一种适用于(10~105)Pa气体质谱分析的可控取样系统的设计

上一篇

下一篇

杨传森, 郭宇扬, 刘迪, 郑阳阳, 卢耀文, 王欢, 宋春尧, 陈俊儒, 丁双, 陈千睿. 一种适用于(10~105)Pa气体质谱分析的可控取样系统的设计[J]. 真空科学与技术学报, 2025, 45(7): 535-541. doi: 10.13922/j.cnki.cjvst.202502003
引用本文: 杨传森, 郭宇扬, 刘迪, 郑阳阳, 卢耀文, 王欢, 宋春尧, 陈俊儒, 丁双, 陈千睿. 一种适用于(10~105)Pa气体质谱分析的可控取样系统的设计[J]. 真空科学与技术学报, 2025, 45(7): 535-541. doi: 10.13922/j.cnki.cjvst.202502003
Chuansen YANG, Yuyang GUO, Di LIU, Yangyang ZHENG, Yaowen LU, Huan WANG, Chunyao SONG, Junru CHEN, Shuang DING, Qianrui CHEN. Design of a Controllable Sampling System for Gas Mass Spectrometry Analysis with the Pressure Range of (10–105) Pa[J]. zkkxyjsxb, 2025, 45(7): 535-541. doi: 10.13922/j.cnki.cjvst.202502003
Citation: Chuansen YANG, Yuyang GUO, Di LIU, Yangyang ZHENG, Yaowen LU, Huan WANG, Chunyao SONG, Junru CHEN, Shuang DING, Qianrui CHEN. Design of a Controllable Sampling System for Gas Mass Spectrometry Analysis with the Pressure Range of (10–105) Pa[J]. zkkxyjsxb, 2025, 45(7): 535-541. doi: 10.13922/j.cnki.cjvst.202502003

一种适用于(10~105)Pa气体质谱分析的可控取样系统的设计

    通讯作者: E-mail: ychs101@163.com
  • 中图分类号: TB77

Design of a Controllable Sampling System for Gas Mass Spectrometry Analysis with the Pressure Range of (10–105) Pa

    Corresponding author: Chuansen YANG, ychs101@163.com
  • MSC: TB77

  • 摘要: 为了满足半导体制造、航天工程等领域对常压和中低真空气体取样的需求,文章设计了一种适用于(10~105)Pa气体质谱分析的可控取样系统。系统由真空抽气模块、节流取样模块、真空测量模块、温控模块和数采与控制模块组成。通过毛细取样管和压电微调阀的两级压力可控衰减,结合双小孔流导元件的抽气流量控制,系统能够在不同压力下稳定采集气体样品。实验验证表明,该系统能够在(10~1×105) Pa的待取样气体压力范围内,将质谱分析室压力稳定在(1×10−4~1×10−3)Pa之间。系统可以与多种型号质谱计耦合,为宽压力范围气体质谱分析提供了较为可靠的取样解决方案。
  • 加载中
  • 图 1  可控取样系统结构原理图

    Figure 1.  Schematic diagram of the controllable sampling system

    图 2  可控取样系统三维设计示意图

    Figure 2.  Schematic three-dimensional design drawing of the controllable sampling system

    图 3  小孔流导元件C3、C4返流比的测量原理图

    Figure 3.  Schematics diagram of the backflow ratio measurement for C3 and C4

    图 4  压电微调阀流导值与不同驱动电压的关系曲线

    Figure 4.  The relationship between the conductance of the piezoelectric micro-regulating valve and driving voltages

    图 5  系统样机调试试验照片

    Figure 5.  Picture of the system testing

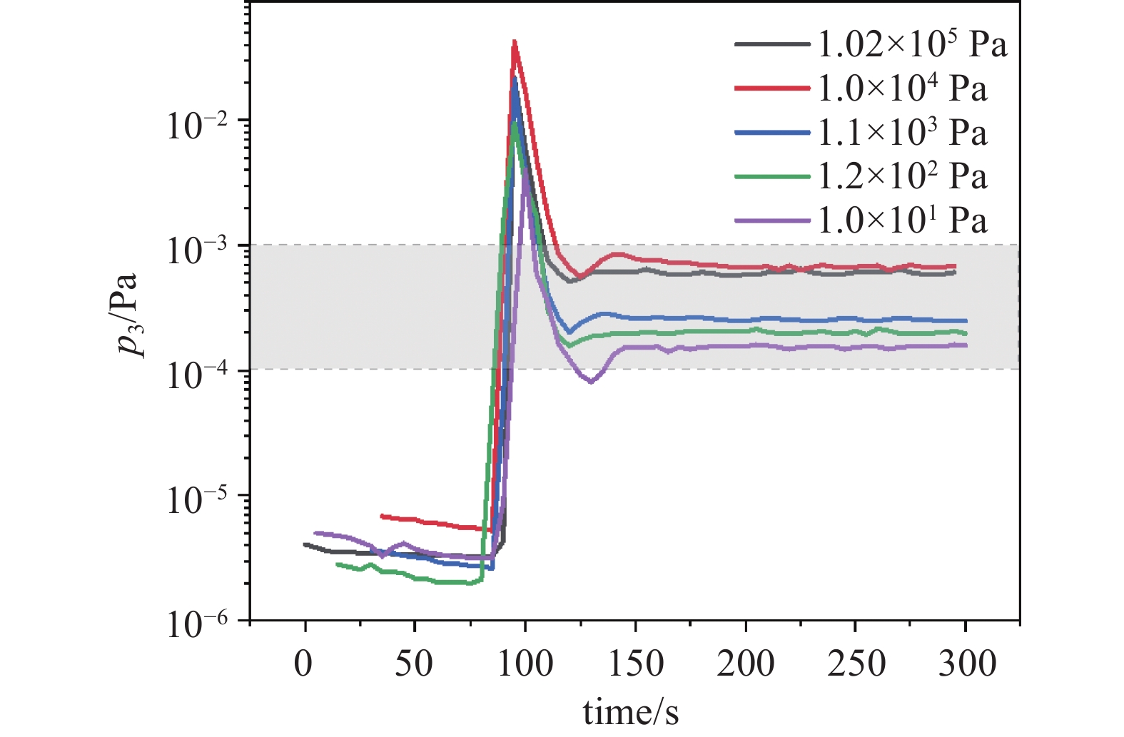
    图 6  气体取样过程中p3变化情况

    Figure 6.  The variation of p3 during the gas sampling

    表 1  C3氮气返流比测量结果

    Table 1.  Measurement results of the nitrogen backflow ratio for C3

    序号${p_{\mathrm{u}}}$/Pa${p_{\mathrm{d}}}$/Pa${\alpha _3}$
    19.82×10−49.05×10−59.22×10−2
    24.56×10−44.22×10−59.25×10−2
    31.50×10−41.39×10−59.26×10−2
    平均值9.24×10−2
    下载: 导出CSV

    表 2  C4氮气返流比测量结果

    Table 2.  Measurement results of the nitrogen backflow ratio for C4

    序号${p_{\mathrm{u}}}$/Pa${p_{\mathrm{d}}}$/Pa${\alpha _4}$
    49.77×10−41.79×10−41.83×10−1
    54.18×10−47.81×10−51.87×10−1
    61.83×10−43.41×10−51.86×10−1
    平均值1.85×10−1
    下载: 导出CSV
  • [1] Dharmadasa I M, Ives M, Brooks J S, et al. Application of glow discharge optical emission spectroscopy to study semiconductors and semiconductor devices[J]. Semiconductor science and technology, 1995, 10(3): 369 doi: 10.1088/0268-1242/10/3/023
    [2] Mazurek W. Key developments in submarine air monitoring and air purification during the past 20 years[C]. Submarine Air Monitoring and Air Purification Conference, 2015, 5−8
    [3] Alberici R M, Simas R C, Sanvido G B, et al. Ambient mass spectrometry: Bringing ms into the ‘real world’[J]. Analytical and Bioanalytical Chemistry, 2010, 398(1): 265−294 doi: 10.1007/s00216-010-3808-3
    [4] Harris G A, Galhena A S, Fernandez F M. Ambient sampling/ionization mass spectrometry: Applications and current trends[J]. Analytical Chemistry, 2011, 83(12): 4508−4538 doi: 10.1021/ac200918u
    [5] Huang M Z, Cheng S C, Cho Y T, et al. Ambient ionization mass spectrometry: A tutorial[J]. Analytica Chimica Acta, 2011, 702(1): 1−15 doi: 10.1016/j.aca.2011.06.017
    [6] 张体强, 胡树国, 韩桥. 大气压电离质谱及其用于超高纯气体分析研究进展[J]. 岩矿测试, 2014, 33(6): 775−781 (in Chinese) Zhang T Q, Hu S G, Han Q. Atmospheric pressure ionization mass spectrometry and its application in the analysis of ultra-high purity gases: a research progress[J]. Rock and Mineral Analysis, 2014, 33(6): 775−781
    [7] Blessing J E, Ellefson R E, Raby B A, et al. Recommended practice for process sampling for partial pressure analysis[J]. Journal of Vacuum Science & Technology A: Vacuum, Surfaces, and Films, 2007, 25(1): 167−186
    [8] 江游, 方向, 黄泽建, 等. 大气压接口-单四极杆质谱仪的研制[J]. 质谱学报, 2010, 31(6): 689−694 (in Chinese) Jiang Y, Fang X, Huang Z J, et al. Development of an atmospheric pressure interface single quadrupole mass spectrometer[J]. Journal of Chinese Mass Spectrometry Society, 2010, 31(6): 689−694
    [9] 成永军, 胡树国, 董猛, 等. 基于四极质谱计质量歧视效应修正的材料CxHy 放气率测试方法研究[J]. 真空科学与技术学报, 2023, 43(11): 1023−1030 (in Chinese) Cheng Y J, Hu S G, Dong M, et al. Research on testing method for CxHy outgassing rate of materials based on correction of mass discrimination effect in quadrupole mass spectrometer[J]. Journal of Vacuum Science and Technology, 2023, 43(11): 1023−1030
    [10] 冯焱, 郭美如, 张涤新, 等. 一种高真空零部件放气率测试装置的研制[J]. 真空科学与技术学报, 2024, 44(6): 556−562 (in Chinese) Feng Y, Guo M R, Zhang D X, et al. Development of a testing device for outgassing rate of high-vacuum components[J]. Journal of Vacuum Science and Technology, 2024, 44(6): 556−562
    [11] Li X, Zhang Y, Ge S, et al. Portable linear ion trap mass spectrometer with compact multistage vacuum system and continuous atmospheric pressure interface[J]. Analyst, 2019, 144(17): 5127−5135 doi: 10.1039/C9AN01047E
    [12] 李得天, 郭美如, 葛敏, 等. 固定流导法真空漏孔校准装置[J]. 真空科学与技术学报, 2006, 26(5): 358−362 (in Chinese) doi: 10.3969/j.issn.1672-7126.2006.05.005 Li D T, Guo M R, Ge M, et al. Calibration of ultralow leak rate with constant conductance technique[J]. Chinese journal of vacuum science and technology, 2006, 26(5): 358−362 doi: 10.3969/j.issn.1672-7126.2006.05.005
    [13] 卢耀文, 陈旭, 李得天, 等. 便携式真空计校准装置[J]. 真空科学与技术学报, 2013, 33(5): 462−467 (in Chinese) doi: 10.3969/j.issn.1672-7126.2013.05.13 Lu Y W, Chen X, Li D T, et al. Novel type of portable vacuum gauge calibration apparatus[J]. Chinese journal of vacuum science and technology, 2013, 33(5): 462−467 doi: 10.3969/j.issn.1672-7126.2013.05.13
    [14] 龚伟, 张涤新, 成永军, 等. 小孔流导的理论计算与蒙特卡罗计算[J]. 真空与低温, 2009, 15(4): 215−221 (in Chinese) doi: 10.3969/j.issn.1006-7086.2009.04.005 Gong W, Zhang D X, Cheng Y J, et al. Analytical method calculation and monte carlo calculation of the orifice conductance[J]. Vacuum and cryogenics, 2009, 15(4): 215−221 doi: 10.3969/j.issn.1006-7086.2009.04.005
    [15] 达道安, 邱家稳, 肖祥正, 等. 真空设计手册[M]. 北京: 国防工业出版社, 2004: 100−104 (in Chinese) Da D A, Qiu J W, Xiao X Z, et al. Vacuum design manual[M]. Beijing: National Defense Industry Press, 2004: 100−104
    [16] 张涤新, 郭美如, 冯焱, 等. 小孔流导测量方法的研究[J]. 真空与低温, 2005(1): 22−28 (in Chinese) doi: 10.3969/j.issn.1006-7086.2005.01.005 Zhang D X, Guo M R, Feng Y, et al. Study on measurement method of small orifice conductance[J]. Vacuum and cryogenics, 2005(1): 22−28 doi: 10.3969/j.issn.1006-7086.2005.01.005
    [17] Jousten K, Menzer H, Wandrey D, et al. New, fully automated, primary standard for generating vacuum pressures between 10−10 Pa and 3×10−2 Pa with respect to residual pressure[J]. Metrologia, 1999, 36: 493−497 doi: 10.1088/0026-1394/36/6/2
    [18] 卢耀文, 陈旭, 李得天, 等. 便携式真空漏孔校准装置[J]. 真空科学与技术学报, 2013, 33(12): 1179−1183 (in Chinese) Lu Y W, Chen X, Li D T, et al. Novel type of portable vacuum leak calibrator apparatus[J]. Chinese journal of vacuum science and technology, 2013, 33(12): 1179−1183
    [19] Jousten K, Menzer H, Niepraschk R. A new fully automated gasflow meter at the PTB for flow rates between 10−13 mol/s and 10−6 mol/s[J]. Meteologia, 2003, 39(6): 519−529
    [20] 甘婧, 王永健, 王旭迪. 基于动态差压法的分子流流导测量[J]. 真空与低温, 2019, 25(4): 245−250 (in Chinese) doi: 10.3969/j.issn.1006-7086.2019.04.009 Gan J, Wang Y J, Wang X D. Measurement of molecular flow conductance based on dynamic differential pressure method[J]. Vacuum and Cryogenics, 2019, 25(4): 245−250 doi: 10.3969/j.issn.1006-7086.2019.04.009
    [21] 张涤新, 郭美如, 冯焱, 等. 定容式流导法微流量校准装置[J]. 真空科学与技术学报, 2005, 25(1): 21−25 (in Chinese) doi: 10.3969/j.issn.1672-7126.2005.01.006 Zhang D X, Guo M R, Feng Y, et al. Constant volume conductance method for micro-flow calibration device[J]. Journal of Vacuum Science and Technology, 2005, 25(1): 21−25 doi: 10.3969/j.issn.1672-7126.2005.01.006
    [22] Kaiser S, Leidich F, Brüning D. Gas flow dynamics in inlet capillaries: Evidence for non-laminar conditions[J]. Journal of the American Society for Mass Spectrometry, 2016, 27: 1550−1563 doi: 10.1007/s13361-016-1415-z
    [23] Wutz M, Adam H. Theorie und Praxis der Vakuumtechnik[M]. Braunschweig: Vieweg Teubner Verlag, 1988
    [24] Venerus D C. Laminar capillary flow of compressible viscous fluids[J]. Journal of Fluid Mechanics, 2006, 555: 59−80 doi: 10.1017/S0022112006008755
    [25] Wutz M, Adam H, Walcher W. Handbuch Vakuumtechnik[M]. Braunschweig: Vieweg und Sohn Verlagsgesellschaft, 1997
    [26] Livesey R G. Solution methods for gas flow in ducts through the whole pressure regime[J]. Vacuum, 2004, 76(1): 101−107 doi: 10.1016/j.vacuum.2004.05.015
  • 加载中
图( 6) 表( 2)
计量
  • 文章访问数:  103
  • HTML全文浏览数:  103
  • PDF下载数:  1
  • 施引文献:  0
出版历程
  • 收稿日期:  2025-02-13
  • 刊出日期:  2025-07-31

一种适用于(10~105)Pa气体质谱分析的可控取样系统的设计

    通讯作者: E-mail: ychs101@163.com
  • 1. 北京市真空计量检测工程技术研究中心 北京100029
  • 2. 北京东方计量测试研究所 北京100086
  • 3. 北京控制工程研究所 北京100086

摘要: 为了满足半导体制造、航天工程等领域对常压和中低真空气体取样的需求,文章设计了一种适用于(10~105)Pa气体质谱分析的可控取样系统。系统由真空抽气模块、节流取样模块、真空测量模块、温控模块和数采与控制模块组成。通过毛细取样管和压电微调阀的两级压力可控衰减,结合双小孔流导元件的抽气流量控制,系统能够在不同压力下稳定采集气体样品。实验验证表明,该系统能够在(10~1×105) Pa的待取样气体压力范围内,将质谱分析室压力稳定在(1×10−4~1×10−3)Pa之间。系统可以与多种型号质谱计耦合,为宽压力范围气体质谱分析提供了较为可靠的取样解决方案。

English Abstract

  • 在现代科学研究和工业技术发展中,气体成分分析作为基础性表征手段,对提升工艺可靠性与环境监测效能具有不可替代的作用[1-4]。其应用范围涵盖大气污染物溯源、半导体精密制造(如光刻、原子层沉积及离子注入工艺的气体纯度控制)、航空航天关键部件性能评估以及地下密闭空间安全监测等多个关键领域。精准获取气体组分信息不仅是优化生产流程的核心需求,更是保障生态环境安全的重要技术支撑。

    质谱分析技术凭借其高灵敏度与选择性,已成为气体成分检测的主要方法之一[5-6]。然而,传统质谱系统需将样品预处理至超高真空环境(通常低于10−3 Pa),这与实际工业场景中气体普遍存在的常压或中低真空条件(10~105)Pa形成显著冲突[7-10]。以半导体制造为例,工艺气体实时监测需在数十至数千帕压力范围内进行,而传统系统因压力适应性不足导致采样效率和可应用场景受限。此外,在突发环境事故应急检测、高价值设备/器件储运环境监控等场景中,常压或近常压条件下的气体成分快速原位分析需求亦对现有技术提出严峻挑战。

    采样系统作为质谱分析的前端模块,其性能直接决定分析结果的可靠性与重复性[11]。现有常压/低压采样装置多针对窄压力区间设计,当超出预设范围时易引发两类问题:高压气体输入可能导致质谱电离源损毁,而低压环境下系统本底泄漏与出气效应则会显著干扰微量组分检测。此类局限性导致现有设备普遍存在压力窗口狭窄(通常低于两个数量级)、动态响应滞后等缺陷,难以满足日益增长的高精度质谱分析需求。

    针对上述问题,为了满足半导体制造、航天工程等领域对(10~105)Pa 气体进行可控取样分析的要求,本文设计一种新型的可控取样系统,将取样后压力稳定在(10−3~10−4)Pa之间。该系统将综合考虑气体在不同压力下的物理特性,通过新的结构设计、组件选型和控制策略,实现对该压力范围内气体样品的稳定采集和传输,可与多种型号质谱计耦合,为宽压力范围常压和真空低压气体质谱分析提供可靠支撑。

    • 本文设计的可控取样系统的结构原理如图1所示,主要包括真空抽气模块、节流取样模块、真空测量模块、温控模块和数采与控制模块。

      系统对待取样气体可控取样是通过毛细取样管、压电微调阀的两级压力衰减和抽气流量分类(通过C3、C4选择使用)控制实现的:系统根据(10~105)Pa范围的待取样气体压力($ {p_1} $)范围选取适合的取样和抽气管路,较高压力的待取样气体通过阀门V1经毛细管C1进入气体取样室VC1,压力衰减为$ {p_2} $,之后通过气体取样室VC1压力和质谱分析室VC2设定压力的联合反馈,对压电微调阀门开度的进行粗调和精调,使得质谱分析室VC3内气体形成动态平衡获得稳定压力$ {p_3} $;较低压力的待测气体通过阀门V2、V4直接引入取样室,同样通过对压电微调阀门开度的进行粗调和精调,使得质谱分析室VC2内气体形成动态平衡获得稳定压力。在上述两种情况下,可控取样系统均能够使质谱分析室VC2内压力$ {p_3} $稳定在(10−3~10−4)Pa之间的某一值,使四极质谱计QMS处在较佳的工作压力范围,也可以提高利用标准混合气漏孔对质谱计进行校准的准确性。系统的三维设计示意图如图2所示,装置长、宽、高分别约为800 mm、600 mm、600 mm (不含V1、V3之间和V2、V4之间的柔性取样管)。

    • 可控取样系统的真空抽气模块由分子泵、干泵和小孔流导元件组成。选用氮气抽速约为50 L的小型真空泵;小孔流导元件C3、C4布置在分子泵入口处,其作用是限制抽气速率,以便于实现对质谱分析室内压力的稳定控制。

      假设经毛细取样管进入取样室VC1气体压力较低,满足分子流态条件,那么通过取样管路进入质谱分析室VC2的气体体积流量Q可以通过公式(1)和公式(2)进行计算[12-13]

      式中,$ {p_2} $$ _{ }p_3 $分别为压电微调阀C2前端压力(真空计G2示数)和后端压力(真空计G3示数),单位为Pa;$ C_2 $为压电微调阀C2的流导值,单位为m3/s;$ C\mathrm{_i} $$ \alpha_i $i可取3或4,i取3(4)时,$ C_{{i}} $$ \alpha_{{i}} $分别为小孔流导元件C3(C4)的流导值$ C_3 $$ C_4 $)和返流比$ \alpha_3 $$ \alpha_4 $)。

      由于 C2的值较小,$ {p_2} \gg {p_3} $,联立公式(1)和公式(2),$ {p_3} $的计算公式可以简化表示为:

      根据公式(3)可知,为计算取样后压力需要确定小孔流导元件C3、C4的流导值和返流比。

    • 小孔流导元件C3、C4是精密加工的圆形薄壁小孔,直径经约为14.7 mm和5.0 mm,由于它们直径较大,在分子流状态下,其对应流导值$ {C}_{{i}} $可以按照公式(4)进行计算[14-16]

      式中,A0为小孔的面积,单位为m2T为气体热力学温度,单位为K;M为气体的分子量,单位为g/mol;R为摩尔气体常数,取8.314 J/(mol·K);K1为圆柱孔克劳辛修正系数,对孔厚度d进行修正;K2为锥形圆孔修正系数。

      根据对小孔尺寸的计量结果,经计算小孔流导元件C3、C4对于氮气的流导值分别为1.9×10−2 m3/s和2.1×10−3 m3/s。

    • 在分子流状态下,针对此抽气系统,对于某一种气体小孔流导元件C3、C4的返流比$ \alpha _{i} $基本保持不变,可以通过实验测试获得[17-18]。返流比$ \alpha _{i} $的测量原理如图3 所示,分别测量质谱分析室VC2内气体压力和抽气泵入口的气体压力,并通过式(5)计算。

      在返流比的测量过程中,首先打开阀门V8、关闭阀门V9,利用稳压供气模块和压电微调阀门向质谱分析室VC2中持续通入一定量的气体,并通过分子泵的持续抽气形成稳定的分子流状态的气体流量;在质谱分析室VC2内压力基本稳定后,分别打开Vu和Vd,利用同一个电离真空计分别测量小孔流导元件C3上游气体压力(${p_{\mathrm{u}}}$)和下游压力(${p_{\mathrm{d}}}$),并通过式(5)计算此时返流比${\alpha _3}$。随后,关闭阀门V8、打开阀门V9, 重复上述测量过程,对小孔流导元件C4的返流比进行测量。

      小孔流导元件C3、C4针对氮气的返流比实际测量结果分别如表1表2所列。

    • 节流取样模块主要包括毛细取样管、稳压室和压电微调阀。为了实现对(10~1×105)Pa宽压力范围气体的稳定取样,并使质谱分析室VC2的压力被稳定控制在(1×10−4~1×10−3)Pa范围内,需要对毛细取样管、压电微调阀和抽气模块进行耦合设计。

    • 本系统选用的压电微调阀主要由微米量级的进气口和压电弯曲元件组成,通过10 V~100 V的直流驱动电压可以控制压电弯曲元件的曲度,进而控制其与进气口的间隙,从而实现对进气流量的控制。为了使保证设计的可靠性,利用定容法原理[19-21],对10 V~100 V范围内不同驱动电压下压电微调阀的氮气流导值进行了实验测试。

      图4所示,压电陶瓷阀可以调节的氮气流导范围约为(1.3×10−8~4.7×10−6)m3/s,在10 V~100 V范围内压电微调阀氮气流导值与驱动电压基本呈分段线性关系,可以用公式(6)进行描述:

      式中,C2为压电微调阀氮气流导值,单位为m3/s; U为压电微调阀驱动电压,单位为V。

    • 要使质谱分析室VC2内压力${p_3}$控制在(1×10−4~1×10−3)Pa范围内,根据公式(2)计算可得:打开阀门V8、关闭阀门V9,通过小孔流导元件C3进行抽气时,取样系统气体流量约为(1.7×10−6~1.7×10−5) Pa·m3/s;关闭阀门V8、打开阀门V9,通过小孔流导元件C4进行抽气时,取样系统气体流量约为(1.8×10−7~1.8×10−6)Pa·m3/s。所以,可控取样系统气体流量范围应为(1.8×10−7~1.7×10−5)Pa·m3/s。进而,根据公式(1)计算可得,当压电微调阀流导值为4.7×10−6 m3/s、取样流量为1.8×10−7 Pa·m3/s时,取样室压力$ {p_2} $为最小,约为3.6×10−2 Pa;当压电微调阀流导值为1.3×10−8 m3/s、取样流量为1.7×10−5 Pa·m3/s时,取样室压力$ {p_2} $为最大,约为1.3×103 Pa。

      通过上述分析可知,当待取样气体压力在(10~1.3×103)Pa时,通过阀门V2、V4直接引入气体取样室VC1即可;当待取样气体压力在(1.3×103~1×105)Pa时,则需要通过阀门V1、V3及其中间的毛细取样管进行节流压力衰减后再引入气体取样室VC1。所以,需要针对(1.3×103~1×105)Pa压力范围待取样气体,对所需毛细取样管几何特性进行设计。

      由于毛细管最大设计入口压力为常压,两端压差不会过大,一般可以使用层流模型对取样毛细管内气体流动状态进行估算[22-24]。取样系统的体积流量可以根据公式(7)计算[25-26]

      式中,Q为层流条件下毛细管内体积流量;d为毛细取样管内径;l为毛细取样管长度;$ {p_1} $$ {p_2} $分别为毛细取样管入口、出口压力,$ \eta $为气体动力学粘度。

      对于气体为20℃空气,公式(7)可以简化为:

      那么,毛细取样管出口压力$ {p_2} $可以通过公式(9)进行计算:

      为了满足设计要求,边界条件之一是毛细取样管入口压力$ {p_1} $为最大值1×105 Pa(对应取样系统流量Q为最大值1.7×10−5 Pa·m3/s)时,毛细取样管出口压力$ {p_2} $≤1.3×103 Pa。根据公式(9)计算可得:

      根据公式(9),系统设计需要满足另一边界条件是毛细取样管入口压力$ {p_1} $为最小值1.3×103 Pa(对应取样系统流量Q为最小值1.8×10−7 Pa·m3/s)时,毛细取样管出口压力$ {p_2} $ > 0,即:

      经计算可得:

      根据以上分析,可以确定毛细取样管尺寸特征需要满足$ 2.0\times {10}^{-13}< \dfrac{{d}^{4}}{l}\leqslant 2.5\times {10}^{-13} $的条件。本文设计系统选用内径为0.6 mm、长度为0.6 m的不锈钢毛细管($\dfrac{{{d^4}}}{l}$=2.2×10−13)。需要指出的是,如果取样气体中主要组分的动力学粘度与空气差异较大,建议在设计中对毛细管尺寸特征进行核算,以确定选用的毛细管可以保证取样前、后的气体压力范围均能满足设计要求。

    • 在确定毛细取样管尺寸特征、压电微调阀流导特性曲线、小孔流导元件C3及C4流导值和返流比后,根据公式(2)和公式(8)计算,在开启抽气泵组(干泵RP和分子泵TMP)后,可以确定取样控制策略如下:

      (1)当待取样气体压力在(1.1×104~1.0×105)Pa时:需要打开阀门V1、V3、V8、关闭阀门V9,使待取样气体通过毛细取样管、压电陶瓷阀C2和小孔流导元件C3,在质谱分析室VC2形成动态平衡稳定气流,此时理论取样气体流量为(1.7×10−6~1.5×10−5) Pa·m3/s;

      (2)当待取样气体压力在(1.3×103~1.1×104)Pa时:打开阀门V1、V3、V9,关闭阀门V8,使待取样气体通过毛细取样管、压电陶瓷阀C2和小孔流导元件C4,在质谱分析室VC2形成动态平衡稳定气流,此时理论取样气体流量为(1.8×10−7~1.7×10−6)Pa·m3/s;

      (3)当待取样气体压力在(10~1.3×103)Pa时:需要打开阀门V2、V4、V8阀门,使待取样气体直接进入气体取样室VC1,之后经压电陶瓷阀C2和小孔流导元件C3,在质谱分析室VC2形成动态平衡稳定气流,此时理论取样气体流量为(1.7×10−6~1.7×10−5)Pa·m3/s。

    • 图5所示,首先对可控取样系统样机数采与控制模块进行调试:利用实验室的稳压供气模块提供不同压力的高纯氮气作为待取样气体,按照前文分析确定的控制策略,选取系列压力的待取样气体对可控取样系统控制参数进行预先调试;针对不同待取样气体压力范围分段优化压电微调阀驱动电压控制中值和相应的PID反馈控制参数,并将相关参数内置到控制软件模块之中。

      随后,选取典型压力的待取样气体验证组件选型和控制测量的正确性。通过稳压供气模块依次向可控取样系统样机气体取样口的提供压力约为1×105 Pa、1×104 Pa、1×103 Pa、1×102 Pa 和10 Pa的稳压高纯氮气,之后利用系统对待取样气体进行取样,通过监测安装在质谱分析室上真空计G3的示数$ {p_3} $的变化来验证可控取样系统的性能。

      气体取样过程中质谱分析室VC2内压力$ {p_3} $变化情况如图6所示。在对压力为1.02×105 Pa、1.0×104 Pa、1.1×103 Pa、1.2×102 Pa 和10 Pa待取样气体取样过程中,当打开取样阀门V1或V2后,$ {p_3} $会快速上升,之后在压电微调阀的控制之下,$ {p_3} $可以较为快速的下降到(1.0×10−4~1.0×10−3)Pa范围内,并在此范围形成较为稳定的动态平衡压力,达到了可控取样系统的设计目标。

    • 针对半导体制造、航天工程等领域对宽压力范围真空低压气体取样分析的需求,本文设计了一种新型的可控取样系统,可以对(10~105)Pa的气体进行可控、稳定取样。通过理论计算与实验测试确定了关键元件参数,如小孔流导元件的流导值和返流比、压电微调阀的流导值以及毛细取样管的尺寸等,并给出了针对不同待取样气体压力范围的取样控制策略。经实验验证,在待取样气体压力(10~105)Pa范围内,该系统能将质谱分析室内压力稳定控制在(1.0×10−4~1.0×10−3)Pa,达到了设计目标。系统可以与多种型号质谱计耦合,为相关领域常压和真空环境气体质谱分析提供可靠的支撑。

    参考文献 (26)

目录

/

返回文章
返回