基于锗硅异质结双极晶体管的低噪声放大器及其反模结构的单粒子瞬态数值仿真研究

上一篇

下一篇

黄馨雨, 张晋新, 王信, 吕玲, 郭红霞, 冯娟, 闫允一, 王辉, 戚钧翔. 基于锗硅异质结双极晶体管的低噪声放大器及其反模结构的单粒子瞬态数值仿真研究[J]. 物理学报, 2024, 73(12): 126103-1. doi: 10.7498/aps.73.20240307
引用本文: 黄馨雨, 张晋新, 王信, 吕玲, 郭红霞, 冯娟, 闫允一, 王辉, 戚钧翔. 基于锗硅异质结双极晶体管的低噪声放大器及其反模结构的单粒子瞬态数值仿真研究[J]. 物理学报, 2024, 73(12): 126103-1. doi: 10.7498/aps.73.20240307
Xin-Yu Huang, Jin-Xin Zhang, Xin Wang, Ling Lü, Hong-Xia Guo, Juan Feng, Yun-Yi Yan, Hui Wang, Jun-Xiang Qi. Numerical simulation of single-particle transients in low-noise amplifiers based on silicon-germanium heterojunction bipolar transistors and inverse-mode structures[J]. Acta Physica Sinica, 2024, 73(12): 126103-1. doi: 10.7498/aps.73.20240307
Citation: Xin-Yu Huang, Jin-Xin Zhang, Xin Wang, Ling Lü, Hong-Xia Guo, Juan Feng, Yun-Yi Yan, Hui Wang, Jun-Xiang Qi. Numerical simulation of single-particle transients in low-noise amplifiers based on silicon-germanium heterojunction bipolar transistors and inverse-mode structures[J]. Acta Physica Sinica, 2024, 73(12): 126103-1. doi: 10.7498/aps.73.20240307

基于锗硅异质结双极晶体管的低噪声放大器及其反模结构的单粒子瞬态数值仿真研究

    作者简介: 黄馨雨: 1633573108@qq.com .
    通讯作者: E-mail: jxzhang@xidian.edu.cn.; 
  • 中图分类号: 61.80.Az, 85.30.-z

Numerical simulation of single-particle transients in low-noise amplifiers based on silicon-germanium heterojunction bipolar transistors and inverse-mode structures

    Corresponding author: E-mail: jxzhang@xidian.edu.cn.; 
  • MSC: 61.80.Az, 85.30.-z

  • 摘要: 针对锗硅异质结双极晶体管(SiGe HBT)进行TCAD仿真建模, 基于SiGe HBT器件模型搭建低噪放大器(LNA)电路, 开展单粒子瞬态(SET)的混合仿真, 研究SET脉冲随离子不同LET值、入射角度的变化规律. 结果表明: 随着入射离子LET值的增大, LNA端口的SET脉冲的幅值增大, 振荡时间延长; 随着离子入射角的增大, LNA端口的SET脉冲的幅值先增大后减小, 振荡时间减小. 使用反模(IM)共射共基结构(Cascode)降低LNA对单粒子效应的敏感度, 验证了采用IM结构的LNA电路的相关射频性能. 针对离子于共基极(CB)晶体管、共发射极(CE)晶体管两种位置入射进行SET实验. 实验结果与本实验中的正向模式相比, IM Cascode结构的LNA电路的瞬态电流持续时间明显减少, 并且峰值减小了66%及以上.
  • 加载中
  • 图 1  二维器件模型示意图 (a) 二维器件模型图; (b) Ge组分随着纵轴坐标变化示意图

    Figure 1.  Schematic of two-dimensional (2D) device model: (a) 2D Device model diagram; (b) schematic diagram of the variation of the Ge component with the coordinate of the vertical axis.

    图 2  低噪放大器电路图

    Figure 2.  Low noise amplifier circuit diagram.

    图 3  离子入射轨迹仿真图

    Figure 3.  Simulation of ion incidence trajectory.

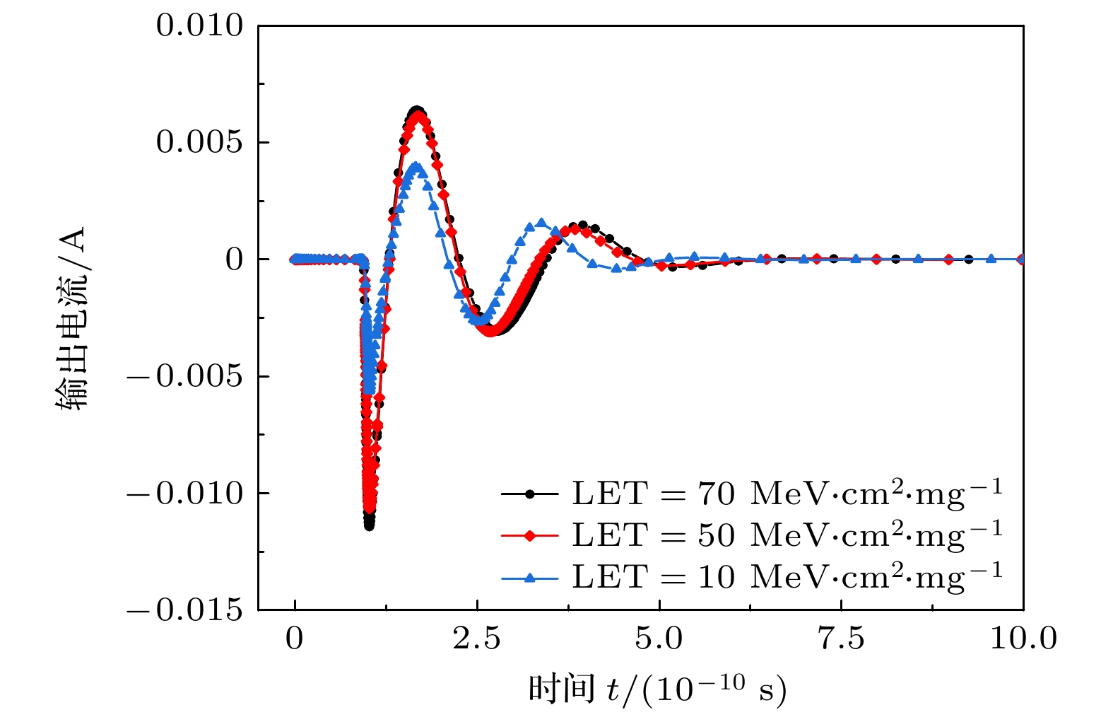
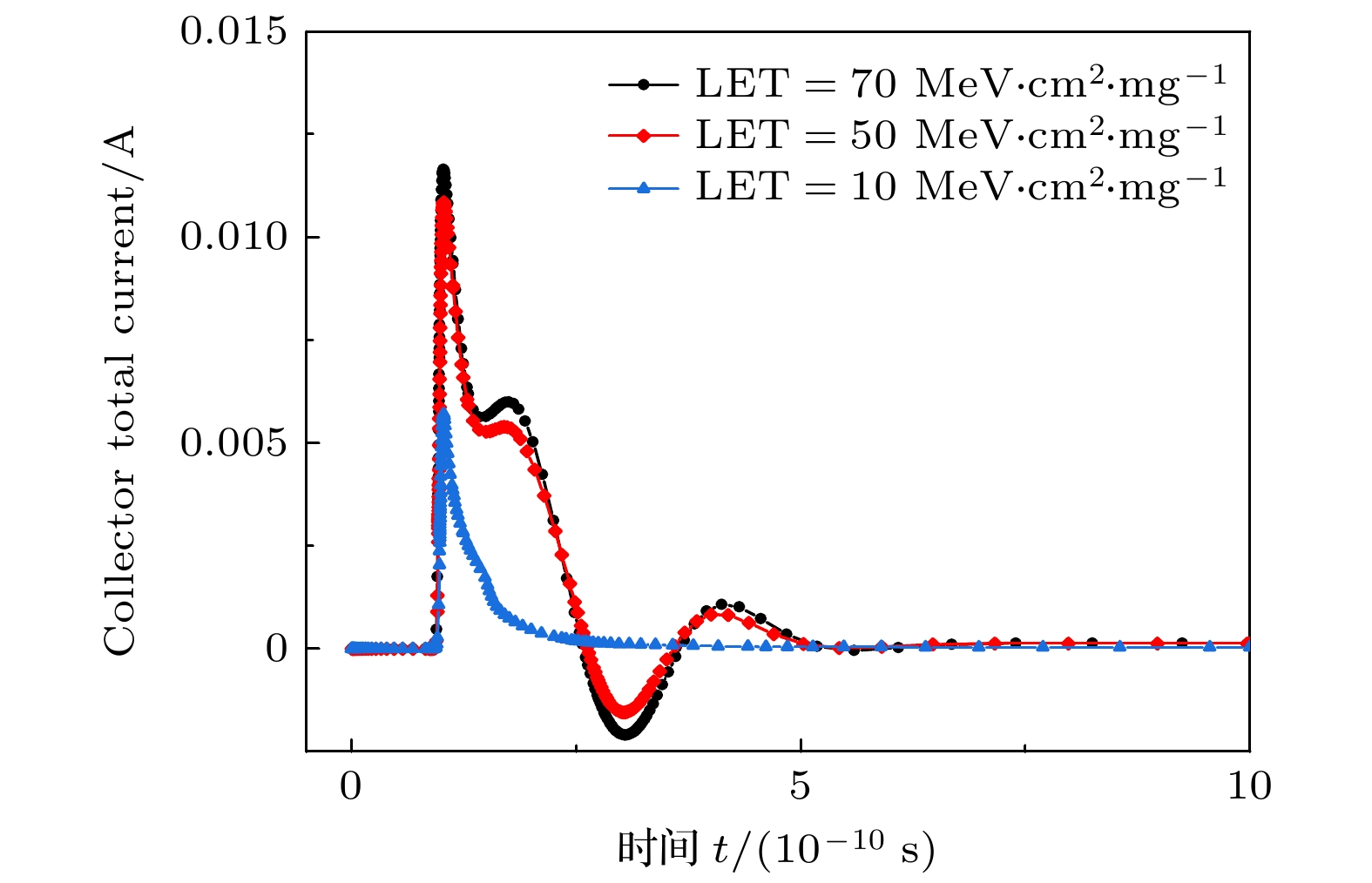
    图 4  不同LET值的LNA输出端口瞬态电流对比图

    Figure 4.  Comparison of transient currents at LNA output ports for different LET values.

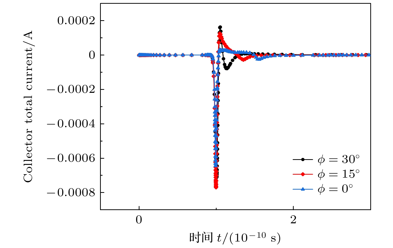
    图 6  不同LET值的重离子入射CB晶体管时, CE的SET电流仿真图

    Figure 6.  Simulation of SET current of CE when the heavy ions with different LET values incident on CB transistor.

    图 5  不同LET值的重离子入射CB晶体管时, CB的SET电流仿真图

    Figure 5.  Simulation of the SET current of the CB when the heavy ions with different LET values incident on the CB transistor.

    图 7  离子入射角度示意图

    Figure 7.  Schematic diagram of the angle of incidence of ions.

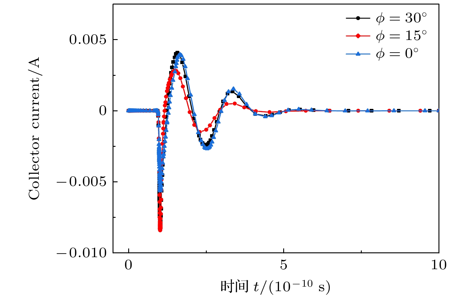
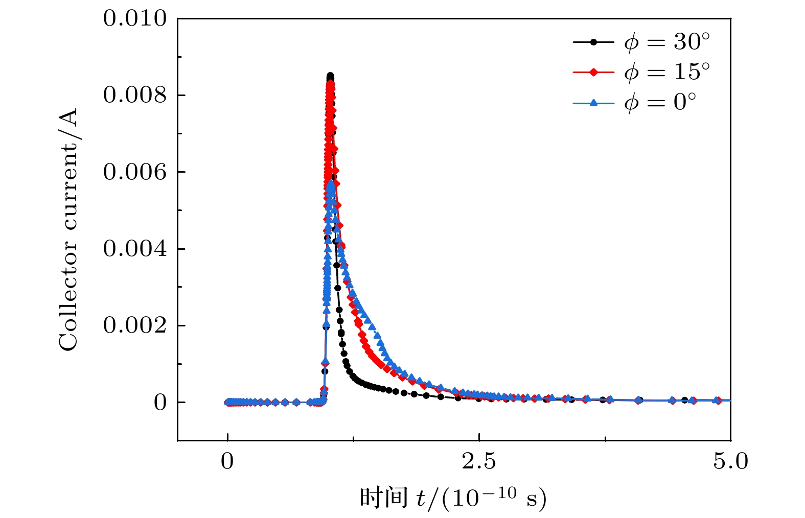
    图 8  不同入射角度的LNA输出端口瞬态电流对比图

    Figure 8.  Comparison of transient currents at the output ports of LNAs with different incidence angles.

    图 10  不同角度的重离子入射CB晶体管时, CE的SET电流仿真图

    Figure 10.  Simulation of the SET current of CE when heavy ions are incident on the CB transistor at different angles.

    图 9  不同角度的重离子入射CB晶体管时, CB的SET电流仿真图

    Figure 9.  Simulation of the SET current of the CB when heavy ions are incident on the CB transistor at different angles.

    图 11  IM-SiGe fT与IC之间的关系

    Figure 11.  Relationship between fT and IC of IM-SiGe.

    图 12  IM-SiGe fMAX与IC之间的关系

    Figure 12.  Relationship between fMAX and IC of IM-SiGe.

    图 13  Cascode配置的F-F与I-F结构示意图

    Figure 13.  Schematic diagram of F-F and I-F structures with Cascode configurations.

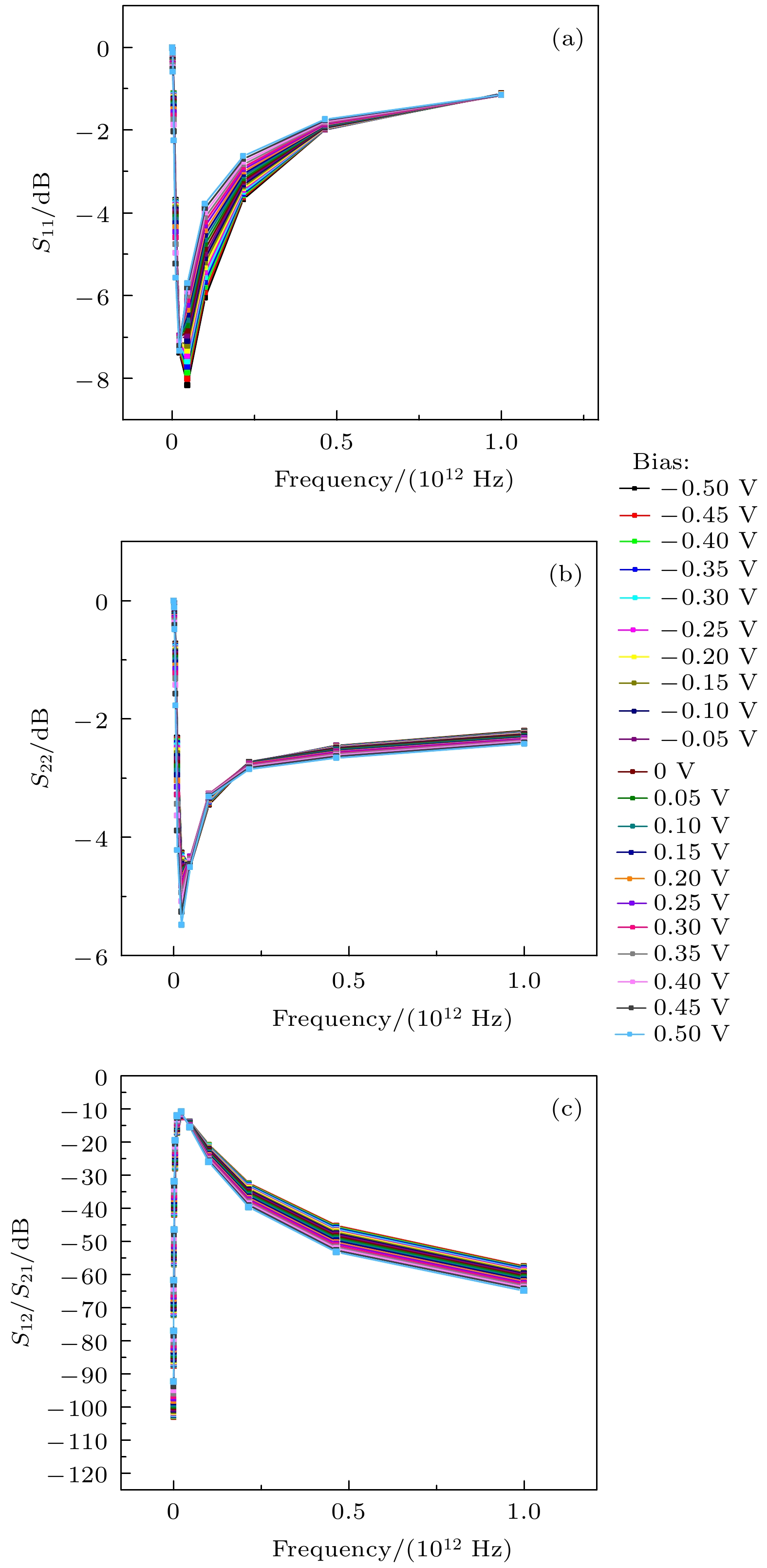
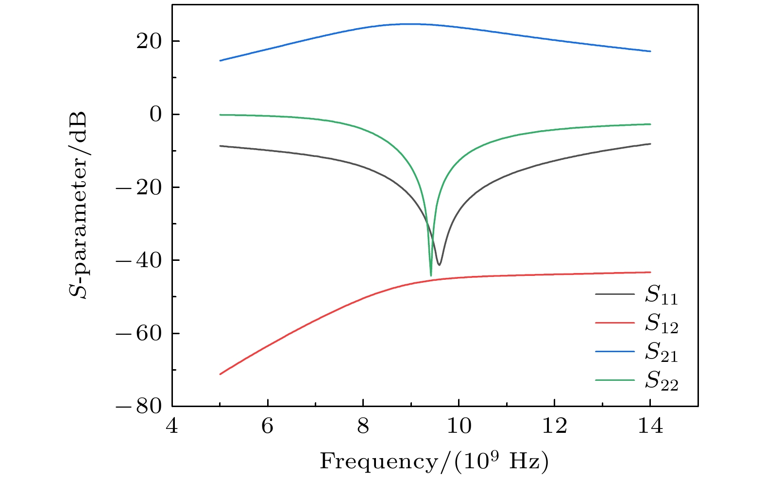
    图 14  SiGe HBT器件的S参数Smith图 (a) S11 (红色)/S22 (蓝色); (b) S12 (红色)/S21 (蓝色)

    Figure 14.  Smith chart of S-parameters of SiGe HBT devices: (a) S11 (red)/S22 (blue); (b) S12 (red)/S21 (blue).

    图 15  ADS SiGe HBT器件的S参数Smith图 (a) S11 (红色)/S22 (蓝色); (b) S12 (红色)/S21 (蓝色)

    Figure 15.  S-parameter Smith chart of ADS SiGe HBT device: (a) S11 (red)/S22 (blue); (b) S12 (red)/S21 (blue)

    图 16  SiGe HBT器件的S参数扫描图 (a) S11; (b) S22; (c) S21

    Figure 16.  S-parameter scan of SiGe HBT device: (a) S11; (b) S22; (c) S21.

    图 17  SiGe HBT TCAD与ADS器件的S参数对比图(Vce = 1 V, Vbe = 0.5 V) (a) S11; (b) S22; (c) S12/S21

    Figure 17.  S-parameter comparison of SiGe HBT TCAD and ADS devices biased at 0.5 V (Vce = 1 V, Vbe = 0.5 V): (a) S11; (b) S22; (c) S12/S21.

    图 18  传统模式下LNA的S参数图

    Figure 18.  S-parameter plot of LNA in forward mode.

    图 19  中心频率为9.5 GHz的I-F结构以及F-F结构的LNA电路S参数图对比 (a) S11; (b) S12; (c) S21; (d) S22

    Figure 19.  Comparison of S-parameter plots of LNA circuits with I-F structure and F-F structure at a center frequency of 9.5 GHZ: (a) S11; (b) S12; (c) S21; (d) S22.

    图 20  I-F结构以及F-F结构的LNA电路NF对比图

    Figure 20.  NF comparison of LNA circuits with I-F structure as well as F-F structure.

    图 21  F-F LNA以及I-F LNA电路中对CB与CE的晶体管进行重离子入射示意图 (a) 重离子入射CB; (b) 重离子入射CE

    Figure 21.  Schematic of heavy-ion incidence on the transistors of CB and CE in F-F LNA as well as I-F LNA circuits: (a) Heavy ion incident CB; (b) heavy ion incident CE.

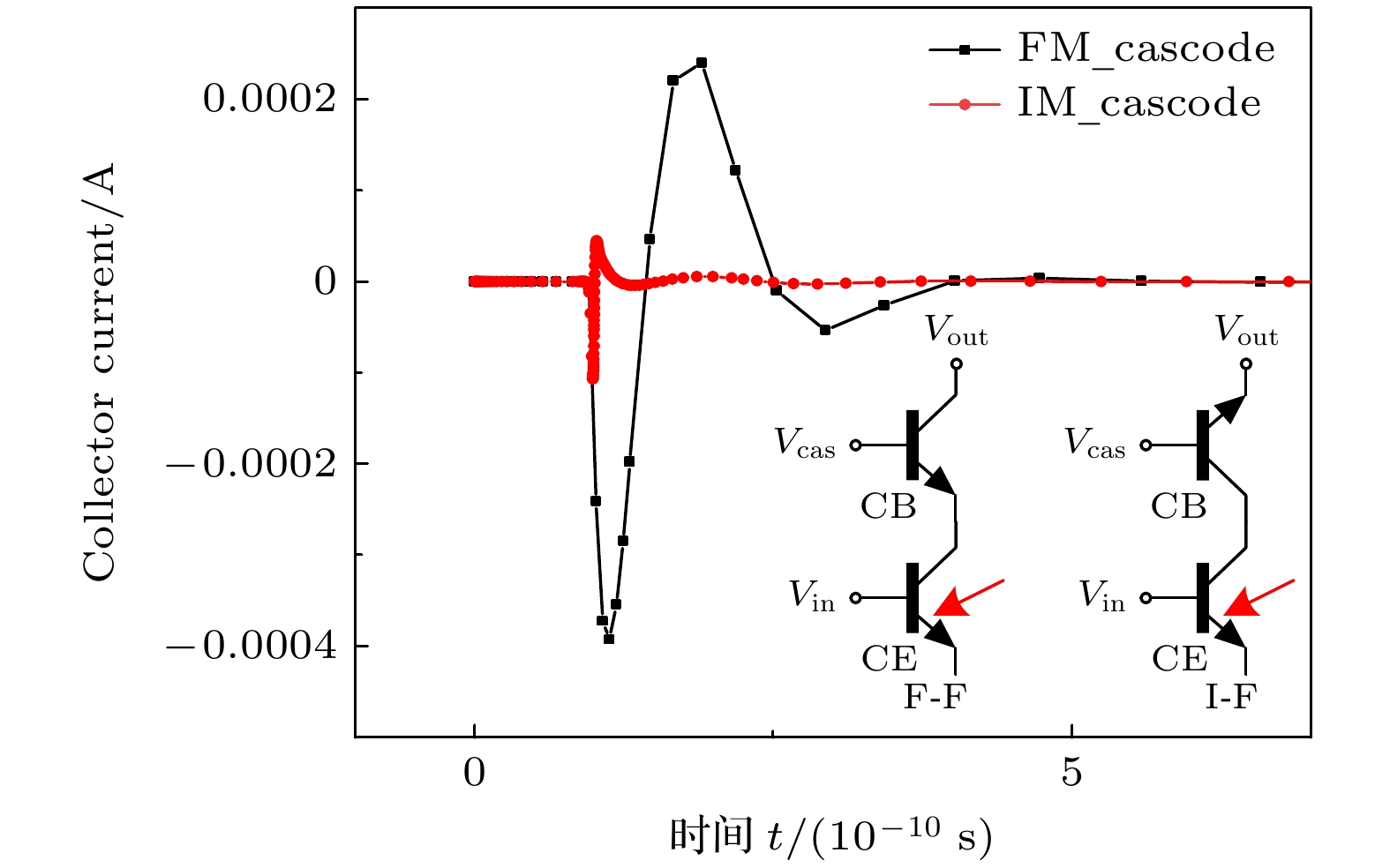
    图 22  CB在离子入射条件下F-F和I-F共源共栅配置的SET模拟结果

    Figure 22.  CB SET simulation results for F-F and I-F common source and common gate configurations under ion incidence conditions.

    图 23  CE在离子入射条件下F-F和I-F共源共栅配置的SET模拟结果

    Figure 23.  CE SET simulation results for F-F and I-F common source and common gate configurations under ion incidence conditions.

    表 1  LNA核心参数

    Table 1.  LNA core parameters.

    LNA核心参数 I-F Cascode F-F Cascode
    f0/GHz 9.5 9.5
    S21/dB 20 23
    NF/dB 2.9 1.4
    P1dB/dBm –18 –22
    下载: 导出CSV
  • [1] 辛启明, 刘英坤, 贾素梅 2011 半导体技术 36 672 doi: 10.3969/j.issn.1003-353x.2011.09.005 Xin Q M, Liu Y Q, Jia S M 2011 Semicond. Technol. 36 672 doi: 10.3969/j.issn.1003-353x.2011.09.005
    [2] Meyerson B S 1986 Appl. Phys. Lett. 48 797 doi: 10.1063/1.96673
    [3] 马良 2019 中国新通信 21 222 doi: 10.3969/j.issn.1673-4866.2019.12.181 Man L 2019 Chin. New Telecommun. 21 222 doi: 10.3969/j.issn.1673-4866.2019.12.181
    [4] 谢孟贤, 古妮娜 2008 微电子学 38 34 Xie M X, Gu N N 2008 Microelectronics 38 34
    [5] Çaışkan C, Kalyoncu I, Yazici M, Gurbuz Y 2018 IEEE Trans. Circuits Syst. Regul. Pap. 66 1419 doi: 10.1109/TCSI.2018.2883949
    [6] 包宽, 周骏, 沈亚 2017 固体电子学研究与进展 37 239 Bao K, Zhou J, Shen Y 2017 Solid State Electron. Res. Prog. 37 239
    [7] 李培, 郭红霞, 郭旗, 文林, 崔江维, 王信, 张晋新 2015 物理学报 64 118502 doi: 10.7498/aps.64.118502 Li P, Guo H X, Guo Q, Wen L, Cui J W, Wang X, Zhang J X 2015 Acta Phys. Sin. 64 118502 doi: 10.7498/aps.64.118502
    [8] Appaswamy A 2009 Ph. D. Dissertation (Georgia: Georgia Institute of Technology
    [9] Sheng L, Yong-Bin K, Fabrizio L 2011 IEEE Trans. Device Mater. Reliab. 12 68 doi: 10.1109/TDMR.2011.2167233
    [10] Jung S, Lourenco N E, Song I, Oakley M A, England T D, Arora R, Cressler J D 2014 IEEE Trans. Nucl. Sci. 61 3193 doi: 10.1109/TNS.2014.2358207
    [11] Al Seragi E M, Dash S, Muthuseenu K, Cressler J D, Barnaby H J, Khachatrian A, Buchner S P, McMorrow D, Zeinolabedinzadeh S 2021 IEEE Trans. Nucl. Sci. 69 2154 doi: 10.1109/TNS.2021.3085309
    [12] Li P, He C H, Guo H X, Zhang J X, Li Y, Wei J 2019 Microelectron. Reliab. 103 113499 doi: 10.1016/j.microrel.2019.113499
    [13] Zhang J X, Guo Q, Guo H X, Lu W, He C H, Wang X, Wen L 2018 Microelectron. Reliab. 84 105 doi: 10.1016/j.microrel.2018.03.007
    [14] Jin D Y, Wu L, Zhang W R, Na W C, Yang S M, Jia X X, Yang Y Q 2022 J. Beijing Univ. Technol. 48 1280 doi: 10.11936/bjutxb2021070007
    [15] Zhang J X, Guo H X, Pan X Y, Guo Q, Zhang F Q, Feng J, Wang X, Wei Y, Wu X X 2018 Chin. Phys. B 27 108501 doi: 10.1088/1674-1056/27/10/108501
    [16] 张晋新, 王信, 郭红霞, 冯娟, 吕玲, 李培, 闫允一, 吴宪祥, 王辉 2022 物理学报 71 058502 doi: 10.7498/aps.71.20211795 Zhang J X, Wang X, Guo H X, Feng J, Lü L, Li P, Yan Y Y, Wu X X, Wang H 2022 Acta Phys. Sin. 71 058502 doi: 10.7498/aps.71.20211795
    [17] Lourenco N E, Zeinolabedinzadeh S, Ildefonso A, Fleetwood Z E, Coen C T, Song I, Cressler J D 2016 IEEE Trans. Nucl. Sci. 63 273 doi: 10.1109/TNS.2015.2509250
    [18] Chen W, Pouget V, Barnaby H J, Cressler J D, Niu G, Fouillat P, Lewis D 2003 IEEE Trans. Nucl. Sci. 50 2081 doi: 10.1109/TNS.2003.820766
    [19] Zeinolabedinzadeh S, Ying H, Fleetwood Z E, Roche N J H, Khachatrian A, McMorrow D, Cressler J D 2016 IEEE Trans. Nucl. Sci. 64 125 doi: 10.1109/TNS.2016.2631431
    [20] Lourenco N E, Phillips S D, England T D, Cardoso A S, Fleetwood Z E, Moen K A, Cressler J D 2013 IEEE Trans. Nucl. Sci. 60 4175 doi: 10.1109/TNS.2013.2290301
    [21] Phillips S D, Moen K A, Lourenco N E, Cressler J D 2012 IEEE Trans. Nucl. Sci. 59 2682 doi: 10.1109/TNS.2012.2218129
    [22] 李培, 贺朝会, 郭红霞, 张晋新, 魏佳男, 刘默寒 2022 太赫兹科学与电子信息学报 20 523 doi: 10.11805/TKYDA2021443 Li P, He C H, Guo H X, Zhang J X, Wei J N, Liu M H 2022 J. Terahertz Sci. Electron. Inf. Technol. 20 523 doi: 10.11805/TKYDA2021443
    [23] Najafizadeh L, Phillips S D, Moen K A, Diestelhorst R M, Bellini M, Saha P K, Marshall P W 2009 IEEE Trans. Nucl. Sci. 56 3469 doi: 10.1109/TNS.2009.2034159
    [24] Ildefonso A, Coen C T, Fleetwood Z E, Tzintzarov G N, Wachter M T, Khachatrian A, Cressler J D 2017 IEEE Trans. Nucl. Sci. 65 239 doi: 10.1109/TNS.2017.2772924
    [25] Song I, Raghunathan U S, Lourenco N E, Fleetwood Z E, Oakley M A, Jung S, Cressler J D 2016 IEEE Trans. Nucl. Sci. 63 1099 doi: 10.1109/TNS.2016.2518400
  • 加载中
图( 23) 表( 1)
计量
  • 文章访问数:  429
  • HTML全文浏览数:  429
  • PDF下载数:  6
  • 施引文献:  0
出版历程
  • 收稿日期:  2024-02-29
  • 刊出日期:  2024-06-20

基于锗硅异质结双极晶体管的低噪声放大器及其反模结构的单粒子瞬态数值仿真研究

    通讯作者: E-mail: jxzhang@xidian.edu.cn.; 
    作者简介: 黄馨雨: 1633573108@qq.com
  • 1. 西安电子科技大学空间科学与技术学院, 西安 710049
  • 2. 中国科学院新疆理化技术研究所, 乌鲁木齐 830011
  • 3. 西北核技术研究院, 西安 710024

摘要: 针对锗硅异质结双极晶体管(SiGe HBT)进行TCAD仿真建模, 基于SiGe HBT器件模型搭建低噪放大器(LNA)电路, 开展单粒子瞬态(SET)的混合仿真, 研究SET脉冲随离子不同LET值、入射角度的变化规律. 结果表明: 随着入射离子LET值的增大, LNA端口的SET脉冲的幅值增大, 振荡时间延长; 随着离子入射角的增大, LNA端口的SET脉冲的幅值先增大后减小, 振荡时间减小. 使用反模(IM)共射共基结构(Cascode)降低LNA对单粒子效应的敏感度, 验证了采用IM结构的LNA电路的相关射频性能. 针对离子于共基极(CB)晶体管、共发射极(CE)晶体管两种位置入射进行SET实验. 实验结果与本实验中的正向模式相比, IM Cascode结构的LNA电路的瞬态电流持续时间明显减少, 并且峰值减小了66%及以上.

English Abstract

    • 硅(Si)是在半导体工业中占据绝对优势的材料. Si材料易形成绝缘膜(SiO2以及SiN4)的优良特性便于实现廉价集成电路工艺, 使得Si器件在微电子技术中的应用率非常高, 但Si材料载流子的迁移率和饱和漂移速度较低, 及其能带结构间接跃迁的特性[1], 限制了Si材料的进一步发展. 因此, 在目前高频、低噪声、高要求的模拟电子电路的领域, 例如: 射频(RF)电路、低噪放大器(LNA)和功率放大器(PA)等, 通常使用化合物半导体材料如GaAs, InP等提升性能. IBM的Meyerson[2]发明的UHV/CVD技术, 通过在成熟廉价的Si工艺中引入少量的Ge来制造SiGe材料, 可实现更高的开关速度、更低的成本、功耗以及噪声系数等优势, 并且与Si具有更好的兼容性.

      锗硅异质结双极晶体管(SiGe HBT)通过加入Ge降低Si的禁带宽度, 对于NPN型晶体管, 能带结构的调整使得少数载流子的势垒降低, 可以抑制空穴从SiGe区到Si区的注入, 提升少数载流子在基区的渡越能力, 从而提高SiGe异质结电子注入的速度[3,4]. 当其他条件的影响导致晶体管放大系数降低时, 可通过调整Ge的组分, 实现高频低噪声的RF电路的设计.

      SiGe HBT因其高频率、高线性度、低功耗、低噪声系数以及与CMOS工艺的高兼容性等优势, 被广泛地应用于RF电路的设计[5]. 其中, LNA作为接收机链路的第一级有源电路, 极大程度地影响整个接收电路[6]. 利用SiGe工艺的性质: 即更高的截止频率、更好的低噪性能以及与CMOS工艺的高兼容性, 使用SiGe工艺设计LNA有极大的研究前景, 但是SiGe HBT对单粒子效应非常敏感, 具有较低的单粒子效应的临界阈值和较高的翻转截面积[7], 空间粒子入射易造成其相关电路失效. 通过对SiGe HBT的反向模式(inverse mode, IM)结构进行探究, 在实验中采用IM结构作为对设计的LNA电路进行抗辐射加固的方式(RHBD)[8]. 在RF LNA的设计中, 处于有源增益级的SiGe HBT需要提供合理的功率增益和良好的噪声系数, 以保证RF接收器的正常工作. 在SiGe 8HP工艺之前, 对RF SiGe电路中的辐射效应的探究都是使用传统正向模式(FM). 考虑到之前SiGe工艺不是十分合理的Ge组分变化以及较大的寄生现象导致采用IM结构的SiGe HBT的电流增益与高频性能下降的情况[9], IM SiGe HBT只能作为非关键晶体管使用在一些偏置电路、无源电路等结构中[10], 以确保IM结构导致的SiGe HBT RF性能的下降不会对其电路性能造成影响. 随着SiGe HBT特征工艺的不断减小, IM结构的SiGe HBT的单位增益频率(fT)以及最高振荡频率(fMAX)都得到了明显的改善, 可以达到几十GHz以上. 因此, 性能提升的IM结构的SiGe HBT具有应用于微电子电路的有源增益级的潜在能力, 为IM结构改善RF电路SET敏感性提供了可行性[11].

      本文在 Sentaurus TCAD平台上搭建SiGe HBT模型, 并基于该模型设计一个X波段的LNA电路, 该放大器采用共射共基(Cascode)结构作为其有源增益. 对该放大器展开单粒子瞬态混合仿真, 探究LNA电路端口及电路中器件产生的SET脉冲随离子入射CB晶体管时, 根据离子LET值、入射角度等影响因素的变化规律. 然后采用IM结构研究LNA电路的单粒子瞬态响应, 在ADS平台验证IM结构对建立起的LNA电路的性能影响, 比对分析其可行性. 对比IM, FM两种模式结构的LNA电路性能, 以及入射CB, CE两种情况下, 对采用FM结构、IM结构的LNA电路的输出端口瞬态电流变化情况进行探究、分析和总结.

    • LNA是接收机的重要组成部分, 其对接收机的性能会产生重大影响, 当离子入射LNA的核心器件时, 会引发单粒子效应, 对放大器的增益以及性能产生影响, 严重时甚至可导致电路损坏[12]. 本节将在Sentaurus TCAD平台搭建0.13 μm SiGe HBT模型, 并作为核心器件, 设计建立LNA电路.

    • SiGe HBT的结构类似于NPN Si BJT垂直型晶体管, 区别在于使用宽禁带的Si作为发射极和集电极、窄禁带的SiGe作为基区[13]. 本文搭建的HBT结构的基区为组分渐变的SiGe材料, Ge的含量由基极/集电极(B/C)结和发射极/基极(E/B)结的0%逐渐增加到基区中央的25%.

      本文中仿真的SiGe HBT尺寸为2.4 μm × 1.5 μm; 发射区厚度为0.225 μm, 掺杂浓度为5 × 1018 cm–3, 使用多晶硅覆盖在顶部引出发射极接触. 基区厚度为0.075 μm, 具有较高的掺杂浓度, 为1020 cm–3, 使得基区电阻大大降低, 满足了该SiGe HBT良好的交流特性以及噪声特性; 集电极部分可分为内集电极区以及外集电极区, 内部使用高斯掺杂, 掺杂浓度为集电极中心的1019 cm–3逐渐下降至衬底边缘的5×1016 cm–3, 外集电极区在接触层的掺杂浓度峰值为1020 cm–3. 所有的有源区生长在SiGe HBT的衬底上, 厚度为0.6 μm, 掺杂浓度为1.5×1015 cm–3.

      通过TCAD仿真工具构建的器件二维结构模型如图1(a)所示. 基区Ge的组分通过函数控制, 使用梯形分布的组分设计可以使得器件的截止频率最大[14], 与均匀分布相比, Ge组分随着纵轴坐标变化如图1(b)所示. 外延基区使用多晶硅材料掺硼掺锗引出基区接触, 增大基区电极的接触面积, 减小B/C结电阻. 通过在外延过程中引入Ge组分梯度, 可以在基区形成准电场, 提升载流子向集电区的漂移速度, 减小基区渡越时间[15,16].

    • LNA的电路图如图2所示, 使用Cascode结构可以提高增益和稳定性[17], Cascode结构电路由两个晶体管组成, 主要工作方式为共发射极(CE)晶体管的集电极端口将基极端口处施加的输入信号的电流放大, 该放大的集电极电流进入共基极(CB)晶体管的发射极, 在集电极处被单位增益放大[18]. 图2中L1为发射极反馈电感, 可以消除输入阻抗实部, 并且抵消掉一部分容性阻抗; L2和C2在输出端口组成了L型的输出阻抗结构, C2起到隔离直流并且匹配实部阻抗的作用; R1串联分压, 搭载C1作为去耦合电容; CB, CE为前文中搭建的SiGe HBT, 保证电路的稳定工作.

      LNA电路搭建完成之后, 对CB晶体管进行离子入射, 改变离子入射的LET值、角度, 获取实验结果, 探究不同因素对LNA电路端口及器件产生的瞬态电流的影响.

    • 根据上述建立的SiGe HBT LNA电路, 对其开展器件-电路单粒子效应混合仿真实验以分析离子LET值、离子入射角度对电路中的晶体管及LNA电路端口SET响应的影响.

      离子入射SiGe HBT示意图如图3所示, 离子入射器件中心, 特征半径为0.1 μm, 粒子入射时间为0.1 ns, 电离电荷时空上采用高斯分布. 仿真过程中使用到的物理模型有: Fermi-Dirac分布模型、禁带变窄效应以及与浓度有关的SRH (Shockley-Read-Hall)复合模型、俄歇复合模型. 晶体管的中心部分是SET最敏感的部位. 这部分是SiGe HBT器件的有源区域, 具有垂直配置, 可以引起电荷收集, 产生最高的瞬态.

    • LET是描述空间离子入射半导体材料中电离作用的物理量, 也是研究电子器件单粒子效应的重要参数. 准确地说, LET表示为入射离子在材料中单位长度上沉积的能量, 通过密度值进行归一化处理, 单位为MeV·cm2·mg–1.

      在入射离子的其他条件不变的情况下, 离子的LET值越大, 器件的单位长度上产生的电子-空穴对越多, 敏感区域内累计的电荷就越多, 产生的瞬态电流就越明显. 空间中太阳宇宙射线和银河宇宙射线包含的重离子原子序数分布在2—92, 地面试验模拟中常采用LET值为1—98 MeV·cm2·mg–1的离子进行辐照评估, 仿真选取LET = 10, 50, 70 MeV·cm2·mg–1作为变量进行仿真实验, 获得输出端口电流随不同LET值的变化情况.

      图4图6给出了模拟仿真获得的SiGe HBT LNA电路输出端口及电路内CB, CE晶体管在CB晶体管受到离子入射时, 单粒子瞬态电流的产生情况. 图4为离子入射CB时, LNA电路端口瞬态电流的产生情况, 可以看出, 离子入射导致电路端口在200 ps内产生快速的电流瞬变, 幅值约为20 mA. 随后在扩散作用下电流逐渐回落, 经过约250 ps的振荡后, 恢复至最初状态. 仿真同时分析电路中CB和CE两个晶体管在重离子入射CB时的瞬态电流产生情况, 图5表示不同LET值的重离子入射CB晶体管时, 电路中的CB晶体管集电极的瞬态电流仿真图, 离子入射CB导致CB晶体管的集电极在100 ps内出现电流瞬变, 在电流回落的过程中出现了第二个峰值, 电流在200 ps的振荡后, 恢复至最初状态. 图6表示未被入射重离子的CE晶体管的集电极瞬态电流仿真图, 离子入射CB后, CE晶体管的集电极在100 ps内产生了约1 mA的瞬态电流, 并快速回落, 电流在100 ps的振荡后, 恢复至最初状态.

      图4所示, 随着LET值的增大, LNA电路的输出端口的瞬态电流增大, 随后SET瞬态电流在恢复过程中产生了长时间的振荡. 由于对CB晶体管进行重离子入射, 晶体管内由离子入射产生的电荷被集电极收集, 集电极电压会随着电荷的收集而不断下降; 同时, 电子迁移率高于空穴迁移率, 导致LNA电路端口的瞬态电流存在向下的瞬变峰值, 之后多余的未被收集的电荷溢出集电极, 并且空穴到达, 集电极电流增大, 并随着离子入射过程, 不断振荡, 直到恢复到最初状态. 由理论分析可知, CB晶体管内部会因为入射离子LET值的增大, 产生更多的收集电荷, 导致LNA电路的输出端口的电流的幅度增大, 并且SET电流振荡时间变长.

      图5可知, 在重离子入射CB的情况下, CB晶体管产生的SET电流随着LET值的增大而变大, 并且在电路稳定之前, 振荡时间增加. 在LET值大于50 MeV·cm2·mg–1后, 晶体管产生的SET电流出现第二次峰值, 出现了明显的扩散现象, 这表明LET值增大到一定程度, 电荷收集的速度小于电荷积累的速度. 由图6可知, 在重离子入射CB的情况下, CE同样产生了SET瞬态电流, 证明CE器件在CB器件的发射极端提供了阻抗, 因此入射CB晶体管产生的额外的电荷载流子不能轻易地从该电路终端流出, 在CE器件内寻找另一条路径或重新组合, 导致CE晶体管产生了SET电流[19]. 并且随着LET值的增大, CB晶体管产生的未被收集的电荷越多, CE晶体管内产生的SET电流越明显, 拖尾时间变长.

    • 入射角度是指离子入射方向和器件表面法线的夹角, 如图7所示为离子入射器件角度的示意图.

      本次仿真使用的模型为0.13 μm的SiGe HBT模型, 离子入射角度选取范围较小, 因此, 采用入射角度分别为0°, 15°以及30°的重离子进行实验, 离子的LET值为10 MeV·cm2·mg–1.

      图8图10给出了模拟仿真获得的SiGe HBT LNA电路输出端口及电路内CB, CE晶体管在CB晶体管受到离子入射时, 单粒子瞬态电流的产生情况. 图8为离子以不同角度入射时, LNA电路SET仿真输出端口瞬态电流变化图, 可以看出, 离子入射导致电路端口在100 ps内产生快速的电流瞬变, 幅值约为15 mA. 随后在扩散作用下电流逐渐回落, 经历约300 ps的振荡时间后, 恢复至最初状态. 仿真同时分析电路中CB和CE两个晶体管在重离子入射CB时的瞬态电流产生情况, 图9表示对CB晶体管进行不同角度的重离子入射时, 电路中的CB晶体管集电极的瞬态电流仿真图, 离子入射CB导致CB晶体管的集电极在100 ps内产生电流瞬变, 在电流回落的过程中, 由于采用的是LET为10 MeV·cm2·mg–1的离子, 电流扩散效应的特征不明显, 电流回落后, 恢复至最初状态. 图10表示未被入射重离子的CE晶体管的集电极瞬态电流仿真图, 离子入射CB后, CE晶体管的集电极在100 ps产生了1 mA的瞬态电流, 并快速回落, 电流在100 ps的振荡后, 恢复至最初状态.

      图8所示, 随着入射角度增大, 在LNA输出端口瞬态电流产生的初期, 第一个峰值变大, 之后的第二个峰值, 入射角度为30°的离子产生的电流明显变小, 到第三个峰值, 为垂直入射的离子产生的电流幅度最大, 并且SET电流产生的振荡恢复时间最长. 这是由于离子在同样到达衬底的情况下, 入射角度越大, 射程越长, 轨迹与器件接触面积越大, 产生的电荷越多, 收集到的电荷就会更多. 但是只有当离子轨迹经过器件敏感区时才会产生有效的电荷收集, 所以离子的入射角度变大, 虽然击穿衬底的轨迹变长, 产生了更多的电荷, 但是在后期轨迹偏离器件的敏感区, 所以SET电流幅度变小, 振荡恢复时间减少.

      图9所示, 当不同角度的离子入射电路中的CB晶体管时, 虽然CB晶体管集电极SET的电流峰值随着入射角度的增大而变大, 但是整体产生的积累电荷量变少, SET电流的恢复时间明显小于垂直入射的离子所需的时间, 并且由于入射角度的增大导致集电极产生的累计电荷减少, 当离子垂直入射晶体管时, 集电极的瞬态电流的扩散效应更明显. 如图10所示, 在重离子入射CB晶体管时, CE晶体管同样产生了SET瞬态电流, 同上述分析, CE晶体管产生的SET电流是因为CB处晶体管受到离子入射后产生的多余载流子流入CE晶体管, 所以随着离子入射CB晶体管角度的增大, 前期产生的载流子数量增多, CE晶体管产生的SET幅度变大. 但后期随着离子轨迹偏离敏感区域, 载流子数量减少, 仍然是垂直入射CB晶体管时, CE晶体管产生的SET电流的振荡时间最长.

    • 由上述实验可知, SiGe HBT在离子入射晶体管有源区时会产生瞬态电流, 并且在LNA电路中工作时, 会对设计的LNA电路输出造成影响, 导致在模拟通信应用传播中产生失真. 使用IM结构, 即交换物理集电极与物理发射极, 可使发射极与集电极和衬底互相隔离. 采用IM结构下电路中的器件被离子撞击后, 由于隔离作用, 集电极产生的电子-空穴对较少, 瞬态电流的峰值也会减少. 因此与FM设计相比, 采用IM的电路的单粒子翻转(SEU)的灵敏度降低[20,21].

      但是如果将IM结构的SiGe HBT作为有源增益级用在LNA中, 其引起的增益衰退与额外噪声会对电路系统产生不可避免的影响. 8HP工艺出现之前, 采用IM-SiGe HBT的RF电路的性能会极大程度地退化, 致使电路无法正常工作. 所以很长一段时间, RF SiGe电路中的辐射效应研究局限于FM结构. 随着技术发展, 8HP工艺的SiGe HBT的fT 以及fMAX 峰值已超过200 GHz[22]. IM结构的SiGe HBT的fT 以及 fMAX 峰值可以达到几十GHz, 这样的硬件条件可保证IM-SiGe HBT不仅可以减低对应电路对于SET的灵敏度, 还可以更少地影响电路性能.

      在Sentaurus平台上使用上文搭建的130 nm SiGe HBT器件, 对IM结构的SiGe HBT进行fTfMAX参数的测量, 测量结果分别如图11图12所示, 其中IM-SiGe HBT的fT为36.4 GHz, fMAX为42.2 GHz, 具备了采用IM结构后较好维持电路性能的硬性条件.

      本文设计的LNA电路使用Cascode配置, 作为放大电路的核心结构, 选取合适的IM模式至关重要. CB晶体管的集电极电流流过CB晶体管集电极处的负载阻抗被转换为放大电压. 所以, 从LNA电路的工作角度分析, 为了获得更高的增益, CE处应使用较大的跨导, 采取FM结构. 而且CB晶体管作为Cascode结构中的电流增益极, 增益为β, 所以可以使用IM结构, 因此, 本文采取的IM Cascode结构为CB晶体管反向模式, CE晶体管正向模式, 即I-F结构, 如图13所示以缓解SET敏感度.

    • 本文通过在ADS软件上校准器件的方法, 将TCAD中搭建的器件应用于ADS平台设计的电路中的CB及CE晶体管, 以进行后续的实验. 首先在TCAD平台测量上述SiGe HBT的S参数, 通过TCAD Sdevice平台使用rfx_load语句调取SiGe HBT的ACGummel的plot文件中数据, 在指定的偏置点处提取HBT器件的S参数, 并在Smith圆图上绘制S11/S22S12/S21参数的曲线和数据点, 如图14所示. 在偏置电压Vce值固定为1 V情况下, 设定的参数值为: 1) Frequency即频率范围(1 MHz至1 THz); 2) 通过BiasPointIndex从rfx_BiasPoints列表中提取对应的偏置点值BiasPoint设定为Vbe (–0.5 V—0.5 V).

      在ADS软件上通过对130 nm SiGe HBT按照上图进行校准, 以便于作为后续实验中LNA电路的CB以及CE晶体管. 主要修改的器件参数为基极-发射极电容Cbe、基极-发射极电阻rbe、发射极电阻re、集电极-发射极电阻rce. 设定Vbe为0.5 V, Vce为1 V, 调整后的ADS SiGe HBT的S参数图如图15所示.

      对数据进行处理, 将S参数图化为直角坐标系, SiGe HBT的Vce为固定值1 V, 其中图例的偏压bias为Vbe的值, 范围为–0.5—0.5 V, 如图16所示.

      选取Vce为1 V, Vbe为0.5 V的情况, 将TCAD平台的HBT器件以及校准后的ADS平台HBT器件的S参数数据进行比对, 发现其射频特性非常接近, 如图17所示.

      在ADS软件上对于以F-F Cascode为核心的LNA进行测量, 图18为LNA电路的S参数图. 如图18所示, S11S22曲线在中心频率9.5 GHZ处均低于–20 dB, S12低于–40 dB, 具有良好的隔离性, S21所代表的正向功率增益在中心频率处高于20 dB. 该LNA具有良好的RF性能.

      在ADS平台, 将LNA电路中的核心区域(F-F)使用图13中的I-F结构进行替换, 并进一步测量和比对I-F结构对LNA电路性能的影响. 如图19(a)以及图19(d)所示, 采用I-F结构以及F-F结构的LNA的S11曲线和S22曲线在中心频率9.5 GHZ处均低于–10 dB. 其中IM Cascode结构在中心频率的回波损耗为–15 dB, FM Cascode结构在中心频率的回波损耗为–35 dB, 虽然有所减少, 但是对电路性能影响不大. 图19(b)中采用I-F结构以及F-F结构的LNA的S12曲线均低于–40 dB, 具有良好的隔离度. 图19(c)表示, I-F LNA与F-F LNA相比, I-F LNA的增益为20 dB, 相较于F-F LNA的中心频率增益为23 dB, 相差不大, 且满足LNA性能需求.

      噪声系数同样也是LNA的重要指标, 如图20所示, 采用I-F结构以及F-F结构的LNA的NF对比图. 整体来说, 在工作频段, I-F LNA较于F-F LNA有较大的NF. 在中心频率9.5 GHz处, F-F LNA的NF为1.385 dB, I-F LNA的NF为2.9 dB, 均低于3 dB. 随着频率不断的增大, NF都在不断增加, I-F LNA的增大速率明显更大, 不过在LNA工作频段内没有影响电路的性能.

      整体来看, 虽然在RF LNA中采取IM结构会对电路的一些指标造成一定的影响, 但是130 nm工艺可以保证LNA电路工作在合格的指标区间. 表1为IM结构与FM结构的LNA电路的核心参数, 包括增益S21、噪声系数NF以及1dB压缩点P1dB, 进一步证明可以将IM结构应用于RF LNA电路以缓解SiGe HBT对SET的敏感度, 并保证了RF LNA的工作性能.

    • 在TCAD上通过混合模拟仿真的方式搭建如图2的LNA电路, 分别测量F-F模式与I-F模式下以Cascode为核心配置的LNA电路进行SET实验时, 瞬态电流与时间的关系. 如图21所示, 实验分别对采用FM结构以及IM结构的LNA电路中的CB与CE的晶体管进行重离子入射. 由于同样能量的离子入射CB, CE晶体管, CB处晶体管产生的SET电流小于CE处晶体管产生的SET电流[23], 所以为了达到更好的观测效果, 对于CB以及CE晶体管, 实验分别使用LET值为50 MeV·cm2·mg–1与LET值为10 MeV·cm2·mg–1的入射能量.

      图22图23所示, 当离子分别入射CB, CE晶体管敏感区域时, 由于晶体管并联, 输出匹配网络相同, 所以输出的瞬态电流波形具有相似的形态[24], 同时相较于FM结构, I-F模式下的瞬态电峰值和电流持续时间均有不同程度的下降.

      实验结果证明, 入射CB晶体管时, I-F模式的电路的瞬态电流较F-F模式减小97.5%; 电流持续时间明显地缩短. 这是因为CB晶体管作为IM-SiGe HBT, 这些注入的载流子将流过其衬底-集电极, 同时集电极-衬底处产生的扩散电流被集电极-电路端口处更好地隔离[25], 这有助于降低电路端口处的输出瞬态峰值. 然而, 当CB晶体管处于正向模式时, 大多数注入的载流子可以从其发射极传递到集电极, 因此, SET输出峰值比采用IM结构的情况下大得多.

      入射CE晶体管时, I-F模式的电路的瞬态电流较F-F模式减小66%; 电流持续时间明显地缩短; 由于在入射CE晶体管情况下, 当CB晶体管为FM模式时, 大部分注入的载流子会正常通过其发射极流过集电极, 而CB晶体管处于IM模式较于FM模式, 由CE晶体管产生的大部分过剩电子-空穴对会舍弃发射极进入CB晶体管的衬底-集电极, 这有助于降低CE晶体管集电极处输出SET的瞬态峰值. 因此, 采用IM结构会降低SET瞬态峰值和电流持续时间, 理论与实验结果相符.

      对比实验结果也可以看到, 对于I-F结构的LNA电路, 重离子分别入射CB, CE两个晶体管, 都可以在不同程度上缓解SiGe LNA电路对于SET的敏感度. 同时, 由于本文实验为了使采用的IM结构更小程度地影响LNA电路性能, 选取了CB晶体管反模, CE晶体管正模的I-F结构, 所以该IM结构的LNA电路可以更好地抵抗外部对于CB晶体管的重离子入射.

    • 本文使用Sentaurus TCAD仿真工具构建了0.13 μm SiGe HBT二维模型, 以SiGe HBT器件模型为基础, 搭建了X波段LNA电路, 对LNA电路进行SET实验, 探究入射离子的LET值、角度对LNA电路端口的影响以及晶体管之间的相互作用, 对得到的结果进行对比分析; 在仿真中对LNA电路中CB晶体管进行入射实验, 电路中的其他器件(CE晶体管)也会产生瞬态电流, 并对得到的结果进行分析.

      同时本文使用IM结构来探究以SiGe HBT Cascode为核心配置的LNA电路的单粒子效应. 测量其相关参数, 验证其在IM结构下会减少电路性能退化程度的硬性指标. 在ADS上分别建立F-F LNA以及I-F LNA, 对比两者性能, 并在Sentaurus TCAD平台分别对F-F LNA以及I-F LNA电路进行模拟混合仿真的SET实验, 分析结果得到: 130 nm工艺下, 与标准的LNA相比, 采用IM结构的LNA依旧表现出良好的射频性能, 并大幅降低了SiGe工艺LNA电路对于SET的敏感程度, 达到预期的效果.

    参考文献 (25)

目录

/

返回文章
返回