极微型双曲面线性离子阱的模拟研究

上一篇

下一篇

何云帆, 朱洪良, 杨卓青, 王艳, 丁桂甫, 孙久文, 魏东亭, 刘民, 姚锦元. 极微型双曲面线性离子阱的模拟研究[J]. 质谱学报, 2025, 46(5): 542-553. doi: 10.7538/zpxb.2025.0018
引用本文: 何云帆, 朱洪良, 杨卓青, 王艳, 丁桂甫, 孙久文, 魏东亭, 刘民, 姚锦元. 极微型双曲面线性离子阱的模拟研究[J]. 质谱学报, 2025, 46(5): 542-553. doi: 10.7538/zpxb.2025.0018
Yun-fan HE, Hong-liang ZHU, Zhuo-qing YANG, Yan WANG, Gui-fu DING, Jiu-wen SUN, Dong-ting WEI, Min LIU, Jin-yuan YAO. Simulation Study of an Extremely Miniature Hyperbolic Linear Ion Trap[J]. Journal of Chinese Mass Spectrometry Society, 2025, 46(5): 542-553. doi: 10.7538/zpxb.2025.0018
Citation: Yun-fan HE, Hong-liang ZHU, Zhuo-qing YANG, Yan WANG, Gui-fu DING, Jiu-wen SUN, Dong-ting WEI, Min LIU, Jin-yuan YAO. Simulation Study of an Extremely Miniature Hyperbolic Linear Ion Trap[J]. Journal of Chinese Mass Spectrometry Society, 2025, 46(5): 542-553. doi: 10.7538/zpxb.2025.0018

极微型双曲面线性离子阱的模拟研究

    通讯作者: 本文通信作者姚锦元
  • 中图分类号: O657.63

Simulation Study of an Extremely Miniature Hyperbolic Linear Ion Trap

    Corresponding author: Jin-yuan YAO, jyyao@sjtu.edu.cn
  • MSC: O657.63

  • 摘要: 随着微机电系统(micro-electro-mechanical system, MEMS)工艺的快速发展,芯片级质谱仪的研制逐渐成为分析仪器领域的新焦点。微型质量分析器是芯片级质谱仪的核心器件,本工作基于非硅MEMS工艺下可实现的1 mm场半径极微型双曲面线性离子阱(miniature-hyperboloid linear ion trap, M-HLIT)质量分析器,采用理论模拟方法研究了2种不同结构M-HLIT的质量分析性能。在理想结构中,系统研究了共振激发交流(alternatingcurrent, AC)信号幅值和频率、射频(radio frequency, RF)信号频率等电参数对质量分辨率的影响。在“拉伸”结构中,优化了“拉伸”比(ry/rx)、开槽宽度d、电极截断距离h等结构参数。模拟结果表明,通过对M-HLIT的系统性优化,m/z 117离子的最高质量分辨率可达551,优于相同尺寸的简化电极线性离子阱;当扫描速率降至600 Th/s时,质量分辨率可提升至1 376。该M-HLIT在处理低m/z离子时存在一定局限性,但在处理高m/z离子时具有优势。优化后的M-HLIT体积仅0.62 cm3,为传统微型线性离子阱体积的25.5%,这为芯片级质谱仪中微型质量分析器的设计提供了有效解决方案,可有力推动原位快检质谱分析技术的发展。
  • 加载中
  • 图 1  M-HLIT截面图

    Figure 1.  M-HLIT cross-section

    图 2  不同AC电压下的离子运动轨迹

    Figure 2.  Ion trajectories of ions with different AC voltages

    图 3  不同AC电压下的质谱图

    Figure 3.  Mass spectra with different AC voltages

    图 4  质量分辨率与RF频率的关系

    Figure 4.  Relationship between mass resolution and RF frequency

    图 5  不同RF频率下,质量分辨率与fAC/fRF的关系

    Figure 5.  Relationship between mass resolution and fAC/fRF with different RF frequencies

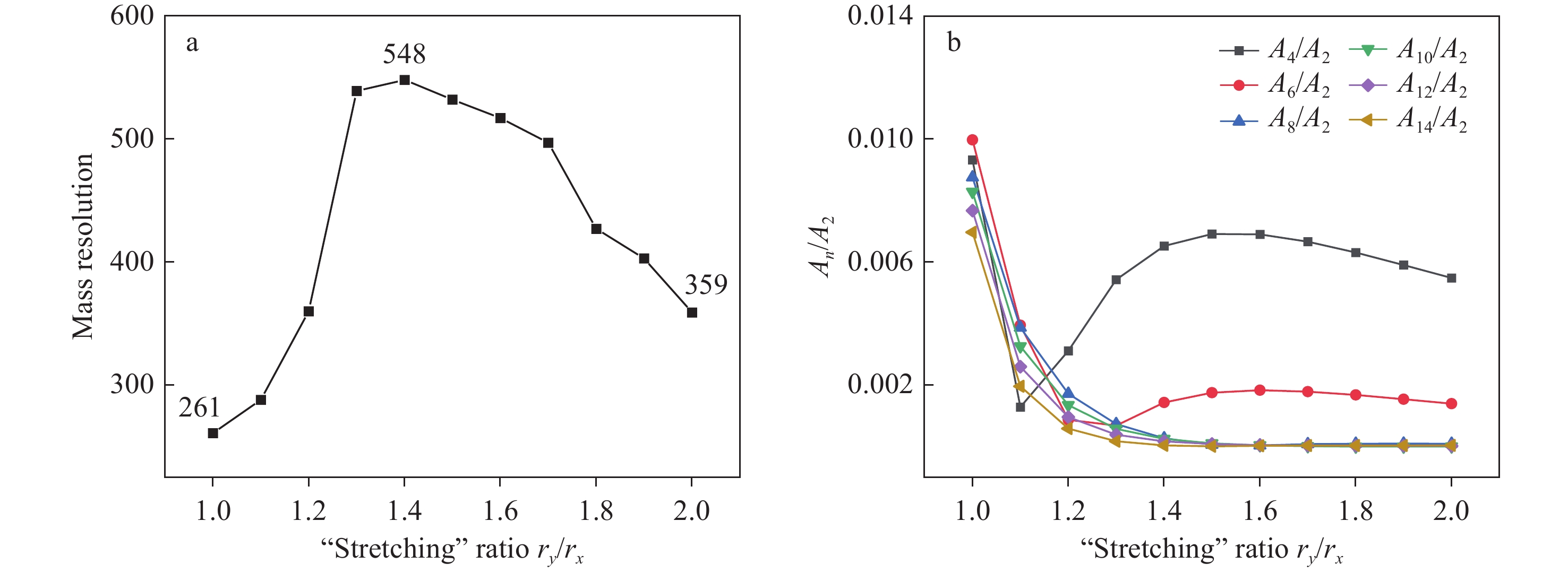
    图 6  “拉伸”比ry/rx与质量分辨率(a)、电场成分(b)的关系

    Figure 6.  Relationship between “stretching” ratio ry/rx and mass resolution (a), electric fields components (b)

    图 7  不同槽宽度下,质量分辨率与“拉伸”比ry/rx的关系

    Figure 7.  Relationship between mass resolution and “stretching” ratio ry/rx with different slots widths

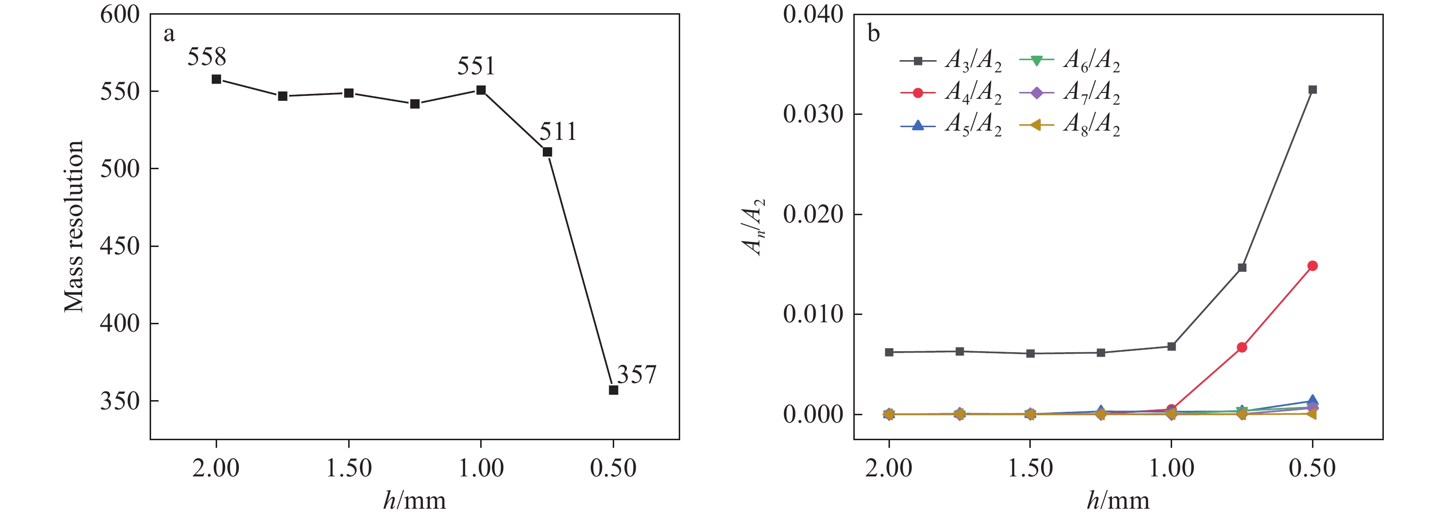
    图 8  M-HLIT的电极截断长度与质量分辨率(a)和电场成分(b)的关系

    Figure 8.  Relationship between M-HLIT electrode truncation length and mass resolution (a), electric field composition (b)

    图 9  M-HLIT在不同扫描速率下的质谱图

    Figure 9.  Mass spectra of M-HLIT with different scan rates

    图 10  不同m/z范围的质谱图

    Figure 10.  Mass spectra of different m/z ranges

    图 11  不同m/z范围离子的运动分布图

    Figure 11.  Distribution of ion motion with different m/z ranges

  • [1] LI C, CHU S, TAN S, YIN X, JIANG Y, DAI X, GONG X, FANG X, TIAN D. Towards higher sensitivity of mass spectrometry: a perspective from the mass analyzers[J]. Frontiers in Chemistry, 2021, 9: 813359 . doi: 10.3389/fchem.2021.813359
    [2] 孙燕, 谢昀, 许秀丽, 谭明乾, 张峰. 高分辨分离分析新技术在食品安全检测领域的应用进展[J]. 色谱, 2023, 41(11): 952 - 959 . doi: 10.3724/SP.J.1123.2023.08026 SUN Yan, XIE Yun, XU Xiuli, TAN Mingqian, ZHANG Feng. Application progress of innovative high resolution separation and analysis technology in food safety detection field[J]. Chinese Journal of Chromatography, 2023, 41(11): 952 - 959 (in Chinese). doi: 10.3724/SP.J.1123.2023.08026
    [3] ZHAI Y, FU X, XU W. Miniature mass spectrometers and their potential for clinical point-of-care analysis[J]. Mass Spectrometry Reviews, 2024, 43(5): 1172 - 1191 . doi: 10.1002/mas.21867
    [4] 张兆清, 赵雅平, 王志强, 刘权卫, 侯留东. 磁质谱的发展及应用进展[J]. 化学分析计量, 2022, 31(2): 94 - 100 . doi: 10.3969/j.issn.1008-6145.2022.02.020 ZHANG Zhaoqing, ZHAO Yaping, WANG Zhiqiang, LIU Quanwei, HOU Liudong. Development and application of magnetic mass spectrometry[J]. Chemical Analysis and Meterage, 2022, 31(2): 94 - 100 (in Chinese). doi: 10.3969/j.issn.1008-6145.2022.02.020
    [5] 向玉, 侯晨月, 徐伟. 微型化质谱仪研究进展[J]. 生命科学仪器, 2019, 17(3): 28 - 34 . XIANG Yu, HOU Chenyue, XU Wei. Review of mass spectrometry miniaturization[J]. Life Science Instruments, 2019, 17(3): 28 - 34 (in Chinese).
    [6] GAO L, SONG Q, PATTERSON G E, COOKS R G, OUYANG Z. Handheld rectilinear ion trap mass spectrometer[J]. Analytical Chemistry, 2006, 78(17): 5994 - 6002 . doi: 10.1021/ac061144k
    [7] REN Z, GUO M, CHENG Y, WANG Y, SUN W, ZHANG H, DONG M, LI G. A review of the development and application of space miniature mass spectrometers[J]. Vacuum, 2018, 155: 108 - 117 . doi: 10.1016/j.vacuum.2018.05.048
    [8] GUO C L, CHENG Y Q, LIU M K, ZHAO B, ZHANG S W, ZHANG L. Development of the portable mass spectrometer and its application in environmental monitoring[J]. E3S Web of Conferences, 2019, 118: 03055 . doi: 10.1051/e3sconf/201911803055
    [9] MIELCZAREK P, SILBERRING J, SMOLUCH M. Miniaturization in mass spectrometry[J]. Mass Spectrometry Reviews, 2020, 39(5/6): 453 - 470 .
    [10] WANG J, PURSELL M E, DeVOR A, AWOYEMI O, VALENTINE S J, LI P. Portable mass spectrometry system: instrumentation, applications, and path to omics analysis[J]. Proteomics, 2022, 22(23/24): e2200112.
    [11] 陈振宇, 杨宝坤, 姜婷, 徐伟. 便携VOCs质谱仪系统设计与性能优化[J]. 质谱学报, 2024, 45(5): 609 - 615 . CHEN Zhenyu, YANG Baokun, JIANG Ting, XU Wei. Design and performance optimization of a portable VOCs mass spectrometer system[J]. Journal of Chinese Mass Spectrometry Society, 2024, 45(5): 609 - 615 (in Chinese).
    [12] SCHULTZE K P. Advanced system components for the development of a handheld ion trap mass spectrometer[D]. North Carolina, United States: The University of North Carolina at Chapel Hill, 2014.
    [13] JIANG T, ZHANG H, TANG Y, ZHAI Y, XU W, XU H, ZHAO X, LI D, XU W. A “brick mass spectrometer” driven by a sinusoidal frequency scanning technique[J]. Analytical Chemistry, 2017, 89(10): 5578 - 5584 . doi: 10.1021/acs.analchem.7b00719
    [14] SYMS R R A, WRIGHT S. MEMS mass spectrometers: the next wave of miniaturization[J]. Journal of Micromechanics and Microengineering, 2016, 26(2): 023001 . doi: 10.1088/0960-1317/26/2/023001
    [15] 李振波, 张琛, 赵小林, 杨春生. 直径1 mm电磁型实用超微马达的设计[J]. 仪器仪表学报, 2000, 21(2): 163 - 166 . doi: 10.3321/j.issn:0254-3087.2000.02.016 LI Zhenbo, ZHANG Chen, ZHAO Xiaolin, YANG Chunsheng. Design of the electromagnetic micro-motor with 1 mm diameter[J]. Chinese Journal of Scientific Instrument, 2000, 21(2): 163 - 166 (in Chinese). doi: 10.3321/j.issn:0254-3087.2000.02.016
    [16] 苏宇锋, 陈文元, 崔峰. 电磁驱动柔性振动膜无阀微泵[J]. 微细加工技术, 2003(4): 60 - 64 . SU Yufeng, CHEN Wenyuan, CUI Feng. An electro-magnetically actuated valveless micropump with flexible diaphragm[J]. Microfabrication Technology, 2003(4): 60 - 64 (in Chinese).
    [17] SZYSZKA P, JENDRYKA J, SOBKÓW J, ZYCHLA M, BIAŁAS M, KNAPKIEWICZ P, DZIUBAN J, GRZEBYK T. MEMS quadrupole mass spectrometer[C]//2023 IEEE 36th International Vacuum Nanoelectronics Conference (IVNC). July 10-13, 2023. Cambridge, MA, USA. IEEE, 2023: 195-197.
    [18] GUO Q, GAO L, ZHAI Y, XU W. Recent developments of miniature ion trap mass spectrometers[J]. Chinese Chemical Letters, 2018, 29(11): 1578 - 1584 . doi: 10.1016/j.cclet.2017.12.009
    [19] 陈小霞, 任熠, 黄奇, 向大军, 李长伟, 洪义, 李磊, 黄正旭, 李梅, 徐经纬, 周振. 多次反射飞行时间质谱仪高性能矩形离子阱的研制[J]. 分析化学, 2025, 53(1): 38 - 46 . CHEN Xiaoxia, REN Yi, HUANG Qi, XIANG Dajun, LI Changwei, HONG Yi, LI Lei, HUANG Zhengxu, LI Mei, XU Jingwei, ZHOU Zhen. Development of a high-performance rectangular ion trap for multi-reflection time-of-flight mass spectrometer[J]. Chinese Journal of Analytical Chemistry, 2025, 53(1): 38 - 46 (in Chinese).
    [20] van AMEROM F H W, CHAUDHARY A, CARDENAS M, BUMGARNER J, SHORT R T. Microfabrication of cylindrical ion trap mass spectrometer arrays for handheld chemical analyzers[J]. Chemical Engineering Communications, 2007, 195(2): 98 - 114 . doi: 10.1080/00986440701569176
    [21] 陈婷, 姚锦元, 蒋公羽, 肖育, 陈新, 杨雨, 郑恒. 基于微机电系统加工技术的微小型矩形离子阱的研制[J]. 质谱学报, 2021, 42(1): 65 - 72 . doi: 10.7538/zpxb.2019.0154 CHEN Ting, YAO Jinyuan, JIANG Gongyu, XIAO Yu, CHEN Xin, YANG Yu, ZHENG Heng. Development of micro-sized rectangular ion trap based on micro-electro-mechanical system processing technology[J]. Journal of Chinese Mass Spectrometry Society, 2021, 42(1): 65 - 72 (in Chinese). doi: 10.7538/zpxb.2019.0154
    [22] ZHANG Q, LU X, CHEN T, XIAO Y, YAO R, YAO J. A miniature four-channel ion trap array based on non-silicon MEMS technology[J]. Micromachines, 2021, 12(7): 831 . doi: 10.3390/mi12070831
    [23] LU X, YEOW J T W, JIANG G, XIAO Y, YAO R, ZHANG Q, SONG J, YAO J. Simulation of a miniature linear ion trap with half-round rod electrodes[J]. Micromachines, 2022, 13(10): 1572 . doi: 10.3390/mi13101572
    [24] GEEAR M, SYMS R R A, WRIGHT S, HOLMES A S. Monolithic MEMS quadrupole mass spectrometers by deep silicon etching[J]. Journal of Microelectromechanical Systems, 2005, 14(5): 1156 - 1166 . doi: 10.1109/JMEMS.2005.851799
    [25] BLAIN M G, RITER L S, CRUZ D, AUSTIN D E, WU G, PLASS W R, COOKS R G. Towards the hand-held mass spectrometer: design considerations, simulation, and fabrication of micrometer-scaled cylindrical ion traps[J]. International Journal of Mass Spectrometry, 2004, 236(1/2/3): 91 - 104 .
    [26] 钟蠡, 潘晓斌, 雷天才, 蒋家东. 高精度双曲面线性离子阱加工方法研究[J]. 制造技术与机床, 2019(11): 23 - 25 . ZHONG Li, PAN Xiaobin, LEI Tiancai, JIANG Jiadong. Study on machining method for high-precision linear ion trap with hyperboloidal surface[J]. Manufacturing Technology & Machine Tool, 2019(11): 23 - 25 (in Chinese).
    [27] 李佳伟, 吉方, 赵舜. 双曲面型离子阱极杆精密车削方法[J]. 制造技术与机床, 2022(4): 103 - 109 . LI Jiawei, JI Fang, ZHAO Shun. Hyperbolic ion trap rod fabricated using precision turning method[J]. Manufacturing Technology & Machine Tool, 2022(4): 103 - 109 (in Chinese).
    [28] ZHANG Y, WU H, YAO R, QIAN J, GE S, MA Q, BAI H, XIAO Y, LI X. Simulation of unidirectional ion ejection in linear ion traps with asymmetric radiofrequency voltage[J]. Rapid Communications in Mass Spectrometry, 2020, 34(9): e8731. doi: 10.1002/rcm.8731
    [29] 贾滨, 杨茂璘, 刘吉星, 赵高升, 黄玉梁, 程平. 质谱相关四极场的设计思路探讨[J]. 质谱学报, 2023, 44(3): 348 - 356 . doi: 10.7538/zpxb.2022.0097 JIA Bin, YANG Maolin, LIU Jixing, ZHAO Gaosheng, HUANG Yuliang, CHENG Ping. Discussion on design ideas of quadrupole field of mass spectrometry[J]. Journal of Chinese Mass Spectrometry Society, 2023, 44(3): 348 - 356 (in Chinese). doi: 10.7538/zpxb.2022.0097
    [30] YINON J, KLEIN F. The quadrupole and its applications in vacuum technology and mass spectrometry[J]. Vacuum, 1971, 21(9): 379 - 383 . doi: 10.1016/0042-207X(71)92402-X
    [31] SUDAKOV M, DOUGLAS D J. Linear quadrupoles with added octopole fields[J]. Rapid Communications in Mass Spectrometry, 2003, 17(20): 2290 - 2294 . doi: 10.1002/rcm.1187
    [32] 王伟民, 徐锐峰, 江游, 张谛, 徐福兴, 丁传凡. 离子阱中3种软件程序的离子运动轨迹数值模拟对比[J]. 质谱学报, 2022, 43(4): 495 - 503 . doi: 10.7538/zpxb.2021.0180 WANG Weimin, XU Ruifeng, JIANG You, ZHANG Di, XU Fuxing, DING Chuanfan. Comparison of numerical simulation of ion trajectories in three simulation programs of ion trap[J]. Journal of Chinese Mass Spectrometry Society, 2022, 43(4): 495 - 503 (in Chinese). doi: 10.7538/zpxb.2021.0180
    [33] 邵辉丽, 潘志兵, 王顺治, 任莉. 线型离子阱中空间电荷效应的理论分析[J]. 原子与分子物理学报, 2019, 36(4): 538 - 540 . doi: 10.3969/j.issn.1000-0364.2019.04.002 SHAO Huili, PAN Zhibing, WANG Shunzhi, REN Li. Theoretical analysis of the space charge effect in linear ion trap[J]. Journal of Atomic and Molecular Physics, 2019, 36(4): 538 - 540 (in Chinese). doi: 10.3969/j.issn.1000-0364.2019.04.002
    [34] LI X, ZHANG X, YAO R, HE Y, ZHU Y, QIAN J. Design and performance evaluation of a linear ion trap mass analyzer featuring half round rod electrodes[J]. Journal of the American Society for Mass Spectrometry, 2015, 26(5): 734 - 740 . doi: 10.1007/s13361-015-1085-2
    [35] MARCH R E. Quadrupole ion traps[J]. Mass Spectrometry Reviews, 2009, 28(6): 961 - 989 . doi: 10.1002/mas.20250
    [36] ZHANG Z, YUAN G, HE Y, QIAN J, ZHANG S, YAO R, DING C, LI X. Research of unidirectional ion ejection in printed-circuit-board ion trap[J]. Chinese Journal of Analytical Chemistry, 2017, 45(2): 297 - 302 . doi: 10.1016/S1872-2040(17)60995-2
    [37] 徐福兴, 靳留雨, 钱炳君, 王伟民, 丁传凡. 十二极电场对线性离子阱分析性能的影响[J]. 分析化学, 2021, 49(8): 1282 - 1288 . XU Fuxing, JIN Liuyu, QIAN Bingjun, WANG Weimin, DING Chuanfan. Effect of dodecapole electric field on performance of linear ion trap mass analyzer[J]. Chinese Journal of Analytical Chemistry, 2021, 49(8): 1282 - 1288 (in Chinese).
    [38] 姚如娇, 何洋, 肖育, 丁正知, 袁广洲, 张在越, 钱洁, 张曙光, 李晓旭. 三角形电极离子阱的理论模拟及性能优化[J]. 分析化学, 2016, 44(11): 1793 - 1797 . doi: 10.1016/S1872-2040(16)60975-1 YAO Rujiao, HE Yang, XIAO Yu, DING Zhengzhi, YUAN Guangzhou, ZHANG Zaiyue, QIAN Jie, ZHANG Shuguang, LI Xiaoxu. Optimization of linear ion trap mass analyzer with triangular electrodes by simulation[J]. Chinese Journal of Analytical Chemistry, 2016, 44(11): 1793 - 1797 (in Chinese). doi: 10.1016/S1872-2040(16)60975-1
    [39] 吴辉, 朱雯飞, 葛赛金, 张英军, 姚如娇, 李晓旭. 非对称双曲面线性离子阱的设计及性能研究[J]. 质谱学报, 2021, 42(6): 1145 - 1155 . WU Hui, ZHU Wenfei, GE Saijin, ZHANG Yingjun, YAO Rujiao, LI Xiaoxu. Design and performance evaluation of asymmetric hyperboloid linear ion trap[J]. Journal of Chinese Mass Spectrometry Society, 2021, 42(6): 1145 - 1155 (in Chinese).
  • 加载中
图( 12)
计量
  • 文章访问数:  23
  • HTML全文浏览数:  23
  • PDF下载数:  2
  • 施引文献:  0
出版历程
  • 收稿日期:  2025-02-15
  • 录用日期:  2025-08-01
  • 刊出日期:  2025-09-30

极微型双曲面线性离子阱的模拟研究

    通讯作者: 本文通信作者姚锦元
  • 1. 上海交通大学集成电路学院微纳电子系,上海 200240
  • 2. 上海市非硅微纳集成制造专业技术服务平台,上海 200240

摘要: 随着微机电系统(micro-electro-mechanical system, MEMS)工艺的快速发展,芯片级质谱仪的研制逐渐成为分析仪器领域的新焦点。微型质量分析器是芯片级质谱仪的核心器件,本工作基于非硅MEMS工艺下可实现的1 mm场半径极微型双曲面线性离子阱(miniature-hyperboloid linear ion trap, M-HLIT)质量分析器,采用理论模拟方法研究了2种不同结构M-HLIT的质量分析性能。在理想结构中,系统研究了共振激发交流(alternatingcurrent, AC)信号幅值和频率、射频(radio frequency, RF)信号频率等电参数对质量分辨率的影响。在“拉伸”结构中,优化了“拉伸”比(ry/rx)、开槽宽度d、电极截断距离h等结构参数。模拟结果表明,通过对M-HLIT的系统性优化,m/z 117离子的最高质量分辨率可达551,优于相同尺寸的简化电极线性离子阱;当扫描速率降至600 Th/s时,质量分辨率可提升至1 376。该M-HLIT在处理低m/z离子时存在一定局限性,但在处理高m/z离子时具有优势。优化后的M-HLIT体积仅0.62 cm3,为传统微型线性离子阱体积的25.5%,这为芯片级质谱仪中微型质量分析器的设计提供了有效解决方案,可有力推动原位快检质谱分析技术的发展。

English Abstract

  • 质谱(MS)凭借高灵敏度、高准确性和高特异性等优点,在生物、化学等领域得到广泛关注,已成为后工业时代化学分析的关键技术[1-4]。随着分析化学技术的进步,体积小、质量轻、功耗低的便携式质谱仪在各种实时分析检测场景中的应用需求日益旺盛[5]。目前,大部分便携式质谱仪的体积仍接近台式电脑主机尺寸,如Gao等研制的Mini系列质谱仪[6]、Chen等研制的便携式挥发性有机物(VOCs)质谱仪等[7-11]。2014年,Schultze[12]研制了一款手持式质谱仪,其内部装配伸长型离子阱(SLIT),整机质量仅0.9 kg,功耗8.2 W,通过法拉第杯和电荷敏感放大器实现了高压环境下的离子检测。2017年,Jiang等[13]研发出一款“砖”尺寸的手持式质谱仪(28 cm×21 cm×16 cm),并从检测限、质量分辨率和质量范围等方面探讨了其分析性能,该仪器体积小且支持现场气液相分析。然而,基于集成电路(IC)先进封装的芯片级质谱仪一直是研究领域亟需突破的难点。在传统微机械工艺逐渐面临技术瓶颈的背景下,微机电系统(micro-electro-mechanical system, MEMS)工艺不断发展,使得MEMS工艺支撑下的芯片级质谱仪成为质谱领域新的研究热点[14]。本团队依托非硅基MEMS器件的曲面高精度加工技术,基于遗传算法成功制备了转速18 000 r/min的1 mm直径电磁型微马达[15];同时,采用硅加工工艺和非硅加工工艺(电镀)相结合的方式,制备了4.5 mm直径旋转式微泵[16],可满足芯片级质谱仪的微型化设计需求。此外,本团队正在开展MEMS冷离子源、MEMS电子倍增器等器件的研究,为MEMS质谱仪系统的搭建创造了良好的基础。

    质量分析器作为质谱仪的核心器件,不仅在很大程度上决定了质谱仪的分析性能,还影响系统内其他组件的设计和构建,简化结构和缩小体积是质谱仪微型化过程中最重要的环节。目前,芯片级质谱仪中普遍采用四极杆质量分析器,Szyszka等[17]采用MEMS和3D打印工艺制备的微型四极杆质谱仪(MQMS)内部装配了长70 mm的四极杆质量分析器。离子阱质量分析器具有耐冲击性能好、真空度要求低及单个分析单元即可实现串联质谱(MS/MS)等优点[18],是芯片级质谱仪质量分析器的理想选择之一。Chen等[19]开发了一种基于印刷电路板技术的矩形离子阱(RIT),可在离子进入质量分析器前对离子进行收集、冷却和抛出,充分地实现了离子的收集和聚焦;van Amerom等[20]采用硅基微细加工制备了场半径为360 μm的微柱状离子阱(μ-CIT)阵列,发现离子阱在微米尺度下存在场发射等弊端,需要进一步优化。近年来,本团队[21]致力于基于高精度曲面MEMS加工工艺的离子阱微型化研究,采用MEMS、激光刻蚀技术制备了微型四通道离子阱阵列(MFITA),并对其性能进行实验表征,结果显示其对二乙酸丁酯(m/z 230)的质量分辨率可达324,通过分析空气样品,证实了4个通道在误差允许范围内的一致性[22];同时,对2种半圆弧电极线性离子阱(HreLIT)进行微型化仿真研究,通过结构和电参数优化,其对m/z 119离子的质量分辨率超过517[23],为基于MEMS技术的HreLIT制造奠定了基础。

    不难发现,已有的微型离子阱研究皆为简化结构的离子阱。这类离子阱为简化复杂的双曲面结构,往往在性能上会有所牺牲,且场半径一般为3 mm以上,无法满足便携式芯片级质谱仪的需求。此外,基于MEMS技术的微米级离子阱虽在微型化方面取得了显著进展[14],但由于离子存储体积过小、存储容量有限,导致检测灵敏度和动态范围受到严重制约,微米尺度下的离子阱还会出现非理想效应。双曲面电极的制造工艺要求极高,这限制了其实际应用[24-25]。现有研究表明,采用线切割、磨削等传统精密制造工艺制备的双曲面电极,其轮廓精度误差往往超过3 μm,这种微米级的加工误差会导致内部电场产生畸变和退化现象[26-27]

    针对上述技术瓶颈,在本实验室现有的MEMS曲面加工技术的支撑下,本团队已具备制备毫米级高精度双曲面离子阱电极的能力。本研究将聚焦场半径为1 mm的极微型双曲面线性离子阱(miniature-hyperbolic linear ion trap,M-HLIT),系统地分析其理想结构和“拉伸”结构的质量分析性能。在理想结构中,研究共振激发交流(alternating current,AC)信号、射频(radio frequency,RF)信号参数对质量分辨性能的影响。在实际应用中,无法避免理想双曲面电极开槽导致的电场畸变和分辨率性能下降。为补偿该影响,将出射电极沿着离子出射的方向“拉伸”,称为“拉伸”结构。在此基础上,进一步优化“拉伸”比(ry/rx)、离子出射槽宽度(d)、电极截断长度(h)等结构参数,旨为后续的MEMS曲面加工及质谱系统的搭建提供理论指导。

    • 本研究设计的极微型双曲面线性离子阱(M-HLIT)由2对双曲面电极构成,整体结构示意图示于图1。理想结构由2对双曲面电极组成,为简单的中心对称结构,即rx=ry=1 mm。在“拉伸”结构中,为弥补离子出射槽对电场成分造成的影响,将开设离子出射槽的电极沿出射方向向外平移,偏离原有位置,因此,y电极与几何中心之间的距离ryrx。将ry/rx定义为“拉伸”比;出射电极的开槽宽度为d;由于双曲面电极无法无限延伸,定义电极顶部到电极底部的距离为电极截断长度h。将2个相位差为180°的平衡RF信号施加于2对电极上以产生四极场,并在2个出射电极之间施加补充AC信号,实现离子的共振出射。

    • 通常认为,离子阱的性能取决于内部电场分布[28-29]。在线性离子阱中,4个电极上施加RF电压。假设离子阱电极表面在空间上无限延伸,则阱内任意点(x, y)的电位表达式为:

      式中,$ {\varphi }_{0} $为双曲面电极上施加电压所产生的电势差;r0为场半径大小。离子在阱中的运动方程为:

      该方程与马修方程(Mathieu equation)形式一致,可将其转化为马修方程的形式进行求解,得到auqu 2个离子运动束缚常数,求解稳定区。

      离子阱中存在的许多非理想因素(如电极截断、离子出射槽等)会引发四极场畸变,研究发现[30],电场分布情况可用高阶多极场叠加和加权描述,内部电势分布可表示为:

      其中,VRF为射频电压的幅值,Re为复值的实部,r0为场半径,An为2n极场的无量纲幅值。被束缚在四极场中的离子做简谐振荡运动,不同质荷比离子运动时具有特定的久期频率(secular frequency)。采用共振激发方式时,在出射方向电极上施加辅助交流信号AC,通过扫描RF电压幅值改变离子动能和久期频率;当离子运动的久期频率与辅助交流信号频率相同时,离子会发生共振,运动幅度迅速增大从而实现出射。高阶场的引入在离子阱中产生离子运动的非线性效应,这种非线性谐振势能会改变离子的共振激发条件,降低线性离子阱的质量分析性能,直观表现为质量分辨率下降。但是,高阶场的存在并不总是有害的,有研究表明[31],通过恰当比例的电场成分组合可弥补这种非线性效应带来的性能损失,甚至提高分辨率。因此,需要对内部电场进行研究,建立适宜的内部高阶电场分布。

      离子轨迹计算与给定电场条件下二阶马修偏微分方程的积分求解过程相同,分为电场计算和离子轨迹分析2个步骤。本研究采用数值模拟方法和有限差分网格法(FDM)将空间划分为网格点,通过求解拉普拉斯方程得到空间电位分布,然后利用龙格-库塔算法计算离子轨迹。采用SIMION 8.0建立M-HLIT的结构模型,并生成电势阵列文件,将该文件导入PAN33软件;该软件通过在场半径环上产生的势阵中采样,作为拉普拉斯方程的边界条件,计算得到内部多极场参数。同时,将电势阵列文件导入模拟软件AXSIM中,进行离子轨迹和质谱图模拟[32]。待测样品离子的质荷比分别为m/z 117、119和121,每种离子各100个,共计300个,其初始位置随机分布于离子储存区域的中心附近。为便于同已报道的微型离子阱分析性能[22-23]进行对比,本研究采用经典的硬球碰撞模型开展模拟,其中碰撞气体为氦气,压强为0.133 Pa、温度为300 K。离子出射的质量分辨率采用式(4)进行计算:

      式中,m为离子的质荷比,$ \Delta m $为质谱峰的半峰宽(full width at half maximum, FWHM)。

    • 由于理想结构相对简单,主要考虑其对电信号参数进行优化。本工作首先研究AC信号幅值,模拟了不同幅值条件下离子运动轨迹的变化情况。根据离子出射方向,重点研究y方向的离子轨迹。场半径rx=ry=1 mm,电极截断距离h固定为2 mm。RF频率固定为4 MHz,AC频率为RF频率的1/3(三分频条件),即1.333 MHz;激发电压AC幅值分别设置为0.1、0.2、1.0和2.0 V,离子运动轨迹及对应的质谱峰分别示于图23

      模拟结果表明,当AC幅值为0.2 V时,离子的出射运动轨迹为最理想的“喇叭”形,示于图2b。离子在四极场中首先经历稳定的简谐振动,当离子的久期频率与共振激发频率匹配时,能够瞬间高效吸收能量并实现共振出射,对应的质谱峰分辨率最高,示于图3b。当AC幅值低于最优值(仅为0.1 V)时,结果示于图2a。离子无法瞬间获得足够的出射能量,导致出射时间延长,对应的质谱峰强度下降、峰宽增加且峰形畸变严重,示于图3a。反之,当AC幅值过高时,随着AC幅值的增加,质谱峰的峰展宽愈发显著,其丰度亦呈现明显的下降趋势,示于图3c3d。当AC电压达到2.0 V时,离子运动轨迹呈现“碗”状畸变,离子在尚未抵达出射时间点时便已获得较高能量,使其运动幅度显著增大,离子间相互作用力的干扰效应也随之增强,进而对质量分辨性能产生负面影响[33]

    • 本研究讨论了RF频率对离子阱性能的影响。在模拟过程中,RF频率取值范围为[3 MHz, 10 MHz],取值间隔为1 MHz,AC频率始终为RF频率的1/3。质量分辨率与RF频率的关系示于图4。当RF频率在[3 MHz,5 MHz]范围内变化时,质量分辨率随频率增加呈快速上升趋势,随后增幅趋于平缓;当RF频率为8 MHz时,在m/z 117处可获得最佳质量分辨率(589);进一步增加RF频率(>8 MHz)并未带来显著的分辨率提升。同时,高RF频率会显著增加射频电源的设计难度和系统功耗,且电源体积也会相应增大,这对质谱仪的小型化设计极为不利。基于此,在保证高质量分辨率的前提下,应尽可能降低RF频率,从而在提高M-HLIT质量分辨性能的同时减小其体积。后续研究中主要采用7 MHz RF频率,以确保质谱系统的可实现性。

    • AC频率决定了离子阱中离子出射时的q值。有研究[34-35]报道,当q值在[0.78,0.83]范围内时,通常可获得最高的质量分辨率,此时AC电压的频率约为RF电压频率的1/3。AC和RF信号的频率比(fAC/fRF)对质量分辨率的影响示于图5。本研究分别讨论了RF频率为4 MHz和7 MHz时的情况,fAC/fRF的取值范围为[0.2,0.425],步进为0.025。模拟结果表明,RF信号频率为7 MHz时获得的质量分辨率普遍优于4 MHz时,这与2.1.2节结果一致。此外,无论RF信号频率为7 MHz还是4 MHz,最优质量分辨率均出现在fAC/fRF比值为0.275附近。结果表明,对于极小半径条件下的微型离子阱,需保证共振激发频率略低于常规尺寸离子阱报道的三分频,以达到最优共振激发效果。

      理想结构的模拟结果表明,对于场半径仅为1 mm的极微型离子阱,尺寸的大幅缩减并不会显著改变电参数的施加规律,但更小场半径的离子阱需要更高的RF频率及较小的频率比(fAC/fRF),以维持最优共振激发效果,这对极微型离子阱后续电参数的深入研究具有重要意义。通过优化理想结构M-HLIT的电参数,m/z 117离子的质量分辨率可达576。为便于讨论,上述优化的电参数将用于后续“拉伸”结构的优化仿真中。

    • 实际应用中,需在离子阱出射电极上开设离子出射槽,使用离子探测器对出射离子进行收集和统计。离子出射槽的存在会影响内部电场分布,具体表现为四极场含量减少、高阶场含量增加,这通常会导致离子阱的质量分析性能下降[31]。为解决这一问题,需采用“拉伸”设计[36],即通过改变离子出射方向电极与离子阱中心的距离优化电场成分占比。因此,本研究在理想结构的基础上构建并研究了M-HLIT的“拉伸”结构。考虑到MEMS实际高精度加工的工艺要求,将槽宽d初步设置为200 μm,“拉伸”比ry/rx在[1.0,2.0]范围内以0.1为步进变化,其余结构参数与上文保持一致。在不同ry/rx条件下,质量分辨率和电场分布的变化情况分别示于图6a6b。由于“拉伸”结构具有轴对称特性,电场中仅存在偶极场成分。

      由图 6a可见,在仅采用开槽设计,尚未引入“拉伸”结构的情况下,质量分辨率仅为261,是理想结构的45.3%。结合图6b可见,此时离子阱内部高阶电场占比非常高,可证实离子出射槽对电场分布造成负面影响,使离子阱的分析性能遭受损害。而当ry/rx在[1.0, 1.4]范围内增加时,质量分辨率呈快速提升趋势,并在ry/rx=1.4时达到最佳值548,较未拉伸结构提升了110%。在此阶段,八极场(A4)和十二极场(A6)的占比呈先降后升再降的变化趋势,在ry/rx为1.4时具有较高占比,而更高阶场成分(A8A10A12A14)的占比则急剧降低,最终趋于0。该现象表明,通过“拉伸”方式引入了适当比例的A4A6场成分,改善了离子出射特性[37],同时抑制了更高阶电场的成分占比,实现了离子阱内部电场优化和质量分辨率的提升。

      最优的ry/rx值并非绝对的,它与离子出射槽的宽度d密切相关。通过调整“拉伸”比ry/rx,可实现不同槽宽d条件下质量分辨率的优化修正,且d越大,所需“拉伸”距离越长以进行弥补,示于图7。虽然d为最小值100 μm时的质量分辨率最高(573),但由于离子在x方向上存在一定幅度的振动,过窄的狭缝易导致离子在出射过程中接触电极边缘发生湮灭,进而影响最终的出射效率。此外,这种情况对加工精度要求极高,会增加加工难度和制造成本。当d为200 μm和300 μm时,最优质量分辨率基本一致,表明离子出射槽在实际加工中允许存在100 μm左右的加工误差,这将对后续高难度曲面MEMS加工更为有利。因此,M-HLIT的槽宽度d和“拉伸”比ry/rx最优值分别为300 μm和1.6。

    • 在理想情况下,产生标准四极场的双曲面电极应无限延伸,以确保电场分布的均匀性。然而,在实际应用中,无限延伸的电极显然无法实现,因此必须考虑电极的截断问题。在简化结构的离子阱(如板状电极、半圆弧电极)中,由于电极构型的特殊性,无需特别关注电极截断问题[22,38]。而在常规尺寸的双曲面离子阱中,电极截断位置导致的电场畸变通常局限于边缘区域,对离子束缚和运动的核心区域影响较小,因此不会显著影响其分析性能[39]。随着离子阱尺寸的微型化,电极尺寸和电场半径的急剧缩小可能会使电极截断长度对电场分布和分析性能造成影响。

      将离子出射槽宽度d固定为300 μm,“拉伸”比ry/rx设为1.6,在[2.0 mm,0.5 mm]区间内以0.25 mm为步进削减电极截断长度h,得到的质量分辨率和电场成分变化图示于图8。由图8a可见,质量分辨率在2~1 mm范围内下降趋势不明显;随着h的进一步减小,分辨性能快速下降。对照图8b可知,此时离子阱内部质量分析区域中的高阶场成分A3A4占比急剧上升,并开始逐渐产生更高阶场A5等,表明过短的电极截断长度造成了离子阱内部电场的畸变,从而导致其分析性能下降。综合考虑后,确定双曲面电极截断长度h的最优值为1 mm。经结构参数优化后,M-HLIT的体积为0.62 cm3,仅为传统线性离子阱体积的25.5%,显著减小了离子阱的尺寸和重量,且质量分辨率维持在551,接近理想结构的质量分辨性能。

    • 本研究对上述参数d=300 μm、ry/rx=1.6、h=1 mm的M-HLIT模型进行不同扫描速率的性能分析,得到的质谱图示于图9。结果表明,随着扫描速率从2250 Th/s降至600 Th/s,相应的质谱峰形变细且无畸变,分辨率提高至1 376,优于在相同扫描速率下本团队设计的场半径3 mm的半圆形电极线性离子阱[22]。这表明,该M-HLIT不仅体积微小,同时具备良好的质量分析性能,还可以进一步降低扫描速率以获得更高的分辨率。然而,过慢的扫描速率会导致离子之间相互作用时间增长,从而造成灵敏度损失。在实际质量分析过程中,可根据现场条件选择适宜的扫描速率。

    • 为进一步研究微型M-HILT的分析特性,本文模拟了不同质荷比离子的质量分辨率。模拟过程中,结构参数和电参数采用上述优化后的最佳值,将不同质荷比的离子分为4组:第1组包括m/z 17、19、21;第2组包括m/z 117、119、121;第3组包括m/z 1 017、1 019、1 021;第4组包括m/z 10 017、10 019、10 021。每个质荷比离子的数量为100个。对应的质谱图及离子运动分布图示于图1011。通过计算发现,低质荷比(m/z 19)离子的质量分辨率(87)显著低于高质荷比(m/z 10 019)离子的质量分辨率(45 984)。此外,由图11可知,在离子出射阶段,低m/z离子在阱内的运动轨迹较宽,这是由于场半径1 mm的M-HLIT需要施加远高于常规离子阱的射频电压和频率,导致大量低m/z离子在出射槽口发生湮灭,从而降低质量分辨性能。这一现象表明,M-HLIT在处理低m/z离子时存在一定局限性,但对高m/z离子分析具有一定优势,需进一步优化设计以提高其通用性。

      上述结果不仅为极微型离子阱的设计提供了重要参考,也为理解不同m/z离子的运动行为及其对质量分辨性能的影响提供了新见解。未来研究需聚焦于通过优化射频场参数和离子出射机制,进一步提升离子阱在宽质荷比范围内的分析性能。

    • 本工作基于高精度MEMS曲面工艺可实现的1 mm场半径极微型双曲面线性离子阱,分别研究了理想结构和“拉伸”结构的质量分析性能。结果表明,在2 250 Th/s扫描速率下,m/z 117的分辨率可达到551;将扫描速率降低至600 Th/s,分辨率可达1 376,优于已报道的相近尺寸的微型离子阱结构。研究发现,当离子阱尺寸大幅减小时,其上施加的电参数和结构参数对性能的影响规律与常规尺寸离子阱基本一致,但在电极截断长度hfAC/fRF的影响方面得出了新颖的研究结果。本文分析了该极微型双曲面线性离子阱在处理低m/z离子时的局限性和处理高m/z离子时的优势,对后续其他类型离子阱的微小化研究具有重要指导意义。本研究得到的最优微型双曲面线性离子阱结构体积为0.62 cm3,仅为传统离子阱的25.5%,为芯片级质谱仪研究提供了理想选择。在后续研究中,将利用高精度曲面MEMS工艺对模拟的最优微型双曲面线性离子阱结构进行加工,并搭建质谱测试平台开展实验测试,验证理论模拟与实验的一致性。

    参考文献 (39)

目录

/

返回文章
返回