schollwöck U, Grusdt F, Bohrdt A 2024 Commun. Phys. 7 366 doi: 10.1038/s42005-024-01854-9
    [58] Talantsev E F, Chistyakov V V 2024 Lett. Mater. 14 262 doi: 10.48612/letters/2024-3-262-268
    [59] Tian Y H, Chen Y, Wang J M, He R Q, Lu Z Y 2024 Phys. Rev. B 109 165154 doi: 10.1103/PhysRevB.109.165154
    [60] Worm P, Wang Q S, Kitatani M, Biało I, Gao Q, Ren X L, Choi J, Csontosová D, Zhou K J, Zhou X J, Zhu Z H, Si L, Chang J, Tomczak J M, Held K 2024 Phys. Rev. B 109 235126 doi: 10.1103/PhysRevB.109.235126
    [61] Wu X F, Yang H, Zhang Y H 2024 Phys. Rev. B 110 125122 doi: 10.1103/PhysRevB.110.125122
    [62] Yang H, Oh H, Zhang Y H 2024 Phys. Rev. B 110 104517 doi: 10.1103/PhysRevB.110.104517
    [63] Yang Y F 2025 Chin. Phys. Lett. 42 017301 doi: 10.1088/0256-307X/42/1/017301
    [64] Zhang H Y, Bai Y J, Kong F J, Wu X Q, Xing Y H, Xu N 2024 New J. Phys. 26 123027 doi: 10.1088/1367-2630/ada0d4
    [65] Zhang J X, Zhang H K, You Y Z, Weng Z Y 2024 Phys. Rev. Lett. 133 126501 doi: 10.1103/PhysRevLett.133.126501
    [66] Zhang Y, Lin L F, Moreo A, Maier T A, Dagotto E 2024 Phys. Rev. B 109 045151 doi: 10.1103/PhysRevB.109.045151
    [67] Zhang Y, Lin L F, Moreo A, Maier T A, Dagotto E 2024 Nat. Commun. 15 2470 doi: 10.1038/s41467-024-46622-z
    [68] Zhang Y, Lin L F, Moreo A, Maier T A, Dagotto E 2024 Phys. Rev. B 110 L060510 doi: 10.1103/PhysRevB.110.L060510
    [69] Huo Z H, Luo Z H, Zhang P, Yang A Q, Liu Z T, Tao X R, Zhang Z H, Guo S M, Jiang Q W, Chen W X, Yao D X, Duan D F, Cui T 2025 Sci. China. Phys. Mech. 68 237411 doi: 10.1007/s11433-024-2583-y
    [70] Jiang K Y, Cao Y H, Yang Q G, Lu H Y, Wang Q H 2025 Phys. Rev. Lett. 134 076001 doi: 10.1103/PhysRevLett.134.076001
    [71] Ni X S, Ji Y Y, He L X, Xie T, Yao D X, Wang M, Cao K 2025 npj Quantum Mater. 10 17 doi: 10.1038/s41535-025-00740-z
    [72] Wang Y L 2025 Phys. Rev. B 111 085117 doi: 10.1103/PhysRevB.111.085117
    [73] Xia C L, Liu H Q, Zhou S J, Chen H H 2025 Nat. Commun. 16 1054 doi: 10.1038/s41467-025-56206-0
    [74] Zhao Y F, Botana A S 2025 Phys. Rev. B 111 115154 doi: 10.1103/PhysRevB.111.115154
    [75] Zhu C, Li B, Fan Y X, Yin C H, Zhai J J, Cheng J, Liu S L, Shi Z X 2025 Comp. Mater. Sci. 250 113676 doi: 10.1016/j.commatsci.2025.113676
    [76] Puggioni D, Rondinelli J M 2018 Phys. Rev. B 97 115116 doi: 10.1103/PhysRevB.97.115116
    [77] Chen C Q, Luo Z H, Wang M, W. W, Yao D X 2024 Phys. Rev. B 110 014503 doi: 10.1103/PhysRevB.110.014503
    [78] Huo Z H, Zhang P, Zhang Z H, Duan D F, Cui T 2024 arXiv: 2407.00327 [cond-mat.str-el]
    [79] LaBollita H, Kapeghian J, Norman M R, Botana A S 2024 Phys. Rev. B 109 195151 doi: 10.1103/PhysRevB.109.195151
    [80] Leonov I V 2024 Phys. Rev. B 109 235123 doi: 10.1103/PhysRevB.109.235123
    [81] Tian P F, Ma H T, Ming X, Zheng X J, Li H 2024 J. Phys. : Condens. Matter 36 355602 doi: 10.1088/1361-648X/ad512c
    [82] Wang J X, Ouyang Z F, He R Q, Lu Z Y 2024 Phys. Rev. B 109 165140 doi: 10.1103/PhysRevB.109.165140
    [83] Bernardini F, Fiebig M, Cano A 2024 arXiv: 2401.12910 [cond-mat.mtrl-sci]
    [84] Gu Y, Le C, Yang Z, Wu X, Hu J 2023 arXiv: 2306.07275 [cond-mat.supr-con]
    [85] Zhang R Q, Huang C Y, Kargarian M, Verma R, Markiewicz R S, Bansil A, Sun J W, Singh B 2023 arXiv: 2311.03302 [cond-mat.supr-con]
    [86] Chen X J, Jiang P H, Li J, Zhong Z C, Lu Y 2023 arXiv: 2307.07154 [cond-mat.supr-con]
    [87] Jiang R S, Hou J N, Fan Z Y, Lang Z J, Ku W 2023 arXiv: 2308.11614 [cond-mat.supr-con]
    [88] Kitamine N, Ochi M, Kuroki K 2023 arXiv: 2308.12750 [cond-mat.supr-con]
    [89] LaBollita H, Pardo V, Norman M R, Botana A S 2023 arXiv: 2309.17279 [cond-mat.str-el]
    [90] Ryee S, Witt N, Wehling T O 2023 arXiv: 2310.17465 [cond-mat.supr-con]
    [91] Liu H Q, Xia C L, Zhou S J, Chen H H 2023 arXiv: 2311.07316 [cond-mat.supr-con]
    [92] Chang W X, Guo S B, You Y Z, Li Z X 2023 arXiv: 2311.09970 [cond-mat.str-el]
    [93] Sui X L, Han X R, Chen X J, Qiao L, Shao X H, Huang B 2023 arXiv: 2312.01271 [cond-mat.mtrl-sci]
    [94] Lu D C, Li M, Zeng Z Y, Hou W D, Wang J V, Yang F, You Y Z 2023 arXiv: 2308.11195 [cond-mat.str-el]
    [95] Wu W, Luo Z H, Yao D X, Wang M 2023 arXiv: 2307.05662 [cond-mat.str-el]
    [96] Wang Y X, Jiang K, Wang Z Q, Zhang F C, Hu J P 2024 arXiv: 2401.15097 [cond-mat.supr-con]
    [97] LaBollita H, Pardo V, Norman M R, Botana A S 2024 arXiv: 2407.14409 [cond-mat.str-el]
    [98] Geisler B, Hamlin J J, Stewart G R, Hennig R G, Hirschfeld P J 2024 arXiv: 2411.14600 [cond-mat.supr-con]
    [99] Wang Z, Jiang K, Zhang F C 2024 arXiv: 2412.18469 [cond-mat.str-el]
    [100] Lechermann F, Bötzel S, Eremin I M 2024 arXiv: 2412.19617 [cond-mat.str-el]
    [101] Le C C, Zhan J, X. W X, P. H J 2025 arXiv: 2501.14665 [cond-mat.supr-con]
    [102] Xu H X, Xie Y, Guterding D, Wang Z J 2025 arXiv: 2501.05254 [cond-mat.supr-con]
    [103] Liu X, Jiang M 2025 arXiv: 2501.11907 [cond-mat.str-el]
    [104] Lu C, Zhang M, Pan Z M, Wu C J, Yang F 2025 arXiv: 2502.14324 [cond-mat.supr-con]
    [105] Huo Z H, Zhang P, Shi H L, Yan X C, Duan D F, Cu T 2025 arXiv: 2502.19664 [cond-mat.supr-con]
    [106] Geisler B, Hamlin J J, Stewart G R, Hennig R G, Hirschfeld P J 2025 arXiv: 2503.10902 [cond-mat.supr-con]
    [107] Inoue D, Yamakawa Y, Onari S, Kontani H 2025 arXiv: 2503.12925 [cond-mat.supr-con]
    [108] Shi L, Luo Y, Wu W, Zhang Y W 2025 arXiv: 2503.13197 [cond-mat.supr-con]
    [109] Xi W H, Yu S L, Li J X 2025 arXiv: 2503.15038 [cond-mat.supr-con]
    [110] Kaneko T, Kakoi M, Kuroki K 2025 arXiv: 2504.10114 [cond-mat.str-el]
    [111] Ji J H, Lu C, Shao Z Y, Pan Z M, Yang F, Wu C J 2025 arXiv: 2504.12127 [cond-mat.supr-con]
    [112] Zhang R Q, Wang Y Y, Engel M, Lane C, Miranda H, Hou L, Chowdhury S, Singh B, Barbiellini B, Zhu J X, Markiewicz R S, Gross E K U, Kresse G, Bansil A, Sun J W 2025 arXiv: 2504.13025 [cond-mat.str-el]
    [113] Haque M E, Ali R, Masum M A, Hassan J, Naqib S H 2025 arXiv: 2504.15853 [cond-mat.supr-con]
    [114] Zhang Y, Lin L F, Moreo A, Okamoto S, Maier T A, Dagotto E 2025 arXiv: 2503.05075 [cond-mat.supr-con]
    [115] Zhao Y F, Botana A S 2024 arXiv: 2412.04391 [cond-mat.supr-con]
    [116] Bhatta H C R B, Zhang X L, Zhong Y, Jia C J 2025 arXiv: 2502.01624 [cond-mat.supr-con]
    [117] LaBollita H, Pardo V, Norman M R, Botana A S 2024 Phys. Rev. Mater. 8 L111801 doi: 10.1103/PhysRevMaterials.8.L111801
    [118] Chen K W, Liu X Q, Jiao J C, Zou M Y, Jiang C Y, Li X, Luo Y X, Wu Q, Zhang N Y, Guo Y F, Shu L 2024 Phys. Rev. Lett. 132 256503 doi: 10.1103/PhysRevLett.132.256503
    [119] Chen X Y, Choi J, Jiang Z C, Mei J, Jiang K, Li J, Agrestini S, Garcia-Fernandez M, Sun H L, Huang X, Shen D W, Wang M, Hu J P, Lu Y, Zhou K J, Feng D L 2024 Nat. Commun. 15 9597 doi: 10.1038/s41467-024-53863-5
    [120] Chen X L, Zhang J J, Thind A S, Sharma S, LaBollita H, Peterson G, Zheng H, Phelan D P, Botana A S, Klie R F, Mitchell J F 2024 J. Am. Chem. Soc. 146 3640 doi: 10.1021/jacs.3c14052
    [121] Cui T, Choi S, Lin T, Liu C, Wang G, Wang N N, Chen S R, Hong H T, Rong D K, Wang Q Y, Jin Q, Wang J O, Gu L, Ge C, Wang C, Cheng J G, Zhang Q H, Si L, Jin K J, Guo E J 2024 Commun. Mater. 5 32 doi: 10.1038/s43246-024-00478-4
    [122] Geisler B, Fanfarillo L, Hamlin J J, Stewart G R, Hennig R G, Hirschfeld P J 2024 npj Quantum Mater. 9 89 doi: 10.1038/s41535-024-00690-y
    [123] Kakoi M, Oi T, Ohshita Y, Yashima M, Kuroki K, Kato T, Takahashi H, Ishiwata S, Adachi Y, Hatada N, Uda T, Mukuda H 2024 J. Phys. Soc. Jpn. 93 053702 doi: 10.7566/JPSJ.93.053702
    [124] Li Y D, Cao Y T, Liu L Y, Peng P, Lin H, Pei C Y, Zhang M X, Wu H, Du X, Zhao W X, Zhai K Y, Zhang X F, Zhao J K, Lin M L, Tan P H, Qi Y P, Li G, Guo H J, Yang L, Yang L X 2024 Sci. Bull. 70 180 doi: 10.1016/j.scib.2024.10.011
    [125] Li Y D, Du X, Cao Y T, Pei C Y, Zhang M X, Zhao W X, Zhai K Y, Xu R Z, Liu Z K, Li Z W, Zhao J K, Li G, Qi Y P, Guo H J, Chen Y L, Yang L X 2024 Chin. Phys. Lett. 41 087402 doi: 10.1088/0256-307X/41/8/087402
    [126] Liu Z, Huo M W, Li J, Li Q, Liu Y C, Dai Y M, Zhou X X, Hao J H, Lu Y, Wang M, Wen H H 2024 Nat. Commun. 15 7570 doi: 10.1038/s41467-024-52001-5
    [127] Meng Y H, Yang Y, Sun H L, Zhang S S, Luo J L, Chen L C, Ma X L, Wang M, Hong F, Wang X B, Yu X H 2024 Nat. Commun. 15 10408 doi: 10.1038/s41467-024-54518-1
    [128] Puphal P, Reiss P, Enderlein N, Wu Y M, Khaliullin G, Sundaramurthy V, Priessnitz T, Knauft M, Suthar A, Richter L, Isobe M, van Aken P A, Takagi H, Keimer B, Suyolcu Y E, Wehinger B, Hansmann P, Hepting M 2024 Phys. Rev. Lett. 133 146002 doi: 10.1103/PhysRevLett.133.146002
    [129] Wang H Z, Chen L, Rutherford A, Zhou H D, Xie W W 2024 lnorg. Chem. 63 5020 doi: 10.1021/acs.inorgchem.3c04474
    [130] Wang L H, Li Y, Xie S Y, Liu F Y, Sun H L, Huang C X, Gao Y, Nakagawa T, Fu B Y, Dong B, Cao Z H, Yu R Z, Kawaguchi S I, Kadobayashi H, Wang M, Jin C Q, Mao H K, Liu H Z 2024 J. Am. Chem. Soc. 146 7506 doi: 10.1021/jacs.3c13094
    [131] Xie T, Huo M W, Ni X S, Shen F R, Huang X, Sun H L, Walker H C, Adroja D, Yu D H, Shen B, He L H, Cao K, Wang M 2024 Sci. Bull. 69 3221 doi: 10.1016/j.scib.2024.07.030
    [132] Yang J G, Sun H L, Hu X W, Xie Y Y, Miao T M, Luo H L, Chen H, Liang B, Zhu W P, Qu G X, Chen C Q, Huo M W, Huang Y B, Zhang S J, Zhang F F, Yang F, Wang Z M, Peng Q J, Mao H Q, Liu G D, Xu Z Y, Qian T, Yao D X, Wang M, Zhao L, Zhou X J 2024 Nat. Commun. 15 4373 doi: 10.1038/s41467-024-48701-7
    [133] Yilmaz H, Küster K, Starke U, Clemens O, Isobe M, Puphal P 2024 npj Quantum Mater. 9 92 doi: 10.1038/s41535-024-00708-5
    [134] Shi M Z, Peng D, Li Y K, Xing Z F, Wang Y Z, Fan K B, Li H P, Wu R Q, Zeng Z D, Zeng Q S, Ying J J, Wu T, Chen X H 2025 arXiv: 2501.14202 [cond-mat.supr-con]
    [135] Chen Y, Zhang K, Xu M H, Zhao Y, Xiao H Y, Qiao L 2025 Sci. China. Phys. Mech. 68 247411 doi: 10.1007/s11433-024-2556-4
    [136] Liu C, Huo M W, Yang H, Li Q, Zhang Y J, Xiang Z N, Wang M, Wen H H 2025 Sci. China. Phys. Mech. 68 247412 doi: 10.1007/s11433-024-2595-2
    [137] Ren X L, Sutarto R, Wu X X, Zhang J F, Huang H, Xiang T, Hu J P, Comin R, Zhou X J, Zhu Z H 2025 Commun. Phys. 8 52 doi: 10.1038/s42005-025-01971-z
    [138] Wang G, Wang N N, Lu T L, Calder S, Yan J Q, Shi L F, Hou J, Ma L, Zhang L L, Sun J P, Wang B S, Meng S, Liu M, Cheng J G 2025 npj Quantum Mater. 10 1 doi: 10.1038/s41535-024-00721-8
    [139] Yuan N, Elghandour A, Arneth J, Dey K, Klingeler R 2024 J. Cryst. Growth 627 127511 doi: 10.1016/j.jcrysgro.2023.127511
    [140] Shi M Z, Li Y K, Wang Y X, Peng D, Yang S H, Li H P, Fan K B, Jiang K, He J F, Zeng Q S, Song D S, Ge B H, Xiang Z J, Wang Z Y, Ying J J, Wu T, Chen X H 2025 Nat. Commun. 16 2887 doi: 10.1038/s41467-025-57264-0
    [141] Xu S X, Chen C Q, Huo M W, Hu D Y, Wang H, Wu Q, Li R S, Wu D, Wang M, Yao D X, Dong T, Wang N L 2025 Phys. Rev. B 111 075140 doi: 10.1103/PhysRevB.111.075140
    [142] Liu Z, Li J, Huo M W, Ji B K, Hao J H, Dai Y M, Ou M J, Li Q, Sun H L, Xu B, Lu Y, Wang M, Wen H H 2024 arXiv: 2411.08539 [cond-mat.supr-con]
    [143] Deswal S, Kumar D, Rout D, Singh S, Kumar P 2024 arXiv: 2411.13933 [cond-mat.str-el]
    [144] Du X, Li Y D, Cao Y T, Pei C Y, Zhang M X, Zhao W X, Zhai K Y, Xu R Z, Liu Z K, Li Z W, Zhao J K, Li G, Chen Y L, Qi Y P, Guo H J, Yang L X 2024 arXiv: 2405.19853 [cond-mat.supr-con]
    [145] Xu S X, Wang H, Huo M W, Hu D Y, Wu Q, Yue L, Wu D, Wang M, Dong T, Wang N L 2025 arXiv: 2503.05176 [cond-mat.supr-con]
    [146] Cao Y T, Liu A D, Wang B, Zhang M X, Qi Y P, Hicken T J, Luetkens H, Fu Z D, Gardner J S, Zhao J K, Guo A J 2025 arXiv: 2503.14128 [cond-mat.supr-con]
    [147] Khasanov R, Hicken T J, Plokhikh I, Sazgari V, Keller L, Pomjakushin V, Bartkowiak M, Królak S, Winiarski M I J, Krieger J A, Luetkens H, Klimczuk T, Gawryluk D J, Guguchia Z 2025 arXiv: 2503.04400 [cond-mat.supr-con]
    [148] Li M Z, Gong J S, Zhu Y H, Chen Z Y, Zhang J K, Zhang E K, Li Y J, Yin R T, Wang S Y, Zhao J, Feng D L, Du Z Y, Yan Y J 2025 arXiv: 2501.18885 [cond-mat.supr-con]
    [149] Li Z, Guo W, Zhang T T, Song J H, Gao T Y, Gu Z B, Nie Y F 2025 arXiv: 2305.10271 [cond-mat.supr-con]
    [150] Li M T, Wang Y M, Pei C Y, Zhang M X, Li N N, Guan J Y, Amboage M, Adama N, Kong Q Y, Qi Y P, Yang W G 2024 arXiv: 2410.04230 [cond-mat.supr-con]
    [151] Zhou X X, He W H, Zhou Z J, Ni K P, Huo M W, Hu D Y, Zhu Y H, Zhang E K, Jiang Z C, Zhang S K, Su S W, Jiang J, Yan Y J, Wang Y L, Shen D W, Liu X, Zhao J, Wang M, Liu M K, Du Z Y, Feng D L 2024 arXiv: 2410.06602 [cond-mat.supr-con]
    [152] Su B, Huang C X, Zhao J Z, Huo M W, Luo J L, Wang M, Chen Z G 2024 arXiv: 2411.10786 [cond-mat.supr-con]
    [153] Mijit E, Ma P Y, Sahle C J, Rosa A D, Hu Z W, Angelis F D, Lopez A, Amatori S, Tchoudinov G, Joly Y, Irifune T, Rodrigues J E F S, Garbarino G, Parra S G, Wang M, Yu R Z, Mathon O 2024 arXiv: 2412.08269 [cond-mat.supr-con]
    [154] Chen K W, Liu X Q, Wang Y, Zhu Z Y, Jiao J C, Jiang C Y, Guo Y F, Shu L 2024 arXiv: 2412.09003 [cond-mat.str-el]
    [155] Zhang Y L, Pei C Y, Guo N, Fan L L, Zhang M X, Wang L Z, Zhang G T, Li F Y, Wang Y N, Ma C, Cheng W Y, Wang S P, Zheng Q, Qi Y P, Zhang J J 2025 arXiv: 2502.01501 [cond-mat.supr-con]
    [156] Plokhikh I, Hicken T J, Keller L, Pomjakushin V, Moody S H, Foury-Leylekian P F, Krieger J J, Luetkens H, Guguchia Z, Khasanov R, Gawryluk D J 2025 arXiv: 2503.05287 [cond-mat.supr-con]
    [157] Khasanov R, Plokhikh I, Hicken T J, Luetkens H, Gawryluk D J, Guguchia Z 2025 arXiv: 2503.06560 [cond-mat.supr-con]
    [158] Yashima M, Seto N, Oshita Y, Kakoi M, Sakurai H, Takano Y, Mukuda H 2025 arXiv: 2503.09288 [cond-mat.str-el]
    [159] Au-Yeung C C, Chen X, Smit S, Bluschke M, Zimmermann V, Michiardi M, Moen P, Kraan J, Pang C S B, Suen C T, Zhdanovich S, Zonno M, Gorovikov S, Liu Y, Levy G, Elfimov I S, Berciu M, Sawatzky G A, Mitchell J F, Damascelli A 2025 arXiv: 2502.20450 [cond-mat.supr-con]
    [160] Puphal P, Sundaramurthy V, Zimmermann V, Küster K, Starke U, Isobe M, Keimer B, Hepting M 2023 APL Mater. 11 081107 doi: 10.1063/5.0160912
    [161] Puphal P, Wehinger B, Nuss J, Küster K, Starke U, Garbarino G, Keimer B, Isobe M, Hepting M 2023 Phys. Rev. Mater. 7 014804 doi: 10.1103/PhysRevMaterials.7.014804
    [162] Rathnayaka S, Yano S, K. K, J. A, M. B C, J. N, D. L 2024 arXiv: 2403.09826 [cond-mat.supr-con]
    [163] Kim C H, Jung M Y, Khim Y G, Lee K J, Chang Y J, Chang S H 2024 arXiv: 2412.21110 [cond-mat.mtrl-sci]
    [164] Cheng B, Cheng D, Lee K, Luo L, Chen Z Y, Lee Y H, Wang B Y, Mootz M, Perakis I E, Shen Z X, Hwang H Y, Wang J G 2024 Nat. Mater. 23 775 doi: 10.1038/s41563-023-01766-z
    [165] Rout D, Mudi S R, Karmakar S, Rawat R, Singh S 2024 Phys. Rev. B 110 094412 doi: 10.1103/PhysRevB.110.094412
    [166] Shi M Z, Peng D, Fan K B, Xing Z F, Yang S H, Wang Y Z, Li H P, Wu R Q, Du M, Ge B H, Zeng Z D, Zeng Q S, Ying J J, Wu T, Chen X H 2025 arXiv: 2502.01018 [cond-mat.supr-con]
    [167] Chow S L E, Luo Z Y, Ariando A 2025 Nature 642 58 doi: 10.1038/s41586-025-08893-4
    [168] Lee Y H, Wei X, Yu Y J, Bhatt L, Lee K, Goodge B H, Harvey S P, Wang B Y, Muller D A, Kourkoutis L F, Lee W S, Raghu S, Hwang H Y 2025 Nat. Synth. 4 573 doi: 10.1038/s44160-024-00714-2
    [169] Zhao D, Zhou Y B, Huo M W, Wang Y, Nie L P, Yang Y, Ying J J, Wang M, Wu T, Chen X H 2025 Sci. Bull. 70 1239 doi: 10.1016/j.scib.2025.02.019
    [170] Gupta N K, Gong R, Wu Y, Kang M, Parzyck C T, Gregory B Z, Costa N, Sutarto R, Sarker S, Singer A, Schlom D G, Shen K M, Hawthorn D G 2024 arXiv: 2409.03210 [cond-mat.supr-con]
    [171] Keimer B, Kivelson S A, Norman M R, Uchida S, Zaanen J 2015 Nature 518 179 doi: 10.1038/nature14165
    [172] Zhou X J, Lee W S, Imada M, Trivedi N, Phillips P, Kee H Y, Törmä P, Eremets M 2021 Nat. Rev. Phys. 3 462 doi: 10.1038/s42254-021-00324-3
    [173] Si Q M, Yu R, Abrahams E 2016 Nat. Rev. Mater. 1 16017 doi: 10.1038/natrevmats.2016.17
    [174] Tsuei C C, Kirtley J R 2000 Rev. Mod. Phys. 72 969 doi: 10.1103/RevModPhys.72.969
    [175] Paglione J, Greene R L 2010 Nat. Phys. 6 645 doi: 10.1038/nphys1759
    [176] Hashimoto M, Vishik I M, He R H, Devereaux T P, Shen Z X 2014 Nat. Phys. 10 483 doi: 10.1038/nphys3009
    [177] Dagotto E 1994 Rev. Mod. Phys. 66 763 doi: 10.1103/RevModPhys.66.763
    [178] Damascelli A, Hussain, Z., Shen Z X 2003 Rev. Mod. Phys. 75 473 doi: 10.1103/RevModPhys.75.473
    [179] Fernandes R M, Coldea A I, Ding H, Fisher I R, Hirschfeld P J, Kotliar G 2022 Nature 601 35 doi: 10.1038/s41586-021-04073-2
    [180] Pan G A, Ferenc Segedin D, LaBollita H, Song Q, Nica E M, Goodge B H, Pierce A T, Doyle S, Novakov S, Cordova Carrizales D, N'Diaye A T, Shafer P, Paik H, Heron J T, Mason J A, Yacoby A, Kourkoutis L F, Erten O, Brooks C M, Botana A S, Mundy J A 2022 Nat. Mater. 21 160 doi: 10.1038/s41563-021-01142-9
    [181] Sobota J A, He Y, Shen Z X 2021 Rev. Mod. Phys. 93 025006 doi: 10.1103/RevModPhys.93.025006
    [182] Lv B, Qian T, Ding H 2019 Nat. Rev. Phys. 1 609 doi: 10.1038/s42254-019-0088-5
    [183] Boschini F, Zonno M, Damascelli A 2024 Rev. Mod. Phys. 96 015003 doi: 10.1103/RevModPhys.96.015003
    [184] Yang H F, Liang A J, Chen C, Zhang C F, Schroeter N B M, Chen Y L 2018 Nat. Rev. Mater. 3 341 doi: 10.1038/s41578-018-0047-2
    [185] Lu D H, Vishik I M, Yi M, Chen Y L, Moore R G, Shen Z X 2012 Annu. Rev. Condens. Matter Phys. 3 129 doi: 10.1146/annurev-conmatphys-020911-125027
    [186] Zhang C F, Li Y W, Pei D, Liu Z K, Chen Y L 2020 Annu. Rev. Mater. Res. 50 131 doi: 10.1146/annurev-matsci-070218-121852
    [187] Chen Y J, Gu X, Li Y W, Du X, Yang L X, Chen Y L 2020 Matter 3 1114 doi: 10.1016/j.matt.2020.07.007
    [188] Xu R Z, Gu X, Zhao W X, Zhou J S, Zhang Q Q, Du X, Li Y D, Mao Y H, Huang K, Zhang C F, Liu Z K, Chen Y L, X. Y L 2023 Rev. Sci. Instrum. 94 023903 doi: 10.1063/5.0106351
    [189] Bao C H, Tang P Z, Sun D, Zhou S Y 2021 Nat. Rev. Phys. 4 33 doi: 10.1038/s42254-021-00388-1
    [190] Zhang H Y, Pincelli T, Jozwiak C, Kondo T, Ernstorfer R, Sato T, Zhou S Y 2022 Nat. Rev. Method Primer 2 54 doi: 10.1038/s43586-022-00133-7
    [191] Ding H, Richard P, Nakayama K, Sugawara K, Arakane T, Sekiba Y, Takayama A, Souma S, Sato T, Takahashi T, Wang Z, Dai X, Fang Z, Chen G F, Luo J L, Wang N L 2008 Europhys. Lett. 83 47001 doi: 10.1209/0295-5075/83/47001
    [192] Li H X, Zhou X Q, Nummy T, Zhang J J, Pardo V, Pickett W E, Mitchell J F, Dessau D S 2017 Nat. Commun. 8 704 doi: 10.1038/s41467-017-00777-0
    [193] Abadi S, Xu K J, Lomeli E G, Puphal P, Isobe M, Zhong Y, Fedorov A V, Mo S K, Hashimoto M, Lu D H, Moritz B, Keimer B, Devereaux T P, Hepting M, Shen Z X 2025 Phys. Rev. Lett. 134 126001 doi: 10.1103/PhysRevLett.134.126001
    [194] Uchida M, Ishizaka K, Hansmann P, Kaneko Y, Ishida Y, Yang X, Kumai R, Toschi A, Onose Y, Arita R, Held K, Andersen O K, Shin S, Tokura Y 2011 Phys. Rev. Lett. 106 027001 doi: 10.1103/PhysRevLett.106.027001
    [195] Taylor N K, D. F S, Turkiewicz A B, Zhang Y, Doyle S T, Pan G A, Jiang H Y, Bostwick A, Jozwiak C, Rotenberg E, Lanzara A, El Baggari I, Brooks C M, N'Diaye A T, Moreschini L, Mundy J A 2025 Phys. Rev. Mater. 9 L032001 doi: 10.1103/PhysRevMaterials.9.L032001
    [196] Yang L X, Rohde G, Rohwer T, Stange A, Hanff K, Sohrt C, Rettig L, Cortés R, Chen F, Feng D L, Wolf T, Kamble B, Eremin I, Popmintchev T, Murnane M M, Kapteyn H C, Kipp L, Fink J, Bauer M, Bovensiepen U, Rossnagel K 2014 Phys. Rev. Lett. 112 207001 doi: 10.1103/PhysRevLett.112.207001
    [197] Rohwer T, Hellmann S, Wiesenmayer M, Sohrt C, Stange A, Slomski B, Carr A, Liu Y, Avila L M, Kallane M, Mathias S, Kipp L, Rossnagel K, Bauer M 2011 Nature 471 490 doi: 10.1038/nature09829
    [198] Schmitt F, Kirchmann P S, Bovensiepen U, Moore R G, Rettig L, Krenz M, Chu J H, Ru N, Perfetti L, Lu D H, Wolf M, Fisher I R, Shen Z X 2008 Science 321 1649 doi: 10.1126/science.1160778
    [199] Lee W S, Chuang Y D, Moore R G, Zhu Y, Patthey L, Trigo M, Lu D H, Kirchmann P S, Krupin O, Yi M, Langner M, Huse N, Robinson J S, Chen Y, Zhou S Y, Coslovich G, Huber B, Reis D A, Kaindl R A, Schoenlein R W, Doering D, Denes P, Schlotter W F, Turner J J, Johnson S L, Först M, Sasagawa T, Kung Y F, Sorini A P, Kemper A F, Moritz B, Devereaux T P, Lee D H, Shen Z X, Hussain Z 2012 Nat. Commun. 3 838 doi: 10.1038/ncomms1837
    [200] Coslovich G, Huber B, Lee W S, Chuang Y D, Zhu Y, Sasagawa T, Hussain Z, Bechtel H A, Martin M C, Shen Z X, Schoenlein R W, Kaindl R A 2013 Nat. Commun. 4 2643 doi: 10.1038/ncomms3643
    [201] Coslovich G, Kemper A F, Behl S, Huber B, Bechtel H A, Sasagawa T, Martin M C, Lanzara A, Kaindl R A 2017 Sci. Adv. 3 e1600735 doi: 10.1126/sciadv.1600735
    [202] Zhang J J, Botana A S, Freeland J W, Phelan D, Zheng H, Pardo V, Norman M R, Mitchell J F 2017 Nat. Phys. 13 864 doi: 10.1038/nphys4149
    [203] Poltavets V V, Lokshin K A, Nevidomskyy A H, Croft M, Tyson T A, Hadermann J, Van Tendeloo G, Egami T, Kotliar G, ApRoberts-Warren N, Dioguardi A P, Curro N J, Greenblatt M 2010 Phys. Rev. Lett. 104 206403 doi: 10.1103/PhysRevLett.104.206403
    [204] Hepting M, Li D, Jia C J, Lu H, Paris E, Tseng Y, Feng X, Osada M, Been E, Hikita Y, Chuang Y D, Hussain Z, Zhou K J, Nag A, Garcia-Fernandez M, Rossi M, Huang H Y, Huang D J, Shen Z X, Schmitt T, Hwang H Y, Moritz B, Zaanen J, Devereaux T P, Lee W S 2020 Nat. Mater. 19 381 doi: 10.1038/s41563-019-0585-z
    [205] Sakakibara H, Usui H, Suzuki K, Kotani T, Aoki H, Kuroki K 2020 Phys. Rev. Lett. 125 077003 doi: 10.1103/PhysRevLett.125.077003
    [206] Lau B, Berciu M, Sawatzky G A 2011 Phys. Rev. Lett. 106 036401 doi: 10.1103/PhysRevLett.106.036401
    [207] Li F Y, Guo N, Zheng Q, Shen Y, Wang S L, Cui Q H, Liu C, Wang S P, Tao X T, Zhang G M, Zhang J J 2024 Phys. Rev. Mater. 8 053401 doi: 10.1103/PhysRevMaterials.8.053401
    [208] Zhang J J, Zheng H, Chen Y S, Ren Y, Yonemura M, Huq A, Mitchell J F 2020 Phys. Rev. Mater. 4 083402 doi: 10.1103/PhysRevMaterials.4.083402
    [209] Wang B Y, Zhong Y, Abadi S, Liu Y D, Yu Y J, Zhang X L, Wu Y M, Wang R H, Li J R, Tarn Y J, Ko E K, Thampy V, Hashimoto M, Lu D H, Lee Y S, Devereaux T P, Jia C J, Hwang H Y, Shen Z X 2025 arXiv: 2504.16372 [cond-mat.supr-con]
    [210] Li P, Zhou G D, Lv W, Li Y Y, Yue C M, Huang H L, Xu L Z, Shen J C, Miao Y, Song W H, Nie Z H, Chen Y Q, Wang H, Chen W Q, Huang Y B, Chen Z H, Qian T, Lin J H, He J F, Sun Y J, Chen Z Y, Xue Q K 2025 Natl. Sci. Rev nwaf205 doi: 10.1093/nsr/nwaf205
    [211] Shen J, Zhou G, Miao Y, Li P, Ou Z, Chen Y, Wang Z, Luan R, Sun H, Feng Z, Yong X, Li Y, Xu L, Lv W, Nie Z, Wang H, Huang H, Sun Y J, Xue Q K, He J, Chen Z 2025 arXiv: 2502.17831 [cond-mat.supr-con]
    [212] Sun W, Jiang Z, Hao B, Yan S, Zhang H, Wang M, Yang Y, Sun H, Liu Z, Ji D, Gu Z, Zhou J, Shen D, Feng D, Nie Y 2025 arXiv: 2507.07409 [cond-mat.supr-con]
    [213] Liu Y D, Ko E K, Tarn Y J, Bhatt L, Li J R, Thampy V, Goodge B H, Muller D A, Raghu S, Yu Y J, Hwang H Y 2025 Nat. Mater. 24 1221 doi: 10.1038/s41563-025-02258-y
    [214] Ding X, Fan Y, Wang X X, Li C H, An Z T, Ye J H, Tang S L, Lei M N, Sun X T, Guo N, Chen Z H, Sangphet S, Wang Y L, Xu H C, Peng R, Feng D L 2024 Natl. Sci. Rev. 11 nwae194 doi: 10.1093/nsr/nwae194
    [215] Sun W, Jiang Z, Xia C, Hao B, Yan S, Wang M, Li Y, Liu H, Ding J, Liu J, Liu Z, Liu J, Chen H, Shen D, Nie Y 2025 Sci. Adv. 11 eadr5116 doi: 10.1126/sciadv.adr5116
    [216] Li H X, Hao P P, Zhang J J e, Gordon K, Linn A G, Chen X L, Zheng H, Zhou X Q, Mitchell J F, Dessau D S 2023 Sci. Adv. 9 eade4418 doi: 10.1126/sciadv.ade4418
    [217] Du X, Kang L, Lv Y Y, Zhou J S, Gu X, Xu R Z, Zhang Q Q, Yin Z X, Zhao W X, Li Y D, He S M, Pei D, Chen Y B, Wang M X, Liu Z K, Chen Y L, Yang L X 2022 Nat. Phys. 19 40 doi: 10.1038/s41567-022-01829-z
    [218] Kang L, Du X, Zhou J S, Gu X, Chen Y J, Xu R Z, Zhang Q Q, Sun S C, Yin Z X, Li Y W, Pei D, Zhang J, Gu R K, Wang Z G, Liu Z K, Xiong R, Shi J, Zhang Y, Chen Y L, Yang L X 2021 Nat Commun 12 6183 doi: 10.1038/s41467-021-26078-1
    [219] Yashima M, Seto N, Oshita Y, Kakoi M, Sakurai H, Takano Y, Mukuda H 2025 J. Phys. Soc. Jpn. 94 054704 doi: 10.7566/JPSJ.94.054704
    [220] Zhang J J, Phelan D, Botana A S, Chen Y S, Zheng H, Krogstad M, Wang S Y G, Qiu Y M, Rodriguez-Rivera J A, Osborn R, Rosenkranz S, Norman M R, Mitchell J F 2020 Nat. Commun. 11 6003 doi: 10.1038/s41467-020-19836-0
    [221] Zong A, Zhang Q, Zhou F, Su Y, Hwangbo K, Shen X, Jiang Q, Liu H, Gage T E, Walko D A, Kozina M E, Luo D, Reid A H, Yang J, Park S, Lapidus S H, Chu J H, Arslan I, Wang X, Xiao D, Xu X, Gedik N, Wen H 2023 Nature 620 988 doi: 10.1038/s41586-023-06279-y
    [222] Yang L, Sinitsyn N A, Chen W B, Yuan J G, Zhang J, Lou J, Crooker S A 2015 Nat. Phys. 11 830 doi: 10.1038/nphys3419
    [223] Lin Z B, Zhigilei L V, Celli V 2008 Phys. Rev. B 77 075133 doi: 10.1103/PhysRevB.77.075133
    [224] Rothwarf A, Taylor B N 1967 Phys. Rev. Lett. 19 27 doi: 10.1103/PhysRevLett.19.27
    [225] Mohr-Vorobeva E, Johnson S L, Beaud P, Staub U, De Souza R, Milne C, Ingold G, Demsar J, Schaefer H, Titov A 2011 Phys. Rev. Lett. 107 036403 doi: 10.1103/PhysRevLett.107.036403
    [226] Tomeljak A, Schäfer H, Städter D, Beyer M, Biljakovic K, Demsar J 2009 Phys. Rev. Lett. 102 066404 doi: 10.1103/PhysRevLett.102.066404
    [227] Yang L X, Rohde G, Hanff K, Stange A, Xiong R, Shi J, Bauer M, Rossnagel K 2020 Phys. Rev. Lett. 125 266402 doi: 10.1103/PhysRevLett.125.266402
    [228] Lobad A I, Taylor A J 2001 Phys. Rev. B 64 180301 doi: 10.1103/PhysRevB.64.180301
    [229] Ruello P, Gusev V E 2015 Ultrasonics 56 21 doi: 10.1016/j.ultras.2014.06.004
    [230] Luo C W, Wu I H, Cheng P C, Lin J Y, Wu K H, Uen T M, Juang J Y, Kobayashi T, Chareev D A, Volkova O S, Vasiliev A N 2012 Phys. Rev. Lett. 108 257006 doi: 10.1103/PhysRevLett.108.257006
    [231] Avigo I, Cortés R, Rettig L, Thirupathaiah S, Jeevan H S, Gegenwart P, Wolf T, Ligges M, Wolf M, Fink J, Bovensiepen U 2013 J. Phys. : Condens. Matter 25 094003 doi: 10.1088/0953-8984/25/9/094003
    [232] Kabanov V V, Alexandrov A S 2008 Phys. Rev. B 78 174514 doi: 10.1103/PhysRevB.78.174514
    [233] Lai Y P, Chen H J, Wu K H, Liu J M 2014 Appl. Phys. Lett. 105 232110 doi: 10.1063/1.4904009
    [234] Wu G Q, Neumeier J J, Hundley M F 2001 Phys. Rev. B 63 245120 doi: 10.1103/PhysRevB.63.245120
    [235] Taneda T, Pepe G P, Parlato L, Golubov A A, Sobolewski R 2007 Phys. Rev. B 75 174507 doi: 10.1103/PhysRevB.75.174507
    [236] Zhan J, Gu Y H, Wu X X, Hu J P 2025 Phys. Rev. Lett. 134 136002 doi: 10.1103/PhysRevLett.134.136002
    [237] Kumar S, Fjellvåg Ø, Sjåstad A O, Fjellvåg H 2020 J. Magn. Magn. Mater. 496 165915 doi: 10.1016/j.jmmm.2019.165915
  • 加载中
图( 20)
计量
  • 文章访问数:  48
  • HTML全文浏览数:  48
  • PDF下载数:  3
  • 施引文献:  0
出版历程
  • 收稿日期:  2025-06-30
  • 刊出日期:  2025-09-05

层状镍基超导体的电子结构和超快动力学

摘要: 镍基超导体因其具有与铜基高温超导体相似的电子构型而受到广泛关注. 近期, 压力下双层镍氧化物La3Ni2O7中高达80 K的超导转变不仅引发了新一轮镍基超导研究的热潮, 也为非常规超导体的研究开辟了新方向. 层状镍基超导体在结构特征、超导性质以及电子结构方面与铜基、铁基超导体既具有相似性, 也存在显著差异. 对镍基超导体电子结构的深入研究有望揭示这些异同背后的物理机制, 为构建统一的理论模型提供关键依据, 从而推动非常规超导研究的发展. 此外, 非平衡态超快动力学的研究为非常规超导提供了新的视角和调控手段, 并逐渐成为非常规超导研究的重要手段之一. 本文聚焦于Ruddlesden-Popper相层状镍基超导体的电子结构与超快动力学研究, 系统回顾了角分辨光电子能谱和超快光反射率测量在镍基超导研究中的成功应用. 这些研究进展为理解非常规超导机制及其正常态性质提供了重要的实验信息.

English Abstract

    • 镍氧化物因其具有与铜基、铁基超导体类似的超导性质和电子结构特征, 长期以来备受凝聚态物理学界的关注. 随着无限层镍氧化物薄膜样品的成功合成及其超导现象的发现, 镍基超导体的实验研究正式拉开序幕, 同时也为非常规关联超导体系的研究提供了重要的材料平台[1]. 近期, Sun等[2]在高压下观察到R-P (Ruddlesden-Popper)相双层镍酸盐La3Ni2O7中高达80 K的超导转变, 引发了镍基高温超导研究的新热潮. 此后, 多个研究团队在加压条件下进一步证实了La3Ni2O7[29], Pr元素掺杂的La3Ni2O7[1012], La4Ni3O10和Pr4Ni3O10[7,1318]等R-P相的单晶体材料中的超导现象. 更加引人注意的是, 常压下La3Ni2O7和La2.85Pr0.15Ni2O7薄膜中也实现了超导转变, 并且其转变温度突破了麦克米兰极限[19,20]. 这些突破性的进展极大地激发了研究者们对于镍基超导机理的研究热潮: 理论上, 相关研究涵盖了从强关联模型到多轨道Hubbard模型的广泛探讨, 主要关注电子关联效应、轨道选择性以及配对对称性等核心问题[21117]; 在实验上, 多种探测手段, 例如输运、谱学表征、压力调控等被广泛应用, 为揭示超导和正常态电子行为提供了关键信息[3,512,1419,69,104,118170].

      电子结构的研究是深入理解超导体输运性质、构建有效理论模型的基础. 在铜基和铁基超导体中, 费米能级(EF)附近的电子态主要由电子关联性较强的3d电子主导[171174], 并且在其相图中超导相通常与磁性相邻[175,176]. 然而, 这两类超导体在电子结构和物理性质上存在显著差异. 铜基超导体基于Cu2+的3d9电子构型, 具有穿过EF的单带, 通常用单带Hubbard模型描述[177,178]. 相比之下, 铁基超导体具有Fe 3d6电子构型, 一般表现出多带和多轨道的特性[175]. 此外, 铜基超导体在转变温度以上通常表现出赝能隙[176,178], 而铁基超导体在正常态通常是坏金属[179]. 与铜基及铁基超导体类似, 镍基超导体也属于3d电子过渡金属化合物, 并且其相图和铜基、铁基超导体存在相似性, 但其电子结构更为复杂. 无限层镍氧化物薄膜超导体中Ni的电子构型接近铜基超导体中的3d9. 然而, R-P相的镍氧化物则显著偏离这一构型[180], 这说明镍基超导家族超导性质的复杂性. 另一方面, 镍基和铁基超导体都属于多带多轨道体系, 这和铜基的单带超导性质完全不同. 为了理解这些相似性和差异性对非常规超导的影响, 亟需从实验角度对镍基超导体的电子能带结构进行系统探测, 以厘清轨道贡献、电子关联性、竞争相等与超导性质的关系.

      对量子材料能带测量最直接的手段是角分辨光电子能谱(ARPES). 其基本原理是光电效应. 固体材料在受到光激发后, 逸出表面的光电子仍保持能量守恒和面内动量守恒. 通过分析光电子的能量和动量, 能够得出样品内部电子的能量-动量关系, 即能带结构. 进一步细致地分析光电子能谱, 还可以得到电声子耦合、电子关联等微观相互作用的信息, 从而为超导等多体关联物态提供重要的实验信息[172,176,178,181187]. 随着实验技术的发展, 目前的ARPES技术不仅能够探测电子能带结构, 而且能够探测电子的轨道成分、自旋结构、实空间局域信息、非平衡态动力学等信息, 还可以结合温度、元素掺杂、压力、栅压等调控手段, 对量子材料的电子态的演化进行追踪[183,188190].

      ARPES已经成为非常规超导研究的强大工具[178], 并被成功应用于铜基和铁基非常规超导的研究. 利用ARPES, 科学家不仅揭示了这些材料的基本电子结构, 还深入探讨了其中的关联效应和复杂现象. 例如, 在铜基超导体中, ARPES揭示了超导能隙和赝能隙的大小及对称性、电声子耦合导致的能带重整化等关键信息[178]. 而在铁基超导体中, ARPES则清晰地展现了多带多轨道特征、轨道依赖的电子关联、电子向列序、能隙对称性等重要性质[179,181,191]. ARPES还被广泛地应用于其他量子材料的研究, 为理解维度效应、拓扑物性、长程有序、电声耦合、新奇自旋劈裂等现象提供了关键实验信息[181,182,184,188]. 这些研究不仅推动了凝聚态物理的发展, 也为新型量子材料的探索和调控奠定了基础.

      R-P相镍基非常规超导体研究中, ARPES也发挥了重要作用, 系统研究了常压下镍基超导体费米面和强关联电子结构, 揭示了其中存在的平带、轨道依赖的重整化、“瀑布”型能带色散、非费米液体行为、能隙和赝能隙等特征[20,125,132,144,148,149,159,192195], 下文将结合不同的样品体系对这些性质进行系统的回顾.

      除了在平衡条件下电子结构的测量, 非平衡态动力学的探测也为理解非常规超导提供了新的视角. 超快激光脉冲具有在超短时间尺度上解耦不同自由度的独特能力, 并可以提取各类有序态的动力学信息, 包括弛豫过程、微观耦合性质和能隙动力学[196]. 基于泵浦-探测技术, 时间分辨的探测手段已被广泛用于研究不同系统中的密度波现象[197200]. 特别地, 超快光谱揭示了镍氧化物超导体中丰富的动力学行为, 例如光激发相涨落保持长程有序[199]、超快电荷局域化和赝能隙动力学[200]、振动对称性破缺过程[201]以及d波超导性的证据[164]. 但目前对于R-P相层状镍基超导体的超快动力学研究和瞬态调控研究仍较为缺乏.

      本文将系统地总结迄今为止在R-P相层状镍基非常规超导体的电子结构和超快动力学领域的阶段性研究成果. 首先介绍基本的晶体结构、费米面结构和能带特征, 着重聚焦于其中的强关联电子结构特点, 并关注重要的密度波转变对电子结构的影响. 其次, 将介绍R-P相镍基超导体的超快动力学行为, 关注其中的相干声子激发、电声子耦合以及温度和压力等调控手段对于密度波相变的影响. 总之, 镍基超导的研究方兴未艾, 对电子结构的系统性表征和超快动力学的研究将有助于增进对非常规超导性的理解. 本文中介绍的一些研究范式, 在未来其他非常规超导体系的研究中也将发挥重要的作用.

    • 图1所示为不同的R-P相镍基超导体的晶格结构. 根据每个元胞中Ni—O层数的不同, R-P相镍酸盐可以形成不同的Lnn+1NinO3n+1 (Ln = La, Pr, ···; n = 1, 2, 3···)结构[图1(a)(c)]. 其中Ni—O八面体构成的Ni—O层可以看作最基本的结构单元[192,202,203], 这类似于铜基高温超导体中的Cu—O层. 但是在双层和三层的镍酸盐中, 元胞中的Ni—O层通过共享的顶角氧原子连接, 这又和铜氧化物有所不同, 同时也暗示镍氧化物中层间耦合相对铜基超导更强. 在常压下, Ni—O八面体会发生Jahn-Teller畸变, 导致Ni—O层形成非平面结构, 这与铜基超导体中Cu—O层的理想平面构型形成鲜明对比. 在高压下, Ni—O八面体沿着c方向平行排列, Ni—O层也变成平面, 这一结构的改变被认为对高压下的超导行为至关重要, 但仍需进一步的探究[2,140].

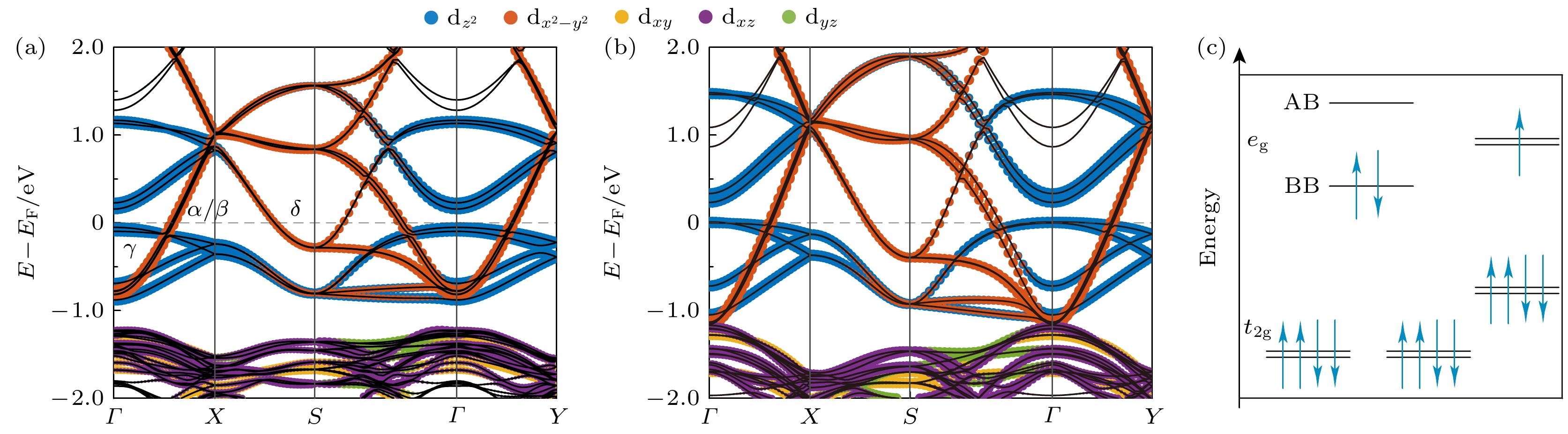
    • 早期的理论和实验表明, 镍基超导体和铜基超导体具有相似的3d9电子构型[204,205], 这也为无限层镍基超导材料的实验发现和研究提供了重要的指导. 然而, 对R-P相镍基超导电子结构的计算却表明体系中的电子构型和3d9有所差别. 以La3Ni2O7为例, 第一性原理计算揭示了R-P相镍基超导体的基本能带结构特征[2], 如图2所示. 由于Ni的3d电子之间的相互作用较强, 电子关联效应对镍氧化物的电子结构影响较大, 因此图2的计算中引入4 eV的在位库仑相互作用(U). 在位库仑相互作用将t2g能带推向了更高的结合能, 使得eg和t2g能带的相互作用减弱, 另一个重要的影响是原本穿越费米面的$ {\mathrm{d}}_{{z}^{2}} $轨道的平带顶降至EF以下[125,132].

      EF附近主要由Ni原子的3d轨道主导. Ni—O八面体的晶体场劈裂导致了eg和t2g轨道的分离, 其中, eg轨道分布在EF附近, 主要由$ {\mathrm{d}}_{{x}^{2}-{y}^{2}} $$ {\mathrm{d}}_{{z}^{2}} $轨道构成[图2(a), (b)], 全满的t2g轨道则离EF相对较远, 因此一般认为R-P相镍氧化物的基本物性主要由$ {\mathrm{d}}_{{x}^{2}-{y}^{2}} $$ {\mathrm{d}}_{{z}^{2}} $能带决定. 由于和顶角氧有关的层间σ键耦合, $ {\mathrm{d}}_{{z}^{2}} $轨道进一步劈裂为全满的成键带和全空的反键带. $ {\mathrm{d}}_{{z}^{2}} $轨道构成了沿Γ-X/Y方向的较为局域化的平带(γ带), 这也是σ键的特征, 而$ {\mathrm{d}}_{{x}^{2}-{y}^{2}} $能带仍然是基本简并的, 具有1/4填充[图2(c)]. 穿越EF$ {\mathrm{d}}_{{x}^{2}-{y}^{2}} $能带呈现明显的电子型色散, 相对$ {\mathrm{d}}_{{z}^{2}} $带的费米速度更大, 能带宽度也更宽[图2(a)]. 加压后, Ni—O双层之间的相互作用会增强, X/Y点处$ {\mathrm{d}}_{{z}^{2}} $轨道劈裂将扩大, 整体能带带宽增大. 此外, 随着顶角氧离子被空穴掺杂, $ {\mathrm{d}}_{{z}^{2}} $能带将向上移动并穿过EF, 在Γ点形成一个小的空穴费米口袋, 有理论工作认为这对应于σ键的金属化[2,30], 可能和高压下的超导转变有关. 受限于ARPES的探测能力, 本文主要关注镍基超导材料在常压下的电子结构.

    • 常压下La3Ni2O7能带结构计算结果(图2)可以由ARPES实验进行验证. 图3(a)中的三维图显示了ARPES测量的La3Ni2O7沿不同动量方向的总体能带结构[125]. 在图3(b)(d)中所展示的沿不同方向的能带色散中, 可以观察到$ \overline \varGamma $点或第二布里渊区$ {\overline \varGamma}'$点的电子带α和空穴带γ. α空穴从$ \overline \varGamma $色散到$ \overline{S} $附近, 形成电子带δ. γ带则形成一条平带, 带顶在费米能以下大约30 meV的地方. 为了和理论对比, 图2中将密度泛函理论(DFT)计算的能带重整化5倍后叠加到实验谱图中, 可以看出, DFT计算能够较好地重现实验结果. 色散较强的α带和δ带对应于理论计算中的$ {\mathrm{d}}_{{x}^{2}-{y}^{2}} $能带, 而较平的γ带则是$ {\mathrm{d}}_{{z}^{2}} $能带[图2(a)].

    • 图4(a), (b)中费米面计算结果表明, La3Ni2O7沿kz方向的色散较弱, 这可由光能依赖的ARPES实验证实[125]. 在其布里渊区中有三组费米面: 围绕Γ点的圆柱形电子口袋, 围绕X/Y点的圆柱形空穴口袋, 以及S点较小的电子型费米面. 这些特点在图4(c)的实验结果中均可以体现, 与计算结果符合得较好. 如果不考虑常压下Ni—O八面体的畸变, 费米面结构也可以看作围绕布里渊区中心的大矩形结构. 值得一提的是, 实验测得的La3Ni2O7的费米面呈现平直的准一维特征. 平行的费米面为互相嵌套提供了理想条件, 这可能会驱动系统向长程有序态转变. 使用分辨率更高的以7 eV激光为光源的ARPES, 在图4(d)中可以更清晰地看到由$ {\mathrm{d}}_{{x}^{2}-{y}^{2}} $轨道组成的围绕布里渊区中心的费米面.

      费米面上能带的轨道分布特性可以通过不同激发光偏振对应的光电子能谱的二向色性来研究. 图5对比了理论模拟和ARPES测量的费米面上光电子能谱的二向色性. 如图5(a), (d)所示, 如果构建的有效双层紧束缚模型仅包含Ni原子的eg轨道, 那么费米面上二向色性的分布与图5(b), (e)中的实验观测不符. 只有同时考虑了面内O原子的$ {\mathrm{p}}_{x/y} $轨道以后, 理论模拟才能重现出实验中观测到的二向色性强度, 如图5(c), (f)所示. 这表明Ni与O的强杂化形成了扩展的分子状平面轨道[159]. 这些轨道在费米面上的分布并不均匀: 在与Ni—O键成45°的方向上, 电子态由Ni的$ {\mathrm{d}}_{{x}^{2}-{y}^{2}} $与平面O的$ {\mathrm{p}}_{x/y} $轨道线性组合描述, 这类似于铜酸盐在节点附近的ZRS(Zhang-Rice)单态, 该对称性促使载流子沿两个Ni—O键方向均呈现各向同性运动, 从而解释了费米面该部分呈现近似圆形的特征[95]. 在沿Ni—O键的方向, 电子态由平面O的$ {\mathrm{p}}_{x} $与Ni的$ {\mathrm{d}}_{{3 x}^{2}-{r}^{2}} $或O的$ {\mathrm{p}}_{y} $与Ni的$ {\mathrm{d}}_{{3 y}^{2}-{r}^{2}} $轨道的线性组合描述, 这又类似于铜酸盐中的三自旋极化子(3SP). 3SP波函数的准单向性特征[206], 可能有助于解释这些区域费米面呈现准一维特征的原因[159].

    • 在高压下La3Ni2O7的超导性被发现不久, 研究者们就发现La3Ni2O7还存在另外一种结构: 单层-三层交替堆叠的1313结构 (相对于双层重复堆叠的2222结构)[129,207]. 计算的费米面和能带结构表明, 对比2222相, 1313相在Γ点附近增加了一个较小的Ni的$ {\mathrm{d}}_{{z}^{2}} $电子口袋(ε带), 并且平带在Γ'点附近分裂为两条能带: 一条以单层Ni的$ {\mathrm{d}}_{{z}^{2}} $为主(γ带), 另一条以三层Ni的$ {\mathrm{d}}_{{z}^{2}} $轨道为主. 此外, 1313相中α和β能带的多层分裂效应比2222相更为显著[193]. 实验也证实了计算结果, 如图6所示, 在沿不同高对称方向的能带测量中, 可以观察到预言的δ, γ和ε能带, 以及近乎简并的α/β能带. ε能带的存在与否, 明确区分了1313相与2222相, 分裂的γ能带进一步证实了1313结构的存在, 因此ε带和γ带的区别, 是两种相的主要定性差异.

      目前, 在Pr掺杂双层La2PrNi2O7多晶中的研究, 已经支持了2222相可以独立表现出超导性[3]. 而含有1313相的样品, 在高压下也表现出接近80 K的超导特征[155]. 目前对于1313相是否能独立承载超导性仍然存在疑问. 对两种不同结构的La3Ni2O7的精细电子结构的进一步研究将有助于回答这一问题.

    • 在R-P相的镍酸盐家族中, 三层结构的La4Ni3O10也表现出高压下的超导性. 虽然其超导转变温度相对较低, 但是其结构的复杂性(不同相的共生、缺陷、氧空位等)相对La3Ni2O7更为简单, 样品合成允许的氧压区间稍大[208], 样品质量一般更高. 对比研究双层和三层镍酸盐的电子结构将为理解镍氧化物的正常态和超导性质提供重要见解. La4Ni3O10每个元胞中有3个Ni—O八面体层, 层间耦合将导致$ {\mathrm{d}}_{{z}^{2}} $轨道杂化成成键态、反键态和不成键态3种. 因此, 理论上La4Ni3O10应该比La3Ni2O7多出一套能带.

      图7所示为常压下ARPES测得的La4Ni3O10的费米面和基本能带结构. 如图7(a)所示, α/β能带在Γ点附近分别形成一个近圆形和一个较大的圆角方形费米面, 图7(b)中的激光ARPES数据更清晰地展示了这一点. 图7(c)中沿$ \bar \varGamma\bar {X} $方向, α和β能带几乎简并, 而γ能带在接近EF时逐渐变平. 在第二布里渊区的$ \bar \varGamma'\bar {S} $方向, 也即沿图7(a)中的红色虚线方向, 平带γ更为清晰. 对比图3图7结果可以看出, 实验测得的La4Ni3O10的电子结构和La3Ni2O7的十分类似. 理论预期的额外的一套能带并没有在实验中观察到, 这可能是由于层间耦合导致的能带劈裂比较小, 还需要进一步更加精细的实验来探测.

    • R-P相镍基超导研究的一个重大突破是常压下薄膜样品中超导的发现. 通过将La3Ni2O7或Pr, Sr掺杂的La3Ni2O7薄膜生长在SrLaAlO4衬底上, 研究者发现薄膜样品在常压下即可表现出高达40 K的超导转变[19,167,212,213], 其中衬底对薄膜施加的应力起了重要的作用. 近期不同的研究组利用ARPES对超导薄膜样品的电子结构进行了测量. 图8(a)对比了ARPES测得的超导薄膜和体单晶材料常压下的能带, 两者虽然整体上比较相似, 但是在细节上存在一定的差别, 衬底带来的应力效应使得$ {\mathrm{d}}_{{x}^{2}-{y}^{2}} $能带上移而$ {\mathrm{d}}_{{z}^{2}} $能带下移, 但是$ {\mathrm{d}}_{{z}^{2}} $能带相对体单晶的能带移动比理论预言的结果小5—10倍[115,116]. 在臭氧处理的薄膜样品中, γ平带位于费米能以下约70 meV, 并不像理论预期的那样更接近费米能. 更加值得注意的是, 在不同研究组的实验中, $ {\mathrm{d}}_{{z}^{2}} $表现出较为明显的色散并且穿越了费米能级. 这一结果也引发了关于$ {\mathrm{d}}_{{z}^{2}} $平带在高压超导态中所起作用的重新思考和争论, 对超导薄膜样品电子结构的更精细测量是理解这一问题的关键.

      更加值得注意的是, 近期ARPES对超导薄膜样品的超导能隙结构给出了初步的探测结果[图8(c), (d)]. 不同研究组测到的超导能隙的大小较为接近, 为1—2 meV. 实验测得了无节点的超导能隙, 和铜基超导体的d波对称性的超导能隙不同. 实验还表明超导能隙在超导转变温度以上很高的温区依然存在, 这一结果进一步促使研究者思考超导能隙和赝能隙之间的关系.

    • 近年来, 随着薄膜制备技术的提升, 用ARPES研究无限层镍氧化物超导体成为可能[214,215]. 图9所示为ARPES测量的La0.8Ca0.2NiO2薄膜的费米面结构和费米能附近的能带色散[214]. 如图9(a)所示, La0.8Ca0.2NiO2的费米面由中心位于布里渊区角落的一个准二维空穴口袋和一个三维的电子口袋组成, 总体上和R-P相镍基超导的电子结构有所不同. 无限层镍基材料并没有像R-P相镍基材料那样表现出较为平直的费米面结构, 其费米能附近也没有$ {\mathrm{d}}_{{z}^{2}} $轨道贡献的平带. 对两类镍基超导材料电子结构的进一步对比研究将有助于揭示镍基超导背后的关键物理机制.

      值得一提的是, 尽管无限层镍酸盐中的α能带总体上捕捉到了铜氧化物中ZRS单态能带的色散特征, 但它们的超导掺杂范围相距甚远. 母体化合物LaNiO2中α能带的掺杂水平已处于铜氧化物的超导区域, 而超导材料La0.8Ca0.2NiO2则位于铜氧化物高度过掺杂且非超导的区域, 这些差异性, 说明了铜基和无限层镍基超导的电子态具有本质的不同[214].

      除了R-P相和无限层的镍基材料以外, 还有一类平面型镍酸盐如R4Ni3O8也受到了关注. 其中Ni的电子构型接近d9态, 平均轨道占据数为d8.67, 名义上对应于铜酸盐相图中的重掺杂区域. 如图10(a)所示, Pr4Ni3O8的费米面比R-P相镍酸盐La4Ni3O10简单许多[216], 穿越费米能的态主要来源于$ {\mathrm{d}}_{{x}^{2}-{y}^{2}} $轨道. Pr4Ni3O8的能带色散表现出明显的瀑布型色散, 和铜基超导体的能带色散的高能扭折类似. 但是其色散在低能并未伴随能带扭折现象的出现, 这和R-P相的La4Ni3O10中的结果类似[144], 但是与铜基超导体显著不同.

    • 在R-P相镍基超导La3Ni2O7和La4Ni3O10中, 如图3图7所示, 均能观测到费米能附近的γ平带, 这是强电子关联效应和电子局域化的重要特征. 费米能附近的平带通常会贡献较大的态密度, 对低能电子输运行为造成重要的影响. 有理论工作指出R-P相镍酸盐高压下的超导行为与体系中的平带有关, 但具体平带如何影响超导仍需要进一步的探究.

      值得注意的是, 不同实验测得的La3Ni2O7中Ni的$ {\mathrm{d}}_{{z}^{2}} $平带的位置有所区别, 由EF下方50—20 meV不等[125,132] (例如图11中平带位于费米能以下约50 meV处), 这可能是由于所测La3Ni2O7样品的结构复杂性导致的[193]. 对于样品相更为纯净的La4Ni3O10, 目前的实验观测结果则较为一致, 均为约20 meV[144,192]. 这些低能Ni的$ {\mathrm{d}}_{{z}^{2}} $平带位置的差异可能对解释不同层状结构镍酸盐的超导性具有重要意义. 此外, 在目前所有观测到平带且进行了温度依赖的ARPES实验中, 受限于数据质量、样品质量和仪器分辨能力, 对于平带位置随着温度的变化行为, 仍未达成完全的一致, 需要进一步的实验和理论探究. 但整体来说, 平带位置随温度变化很小. La3Ni2O7的平带能量位置在输运曲线出现扭折的温度上下没有表现出明显的随温度的变化[125,132]. 而在La4Ni3O10中, 平带在密度波相变温度上下是否逐渐打开能隙仍存在争议[144,192].

    • 在强关联体系中, 常常可以观测到能带有效质量的重整化, 这是多体相互作用对电子动力学行为的修正, 表现为准粒子有效质量及带宽的显著变化. 通过图3中ARPES实验数据和DFT计算的对比可以看出, 计算得到的电子结构需要重整化大约5倍才能较好地重现实验结果, 这表明R-P相镍氧化物中电子关联性比较强. 更有意思的是, 不同轨道的能带所对应的重整化因子有明显的不同. 在图3中, 经过5倍的重整化后, DFT计算的$ {\mathrm{d}}_{{z}^{2}} $轨道的γ平带和实验符合较好, 但是Ni $ {\mathrm{d}}_{{x}^{2}-{y}^{2}} $轨道的α/β带和实验结果(图3中的白色虚线所示)有明显的差别. $ {\mathrm{d}}_{{x}^{2}-{y}^{2}} $轨道贡献的α/β带对应的重整化因子在1.8—4之间, 远小于$ {\mathrm{d}}_{{z}^{2}} $轨道贡献的γ带对应的5—8.3[125,132].

      此外, 不同的堆叠构型或者结构也会影响不同轨道间的关联强度. 在1313结构的La3Ni2O7中, $ {\mathrm{d}}_{{x}^{2}-{y}^{2}} $轨道和$ {\mathrm{d}}_{{z}^{2}} $轨道的能带对应的重整化因子分别为4和5—7, 与2222相有所区别[193]. 在三层结构的La4Ni3O10中, $ {\mathrm{d}}_{{x}^{2}-{y}^{2}} $轨道和$ {\mathrm{d}}_{{z}^{2}} $轨道能带的重整化因子分别为2.2—3和5[192]. 由于$ {\mathrm{d}}_{{z}^{2}} $轨道衍生的γ带为平带, 不同实验确定的重整化因子方差相对更大, 但这个轨道更为局域化则是共识.

    • 在多轨道电子系统中, 洪特耦合会影响电子在不同轨道上的占据方式. 其倾向于让电子尽可能占据不同的轨道以减少电子间的库仑排斥力. 由于镍氧化物的多轨道特征, 洪特耦合在R-P相镍酸盐的电子结构中起了重要的影响. 例如, 双层两轨道模型指出, $ {\mathrm{d}}_{{x}^{2}-{y}^{2}} $$ {\mathrm{d}}_{{z}^{2}} $轨道的自旋通过在位铁磁洪特耦合相互作用, 这可以导致很强的层间自旋交换, 会大大增强双层体系中的超导配对[27,53].

      如前所述, DFT计算不能重现实验观察到的轨道依赖的电子关联性, 即使增加了在位库仑相互作用U. 只有在考虑了洪特耦合时, 图12所示的动力学平均场理论(DMFT)的计算才能较好地重现轨道依赖的电子关联性[36,78,132]. 此外, 洪特耦合使得$ {\mathrm{d}}_{{z}^{2}} $能带变得更平, 因此极大地增大了电子的有效质量. 洪特耦合还极大地增大了电子自能虚部, 使得载流子寿命和温度成反比. 这一定程度上可以解释实验观察到的反常金属行为[36,78,132]. 通过对比图3的ARPES实验结果和图12的DMFT计算结果, 可以看出, 在离费米能级较远的地方, 电子能谱的展宽较为明显, 并且表现出和铜氧化物的高能扭折类似的“瀑布”型色散. 这些特征都和体系内由洪特耦合增强的电子关联有关.

    • 在朗道的费米液体图像中, 电子之间的相互作用较弱, 低能激发可以用类似自由电子的准粒子描述. 但是在强关联体系中, 电子之间的强相互作用破坏了准粒子的相干性, 低能激发往往会表现出非相干、临界行为或分数化激发的特征[217]. 在ARPES测得的能带上, 一般表现为EF附近的谱峰变宽或消失, 剩余谱重一般服从幂律分布[218]. 在La3Ni2O7中, 如图13(a)所示, 激光ARPES测得的α/β带的谱重在接近EF时逐渐降低, 在19—120 K的大温度范围内, α带的谱重在EF附近受到强烈抑制, EF附近缺少准粒子峰, 表现出非费米液体的行为. 随着温度升高, 谱重抑制程度逐渐减小, 这可以从kF处能量分布曲线(EDC)的前沿向EF的逐渐移动中看出. 即使在120 K时, EDC前沿仍离EF有一定距离[125], 且EF附近没有明显的准粒子峰, 超出了典型费米液体图像的预期. 另一方面, 静态红外光谱研究和超快光学的研究也揭示了La3Ni2O7的非费米液体行为[124,126]. 这些实验观察到的非费米液体行为和理论预期一致[45,82]. 理论工作还预言高压下La3Ni2O7Fmmm相中存在的非费米液体态与超导态密切相关[24,45]. 在La3Ni2O7薄膜中, 这样的非费米液体行为也被观察到, 表现为超导相干峰在低温下被强烈抑制[20].

    • R-P相镍酸盐中普遍存在电荷、自旋及轨道的有序态, 例如NdNiO3薄膜中与晶格畸变有关的电荷密度波态, 其调制周期与Ni—O八面体的倾斜模式有关. 较早的La3Ni2O7相关的研究认为其电阻率曲线上不同温度的扭折行为和电荷密度波态的形成有关. 然而, 近期μ子自旋共振、核磁共振及共振非弹性X光散射实验却揭示出La3Ni2O7中150 K附近的磁有序态[118,119,156,169,170], 和理论预期一致[27]. 核四极矩共振实验进一步揭示了其中的电荷和自旋密度波调制[71,117,219]. 和La3Ni2O7类似, La4Ni3O10中也存在交织的电荷密度波和自旋密度波, 并且密度波态早在La3Ni2O7高压超导态之前就被实验发现[220].

      图14对比了La3Ni2O7和La4Ni3O10单晶的电阻率随温度的变化曲线. 可以看出, La4Ni3O10在132 K附近表现出电阻率的陡峭上升, 这和密度波态的形成直接相关. 而在La3Ni2O7中, 密度波态在电阻率曲线上只表现为微弱的扭折, 这可能是由于La3Ni2O7中的结构复杂性导致的密度波态涨落.

    • 图13所示的激光ARPES测量的La3Ni2O7的α能带随温度的变化中可以看出, 光电子能谱的谱重在费米能级附近被压制, 准粒子峰消失. 能谱在EF附近没有表现出被费米-狄拉克函数截断的特征. 从费米动量(kF)的EDC随温度的变化[图15(a), (b)]可以看出, EDC的曲线前沿随着温度降低逐渐远离EF, 表示低温下有能隙形成, 可能和体系内的电荷/自旋密度波态有关. 由于缺乏准粒子峰, 我们把这个能隙称为赝能隙(pseudogap). 在很多关联电子材料中都观察到费米能附近谱重压制形成的赝能隙, 但需注意这和铜基超导体系中超导转变温度以上形成的赝能隙有所不同.

      La4Ni3O10单晶质量更高, 没有La3Ni2O7中的结构复杂性, 因此ARPES谱的质量更高. 图15(c)(f)所示为沿着不同动量方向测量的kF处的EDC随温度的变化. La4Ni3O10EF附近存在较为明显的准粒子峰, 虽然受到电子关联等影响, 准粒子峰强度较低, 峰宽较宽. 这说明La3Ni2O7中观察到的准粒子峰缺失和其中的结构复杂性存在一定关系.

      沿着$ \bar \varGamma\bar {X} $方向, 准粒子峰相对较弱但依然可 以辨别. 随着温度降低, EDC峰的强度逐渐上升, 同时kF处的EDC前沿逐渐远离EF. 不同温度EDC前沿并没有交于一点, 这说明低温下在EF附近有能隙打开. 图15(c), (d)展示了EDC前沿中点的位置随温度的移动, 表明在密度波转变温度(约132 K)以下有能隙打开. 沿着$ \bar\varGamma\bar{S} $方向, 存在两条几乎简并的不同温度的EDC前沿几乎交于同一点, 表明在这个动量方向上能隙相对于$ \bar \varGamma\bar {X} $方向小得多. 这种能隙的各向异性可能和不同轨道之间以及不同能带之间的相互作用有关. La3Ni2O7和La4Ni3O10低温下能隙行为的不同和其电阻率测量结果一致. 很可能La3Ni2O7中的结构复杂性导致了密度波态的涨落, 导致没有形成严格定义的密度波能隙. 值得注意的是, ARPES测得的La3Ni2O7和La4Ni3O10的低温下“能隙”较为接近, 均在10 meV的量级, 这和光谱实验的结果差别较大[126].

      R-P相镍氧化物中的赝能隙行为早在之前对单层结构(每个元胞中有一个Ni—O层)的Eu0.9Sr1.1NiO4的研究中就有过报道. 而且与La4Ni3O10中的结果类似, 存在能隙的各向异性. 但是在Eu0.9Sr1.1NiO4中主要聚焦于β带的能隙. 沿着节点方向, β带是无能隙的. 而反节点区域, 尖锐的准粒子峰被压制, ARPES谱表现出约100 meV的赝能隙特征, 这一结果似乎类似于铜基的超导能隙对称性[178].

      更加引人注意的是, 常压下超导的La3Ni2O7薄膜中, 在超导态也存在一个能隙, 且这个能隙的大小存在动量依赖, 最小处约为13 meV. 这个能隙表现出电子-空穴对称行为, 并持续到远高于超导转变温度. 另一方面, 超导相干峰在低温下被强烈抑制, 表明除了超导能隙外还可能存在赝能隙[20]. 目前ARPES测量的超导薄膜的数据质量还受到限制. 对能隙和赝能隙的进一步高质量表征, 将对未来镍基超导性质的研究起到决定性的影响.

    • 非平衡态下的超快动力学是近年来凝聚态物理研究的热门方向. 时间分辨的光学泵浦-探测技术因其对能隙的高敏感性, 已被广泛用于研究超导、密度波等长程有序态的超快动力学过程[221,222]. 具有高灵敏度、飞秒级时间分辨率和微米级空间分辨率的超快光学技术, 还为直接探测复杂相变过程中的对称性变化和有序态转变提供了时间域内的新视角和新信息. 在时间分辨实验中, 泵浦激光脉冲激发和调控材料的光学响应(通常是不同时间延迟下的反射率相对变化ΔR/R), 而延迟探测激光脉冲则用于追踪准粒子态或序参量的时间演变. 相较于静态光谱, 时间分辨技术既能规避静态背景干扰, 又可以捕捉超快动力学过程, 还能在不同时间尺度上区分静态条件下耦合的不同自由度. 现有对R-P相镍基超导体的超快动力学研究工作相对较少, 由于可能的样品质量和激发探测条件的不同, 目前的实验结果也并未完全达成一致, 以下将进行简要介绍.

    • 图16所示为La4Ni3O10的瞬态光学反射率随时间延迟的变化. 样品被超快脉冲激发光(脉冲宽度约30 fs)瞬时激发后, 其反射率先急剧增加, 随后呈指数衰减. 通过分析瞬态反射率的增加和 弛豫过程, 可以得到体系内载流子的寿命、有序态的能隙、微观的相互作用等关键信息. 在80 K下, La4Ni3O10的瞬态反射率的特征弛豫时间约为0.57 ps, 而随着温度升高, 瞬态反射率变化的幅度在密度波转变温度(约为132 K)附近出现下降, 而弛豫时间则表现出显著的发散行为[图16(a), (b)]. 这种发散行为可以通过R-T (Rothwarf-Taylor)模型理解. 该模型旨在阐明由载流子能隙引起的弛豫瓶颈效应[223,224], 在该模型中, 载流子寿命和能隙大小成反比, 在有序态相变温度附近, 能隙闭合, 载流子寿命表现出发散行为. 通过对R-T模型的拟合可以得出, La4Ni3O10在零温下的密度波能隙为Δ0 = 16.7±4.3 meV, 与之前的ARPES的测量结果一致[144,192].

    • La3Ni2O7瞬态反射率的变化与La4Ni3O10存在定性的不同. 总体来说La3Ni2O7在80 K下的特征弛豫时间比La4Ni3O10更长, 表明La3Ni2O7中的载流子弛豫通道较窄. 此外, 反射率变化的幅度和弛豫时间均随着温度的升高而单调下降[124][图17(c), (d)], 并不像La4Ni3O10中在密度波转变温度附近出现发散行为. 值得一提的是, 也有不同研究组的报道显示两者的整体温度依赖行为基本一致[127]. 图17(c), (d)中瞬态反射率变化的幅度和弛豫时间在特定温度点附近存在斜率的变化, 这可能与电阻率或其他输运测量中呈现的扭折特征有关, 这表明La3Ni2O7中密度波态的形成的确对载流子的动力学行为有影响, 但是不如La4Ni3O10中明显. 此外, La3Ni2O7中散射率, 即弛豫时间的倒数, 在较高温度下呈现线性的温度依赖性, 与之前的红外光谱实验结果一致[126], 表明系统中可能存在非费米液体行为.

      输运、ARPES, 以及超快反射率的实验都表明La3Ni2O7和La4Ni3O10中的密度波态行为有所不同. La4Ni3O10表现出典型的密度波态行为, 有比较明确的密度波能隙. 而La3Ni2O7受到样品中共生相和氧缺陷等结构复杂性的影响, 密度波态在一定程度上表现出短程涨落的特征.

    • 泵浦强度调控是非平衡态调控的重要手段. 如图18(a), (b)所示, 随着激发光流强增大, La3Ni2O7中光激发载流子也随之增加, ΔR/R的幅度随泵浦光强单调增加, 并在高光强区域出现饱和或斜率变化的迹象. 而弛豫时间随泵浦光强持续下降, 这些行为与La3Ni2O7的温度依赖实验类似. 然而, 在La4Ni3O10中, 泵浦光强在48 μJ/cm2的阈值附近存在振幅显著偏离线性变化的行为, 并且弛豫时间表现出发散行为[图18(c), (d)]. 由R-T模型可知, 弛豫时间尺度的发散是能隙闭合的迹象, 表示密度波态能隙被超短激光脉冲抑制. 48 μJ/cm2的阈值流强对应于每个单胞约5.4 meV, 比电子凝聚能0.42 meV高了约一个数量级. 这一观察结果与较为典型的激子CDW材料TiSe2的结果相反[225], 但与典型的Peierls CDW材料(K, Rb)0.3MoO3中的结果一致, 其中大量光子能量沉积到晶格中[226,227].

    • 晶格原子的振动对材料的物理性质有重要影响. 电声子耦合是超导研究中不可忽视的微观相互作用. 图19(a)对比了La3Ni2O7和La4Ni3O10在室温下的拉曼光谱[124]. 在高频范围(200—600 cm–1), La3Ni2O7和La4Ni3O10中较为明显的声子分别位于564 cm–1 (16.92 THz)和396 cm–1 (11.88 THz). 值得注意的是, La4Ni3O10在200 cm–1以下表现出更多的低频声子, 这可能是由于其更复杂的三层结构和较低的晶体对称性, 允许更多的声子模式出现. 更详细的声子色散信息可以从声子谱的计算[60,66,72,75,108,112]和中子散射实验[119,156]得到.

      在光激发下, 符合一定对称性要求的光学声子模式将通过受激拉曼散射、位移型激发相干声子等机制被选择性激发[228,229]. 由于声子模式对电子结构以及反射率的影响, 可以通过瞬态反射率探测相干声子的激发. 在La4Ni3O10中, 可以观察到多个相干声子激发[124], 最显著的声子模式位于3.87 THz(129 cm–1). 图19(b), (c)显示了这个涉及La, Ni和O原子集体运动的Ag声子模式, 其频率随温度升高逐渐软化[图19(d)]. 在三层单胞内, La原子主要在平面内振动, 外层Ni原子表现出面外和面内振动, 而内层Ni原子保持静止, 顶端O原子主要在平面内振动, 而面内O原子在面内和面外方向振动. 这一声子模式也在La4Ni3O10的拉曼光谱中观察到, 但在La3Ni2O7中并不存在, 这可能是由于这种具有Ag对称性的集体运动涉及多个Ni—O层原子的不同振动, 在双层La3Ni2O7中由于对称性限制无法被超短激光脉冲激发.

    • 在超快动力学中, 特征弛豫时间的尺度由和各种散射通道的耦合强度决定. 如果载流子弛豫由电声子耦合(EPC)主导, 可以基于双温度模型导出的关系$ \tau ={\pi }{k}_{\mathrm{B}}{T}_{\mathrm{e}}/\left(3\hslash \lambda \left\langle{{\omega }^{2}}\right\rangle\right) $, 并结合材料的参数, 对EPC常数($ \lambda $)进行估计[230232], 其中$ {k}_{\mathrm{B}} $$\hslash $分别是玻尔兹曼常数和约化普朗克常数, $ \lambda \langle{{\omega }^{2}} \rangle $是Eliashberg函数的二阶矩, $ {T}_{e} $是通过双温度模型估计的电子温度. 使用这个简单模型可以得到La3Ni2O7和La4Ni3O10$ \lambda \langle{{\omega }^{2}} \rangle $分别为37.78 meV2和123.55 meV2. 由于初始热化后, 与德拜声子的相互作用是热载流子弛豫的最有效通道, 使用德拜声子估计$ \langle{{\omega }^{2}} \rangle $是合理且常用的, 即$ \langle{{\omega }^{2}} \rangle\propto{\varTheta }_{\mathrm{D}}^{2} $[223,233], 其中$ {\varTheta }_{\mathrm{D}} $是德拜温度. 对La3Ni2O7和La4Ni3O10, $ {\varTheta }_{\mathrm{D}} $分别为383 K(33.0 meV)[234]和459 K(39.6 meV)[14], 可以得到$ \lambda $ = 0.05—0.07和$\lambda $ = 0.12—0.16, 这些值与使用$ \lambda \approx \hslash /\tau {\varOmega }_{\mathrm{D}} $粗略估计出的0.04和0.11结果一致, 其中$ {\varOmega }_{\mathrm{D}} $是德拜频率[235].

      Eliashberg函数的二阶矩也可以通过理论计算给出, 从而得出EPC常数, 结果约为0.1[236], 以上估计与输运实验给出的$ \lambda $ = 0.124[237]较为一致. 因此, R-P相镍氧化物中的电声子耦合比铜基超导材料里小得多. 值得注意的是, 常压下估计的弱EPC常数不应完全排除EPC在高压下高温超导性中的作用. 高压下电声子耦合的大小在理论计算工作中还存在一定的争议, 有计算工作预测, 在加压的La3Ni2O7中, EPC常数可能高达1.75[58], 这还需要进一步的实验研究.

    • 随着实验探测技术的进展, 目前已经可以开展高压下超快反射率的测量. 图20所示为不同压力下La3Ni2O7的瞬态反射率的弛豫时间随温度的变化. 结果表明, 密度波能隙在13.3 GPa以上被抑制, 并在约26 GPa时完全消失. 值得注意的是, 在压力超过29.4 GPa时, 可能出现另一种密度波有序, 其转变温度约为135 K, 这两种对应于不同压强区间的密度波序, 可能与自旋密度波(SDW)序和CDW序的消失和出现有关. 同时在高压和低温条件下进行泵浦-探测的超快光谱实验具有挑战性, 目前相关工作较少, 但由于R-P相镍基超导单晶样品对于加压的要求, 加压下的超快光学表征仍大有可为.

    • 本文系统回顾了R-P相镍基超导体的电子结构及其关联物性, 主要基于ARPES和超快反射率实验的研究成果展开讨论. 现有的研究表明, R-P相镍基超导体具有复杂的多带多轨道电子结构, 并表现出显著的强关联效应. 通过ARPES实验和理论计算的结合, 研究者成功揭示了其拓扑费米面结构、平带特征、“瀑布”状的能带色散、轨道依赖的准粒子重整化以及非费米液体行为等重要性质, 并观测到能隙、赝能隙及密度波序的迹象. 超快反射率实验进一步揭示了这些材料中的非平衡动力学行为, 包括能隙相关的激发和弛豫、电声子耦合作用等. 这些研究不仅深化了对R-P相镍基超导体电子结构的认识, 而且为探索强关联体系中的新奇量子态提供了实验依据.

      尽管对镍基超导体的研究已经取得了突破性进展, 但仍有许多关键问题亟待解决. 通过对其电子结构和超快动力学的研究, 有望对以下问题做出更深刻的理解: 1)非常规超导体的超导机制是长期悬而未决的问题, 在镍基超导中电子关联所起的作用需要进一步的理解; 2)洪特耦合的作用以及高压下电子结构的演化仍需更进一步的理论与实验验证; 3)不同层数、堆叠构型、样品状态对电子结构和超导性质的影响尚未完全明确, 需通过更高精度的实验区分其低能电子行为; 4)密度波与超导的竞争或共存关系目前尚未完全清楚, 密度波能隙和赝能隙的起源, 需要结合更多实验手段加以阐明; 5)超快动力学研究揭示了非平衡态下电子与声子的相互作用, 未来可通过压力、光场等多物理场调控, 探索超导增强或新量子态的可能性.

      展望未来, R-P相镍基超导体为研究高温超导机制提供了新的材料平台, 其独特的电子结构为探索多轨道关联物理、维度效应和超导性质开辟了新的方向. 结合实验技术的进步与理论模型的逐步精细化, 并通过比较的视角和现有的铜基与铁基超导体进行对比, 可以增进对非常规超导机制的理解, 并最终为更高临界温度的超导材料的设计、制备和应用提供指导.

    参考文献 (237)

目录

/

返回文章
返回